Крупнейшая бесплатная информационно-справочная система онлайн доступа к полному собранию технических нормативно-правовых актов РФ. Огромная база технических нормативов (более 150 тысяч документов) и полное собрание национальных стандартов, аутентичное официальной базе Госстандарта. GOSTRF.com - это более 1 Терабайта бесплатной технической информации для всех пользователей интернета. Все электронные копии представленных здесь документов могут распространяться без каких-либо ограничений. Поощряется распространение информации с этого сайта на любых других ресурсах. Каждый человек имеет право на неограниченный доступ к этим документам! Каждый человек имеет право на знание требований, изложенных в данных нормативно-правовых актах!

  


 

ГОСТ 6012-98

Никель. Методы химико-атомно-эмиссионного спектрального анализа

Обозначение:ГОСТ 6012-98
Текущий статус документа: заменён
Название документа рус.:Никель. Методы химико-атомно-эмиссионного спектрального анализа
Название документа англ.:Nickel. Methods of chemical-atomic-emission spectral analysis
Дата актуализации текста:01.12.2013
Дата издания:01.11.2001
Дата введения:01.01.2000
Дата последнего изменения:22.05.2013
Дата окончания срока действия:01.01.2013
Переиздание:переиздание с поправками
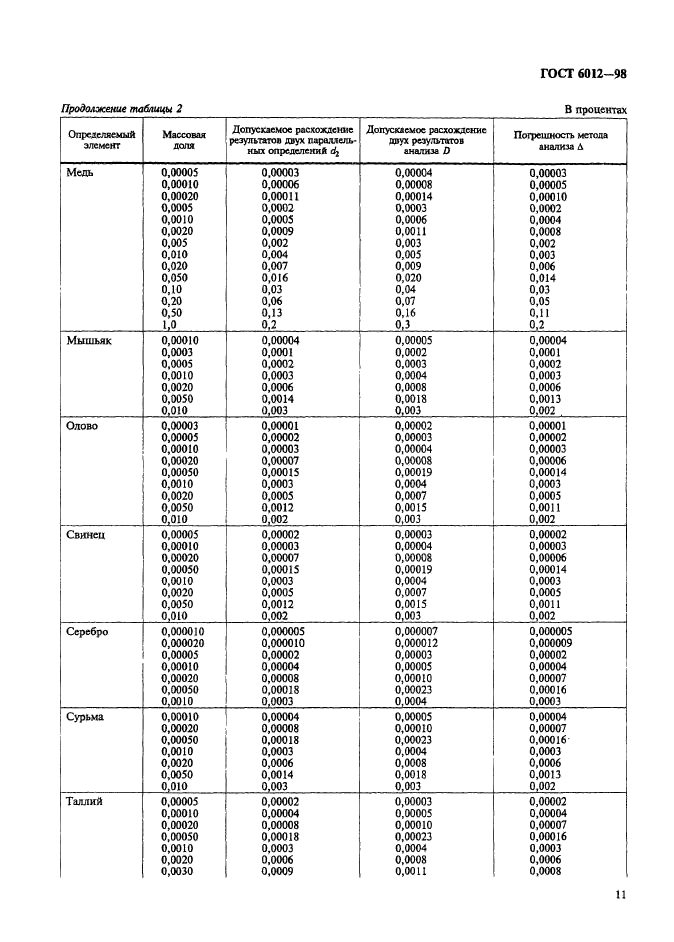
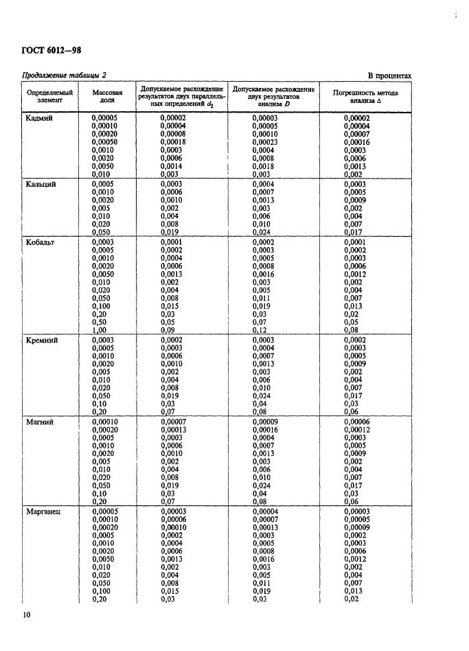
Область применения:Настоящий стандарт устанавливает химико-атомно-эмиссионные спектральные методы анализа с дугой постоянного тока и индуктивно связанной плазмой в качестве источников возбуждения спектра для определения массовых долей элементов в никеле, никелевом порошке и никелевых сплавах
Список изменений:№0 от 01.10.1999 (рег. 01.10.1999) «Дата введения перенесена»
№0 от 01.06.2000 (рег. 01.06.2000) «Дата введения перенесена»
№1 от 01.01.2003 (рег. 18.04.2002) «Текстовое изменение; Изменены ссылочные НД»
Приложение №1:Изменение №1 к ГОСТ 6012-98
Приложение №2:Поправка к ГОСТ 6012-98
Приложение №3:Поправка к ГОСТ 6012-98
ГОСТ 6012-98ГОСТ 6012-98ГОСТ 6012-98ГОСТ 6012-98ГОСТ 6012-98ГОСТ 6012-98ГОСТ 6012-98ГОСТ 6012-98ГОСТ 6012-98ГОСТ 6012-98ГОСТ 6012-98ГОСТ 6012-98ГОСТ 6012-98ГОСТ 6012-98ГОСТ 6012-98ГОСТ 6012-98ГОСТ 6012-98ГОСТ 6012-98ГОСТ 6012-98ГОСТ 6012-98ГОСТ 6012-98ГОСТ 6012-98ГОСТ 6012-98ГОСТ 6012-98ГОСТ 6012-98ГОСТ 6012-98

Изменение №1 к ГОСТ 6012-98

Обозначение:Изменение №1 к ГОСТ 6012-98
Дата введения:01.01.2003


Изменение №1 к ГОСТ 6012-98Изменение №1 к ГОСТ 6012-98Изменение №1 к ГОСТ 6012-98

Поправка к ГОСТ 6012-98

Обозначение:Поправка к ГОСТ 6012-98
Дата введения:01.06.2000


Поправка к ГОСТ 6012-98

Поправка к ГОСТ 6012-98

Обозначение:Поправка к ГОСТ 6012-98
Дата введения:01.10.1999


Поправка к ГОСТ 6012-98
 




ГОСТЫ, СТРОИТЕЛЬНЫЕ и ТЕХНИЧЕСКИЕ НОРМАТИВЫ.
Некоммерческая онлайн система, содержащая все Российские Госты, национальные Стандарты и нормативы.
В Системе содержится более 150000 файлов нормативно-технической документации, действующей на территории РФ.
Система предназначена для широкого круга инженерно-технических специалистов.

Рейтинг@Mail.ru Яндекс цитирования

Copyright © www.gostrf.com, 2008 - 2026