Крупнейшая бесплатная информационно-справочная система онлайн доступа к полному собранию технических нормативно-правовых актов РФ. Огромная база технических нормативов (более 150 тысяч документов) и полное собрание национальных стандартов, аутентичное официальной базе Госстандарта. GOSTRF.com - это более 1 Терабайта бесплатной технической информации для всех пользователей интернета. Все электронные копии представленных здесь документов могут распространяться без каких-либо ограничений. Поощряется распространение информации с этого сайта на любых других ресурсах. Каждый человек имеет право на неограниченный доступ к этим документам! Каждый человек имеет право на знание требований, изложенных в данных нормативно-правовых актах!

  


 

ГОСТ Р 51317.4.2-99

Совместимость технических средств электромагнитная. Устойчивость к электростатическим разрядам. Требования и методы испытаний

Обозначение:ГОСТ Р 51317.4.2-99
Текущий статус документа: заменён
Название документа рус.:Совместимость технических средств электромагнитная. Устойчивость к электростатическим разрядам. Требования и методы испытаний
Название документа англ.:Electromagnetic compatibility of technical equipment. Immunity to electrostatic discharge. Requirements and test methods
Дата актуализации текста:01.12.2013
Дата издания:01.06.2001
Дата введения:01.01.2001
Дата последнего изменения:22.05.2013
Дата окончания срока действия:01.01.2011
Переиздание:переиздание
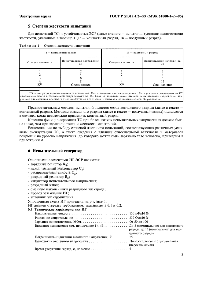
Область применения:Настоящий стандарт распространяется на элетротехнические, электронные и радиоэлектронные изделия и оборудование и устанавливает требования и методы испытаний технических средств (ТС) на устойчивость к электростатическим разрядам (ЭСР) как при прямом воздействии ЭСР от оператора, так и непрямом воздействии от оператора на расположенные вблизи ТС предметы и оборудование
ГОСТ Р 51317.4.2-99ГОСТ Р 51317.4.2-99ГОСТ Р 51317.4.2-99ГОСТ Р 51317.4.2-99ГОСТ Р 51317.4.2-99ГОСТ Р 51317.4.2-99ГОСТ Р 51317.4.2-99ГОСТ Р 51317.4.2-99ГОСТ Р 51317.4.2-99ГОСТ Р 51317.4.2-99ГОСТ Р 51317.4.2-99ГОСТ Р 51317.4.2-99ГОСТ Р 51317.4.2-99ГОСТ Р 51317.4.2-99ГОСТ Р 51317.4.2-99ГОСТ Р 51317.4.2-99ГОСТ Р 51317.4.2-99ГОСТ Р 51317.4.2-99ГОСТ Р 51317.4.2-99ГОСТ Р 51317.4.2-99ГОСТ Р 51317.4.2-99ГОСТ Р 51317.4.2-99ГОСТ Р 51317.4.2-99ГОСТ Р 51317.4.2-99
 




ГОСТЫ, СТРОИТЕЛЬНЫЕ и ТЕХНИЧЕСКИЕ НОРМАТИВЫ.
Некоммерческая онлайн система, содержащая все Российские Госты, национальные Стандарты и нормативы.
В Системе содержится более 150000 файлов нормативно-технической документации, действующей на территории РФ.
Система предназначена для широкого круга инженерно-технических специалистов.

Рейтинг@Mail.ru Яндекс цитирования

Copyright © www.gostrf.com, 2008 - 2026