Крупнейшая бесплатная информационно-справочная система онлайн доступа к полному собранию технических нормативно-правовых актов РФ. Огромная база технических нормативов (более 150 тысяч документов) и полное собрание национальных стандартов, аутентичное официальной базе Госстандарта. GOSTRF.com - это более 1 Терабайта бесплатной технической информации для всех пользователей интернета. Все электронные копии представленных здесь документов могут распространяться без каких-либо ограничений. Поощряется распространение информации с этого сайта на любых других ресурсах. Каждый человек имеет право на неограниченный доступ к этим документам! Каждый человек имеет право на знание требований, изложенных в данных нормативно-правовых актах!

  


 

ГОСТ Р ИСО/МЭК 10038-99

Информационная технология. Передача данных и обмен информацией между системами. Локальные вычислительные сети. Мосты на подуровне управления доступом к среде

Обозначение:ГОСТ Р ИСО/МЭК 10038-99
Текущий статус документа: действующий
Название документа рус.:Информационная технология. Передача данных и обмен информацией между системами. Локальные вычислительные сети. Мосты на подуровне управления доступом к среде
Название документа англ.: Information technology. Telecommunications and information exchange between systems. Local area networks. Media access control (MAC) bridges
Дата актуализации текста:01.12.2013
Дата издания:09.12.1999
Дата введения:01.07.2000
Дата последнего изменения:22.05.2013
Область применения:Для совместимого взаимодействия оборудования, обработки данных, которое использует услуги подуровня УДС, предоставляемые взаимосвязанными стандартными ЛВС с различными или одинаковыми методами управления доступом к среде, настоящий стандарт определяет общий метод работы мостов УДС
ГОСТ Р ИСО/МЭК 10038-99ГОСТ Р ИСО/МЭК 10038-99ГОСТ Р ИСО/МЭК 10038-99ГОСТ Р ИСО/МЭК 10038-99ГОСТ Р ИСО/МЭК 10038-99ГОСТ Р ИСО/МЭК 10038-99ГОСТ Р ИСО/МЭК 10038-99ГОСТ Р ИСО/МЭК 10038-99ГОСТ Р ИСО/МЭК 10038-99ГОСТ Р ИСО/МЭК 10038-99ГОСТ Р ИСО/МЭК 10038-99ГОСТ Р ИСО/МЭК 10038-99ГОСТ Р ИСО/МЭК 10038-99ГОСТ Р ИСО/МЭК 10038-99ГОСТ Р ИСО/МЭК 10038-99ГОСТ Р ИСО/МЭК 10038-99ГОСТ Р ИСО/МЭК 10038-99ГОСТ Р ИСО/МЭК 10038-99ГОСТ Р ИСО/МЭК 10038-99ГОСТ Р ИСО/МЭК 10038-99ГОСТ Р ИСО/МЭК 10038-99ГОСТ Р ИСО/МЭК 10038-99ГОСТ Р ИСО/МЭК 10038-99ГОСТ Р ИСО/МЭК 10038-99ГОСТ Р ИСО/МЭК 10038-99ГОСТ Р ИСО/МЭК 10038-99ГОСТ Р ИСО/МЭК 10038-99ГОСТ Р ИСО/МЭК 10038-99ГОСТ Р ИСО/МЭК 10038-99ГОСТ Р ИСО/МЭК 10038-99ГОСТ Р ИСО/МЭК 10038-99ГОСТ Р ИСО/МЭК 10038-99ГОСТ Р ИСО/МЭК 10038-99ГОСТ Р ИСО/МЭК 10038-99ГОСТ Р ИСО/МЭК 10038-99ГОСТ Р ИСО/МЭК 10038-99ГОСТ Р ИСО/МЭК 10038-99ГОСТ Р ИСО/МЭК 10038-99ГОСТ Р ИСО/МЭК 10038-99ГОСТ Р ИСО/МЭК 10038-99ГОСТ Р ИСО/МЭК 10038-99ГОСТ Р ИСО/МЭК 10038-99ГОСТ Р ИСО/МЭК 10038-99ГОСТ Р ИСО/МЭК 10038-99ГОСТ Р ИСО/МЭК 10038-99ГОСТ Р ИСО/МЭК 10038-99ГОСТ Р ИСО/МЭК 10038-99ГОСТ Р ИСО/МЭК 10038-99ГОСТ Р ИСО/МЭК 10038-99ГОСТ Р ИСО/МЭК 10038-99ГОСТ Р ИСО/МЭК 10038-99ГОСТ Р ИСО/МЭК 10038-99ГОСТ Р ИСО/МЭК 10038-99ГОСТ Р ИСО/МЭК 10038-99ГОСТ Р ИСО/МЭК 10038-99ГОСТ Р ИСО/МЭК 10038-99ГОСТ Р ИСО/МЭК 10038-99ГОСТ Р ИСО/МЭК 10038-99ГОСТ Р ИСО/МЭК 10038-99ГОСТ Р ИСО/МЭК 10038-99ГОСТ Р ИСО/МЭК 10038-99ГОСТ Р ИСО/МЭК 10038-99ГОСТ Р ИСО/МЭК 10038-99ГОСТ Р ИСО/МЭК 10038-99ГОСТ Р ИСО/МЭК 10038-99ГОСТ Р ИСО/МЭК 10038-99ГОСТ Р ИСО/МЭК 10038-99ГОСТ Р ИСО/МЭК 10038-99ГОСТ Р ИСО/МЭК 10038-99ГОСТ Р ИСО/МЭК 10038-99ГОСТ Р ИСО/МЭК 10038-99ГОСТ Р ИСО/МЭК 10038-99ГОСТ Р ИСО/МЭК 10038-99ГОСТ Р ИСО/МЭК 10038-99ГОСТ Р ИСО/МЭК 10038-99ГОСТ Р ИСО/МЭК 10038-99ГОСТ Р ИСО/МЭК 10038-99ГОСТ Р ИСО/МЭК 10038-99ГОСТ Р ИСО/МЭК 10038-99ГОСТ Р ИСО/МЭК 10038-99ГОСТ Р ИСО/МЭК 10038-99ГОСТ Р ИСО/МЭК 10038-99ГОСТ Р ИСО/МЭК 10038-99ГОСТ Р ИСО/МЭК 10038-99ГОСТ Р ИСО/МЭК 10038-99ГОСТ Р ИСО/МЭК 10038-99ГОСТ Р ИСО/МЭК 10038-99ГОСТ Р ИСО/МЭК 10038-99ГОСТ Р ИСО/МЭК 10038-99ГОСТ Р ИСО/МЭК 10038-99ГОСТ Р ИСО/МЭК 10038-99ГОСТ Р ИСО/МЭК 10038-99ГОСТ Р ИСО/МЭК 10038-99ГОСТ Р ИСО/МЭК 10038-99ГОСТ Р ИСО/МЭК 10038-99ГОСТ Р ИСО/МЭК 10038-99ГОСТ Р ИСО/МЭК 10038-99ГОСТ Р ИСО/МЭК 10038-99ГОСТ Р ИСО/МЭК 10038-99ГОСТ Р ИСО/МЭК 10038-99ГОСТ Р ИСО/МЭК 10038-99ГОСТ Р ИСО/МЭК 10038-99ГОСТ Р ИСО/МЭК 10038-99ГОСТ Р ИСО/МЭК 10038-99ГОСТ Р ИСО/МЭК 10038-99ГОСТ Р ИСО/МЭК 10038-99ГОСТ Р ИСО/МЭК 10038-99ГОСТ Р ИСО/МЭК 10038-99ГОСТ Р ИСО/МЭК 10038-99ГОСТ Р ИСО/МЭК 10038-99ГОСТ Р ИСО/МЭК 10038-99ГОСТ Р ИСО/МЭК 10038-99ГОСТ Р ИСО/МЭК 10038-99ГОСТ Р ИСО/МЭК 10038-99ГОСТ Р ИСО/МЭК 10038-99ГОСТ Р ИСО/МЭК 10038-99ГОСТ Р ИСО/МЭК 10038-99ГОСТ Р ИСО/МЭК 10038-99ГОСТ Р ИСО/МЭК 10038-99ГОСТ Р ИСО/МЭК 10038-99ГОСТ Р ИСО/МЭК 10038-99ГОСТ Р ИСО/МЭК 10038-99ГОСТ Р ИСО/МЭК 10038-99ГОСТ Р ИСО/МЭК 10038-99ГОСТ Р ИСО/МЭК 10038-99ГОСТ Р ИСО/МЭК 10038-99ГОСТ Р ИСО/МЭК 10038-99ГОСТ Р ИСО/МЭК 10038-99ГОСТ Р ИСО/МЭК 10038-99ГОСТ Р ИСО/МЭК 10038-99ГОСТ Р ИСО/МЭК 10038-99ГОСТ Р ИСО/МЭК 10038-99ГОСТ Р ИСО/МЭК 10038-99ГОСТ Р ИСО/МЭК 10038-99ГОСТ Р ИСО/МЭК 10038-99ГОСТ Р ИСО/МЭК 10038-99ГОСТ Р ИСО/МЭК 10038-99ГОСТ Р ИСО/МЭК 10038-99ГОСТ Р ИСО/МЭК 10038-99ГОСТ Р ИСО/МЭК 10038-99ГОСТ Р ИСО/МЭК 10038-99
 




ГОСТЫ, СТРОИТЕЛЬНЫЕ и ТЕХНИЧЕСКИЕ НОРМАТИВЫ.
Некоммерческая онлайн система, содержащая все Российские Госты, национальные Стандарты и нормативы.
В Системе содержится более 150000 файлов нормативно-технической документации, действующей на территории РФ.
Система предназначена для широкого круга инженерно-технических специалистов.

Рейтинг@Mail.ru Яндекс цитирования

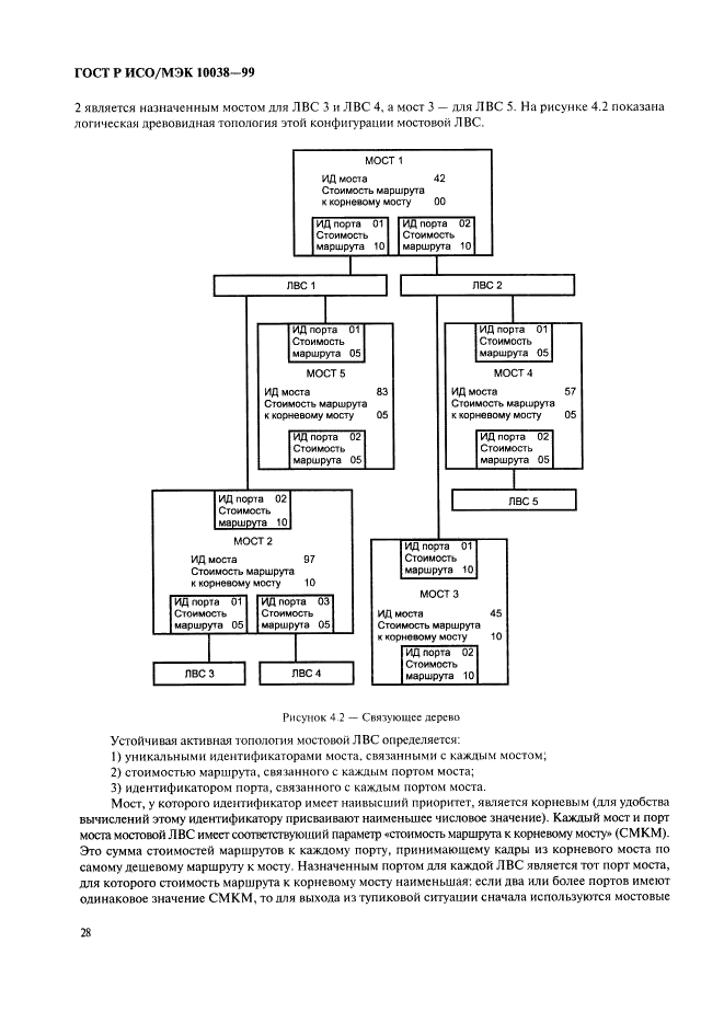
Copyright © www.gostrf.com, 2008 - 2026