Крупнейшая бесплатная информационно-справочная система онлайн доступа к полному собранию технических нормативно-правовых актов РФ. Огромная база технических нормативов (более 150 тысяч документов) и полное собрание национальных стандартов, аутентичное официальной базе Госстандарта. GOSTRF.com - это более 1 Терабайта бесплатной технической информации для всех пользователей интернета. Все электронные копии представленных здесь документов могут распространяться без каких-либо ограничений. Поощряется распространение информации с этого сайта на любых других ресурсах. Каждый человек имеет право на неограниченный доступ к этим документам! Каждый человек имеет право на знание требований, изложенных в данных нормативно-правовых актах!

  


 

ГОСТ Р МЭК 60064-99

Лампы накаливания вольфрамовые. Для бытового и аналогичного общего освещения. Эксплуатационные требования

Обозначение:ГОСТ Р МЭК 60064-99
Текущий статус документа: заменён
Название документа рус.:Лампы накаливания вольфрамовые. Для бытового и аналогичного общего освещения. Эксплуатационные требования
Название документа англ.:Tungsten filament lamps for domestic and similar general lighting purposes. Performance reguirements
Дата актуализации текста:01.12.2013
Дата издания:23.12.1999
Дата введения:01.01.2001
Дата последнего изменения:22.05.2013
Дата окончания срока действия:01.01.2008
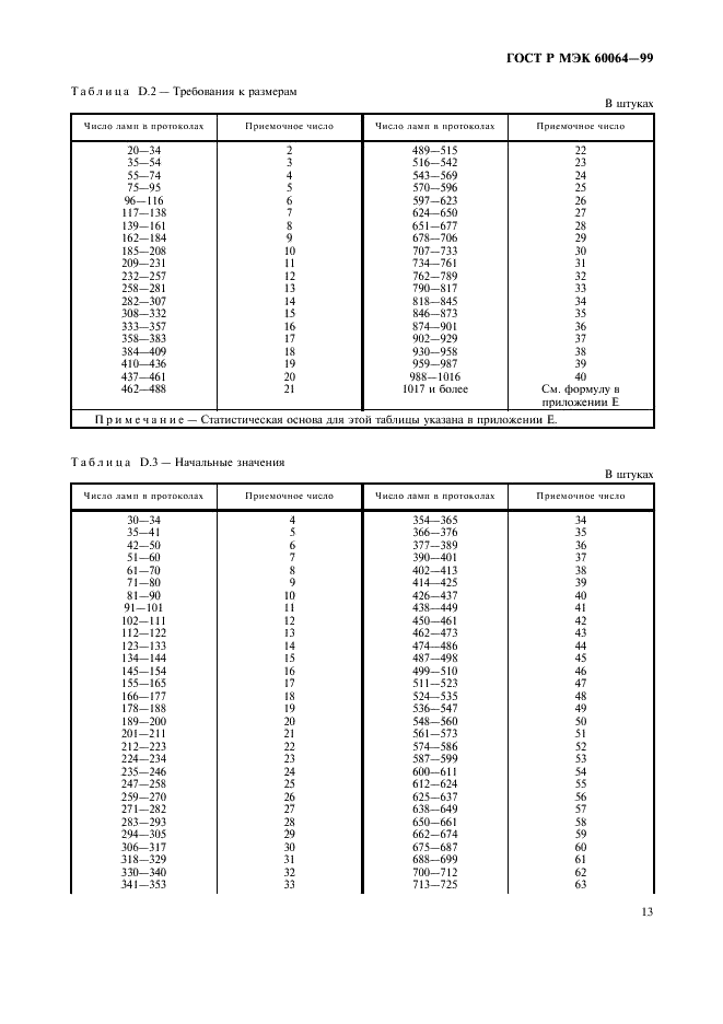
Область применения:Настоящий стандарт распространяется на вольфрамовые лампы накаливания для общего освещения, удовлетворяющие требованиям безопасности по МЭК 60432-1 и имеющие:
- расчетную мощность от 25 до 200 Вт включ.;
- расчетное напряжение от 100 до 250 В включ.; если маркируется диапазон напряжения, то предельные значения не должны отличаться от среднего значения более чем на плюс минус 2,5%;
- колбы формы A или PS;
- колбы прозрачные, матированные или с эквивалентным покрытием, или с белым покрытием;
- цоколи B22d, E26 или E27
ГОСТ Р МЭК 60064-99ГОСТ Р МЭК 60064-99ГОСТ Р МЭК 60064-99ГОСТ Р МЭК 60064-99ГОСТ Р МЭК 60064-99ГОСТ Р МЭК 60064-99ГОСТ Р МЭК 60064-99ГОСТ Р МЭК 60064-99ГОСТ Р МЭК 60064-99ГОСТ Р МЭК 60064-99ГОСТ Р МЭК 60064-99ГОСТ Р МЭК 60064-99ГОСТ Р МЭК 60064-99ГОСТ Р МЭК 60064-99ГОСТ Р МЭК 60064-99ГОСТ Р МЭК 60064-99ГОСТ Р МЭК 60064-99ГОСТ Р МЭК 60064-99ГОСТ Р МЭК 60064-99ГОСТ Р МЭК 60064-99ГОСТ Р МЭК 60064-99ГОСТ Р МЭК 60064-99ГОСТ Р МЭК 60064-99ГОСТ Р МЭК 60064-99ГОСТ Р МЭК 60064-99ГОСТ Р МЭК 60064-99ГОСТ Р МЭК 60064-99ГОСТ Р МЭК 60064-99ГОСТ Р МЭК 60064-99ГОСТ Р МЭК 60064-99ГОСТ Р МЭК 60064-99ГОСТ Р МЭК 60064-99ГОСТ Р МЭК 60064-99ГОСТ Р МЭК 60064-99ГОСТ Р МЭК 60064-99ГОСТ Р МЭК 60064-99ГОСТ Р МЭК 60064-99ГОСТ Р МЭК 60064-99ГОСТ Р МЭК 60064-99ГОСТ Р МЭК 60064-99ГОСТ Р МЭК 60064-99ГОСТ Р МЭК 60064-99ГОСТ Р МЭК 60064-99ГОСТ Р МЭК 60064-99ГОСТ Р МЭК 60064-99ГОСТ Р МЭК 60064-99ГОСТ Р МЭК 60064-99ГОСТ Р МЭК 60064-99ГОСТ Р МЭК 60064-99ГОСТ Р МЭК 60064-99ГОСТ Р МЭК 60064-99ГОСТ Р МЭК 60064-99ГОСТ Р МЭК 60064-99ГОСТ Р МЭК 60064-99ГОСТ Р МЭК 60064-99ГОСТ Р МЭК 60064-99ГОСТ Р МЭК 60064-99ГОСТ Р МЭК 60064-99ГОСТ Р МЭК 60064-99ГОСТ Р МЭК 60064-99ГОСТ Р МЭК 60064-99ГОСТ Р МЭК 60064-99ГОСТ Р МЭК 60064-99ГОСТ Р МЭК 60064-99ГОСТ Р МЭК 60064-99ГОСТ Р МЭК 60064-99ГОСТ Р МЭК 60064-99ГОСТ Р МЭК 60064-99ГОСТ Р МЭК 60064-99ГОСТ Р МЭК 60064-99ГОСТ Р МЭК 60064-99ГОСТ Р МЭК 60064-99ГОСТ Р МЭК 60064-99
 




ГОСТЫ, СТРОИТЕЛЬНЫЕ и ТЕХНИЧЕСКИЕ НОРМАТИВЫ.
Некоммерческая онлайн система, содержащая все Российские Госты, национальные Стандарты и нормативы.
В Системе содержится более 150000 файлов нормативно-технической документации, действующей на территории РФ.
Система предназначена для широкого круга инженерно-технических специалистов.

Рейтинг@Mail.ru Яндекс цитирования

Copyright © www.gostrf.com, 2008 - 2026