Крупнейшая бесплатная информационно-справочная система онлайн доступа к полному собранию технических нормативно-правовых актов РФ. Огромная база технических нормативов (более 150 тысяч документов) и полное собрание национальных стандартов, аутентичное официальной базе Госстандарта. GOSTRF.com - это более 1 Терабайта бесплатной технической информации для всех пользователей интернета. Все электронные копии представленных здесь документов могут распространяться без каких-либо ограничений. Поощряется распространение информации с этого сайта на любых других ресурсах. Каждый человек имеет право на неограниченный доступ к этим документам! Каждый человек имеет право на знание требований, изложенных в данных нормативно-правовых актах!

  


 

ГОСТ Р 51385-99

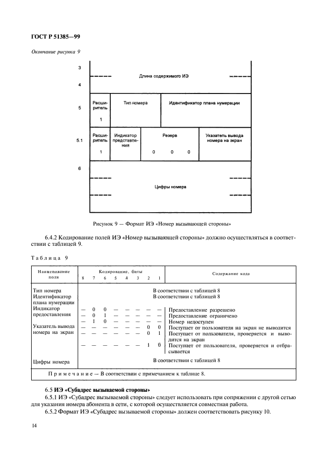
Элементы процедур передачи и форматы служебных пакетов (сообщений) в широкополосной цифровой сети интегрального обслуживания с быстрой коммутацией пакетов. Требования к процедурам и форматам

Обозначение:ГОСТ Р 51385-99
Текущий статус документа: действующий
Название документа рус.:Элементы процедур передачи и форматы служебных пакетов (сообщений) в широкополосной цифровой сети интегрального обслуживания с быстрой коммутацией пакетов. Требования к процедурам и форматам
Название документа англ.:Elements of transmission procedures and formats of service packets (messages) in wideband integrated services digital networks with fast packet switching. Requirements to procedures and formats
Дата актуализации текста:01.12.2013
Дата издания:11.04.2000
Дата введения:30.06.2000
Дата последнего изменения:22.05.2013
Область применения:Настоящий стандарт распространяется на элементы процедур передачи и форматы служебных сообщений, используемые на стыке пользователь - сеть (на стыке абонентский пункт - центр быстрой коммутации пакетов) для установления и разъединения соединений в широкополосных цифровых сетях интегрального обслуживания, в которых применен принцип передачи информации (данные, речевая, факсимильная и видеоинформация) по виртуальным соединениям
ГОСТ Р 51385-99ГОСТ Р 51385-99ГОСТ Р 51385-99ГОСТ Р 51385-99ГОСТ Р 51385-99ГОСТ Р 51385-99ГОСТ Р 51385-99ГОСТ Р 51385-99ГОСТ Р 51385-99ГОСТ Р 51385-99ГОСТ Р 51385-99ГОСТ Р 51385-99ГОСТ Р 51385-99ГОСТ Р 51385-99ГОСТ Р 51385-99ГОСТ Р 51385-99ГОСТ Р 51385-99ГОСТ Р 51385-99ГОСТ Р 51385-99ГОСТ Р 51385-99ГОСТ Р 51385-99ГОСТ Р 51385-99ГОСТ Р 51385-99ГОСТ Р 51385-99ГОСТ Р 51385-99ГОСТ Р 51385-99ГОСТ Р 51385-99ГОСТ Р 51385-99ГОСТ Р 51385-99ГОСТ Р 51385-99ГОСТ Р 51385-99
 




ГОСТЫ, СТРОИТЕЛЬНЫЕ и ТЕХНИЧЕСКИЕ НОРМАТИВЫ.
Некоммерческая онлайн система, содержащая все Российские Госты, национальные Стандарты и нормативы.
В Системе содержится более 150000 файлов нормативно-технической документации, действующей на территории РФ.
Система предназначена для широкого круга инженерно-технических специалистов.

Рейтинг@Mail.ru Яндекс цитирования

Copyright © www.gostrf.com, 2008 - 2026