Крупнейшая бесплатная информационно-справочная система онлайн доступа к полному собранию технических нормативно-правовых актов РФ. Огромная база технических нормативов (более 150 тысяч документов) и полное собрание национальных стандартов, аутентичное официальной базе Госстандарта. GOSTRF.com - это более 1 Терабайта бесплатной технической информации для всех пользователей интернета. Все электронные копии представленных здесь документов могут распространяться без каких-либо ограничений. Поощряется распространение информации с этого сайта на любых других ресурсах. Каждый человек имеет право на неограниченный доступ к этим документам! Каждый человек имеет право на знание требований, изложенных в данных нормативно-правовых актах!

  


 

ГОСТ Р 51431-99

Соки фруктовые и овощные. Метод определения относительной плотности

Обозначение:ГОСТ Р 51431-99
Текущий статус документа: действующий
Название документа рус.:Соки фруктовые и овощные. Метод определения относительной плотности
Название документа англ.:Fruit and vegetable juices. Method for determination of relative density
Дата актуализации текста:01.12.2013
Дата издания:01.01.2002
Дата введения:01.01.2001
Дата последнего изменения:22.05.2013
Переиздание:переиздание
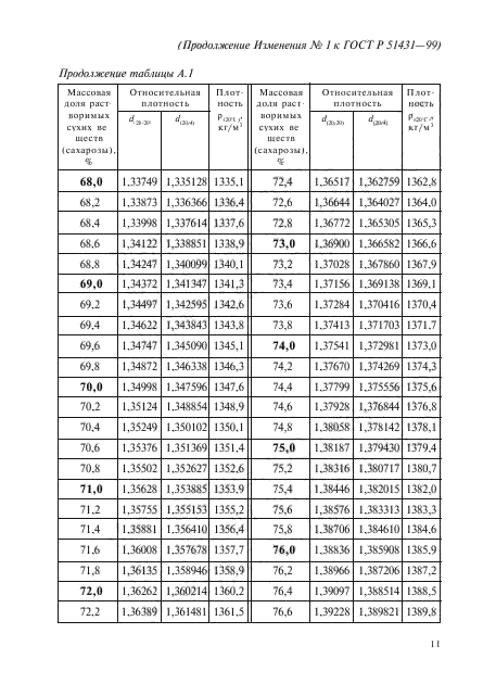
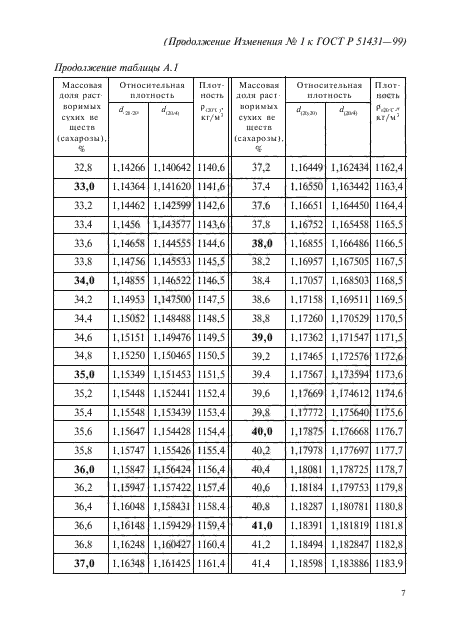
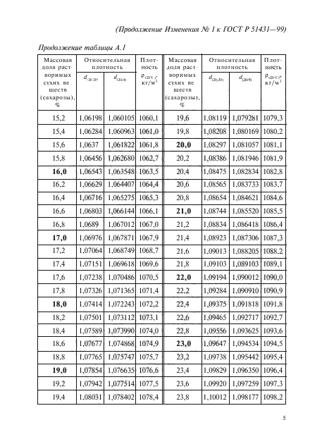
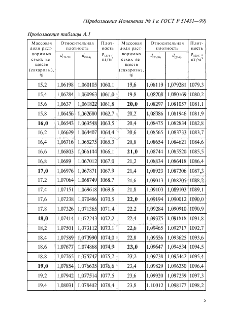
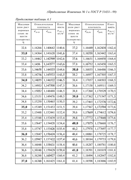
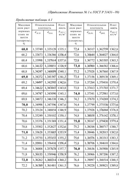
Область применения:Настоящий стандарт распространяется на фруктовые и овощные соки и подобные им продукты и устанавливает метод определения относительной плотности d с индексом 20/20
Список изменений:№1 от 01.07.2011 (рег. 29.11.2010) «Текстовое изменение; Изменено заглавие; Изменены ссылочные НД»
Приложение №1:Изменение №1 к ГОСТ Р 51431-99
ГОСТ Р 51431-99ГОСТ Р 51431-99ГОСТ Р 51431-99ГОСТ Р 51431-99ГОСТ Р 51431-99ГОСТ Р 51431-99ГОСТ Р 51431-99ГОСТ Р 51431-99ГОСТ Р 51431-99ГОСТ Р 51431-99ГОСТ Р 51431-99ГОСТ Р 51431-99ГОСТ Р 51431-99ГОСТ Р 51431-99ГОСТ Р 51431-99ГОСТ Р 51431-99ГОСТ Р 51431-99ГОСТ Р 51431-99

Изменение №1 к ГОСТ Р 51431-99

Обозначение:Изменение №1 к ГОСТ Р 51431-99
Дата введения:01.07.2011


Изменение №1 к ГОСТ Р 51431-99Изменение №1 к ГОСТ Р 51431-99Изменение №1 к ГОСТ Р 51431-99Изменение №1 к ГОСТ Р 51431-99Изменение №1 к ГОСТ Р 51431-99Изменение №1 к ГОСТ Р 51431-99Изменение №1 к ГОСТ Р 51431-99Изменение №1 к ГОСТ Р 51431-99Изменение №1 к ГОСТ Р 51431-99Изменение №1 к ГОСТ Р 51431-99Изменение №1 к ГОСТ Р 51431-99Изменение №1 к ГОСТ Р 51431-99
 




ГОСТЫ, СТРОИТЕЛЬНЫЕ и ТЕХНИЧЕСКИЕ НОРМАТИВЫ.
Некоммерческая онлайн система, содержащая все Российские Госты, национальные Стандарты и нормативы.
В Системе содержится более 150000 файлов нормативно-технической документации, действующей на территории РФ.
Система предназначена для широкого круга инженерно-технических специалистов.

Рейтинг@Mail.ru Яндекс цитирования

Copyright © www.gostrf.com, 2008 - 2026