Крупнейшая бесплатная информационно-справочная система онлайн доступа к полному собранию технических нормативно-правовых актов РФ. Огромная база технических нормативов (более 150 тысяч документов) и полное собрание национальных стандартов, аутентичное официальной базе Госстандарта. GOSTRF.com - это более 1 Терабайта бесплатной технической информации для всех пользователей интернета. Все электронные копии представленных здесь документов могут распространяться без каких-либо ограничений. Поощряется распространение информации с этого сайта на любых других ресурсах. Каждый человек имеет право на неограниченный доступ к этим документам! Каждый человек имеет право на знание требований, изложенных в данных нормативно-правовых актах!

  


 

ГОСТ Р ИСО/МЭК МФС 10613-8-98

Информационная технология. Функциональный стандарт. Профиль RA. Ретрансляция услуг сетевого уровня в режиме без установления соединения. Часть 8. Профиль RA51.1111

Обозначение:ГОСТ Р ИСО/МЭК МФС 10613-8-98
Текущий статус документа: действующий
Название документа рус.:Информационная технология. Функциональный стандарт. Профиль RA. Ретрансляция услуг сетевого уровня в режиме без установления соединения. Часть 8. Профиль RA51.1111
Название документа англ.:Information technology. International standardized Profile RA. Relaying the connectionless-mode network service. Part 8. Profile RA51.1111
Дата актуализации текста:01.12.2013
Дата издания:10.12.1998
Дата введения:01.01.1999
Дата последнего изменения:22.05.2013
Область применения:Настоящий стандарт распространяется на устройства взаимодействия, работающие в функциональной среде взаимосвязи открытых систем (ВОС), и определяет комбинацию тех стандартов по ВОС, которые в совокупности обеспечивают функцию ретрансляции на сетевом уровне для услуг сетевого уровня в режиме без установления соединения.
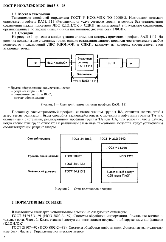
Стандарт определяет профиль RA 51.1111, который относится к устройствам взаимодействия, работающим между локальными вычислительными сетями (ЛВС) “коллективный доступ с опознаванием несущей и обнаружением конфликтов“(КДОН/ОК) по ГОСТ 34.913.3 и сетью данных с коммутацией пакетов (СДКП), использующей виртуальные соединения, организованные по выделенным линиям постоянного доступа коммутируемой телефонной сети общего пользования (ТФОП)
ГОСТ Р ИСО/МЭК МФС 10613-8-98ГОСТ Р ИСО/МЭК МФС 10613-8-98ГОСТ Р ИСО/МЭК МФС 10613-8-98ГОСТ Р ИСО/МЭК МФС 10613-8-98ГОСТ Р ИСО/МЭК МФС 10613-8-98ГОСТ Р ИСО/МЭК МФС 10613-8-98ГОСТ Р ИСО/МЭК МФС 10613-8-98ГОСТ Р ИСО/МЭК МФС 10613-8-98
 




ГОСТЫ, СТРОИТЕЛЬНЫЕ и ТЕХНИЧЕСКИЕ НОРМАТИВЫ.
Некоммерческая онлайн система, содержащая все Российские Госты, национальные Стандарты и нормативы.
В Системе содержится более 150000 файлов нормативно-технической документации, действующей на территории РФ.
Система предназначена для широкого круга инженерно-технических специалистов.

Рейтинг@Mail.ru Яндекс цитирования

Copyright © www.gostrf.com, 2008 - 2026