Крупнейшая бесплатная информационно-справочная система онлайн доступа к полному собранию технических нормативно-правовых актов РФ. Огромная база технических нормативов (более 150 тысяч документов) и полное собрание национальных стандартов, аутентичное официальной базе Госстандарта. GOSTRF.com - это более 1 Терабайта бесплатной технической информации для всех пользователей интернета. Все электронные копии представленных здесь документов могут распространяться без каких-либо ограничений. Поощряется распространение информации с этого сайта на любых других ресурсах. Каждый человек имеет право на неограниченный доступ к этим документам! Каждый человек имеет право на знание требований, изложенных в данных нормативно-правовых актах!

  


 

ГОСТ Р ИСО/МЭК 10021-2-98

Информационная технология. Передача текста. Системы обмена текстами, ориентированные на сообщения (MOTIS). Часть 2. Общая архитектура

Обозначение:ГОСТ Р ИСО/МЭК 10021-2-98
Текущий статус документа: действующий
Название документа рус.:Информационная технология. Передача текста. Системы обмена текстами, ориентированные на сообщения (MOTIS). Часть 2. Общая архитектура
Название документа англ.:Information technology. Text communication. Message-oriented text interchange systems (MOTIS). Part 2. Overall architecture
Дата актуализации текста:01.12.2013
Дата издания:10.12.1998
Дата введения:01.01.1999
Дата последнего изменения:22.05.2013
Область применения:Настоящий стандарт устанавливает общую структуру системы обработки сообщений (СОС) и служит в качестве технического введения в СОС.
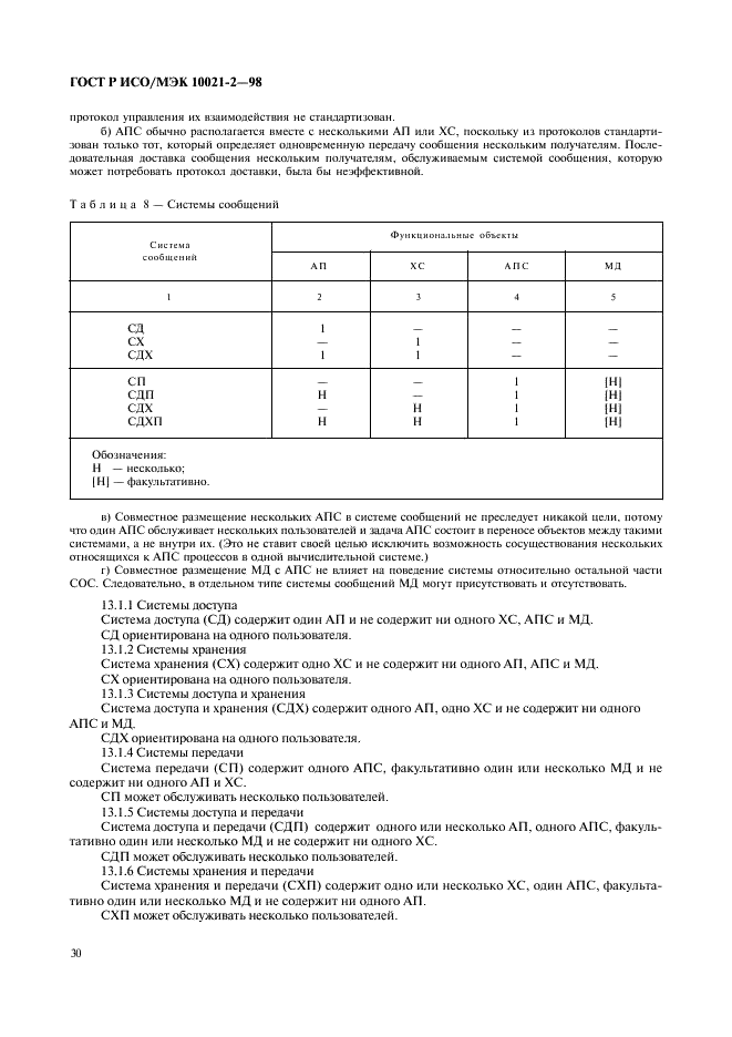
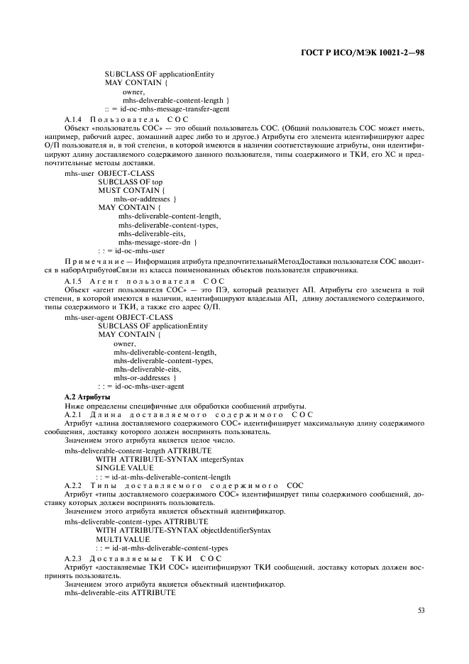
Назначение СОС состоит в том, чтобы дать возможность пользователям обмениваться сообщениями на основе их промежуточного накопления. Сообщение, выданное от имени одного пользователя-отправителя, переносится системой передачи сообщений (СПС) и поступает к агентам одного или нескольких других пользователей-получателей. Модули доступа связывают СПС с системами обмена данными других видов (например, системами почтовой связи). При подготовке, хранении сообщений и их выводе на дисплей пользователю помогает агент пользователя. Факультативно в хранении сообщений пользователю помогает хранилище сообщений. Система СПС содержит большое число агентов передачи сообщений, которые совместно выполняют функцию передачи сообщений с промежуточным накоплением
ГОСТ Р ИСО/МЭК 10021-2-98ГОСТ Р ИСО/МЭК 10021-2-98ГОСТ Р ИСО/МЭК 10021-2-98ГОСТ Р ИСО/МЭК 10021-2-98ГОСТ Р ИСО/МЭК 10021-2-98ГОСТ Р ИСО/МЭК 10021-2-98ГОСТ Р ИСО/МЭК 10021-2-98ГОСТ Р ИСО/МЭК 10021-2-98ГОСТ Р ИСО/МЭК 10021-2-98ГОСТ Р ИСО/МЭК 10021-2-98ГОСТ Р ИСО/МЭК 10021-2-98ГОСТ Р ИСО/МЭК 10021-2-98ГОСТ Р ИСО/МЭК 10021-2-98ГОСТ Р ИСО/МЭК 10021-2-98ГОСТ Р ИСО/МЭК 10021-2-98ГОСТ Р ИСО/МЭК 10021-2-98ГОСТ Р ИСО/МЭК 10021-2-98ГОСТ Р ИСО/МЭК 10021-2-98ГОСТ Р ИСО/МЭК 10021-2-98ГОСТ Р ИСО/МЭК 10021-2-98ГОСТ Р ИСО/МЭК 10021-2-98ГОСТ Р ИСО/МЭК 10021-2-98ГОСТ Р ИСО/МЭК 10021-2-98ГОСТ Р ИСО/МЭК 10021-2-98ГОСТ Р ИСО/МЭК 10021-2-98ГОСТ Р ИСО/МЭК 10021-2-98ГОСТ Р ИСО/МЭК 10021-2-98ГОСТ Р ИСО/МЭК 10021-2-98ГОСТ Р ИСО/МЭК 10021-2-98ГОСТ Р ИСО/МЭК 10021-2-98ГОСТ Р ИСО/МЭК 10021-2-98ГОСТ Р ИСО/МЭК 10021-2-98ГОСТ Р ИСО/МЭК 10021-2-98ГОСТ Р ИСО/МЭК 10021-2-98ГОСТ Р ИСО/МЭК 10021-2-98ГОСТ Р ИСО/МЭК 10021-2-98ГОСТ Р ИСО/МЭК 10021-2-98ГОСТ Р ИСО/МЭК 10021-2-98ГОСТ Р ИСО/МЭК 10021-2-98ГОСТ Р ИСО/МЭК 10021-2-98ГОСТ Р ИСО/МЭК 10021-2-98ГОСТ Р ИСО/МЭК 10021-2-98ГОСТ Р ИСО/МЭК 10021-2-98ГОСТ Р ИСО/МЭК 10021-2-98ГОСТ Р ИСО/МЭК 10021-2-98ГОСТ Р ИСО/МЭК 10021-2-98ГОСТ Р ИСО/МЭК 10021-2-98ГОСТ Р ИСО/МЭК 10021-2-98ГОСТ Р ИСО/МЭК 10021-2-98ГОСТ Р ИСО/МЭК 10021-2-98ГОСТ Р ИСО/МЭК 10021-2-98ГОСТ Р ИСО/МЭК 10021-2-98ГОСТ Р ИСО/МЭК 10021-2-98ГОСТ Р ИСО/МЭК 10021-2-98ГОСТ Р ИСО/МЭК 10021-2-98ГОСТ Р ИСО/МЭК 10021-2-98ГОСТ Р ИСО/МЭК 10021-2-98ГОСТ Р ИСО/МЭК 10021-2-98ГОСТ Р ИСО/МЭК 10021-2-98ГОСТ Р ИСО/МЭК 10021-2-98ГОСТ Р ИСО/МЭК 10021-2-98ГОСТ Р ИСО/МЭК 10021-2-98ГОСТ Р ИСО/МЭК 10021-2-98ГОСТ Р ИСО/МЭК 10021-2-98ГОСТ Р ИСО/МЭК 10021-2-98ГОСТ Р ИСО/МЭК 10021-2-98ГОСТ Р ИСО/МЭК 10021-2-98ГОСТ Р ИСО/МЭК 10021-2-98ГОСТ Р ИСО/МЭК 10021-2-98ГОСТ Р ИСО/МЭК 10021-2-98ГОСТ Р ИСО/МЭК 10021-2-98ГОСТ Р ИСО/МЭК 10021-2-98ГОСТ Р ИСО/МЭК 10021-2-98ГОСТ Р ИСО/МЭК 10021-2-98
 




ГОСТЫ, СТРОИТЕЛЬНЫЕ и ТЕХНИЧЕСКИЕ НОРМАТИВЫ.
Некоммерческая онлайн система, содержащая все Российские Госты, национальные Стандарты и нормативы.
В Системе содержится более 150000 файлов нормативно-технической документации, действующей на территории РФ.
Система предназначена для широкого круга инженерно-технических специалистов.

Рейтинг@Mail.ru Яндекс цитирования

Copyright © www.gostrf.com, 2008 - 2026