Крупнейшая бесплатная информационно-справочная система онлайн доступа к полному собранию технических нормативно-правовых актов РФ. Огромная база технических нормативов (более 150 тысяч документов) и полное собрание национальных стандартов, аутентичное официальной базе Госстандарта. GOSTRF.com - это более 1 Терабайта бесплатной технической информации для всех пользователей интернета. Все электронные копии представленных здесь документов могут распространяться без каких-либо ограничений. Поощряется распространение информации с этого сайта на любых других ресурсах. Каждый человек имеет право на неограниченный доступ к этим документам! Каждый человек имеет право на знание требований, изложенных в данных нормативно-правовых актах!

  


 

ГОСТ 17.2.2.02-98

Охрана природы. Атмосфера. Нормы и методы определения дымности отработавших газов дизелей, тракторов и самоходных сельскохозяйственных машин

Обозначение:ГОСТ 17.2.2.02-98
Текущий статус документа: действующий
Название документа рус.:Охрана природы. Атмосфера. Нормы и методы определения дымности отработавших газов дизелей, тракторов и самоходных сельскохозяйственных машин
Название документа англ.:Nature protection. Atmosphere. Rates and testing methods of exhaust smoke from diesel engines, tractors and agricultural machines
Дата актуализации текста:01.12.2013
Дата издания:01.07.2004
Дата введения:30.06.1999
Дата последнего изменения:22.05.2013
Переиздание:переиздание
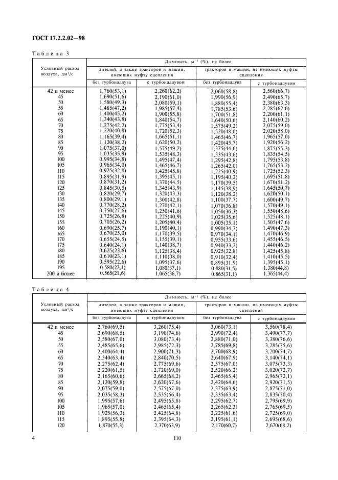
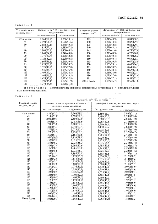
Область применения:Настоящий стандарт распространяется на: вновь изготовленные и капитально отремонтированные на ремонтных предприятиях дизели тракторов и самоходных сельскохозяйственных машин; сельскохозяйственные, промышленные, лесопромышленные и лесохозяйственные дизельные тракторы, в том числе используемые в качестве базы для строительно-дорожных машин и машин, применяемых в коммунальном и лесном хозяйстве, а также тракторные самоходные дизельные шасси;
самоходные сельскохозяйственные дизельные машины; находящиеся в эксплуатации тракторы и машины, предназначенные для работы или работающие в условиях неограниченного и ограниченного воздухообмена, - и устанавливает нормы и методы определения дымности отработавших газов.
Стандарт не распространяется на малогабаритные тракторы, другие мобильные средства малой механизации сельскохозяйственных работ и дизели к ним
ГОСТ 17.2.2.02-98ГОСТ 17.2.2.02-98ГОСТ 17.2.2.02-98ГОСТ 17.2.2.02-98ГОСТ 17.2.2.02-98ГОСТ 17.2.2.02-98ГОСТ 17.2.2.02-98ГОСТ 17.2.2.02-98ГОСТ 17.2.2.02-98ГОСТ 17.2.2.02-98ГОСТ 17.2.2.02-98ГОСТ 17.2.2.02-98ГОСТ 17.2.2.02-98ГОСТ 17.2.2.02-98ГОСТ 17.2.2.02-98
 




ГОСТЫ, СТРОИТЕЛЬНЫЕ и ТЕХНИЧЕСКИЕ НОРМАТИВЫ.
Некоммерческая онлайн система, содержащая все Российские Госты, национальные Стандарты и нормативы.
В Системе содержится более 150000 файлов нормативно-технической документации, действующей на территории РФ.
Система предназначена для широкого круга инженерно-технических специалистов.

Рейтинг@Mail.ru Яндекс цитирования

Copyright © www.gostrf.com, 2008 - 2026