Крупнейшая бесплатная информационно-справочная система онлайн доступа к полному собранию технических нормативно-правовых актов РФ. Огромная база технических нормативов (более 150 тысяч документов) и полное собрание национальных стандартов, аутентичное официальной базе Госстандарта. GOSTRF.com - это более 1 Терабайта бесплатной технической информации для всех пользователей интернета. Все электронные копии представленных здесь документов могут распространяться без каких-либо ограничений. Поощряется распространение информации с этого сайта на любых других ресурсах. Каждый человек имеет право на неограниченный доступ к этим документам! Каждый человек имеет право на знание требований, изложенных в данных нормативно-правовых актах!

  


 

ГОСТ Р 51107-97

Системы стереофонического радиовещания. Основные параметры. Методы измерений

Обозначение:ГОСТ Р 51107-97
Текущий статус документа: действующий
Название документа рус.:Системы стереофонического радиовещания. Основные параметры. Методы измерений
Название документа англ.:Stereophonic broadcasting systems. Main parameters. Methods of measurements
Дата актуализации текста:01.12.2013
Дата издания:06.01.1998
Дата введения:30.06.1998
Дата последнего изменения:22.05.2013
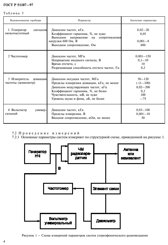
Область применения:Настоящий стандарт распространяется на системы стереофонического радиовещания с полярной модуляцией для диапазона частот 65,9-74 МГц и с пилот-тоном для диапазона частот 100-108 МГц.
Стандарт определяет структуру комплексного стереофонического сигнала для систем с полярной модуляцией и с пилот-тоном и устанавливает основные параметры систем стереофонического радиовещания и методы измерения параметров модуляции УКВ ЧМ передатчиков комплексным стереофоническим сигналом
ГОСТ Р 51107-97ГОСТ Р 51107-97ГОСТ Р 51107-97ГОСТ Р 51107-97ГОСТ Р 51107-97ГОСТ Р 51107-97ГОСТ Р 51107-97ГОСТ Р 51107-97ГОСТ Р 51107-97ГОСТ Р 51107-97ГОСТ Р 51107-97
 




ГОСТЫ, СТРОИТЕЛЬНЫЕ и ТЕХНИЧЕСКИЕ НОРМАТИВЫ.
Некоммерческая онлайн система, содержащая все Российские Госты, национальные Стандарты и нормативы.
В Системе содержится более 150000 файлов нормативно-технической документации, действующей на территории РФ.
Система предназначена для широкого круга инженерно-технических специалистов.

Рейтинг@Mail.ru Яндекс цитирования

Copyright © www.gostrf.com, 2008 - 2026