Крупнейшая бесплатная информационно-справочная система онлайн доступа к полному собранию технических нормативно-правовых актов РФ. Огромная база технических нормативов (более 150 тысяч документов) и полное собрание национальных стандартов, аутентичное официальной базе Госстандарта. GOSTRF.com - это более 1 Терабайта бесплатной технической информации для всех пользователей интернета. Все электронные копии представленных здесь документов могут распространяться без каких-либо ограничений. Поощряется распространение информации с этого сайта на любых других ресурсах. Каждый человек имеет право на неограниченный доступ к этим документам! Каждый человек имеет право на знание требований, изложенных в данных нормативно-правовых актах!

  


 

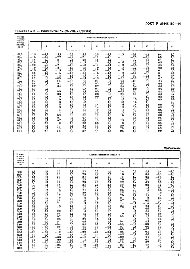
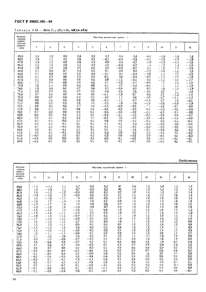
ГОСТ Р 25645.160-94

Модель электромагнитной обстановки в околоземном пространстве

Обозначение:ГОСТ Р 25645.160-94
Текущий статус документа: действующий
Название документа рус.:Модель электромагнитной обстановки в околоземном пространстве
Название документа англ.:Model of electromagnetic situation in near-earth space
Дата актуализации текста:01.12.2013
Дата издания:01.02.1995
Дата введения:30.06.1995
Дата последнего изменения:22.05.2013
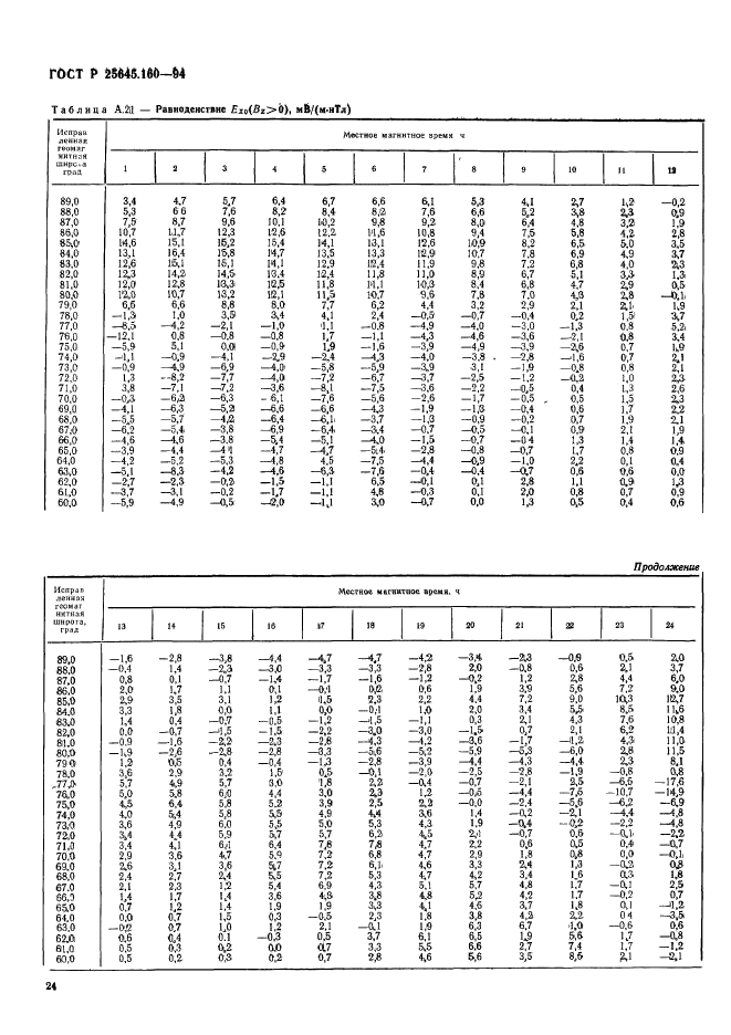
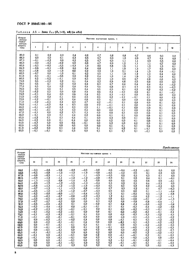
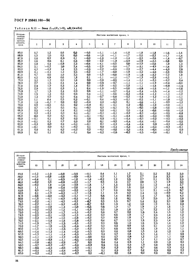
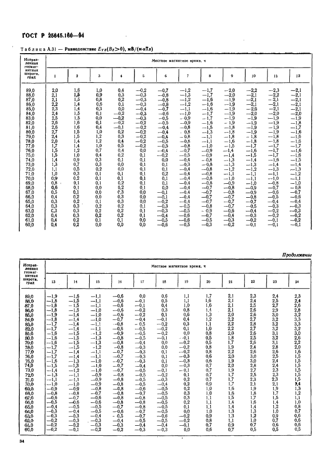
Область применения:Настоящий стандарт устанавливает модель распределения средних значений компонентов векторов электрического поля и продольного тока в высоких широтах на высоте слоя E ионосферы для любого времени суток, различных сезонов года и для различных условий в межпланетном магнитном поле.
Стандарт предназначен для оценки электромагнитного состояния магнитосферы Земли, а также для оценки воздействия электрического поля на параметры ионосферы и технические устройства, функционирующие в околоземном пространстве.
Стандарт не распространяется на периоды магнитосферных суббурь и бурь
ГОСТ Р 25645.160-94ГОСТ Р 25645.160-94ГОСТ Р 25645.160-94ГОСТ Р 25645.160-94ГОСТ Р 25645.160-94ГОСТ Р 25645.160-94ГОСТ Р 25645.160-94ГОСТ Р 25645.160-94ГОСТ Р 25645.160-94ГОСТ Р 25645.160-94ГОСТ Р 25645.160-94ГОСТ Р 25645.160-94ГОСТ Р 25645.160-94ГОСТ Р 25645.160-94ГОСТ Р 25645.160-94ГОСТ Р 25645.160-94ГОСТ Р 25645.160-94ГОСТ Р 25645.160-94ГОСТ Р 25645.160-94ГОСТ Р 25645.160-94ГОСТ Р 25645.160-94ГОСТ Р 25645.160-94ГОСТ Р 25645.160-94ГОСТ Р 25645.160-94ГОСТ Р 25645.160-94ГОСТ Р 25645.160-94ГОСТ Р 25645.160-94ГОСТ Р 25645.160-94ГОСТ Р 25645.160-94ГОСТ Р 25645.160-94ГОСТ Р 25645.160-94ГОСТ Р 25645.160-94ГОСТ Р 25645.160-94ГОСТ Р 25645.160-94ГОСТ Р 25645.160-94ГОСТ Р 25645.160-94ГОСТ Р 25645.160-94ГОСТ Р 25645.160-94ГОСТ Р 25645.160-94ГОСТ Р 25645.160-94ГОСТ Р 25645.160-94ГОСТ Р 25645.160-94ГОСТ Р 25645.160-94ГОСТ Р 25645.160-94ГОСТ Р 25645.160-94ГОСТ Р 25645.160-94ГОСТ Р 25645.160-94ГОСТ Р 25645.160-94ГОСТ Р 25645.160-94ГОСТ Р 25645.160-94ГОСТ Р 25645.160-94ГОСТ Р 25645.160-94ГОСТ Р 25645.160-94ГОСТ Р 25645.160-94ГОСТ Р 25645.160-94ГОСТ Р 25645.160-94ГОСТ Р 25645.160-94ГОСТ Р 25645.160-94ГОСТ Р 25645.160-94ГОСТ Р 25645.160-94ГОСТ Р 25645.160-94
 




ГОСТЫ, СТРОИТЕЛЬНЫЕ и ТЕХНИЧЕСКИЕ НОРМАТИВЫ.
Некоммерческая онлайн система, содержащая все Российские Госты, национальные Стандарты и нормативы.
В Системе содержится более 150000 файлов нормативно-технической документации, действующей на территории РФ.
Система предназначена для широкого круга инженерно-технических специалистов.

Рейтинг@Mail.ru Яндекс цитирования

Copyright © www.gostrf.com, 2008 - 2026