Крупнейшая бесплатная информационно-справочная система онлайн доступа к полному собранию технических нормативно-правовых актов РФ. Огромная база технических нормативов (более 150 тысяч документов) и полное собрание национальных стандартов, аутентичное официальной базе Госстандарта. GOSTRF.com - это более 1 Терабайта бесплатной технической информации для всех пользователей интернета. Все электронные копии представленных здесь документов могут распространяться без каких-либо ограничений. Поощряется распространение информации с этого сайта на любых других ресурсах. Каждый человек имеет право на неограниченный доступ к этим документам! Каждый человек имеет право на знание требований, изложенных в данных нормативно-правовых актах!

  


 

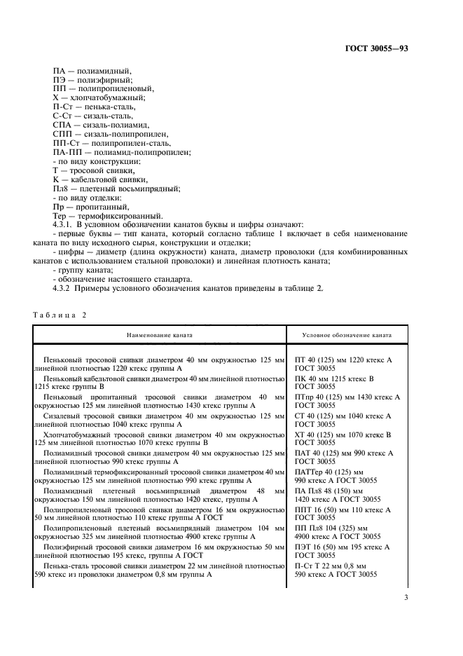
ГОСТ 30055-93

Канаты из полимерных материалов и комбинированные. Технические условия

Обозначение:ГОСТ 30055-93
Текущий статус документа: действующий
Название документа рус.:Канаты из полимерных материалов и комбинированные. Технические условия
Название документа англ.:Polymeric and combined ropes. Specifications
Дата актуализации текста:01.12.2013
Дата издания:01.08.2003
Дата введения:01.01.1995
Дата последнего изменения:22.05.2013
Переиздание:переиздание
Взамен: ОСТ 17-507-75 ТУ 17-003-76
Область применения:Настоящий стандарт распространяется на канаты из однородных полимерных материалов, а также комбинированные канаты из разных полимерных материалов и комбинированные канаты с использованием стальной проволоки и полимерных материалов, предназначенные для различных отраслей народного хозяйства
Список изменений:№1 от 01.10.2004 (рег. 01.03.2004) «Текстовое изменение; Изменены ссылочные НД»
Приложение №1:Изменение №1 к ГОСТ 30055-93
ГОСТ 30055-93ГОСТ 30055-93ГОСТ 30055-93ГОСТ 30055-93ГОСТ 30055-93ГОСТ 30055-93ГОСТ 30055-93ГОСТ 30055-93ГОСТ 30055-93ГОСТ 30055-93ГОСТ 30055-93ГОСТ 30055-93ГОСТ 30055-93ГОСТ 30055-93ГОСТ 30055-93ГОСТ 30055-93ГОСТ 30055-93ГОСТ 30055-93ГОСТ 30055-93ГОСТ 30055-93ГОСТ 30055-93ГОСТ 30055-93ГОСТ 30055-93ГОСТ 30055-93ГОСТ 30055-93ГОСТ 30055-93ГОСТ 30055-93ГОСТ 30055-93ГОСТ 30055-93ГОСТ 30055-93ГОСТ 30055-93ГОСТ 30055-93ГОСТ 30055-93ГОСТ 30055-93ГОСТ 30055-93ГОСТ 30055-93ГОСТ 30055-93ГОСТ 30055-93ГОСТ 30055-93ГОСТ 30055-93ГОСТ 30055-93ГОСТ 30055-93

Изменение №1 к ГОСТ 30055-93

Обозначение:Изменение №1 к ГОСТ 30055-93
Дата введения:01.10.2004


Изменение №1 к ГОСТ 30055-93Изменение №1 к ГОСТ 30055-93Изменение №1 к ГОСТ 30055-93Изменение №1 к ГОСТ 30055-93Изменение №1 к ГОСТ 30055-93Изменение №1 к ГОСТ 30055-93Изменение №1 к ГОСТ 30055-93Изменение №1 к ГОСТ 30055-93Изменение №1 к ГОСТ 30055-93Изменение №1 к ГОСТ 30055-93Изменение №1 к ГОСТ 30055-93
 




ГОСТЫ, СТРОИТЕЛЬНЫЕ и ТЕХНИЧЕСКИЕ НОРМАТИВЫ.
Некоммерческая онлайн система, содержащая все Российские Госты, национальные Стандарты и нормативы.
В Системе содержится более 150000 файлов нормативно-технической документации, действующей на территории РФ.
Система предназначена для широкого круга инженерно-технических специалистов.

Рейтинг@Mail.ru Яндекс цитирования

Copyright © www.gostrf.com, 2008 - 2026