Крупнейшая бесплатная информационно-справочная система онлайн доступа к полному собранию технических нормативно-правовых актов РФ. Огромная база технических нормативов (более 150 тысяч документов) и полное собрание национальных стандартов, аутентичное официальной базе Госстандарта. GOSTRF.com - это более 1 Терабайта бесплатной технической информации для всех пользователей интернета. Все электронные копии представленных здесь документов могут распространяться без каких-либо ограничений. Поощряется распространение информации с этого сайта на любых других ресурсах. Каждый человек имеет право на неограниченный доступ к этим документам! Каждый человек имеет право на знание требований, изложенных в данных нормативно-правовых актах!

  


 

РУКОВОДЯЩИЙ ДОКУМЕНТ

СИСТЕМЫ АВТОМАТИЧЕСКИЕ ПОЖАРОТУШЕНИЯ,
ПОЖАРНОЙ, ОХРАННОЙ И
ОХРАННО-ПОЖАРНОЙ СИГНАЛИЗАЦИИ.
ОБОЗНАЧЕНИЯ УСЛОВНЫЕ ГРАФИЧЕСКИЕ
ЭЛЕМЕНТОВ СВЯЗИ

РД 25.953-90

УТВЕРЖДАЮ

Начальник Научно-технического
отдела Минэлектротехприбора СССР

__________________ А.И. Подаруев

29 мая 1990 г.

ЛИСТ УТВЕРЖДЕНИЯ

Системы автоматического пожаротушения, пожарной,
охранной и охранно-пожарной сигнализации. Обозначения
условные графические систем

РД 25.953-90

Генеральный директор

НПО «Спецавтоматика»                                                              В.Д. Хазов

Начальник проектно-конструкторского

отдела стандартизации и нормоконтроля                                 Ж.А. Захарова

Руководитель разработки,

главный специалист                                                                    Г.В. Рыжихина

Исполнитель, инженер

3 категории                                                                                   А.М. Романов

СОГЛАСОВАНО

СОГЛАСОВАНО

Директор ВНИИМИСП

Зам. Начальника отдела автоматизированных систем управления технологическими процессами Минэлектротехприбора СССР

________________________ В.П. Минаев

_________________________ К.П. Гирка

«25» мая 1990 г.

«23» мая 1990 г.

Буквенно-цифровое обозначение контрольно-пускового узла, состоящего из нескольких клапанов, допускается записывать в последовательности: марки, клапанов, разделенные точкой, диаметр условного прохода и порядковый номер, разделенные точкой.

Например: КЗС.ВС100.1

Буквенно-цифровое обозначение пожарного извещателя допускается записывать в последовательности: номер приемно-контрольного прибора, буквенный код извещателя, номер шлейфа, порядковый номер извещателя. Номер шлейфа и порядковый номер извещателя в обозначении должны разделяться точкой. Для построения обозначения применяют прописные буквы латинского алфавита.

Например: 2ВТК1.12

где 2 - номер приемно-контрольного прибора;

ВТК  - буквенный код извещателя по табл. 4 настоящего РД;

1   - номер шлейфа;

12 - порядковый номер извещателя.

Буквенно-цифровые обозначения многократно повторяющихся элементов систем допускается указывать один - два раза в начале и в конце изображения.

Таблица 1

Наименование

Обозначение

на планах

на разрезах и схемах

1. Ороситель водяной спринклерный

 

 

с вогнутой розеткой

с плоской розеткой

настенного исполнения

2. Ороситель водяной

 

 

дренчерный

 

 

с вогнутой розеткой

с плоской розеткой

Примечание. Обозначение оросителей с плоской розеткой допускается сопровождать буквенным индексом «дп»

3. Ороситель водяной дренчерный с направляющей лопаткой

4. Ороситель пенный спринклерный розеточный

5. Ороситель пенный дренчерный розеточный

Примечание к пп. 4 и 5. Обозначение оросителей, устанавливаемых розеткой вниз, допускается сопровождать буквенным индексом Н; розеткой вверх - В

6. Ороситель эвольвентный

7. Генератор четырехструнный сеточный

8. Генератор пены средней кратности

9. Контрольно-пусковой узел автоматической системы пожаротушения

 

 

водозаполненной спринклерной

дренчерной

водовоздушной спринклерной

10. Клапан побудительный 7П

11. Клапан побудительный тросовый

12. Кран пожарный с пенным ручным стволом

13. Кран пожарный ручного включения

14. Ствол пожарный лафетный

 

переносной

стационарный

управляемый

15. Задвижка с электроприводом

16. Вентиль с электромагнитным приводом

17. Замок тросовой системы

18. Ролик натяжения троса

19. Приспособление для натяжения троса

20. Сигнализатор давления универсальный

21. Насадок систем газового пожаротушения

22. Головка-затвор с электроприводом

23. Головка автоматического выпуска заряда мембранного типа

24. Клапан двойного действия (для батарей типа БАУ, Т-2МЛ, БАГЭ)

25. Клапан с электропуском

26. Раструб

27. Баллон для комплектации систем газового пожаротушения БИП

28. Предохранитель секционный

29. Распределительное устройство

30. Распределитель воздуха

31. Устройство пусковое систем газового и порошкового пожаротушения

Таблица 2

Наименование

Обозначения

1. Трубопровод системы водяного пожаротушения

В21

2. Трубопровод системы пенного пожаротушения

В22

3. Трубопровод системы водяного пожаротушения с применением водосмачивателя

В23

4. Трубопровод системы газового пожаротушения

П21

5. Трубопровод для подачи сжатого воздуха

П22

6. Трубопровод побудительной сети системы газового пожаротушения

П23

7. Трубопровод вертикальный с направлением потока рабочей среды:

 

вверх

Ст. вв.

вниз

Ст. вн.

снизу

Ст. сн.

сверху

Ст. св.

Таблица 3

Наименование

Обозначение

1. Извещатель пожарный автоматический тепловой

2. Извещатель пожарный автоматический дымовой

3. Извещатель пожарный автоматический пламени

4. Извещатель пожарный ручной

5. Извещатель охранный автоматический

Примечание: Допускается графическое обозначение извещателей оптикоэлектронного, радиоволнового, ультразвукового вычеркивать вершиной треугольника в направлении зоны его действия

6. Извещатель охранный (тревожный) ручной (ножной)

7. Извещатель охранно-пожарный автоматический

8. Оповещатель охранный

9. Прибор приемно-контрольный прибор управления

10. Устройство разблокирования дверей, стен, перекрытий, заборов проводом и стекла на разбитие фольгой

11. Выключатель конечный на воротах и дверях

12. Антенна охранного извещателя

13. Шифрустройство

14. Светоотражатель

15. Устройство оконечное

16. Ретранслятор

17. Пульт централизованного наблюдения

18. Устройство уплотнения телефонных линий

19. Камера передающая телевизионной установки с поворотным устройством

20. Камера передающая телевизионной установки без поворотного устройства

21. Устройство видеоконтрольное прикладных телевизионных установок

22. Промежуточно-исполнительный орган

23. Исполнительный блок регулятора-сигнализатора

Примечание. Графическое обозначение элементов на разрезах табл. 3 не устанавливаются. Допускается в соответствии с потребностью вычерчивать их произвольно в зависимости от конфигурации элементов.

Таблица 4

Первая буква кода (обязательная)

Группа видов элементов

Примеры видов элементов

Многобуквенный код

А

Устройства

Приемно-контрольный прибор, прибор управления, пульт централизованного наблюдения

ARK

Устройства периметральной охранной сигнализации:

 

приемник

AR

излучатель

АE

Камера передающая телевизионной установки:

 

с поворотным устройством

AV

без поворотного устройства

AS

Устройство видеоконтрольное прикладных телевизионных установок

AVC

Исполнительный блок регулятора-сигнализатора

АА

В

Преобразователи неэлектрических величин в электрические или наоборот аналоговые или многоразрядные.

Преобразователи или датчики для указания или измерения

Извещатель пожарный автоматический:

 

тестовой

ВТК

дымовой

ВТН

пламени

BTF

Извещатель пожарный ручной

ВТМ

Извещатель охранный автоматический:

 

электроконтактный

BGS

магнитоконтактный

BGB

оптикоэлектронный:

 

излучатель

BGLI

приемник

BGLR

радиоволновый:

 

излучатель

BGOI

приемник

BGOR

пьезоэлектрический

BGQ

емкостной

BGC

индуктивный

BGI

контактный

BGK

ударноконтактный

BGA

магнитоуправляемый бесконтактный

BGD

микрофонный

BGT

газоаналитический

BGG

давления

BGH

Извещатель охранный (тревожный) ручной (ножной)

BGM

Извещатель охранно-пожарный автоматический:

 

оптикоэлектронный:

 

излучатель

BKLI

приемник

BKLR

ультразвуковой:

 

излучатель

BKF

приемник

BKFR

Оповещатель пожарный:

 

речевой

BIAD

звуковой

BIAS

световой

BIAL

Оповещатель охранный:

 

речевой

BIGD

звуковой

BIGS

световой

BIGL

Ретранслятор

BAR

Датчик уровня

BN

Е

Элементы разные

Пиропатрон:

ET

направления

ETN

батарей

ETB

С ветотражатель

ED

н

Устройства индикационные и сигнальные

Сигнализатор давления универсальный

HP

Регулятор-сигнализатор уровня

HN

Манометр электроконтактный

НМР

s

Устройства коммутационные в цепях управления, сигнализации и измерительных

Промежуточно-исполнительный орган

SC

Пост кнопочный

SIB

Выключатель конечный на воротах и дверях

SQ

Устройство блокировки дверей, стен, перекрытий, заборов проводом и стекла на разбитие - фольгой

SD

u

Устройства связи

Устройство уплотнения телефонных линий

UM

w

Антенны

Антенна охранного извещателя

WA

x

Соединения контактные

Бокс кабельный

ХВ

Коробка, ящик с зажимами

ХК

Коробка распределительная

XD

Y

Устройства механические с электромагнитным приводом

Задвижка с электроприводом

YV

Шифрустройство

YK

Z

Устройства оконечные с фильтром

Устройство оконечное

ZC

ПРИЛОЖЕНИЕ 1

Рекомендуемое

РАЗМЕРЫ
ОСНОВНЫХ УСЛОВНЫХ ГРАФИЧЕСКИХ ОБОЗНАЧЕНИЙ

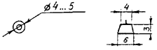
1. Рекомендуемые размеры основных условных графических обозначений элементов автоматических систем пожаротушения, пожарной, охранной и охранно-пожарной сигнализации приведены в таблице.

Таблица

Наименование

Обозначение

Ороситель водяной

Ороситель пенный

Клапан

Головка-затвор

Ролик натяжения троса

Генератор, ороситель эвольвентный

Замок тросовой системы

Извещатель пожарный, охранный охранно-пожарный

Прибор приемно-контрольный

Камера передающая телевизионной установки

Генератор пены средней кратности

Приспособление для натяжения троса

Ретранслятор

Шифрустройство

Оповещатель охранный

ПРИЛОЖЕНИЕ 2

Справочное

ПЕРЕЧЕНЬ
ЭЛЕМЕНТОВ, УСЛОВНЫЕ ГРАФИЧЕСКИЕ ОБОЗНАЧЕНИЯ (УГО) КОТОРЫХ УСТАНОВЛЕНЫ СТАНДАРТАМИ ЕСКД, СПДС И ДРУГИМИ НОРМАТИВНО-ТЕХНИЧЕСКИМИ ДОКУМЕНТАМИ

Таблица

Наименование элемента

Документ, устанавливающий УГО

Обозначение НТД

Номер таблицы

Номер пункта

АВТОМАТИЧЕСКИЕ СИСТЕМЫ ПОЖАРОТУШЕНИЯ

Баллон-ресивер

ГОСТ 2.780

-

2а)

Вентиль (клапан) запорный

ГОСТ 2.785

-

1

Вентиль (клапан) регулирующий

ГОСТ 2.785

-

3

Вентиль (клапан) трехходовой

ГОСТ 2.785

-

2

Гидропневмоемкость

ГОСТ 2.780

-

2д)

Детали соединений трубопроводов

ГОСТ 2.784

1

12

Задвижка

ГОСТ 2.785

-

9

Клапан воздушный автоматический (вантуз)

ГОСТ 2.785

-

8

Клапан дроссельный

ГОСТ 2.785

-

6

Клапан обратный (клапан невозвратный)

ГОСТ 2.785

-

4

Клапан предохранительный

ГОСТ 2.785

-

4

Клапан редукционный

ГОСТ 2.785

-

7

Компрессор

ГОСТ 2.782

1

3

Конец трубопровода с заглушкой (пробкой)

ГОСТ 2.784

1

11

Конец трубопровода под разъемное соединение

ГОСТ 2.784

1

10

Кран концевой

ГОСТ 2.785

-

14

Кран пожарный

ГОСТ 12.1.114

Прилож. 2

-

Кран проходной угловой

ГОСТ 2.785

-

11

Кран трехходовой

ГОСТ 2.785

-

12

Кран четырехходовой

ГОСТ 2.785

-

13

Манометр (общее обозначение)

ГОСТ 2.781

1

Манометр, дающий электросигнал (контактный)

ГОСТ 2.781

1а)

Насос нерегулируемый с нереверсивным потоком

ГОСТ 2.782

1

1

Огнетушитель

ГОСТ 28130

4

4.1 - 4

Опора трубопровода

ГОСТ 2.784

1

20

Пеносмеситель пожарный

ГОСТ 12.1.114

1

2.9

Пересечение трубопроводов, линий связи (без соединения)

ГОСТ 2.784

1

3

Пиропатрон

ГОСТ 2.721

ГОСТ 2.744

6

-

15н)

3

Подвеска

ГОСТ 2.784

1

21

Поток жидкости

ГОСТ 2.721

1

2

Реле давления

ГОСТ 2.781

2

Редуктор баллонный

ГОСТ 2.787

1

10

Рукав пожарный

ГОСТ 12.1.114

1

2.1, 2

Соединение трубопроводов, линий связи

ГОСТ 2.784

1

2

Соединение элементов трубопроводов разъемное

ГОСТ 2.784

1

9

Ствол пожарный ручной

ГОСТ 12.1.114

1

2.13

Трубопровод с вертикальным стояком

ГОСТ 2.784

1

4

Трубопровод гибкий, шланг

ГОСТ 2.784

1

5

Трубопроводы, линии связи

ГОСТ 2.784

1

1

Трубопровод в сальнике

ГОСТ 2.784

1

8

Трубопровод в трубе (футляре)

ГОСТ 2.784

1

7

Указатель уровня жидкости

ГОСТ 2.781

8

Установка пожаротушения

ГОСТ 28130

4

4.5 - 4

Устройства дозирующие

ГОСТ 2.793

ГОСТ 2.794

-

-

11б)

4 - 6

Шайба дроссельная, сужающее устройство расходомерное

ГОСТ 2.784

1

19б)

диафрагма

 

 

 

Шкаф управления

ГОСТ 21.614

2

11

ЭЛЕКТРОУПРАВЛЕНИЕ АВТОМАТИЧЕСКИХ СИСТЕМ ПОЖАРОТУШЕНИЯ И СИГНАЛИЗАЦИИ

Батарея аккумуляторная

ГОСТ 21.614

7

10

Бокс кабельный

ГОСТ 21.406

8

6

Выключатель

ГОСТ 21.614

3

1 - 4

Выключатель автоматический

ГОСТ 21.614

6

7

Выключатель путевой

ГОСТ 21.614

6

10

Гудок

ГОСТ 21.614

6

2

Датчик уровня

ГОСТ 21.404

-

1.1.2

Диод

ГОСТ 2.730

5

1

Заземление

ГОСТ 2.721

1

Заземлители

ГОСТ 21.614

1

1.5

Звонок

ГОСТ 21.614

6

1

Инженерная сеть, прокладываемая в коммуникационных сооружениях

ГОСТ 21.108

8

1

а) на эстакаде

 

 

 

б) в галерее

 

 

 

в) в тоннеле, проходном канале

 

 

 

г) в канале непроходном

 

 

 

д) в кабельном канале

 

 

 

Инженерная сеть, прокладываемая в траншее

ГОСТ 21.108

8

2

Исполнительный механизм

ГОСТ 21.404

1

3 - 5

Канализация кабельная

СТ СЭВ 160

7

2

Контакты коммутационных устройств

ГОСТ 2.755

2

1 - 16

Колодец кабельный

ГОСТ 21.406

8

7

Коробка абонентская

ГОСТ 21.406

8

12

Коробка вводная

ГОСТ 21.614

1

2

Коробка ответвительная

ГОСТ 21.614

2

1

Коробка протяжная

ГОСТ 21.614

2

3

Коробка распределительная

ГОСТ 21.406

8

12.1

Коробка, ящик с зажимами

ГОСТ 21.614

2

4

Линия проводки

ГОСТ 21.614

1

1

Манометр электроконтактный

ГОСТ 2.781

1а)

Муфта кабельная (для линий связи)

ГОСТ 21.406

8

21

Муфты кабельные подземных линий

СТ СЭВ 160

6

2

Оповещатель пожарный

ГОСТ 28130

1

1.10

Оповещатель-сирена

ГОСТ 28130

4

4.15

Опоры воздушных линий

СТ СЭВ 160

4

1 - 4

Опоры линий передачи

ГОСТ 21.406

8

30 - 49

Отверстие для прокладки кабелей

ГОСТ 21.406

9

6

Панель

ГОСТ 21.614

2

11

Переключатель

ГОСТ 21.614

3

5, 6

Переключатель управления

ГОСТ 21.614

6

9

Пиропатрон

ГОСТ 2.721

ГОСТ 2.744

6

15н)

3

Пост кнопочный

ГОСТ 21.614

6

8

Пост местного управления

ГОСТ 21.614

2

11

Пост сигнализации центральный

ГОСТ 2.758

5

1, 2

Прибор оптический для световой сигнализации

ГОСТ 2.758

4

1

Прокладка проводов и кабелей

ГОСТ 21.614

1

2 - 4

Пульт

ГОСТ 21.614

2

11

Пускатель магнитный

ГОСТ 21.614

6

6

Радиорозетка

ГОСТ 21.406

7

11

Ревун

ГОСТ 21.614

6

2

Регулятор-сигнализатор уровня

ГОСТ 21.404

-

31

Резистор переменный

ГОСТ 2.728

1

4

Резистор постоянный

ГОСТ 2.728

1

1

Реле давления

ГОСТ 2.781

2

Розетка телефонная

ГОСТ 21.406

5

5

Розетка штепсельная

ГОСТ 21.614

3

7 - 3

Светильник с лампой накаливания

ГОСТ 21.614

4

1

Светильник с лампой накаливания для специального освещения (световой указатель)

ГОСТ 21.614

4

7

Смирена

ГОСТ 21.614

6

2

Стойка телефонная

ГОСТ 21.614

8

28

Табло для вызова персонала

ГОСТ 21.614

6

3

Телефон

ГОСТ 28130

4

4.13

Трансформатор силовой

ГОСТ 21.614

8

1

Устройство контактное для дверей, окон, полов, люков

ГОСТ 2.758

3

3

Устройство пусковое для электродвигателей

ГОСТ 21.614

6

5

Устройство, срабатывающее при разрыве, например, полоски фольги

ГОСТ 2.758

3

12

Устройство электротехническое Общее обозначение

ГОСТ 21.614

7

1

Шкаф

ГОСТ 21.614

2

11

Шкаф кабельный распределительный

ГОСТ 21.406

8

11

Шкафы кабельные

СТ СЭВ 160

9

1

Щит открытый

ГОСТ 21.614

2

15

Щиток групповой аварийного освещения

ГОСТ 21.614

2

8

Щиток одностороннего обслуживания

ГОСТ 21.614

2

11

Элементы воздушных линий

СТ СЭВ 160

5

1 - 18

Ящик с аппаратурой

ГОСТ 21.614

2

9

Ящик пупиновый

ГОСТ 21.406

8

53

ПРИЛОЖЕНИЕ 3

Справочное

АЛФАВИТНЫЙ УКАЗАТЕЛЬ УСЛОВНЫХ ОБОЗНАЧЕНИЙ

Таблица

Наименование элемента

Номер таблицы

Порядковый номер в таблице

Антенна охранного извещателя

3

12

Баллон для комплектации систем газового пожаротушения БИП

1

27

Вентиль с электромагнитным приводом

1

16

Выключатель конечный на воротах и дверях

3

11

Генератор пены средней кратности

1

8

Генератор четырехструйный сеточный

1

7

Головка автоматического выпуска заряда мембранного типа

1

23

Головка-затвор с электроприводом

1

22

Задвижка с электроприводом

1

15

Задвижка тросовой системы

1

17

Извещатель охранный автоматический

3

5

Извещатель охранный (тревожный) ручной (ножной)

3

6

Извещатель охранно-пожарный автоматический

3

7

Извещатель пожарный автоматический тепловой

3

1

Извещатель пожарный автоматический дымовой

3

2

Извещатель пожарный автоматический пламени

3

3

Извещатель пожарный ручной

3

4

Исполнительный блок регулятора-сигнализатора

3

23

Камера передающая телевизионной установки без поворотного устройства

3

20

Камера передающая телевизионной установки с поворотным устройством

3

19

Клапан воздушно-пусковой

1

12

Клапан двойного действия

1

24

Клапан побудительный 7П

1

10

Клапан побудительный тросовый

1

11

Клапан с электропуском

1

25

Контрольно-пусковой узел автоматической системы пожаротушения

1

9

Кран пожарный ручного включения

1

13

Кран пожарный с пенным ручным стволом

1

12

Насадок систем газового пожаротушения

1

21

оповещатель охранный

3

8

Ороситель водяной дренчерный

1

2, 3

Ороситель водяной спринклерный

1

1

Ороситель пенный дренчерный розеточный

1

5

Ороситель пенный спринклерный розеточный

1

4

Ороситель эвольвентный

1

6

Предохранитель секционный

1

28

Прибор приемно-контрольный, прибор управления

3

9

Приспособление для натяжения троса

1

19

Промежуточно-исполнительный орган

3

22

Пульт централизованного наблюдения

3

17

Распределительное устройство

1

29

Распределитель воздуха

1

30

Раструб

1

26

Ретранслятор

3

16

Ролик натяжения троса

1

18

Светоотражатель

3

14

Сигнализатор давления универсальный

1

20

Ствол пожарный лафетный

1

14

Трубопровод побудительный сети системы газового пожаротушения

2

6

Трубопровод для подачи сжатого воздуха

2

5

Трубопровод вертикальный с направлением потока рабочей среды вверх, вниз

2

7

Трубопровод системы водяного пожаротушения

2

1

Трубопровод системы водяного пожаротушения с применением водосмачивателя

2

3

Трубопровод системы газового пожаротушения

2

4

Трубопровод системы пенного пожаротушения

2

2

Устройство блокировки дверей, стен, перекрытий, заборов проводом и стекла на разбитие -фольгой

3

10

Устройство видеоконтрольное прикладных телевизионных установок

3

21

Устройство оконечное

3

15

Устройство пусковое систем газового и порошкового пожаротушения

1

31

Устройство уплотнения телефонных линий

3

18

Шифрустройство

3

13

ИНФОРМАЦИОННЫЕ ДАННЫЕ

1. УТВЕРЖДЕН Министерством электротехнической промышленности и приборостроения СССР

2. ИСПОЛНИТЕЛИ: Г.В. Рыжихина (руководитель темы);

А.М. Романов

3. ВЗАМЕН ОСТ 2532981

4. ССЫЛОЧНЫЕ ДОКУМЕНТЫ

Обозначение документа, на который даны ссылки

Номер пункта, подпункта, перечисления, приложения

ГОСТ 2.721-74

Приложение 2

ГОСТ 2.728-74

Приложение 2

ГОСТ 2.730-73

Приложение 2

ГОСТ 2.744-68

Приложение 2

ГОСТ 2.755-87

Приложение 2

ГОСТ 2.758-81

Приложение 2

ГОСТ 2.780-68

Приложение 2

ГОСТ 2.781-68

Приложение 2

ГОСТ 2.782-68

Приложение 2

ГОСТ 2.784-70

Приложение 2

ГОСТ 2.785-70

Приложение 2

ГОСТ 2.787-71

Табл. 1 перечисление 32

ГОСТ 2.793-79

Приложение 2

ГОСТ 2.794-79

Приложение 2

ГОСТ 12.1.114-82

Приложение 2

ГОСТ 21.108-78

Приложение 2

ГОСТ 21.404-85

Приложение 2

ГОСТ 21.406-85

п. 5, приложение 2

ГОСТ 21.614-88

п. 5, приложение 2

ГОСТ 28130-89

п. 1, табл. 3 (перечисление 8) приложение 2

СТ СЭВ 160-75

Приложение 2

СТ СЭВ 5236-85

п. 1

ИСО 6790-86

п. 1

СОДЕРЖАНИЕ

 

 



IP камеры в Москве https://www.bargas.ru/catalog/sistemy_videonablyudeniya/ip_kamery/.
ГОСТЫ, СТРОИТЕЛЬНЫЕ и ТЕХНИЧЕСКИЕ НОРМАТИВЫ.
Некоммерческая онлайн система, содержащая все Российские Госты, национальные Стандарты и нормативы.
В Системе содержится более 150000 файлов нормативно-технической документации, действующей на территории РФ.
Система предназначена для широкого круга инженерно-технических специалистов.

Рейтинг@Mail.ru Яндекс цитирования

Copyright © www.gostrf.com, 2008 - 2026