Крупнейшая бесплатная информационно-справочная система онлайн доступа к полному собранию технических нормативно-правовых актов РФ. Огромная база технических нормативов (более 150 тысяч документов) и полное собрание национальных стандартов, аутентичное официальной базе Госстандарта. GOSTRF.com - это более 1 Терабайта бесплатной технической информации для всех пользователей интернета. Все электронные копии представленных здесь документов могут распространяться без каких-либо ограничений. Поощряется распространение информации с этого сайта на любых других ресурсах. Каждый человек имеет право на неограниченный доступ к этим документам! Каждый человек имеет право на знание требований, изложенных в данных нормативно-правовых актах!

  


 

Система нормативных документов в строительстве

СВОД ПРАВИЛ ПО ПРОЕКТИРОВАНИЮ И СТРОИТЕЛЬСТВУ

ЖЕЛЕЗОБЕТОННЫЕ КОНСТРУКЦИИ В ХОЛОДНОМ КЛИМАТЕ
И НА ВЕЧНОМЕРЗЛЫХ ГРУНТАХ

СП 52-105-2009

Москва 2009

Предисловие

РАЗРАБОТАН Научно-исследовательским проектно-конструкторским и технологическим институтом бетона и железобетона им. А.А. Гвоздева (НИИЖБ) - филиалом ФГУП «НИЦ «Строительство»

РЕКОМЕНДОВАН к утверждению и применению конструкторской секцией НТС НИИЖБ от 30 октября 2008 г.

УТВЕРЖДЕН И ВВЕДЕН В ДЕЙСТВИЕ приказом и.о. генерального директора ФГУП «НИЦ «Строительство», приказ № 59 от 31.03.2009 г.

ВВЕДЕН ВЗАМЕН Рекомендаций по расчету железобетонных свайных фундаментов, возводимых на вечномерзлых грунтах, с учетом температурных и влажностных воздействий.

Содержание

Введение

1 Область применения

2 Нормативные ссылки

3 Общие указания

4 Материалы для железобетонных конструкций

5 Расчет деформаций железобетонных элементов от воздействия холодного климата

6 Расчет железобетонных конструкций в холодном климате

7 Расчет усилий от воздействия температуры и влажности воздуха

Приложение А Температурные воздействия холодного климата

Приложение Б Влажностные воздействия холодного климата

Приложение В Изолинии глубин сезонного оттаивания грунтов

Приложение Г Эпюры М, N и Q для рамных конструкций

Введение

Настоящий Свод правил разработан в развитие СНиП 52-01-2003 «Бетонные и железобетонные конструкции. Основные положения» и СНиП 2.02.04-88 «Основания и фундаменты на вечномерзлых фунтах».

Объем строительства зданий и сооружений различного назначения из железобетона в условиях холодного климата значительно возрастает. В то же время практика проектирования не имеет в своем распоряжении документа, где были бы объединены основные требования по учету влияния холодного климата на работу железобетонных конструкций, находящихся в тяжелых условиях вечномерзлых грунтов. Свод правил содержит рекомендации по расчету и проектированию железобетонных конструкций с учетом температурно-влажностного режима холодного климата и вечномерзлых грунтов.

СВОД ПРАВИЛ ПО ПРОЕКТИРОВАНИЮ И СТРОИТЕЛЬСТВУ

ЖЕЛЕЗОБЕТОННЫЕ КОНСТРУКЦИИ В ХОЛОДНОМ КЛИМАТЕ
И НА ВЕЧНОМЕРЗЛЫХ ГРУНТАХ

CONCRETE STRUCTURES FOR COLD CLIMATE
AND PERMAFROST SOIL

Дата введения 2009-04-15

1 Область применения

Настоящий Свод правил (далее - СП) распространяется на проектирование железобетонных конструкций зданий и сооружений различного назначения из тяжелого бетона, эксплуатируемых в холодном климате и на вечномерзлых грунтах с учетом температурно-влажностного режима.

2 Нормативные ссылки

В настоящем Своде правил использованы ссылки на следующие основные нормативные документы:

СНиП 2.01.07-85* Нагрузки и воздействия

СНиП 2.02.01-83* Основания зданий и сооружений

СНиП 2.02.03-85 Свайные фундаменты

СНиП 2.02.04-88 Основания и фундаменты на вечномерзлых грунтах

СНиП 3.03.01-87 Несущие и ограждающие конструкции

СНиП 21-01-97* Пожарная безопасность зданий и сооружений

СНиП 23-01-99* Строительная климатология

СНиП 23-02-2003 Тепловая защита зданий

СНиП 52-01-2003 Бетонные и железобетонные конструкции. Основные положения

СП 50-102-2003 Проектирование и устройство свайных фундаментов

СП 52-101-2003 Бетонные и железобетонные конструкции без предварительного напряжения арматуры

СП 52-103-2007 Железобетонные монолитные конструкции зданий

ГОСТ 12.1.005-88 ССБТ. Общие санитарно-гигиенические требования к воздуху рабочей зоны

ГОСТ 5781-82 Сталь горячекатаная для армирования железобетонных конструкций. Технические условия

ГОСТ 6727-80 Проволока из низкоуглеродистой стали холоднотянутая для армирования железобетонных конструкций. Технические условия

ГОСТ 10178-91 Портландцемент и шлакопортландцемент. Технические условия

ГОСТ 10884-94 Сталь арматурная термомеханически упрочненная для железобетонных конструкций. Технические условия

ГОСТ 22266-94 Цементы сульфатостойкие. Технические условия

ГОСТ 25100-95 Грунты. Классификация

СТО 36554501-006-2006 Правила по обеспечению огнестойкости и огнесохранности железобетонных конструкций

СТО 36554501-014-2008 Надежность строительных конструкций и оснований. Основные положения

СТО АСЧМ 7-93 Прокат периодического профиля из арматурной стали. Ассоциация Черметстандарт

Руководство по бетонированию фундаментов и коммуникаций в вечномерзлых грунтах с учетом твердения бетона при отрицательных температурах. - М., 1982

Рекомендации по наблюдению за состоянием грунтов оснований зданий и сооружений, возводимых на вечномерзлых грунтах/ НИИОСП. - М., 1982

Рекомендации по расчету бетонных и железобетонных конструкций на изменение климатической температуры и влажности /НИИЖБ. - М., 1991

Рекомендации по расчету конструкций крупнопанельных зданий на температурно-влажностные воздействия /ЦНИИСК. - М., 1983

Расчет и проектирование ограждающих конструкций зданий. Справочное пособие к СНиП II-3-79*/НИИСФ. - М., 1990

3 Общие указания

3.1 Настоящий Свод правил содержит дополнительные сведения по расчету бетонных и железобетонных конструкций зданий и сооружений различного назначения, эксплуатируемых в холодном климате России и на вечномерзлых фунтах.

3.2 Бетонные и железобетонные конструкции должны быть обеспечены требуемой надежностью от возникновения всех видов предельных состояний расчетом с учетом неблагоприятного воздействия холодного климата. При этом должны быть выполнены технологические требования при изготовлении конструкций с учетом влияния отрицательных температур наружного воздуха и соблюдены требования по эксплуатации, огнестойкости и огнесохранности зданий и сооружений, устанавливаемые соответствующими нормативными документами.

3.3 Настоящий Свод правил распространяется на расчет железобетонных конструкций отапливаемых и неотапливаемых зданий и сооружений, в том числе конструкций нулевого цикла, возводимых в холодном климате и на вечномерзлых грунтах.

3.4 Северная строительная климатическая зона (рис. 3.1) подразделяется на три климатических района с условиями: 1 - наименее суровыми; 2 - суровыми; 3 - наиболее суровыми (табл. 3.1).

3.5 Расчетная зимняя температура наружного воздуха для расчета железобетонных конструкций принимается по средней температуре воздуха наиболее холодной пятидневки в зависимости от района строительства согласно СНиП 23-01.

3.6 Расчетная влажность наружного воздуха определяется как средняя относительная влажность воздуха наиболее холодного месяца в зависимости от района строительства согласно СНиП 23-01 (табл. 1* и 2*).

3.7 Вечномерзлыми (многолетнемерзлыми) называются грунты, имеющие отрицательную или нулевую температуру, содержащие в своем составе лед и находящиеся в мерзлом состоянии не менее трех лет. Вечномерзлые грунты подразделяют на твердомерзлые, пластичномерзлые и сыпучемерзлые. Верхняя граница вечномерзлых грунтов определяется границей их максимального сезонного оттаивания. Верхний слой грунта, подвергаемый сезонному оттаиванию, называется деятельным слоем. Мощность деятельного слоя в зависимости от широты и особенностей грунта может составлять от 0,2 до 4,0 м.

3.8 Вечномерзлые грунты в качестве оснований сооружений могут использоваться по первому или второму принципам:

первый принцип предусматривает использование вечномерзлых грунтов основания в мерзлом состоянии, сохраняемом при строительстве и при эксплуатации;

второй принцип предусматривает использование вечномерзлых грунтов основания в оттаявшем состоянии как при строительстве, так и при эксплуатации.

3.9 При изменении температуры и влажности наружного воздуха в железобетонных конструкциях возникают усилия и деформации. Расчет железобетонных конструкций производится на воздействие расчетных температуры и влажности.

Под расчетной температурой наружного воздуха понимается условная температура, учитывающая совместные воздействия годовых и суточных колебаний температуры наружного воздуха и эквивалентных температур солнечной радиации (рис. 3.2).

Таблица 3.1

Климатический район

Температура, °С

Сумма средних суточных температур за период со средней суточной температурой воздуха ≤ 8 °С

абсолютная минимальная

наиболее холодных суток обеспеченностью

наиболее холодной пятидневки обеспеченностью

0,98

0,92

0,98

0,92

Наименее суровые условия

-35

-51

-28

-43

-25

-40

-25

-38

-23

-36

-743

-2780

Суровые условия

-45

-60

-40

-53

-39

-51

-38

-51

-36

-49

-2138

-5678

Наиболее суровые условия

-54

-71

-50

-63

-49

-62

-47

-62

-46

-61

-3199

-7095

Примечание - Первая строка - максимальное значение, вторая строка - минимальное значение.


 


За расчетную влажность наружного воздуха принимается среднемесячная относительная влажность воздуха во влажный период наиболее холодного месяца и в сухой период - наиболее жаркого месяца.

Продольные усилия и деформации в железобетонных конструкциях вызываются изменением средней температуры и влажности сечения. Усилия и деформации из плоскости конструкции возникают при изменении перепада температуры и влажности по толщине элемента. Расчет на воздействие средней температуры и влажности и перепада температуры и влажности производится раздельно. При совместном воздействии средней температуры и влажности и перепада температуры и влажности усилия и деформации алгебраически суммируются на основе принципа независимости действия сил.

3.10 Расчет производится на наиболее неблагоприятные сочетания летней и зимней температуры и влажности, которые могут быть как в период строительства, так и в период эксплуатации конструкции. В период строительства расчет производится как для неотапливаемых зданий. В период эксплуатации расчет ведется на совместное воздействие температуры, солнечной радиации, влажности и усадки бетона при их неблагоприятном сочетании.

3.11 В эксплуатационный период рассматривают две расчетные стадии работы статически неопределимой железобетонной конструкции:

первая стадия - первое замораживание до расчетной зимней температуры бетона конструкции при кратковременной нагрузке;

вторая стадия - длительное попеременное замораживание и оттаивание при продолжительном действии нагрузки.

При первом замораживании возникают наибольшие усилия от воздействия температуры и влажности воздуха. При длительном попеременном замораживании и оттаивании бетона происходит снижение прочности и жесткости железобетонных элементов, уменьшение усилий и увеличение деформаций от температурно-влажностных воздействий и от продолжительного действия нагрузки.

Расчет статически определимых железобетонных конструкций следует производить только на длительное переменное замораживание и оттаивание и продолжительное действие нагрузки.

3.12 Расчетную зимнюю температуру бетона допускается принимать одинаковой по всему поперечному сечению железобетонной конструкции в открытых сооружениях, неотапливаемых зданиях и в отапливаемых зданиях в период строительства, а также в фундаментах (обвязочных балках), ростверках, прогонах и в верхней части свай, находящейся над поверхностью грунта. В нижней части свай, находящейся в мерзлом фунте, расчетная зимняя температура бетона принимается равной расчетной зимней температуре грунта на глубине 0,5 м от поверхности.

Таблица 3.2

Климатические районы

Климатические подрайоны

Среднемесячная температура воздуха в январе, °С

Средняя скорость ветра за три зимних месяца, м/с

Среднемесячная температура воздуха в июле, °С

Среднемесячная относительная влажность воздуха в июле, %

I

IA

От -32 и ниже

-

От +4 до +19

-

IБ

От -28 и ниже

5 и более

От 0 до +13

Более 75

IB

От -14 до -28

-

От +12 до +21

-

IГ

От -14 до -28

5 и более

От 0 до + 14

Более 75

IД

От -14 до -32

-

От +10 до +20

-

II

IIА

От -4 до -14

5 и более

От +8 до +12

Более 75

IIБ

От -3 до -5

5 и более

От +12 до +21

Более 75

IIВ

От -4 до -14

-

От +12 до +21

-

IIГ

От -5 до -14

5 и более

От+12 до +21

Более 75

III

IIIA

От -14 до -20

-

От +21 до +25

-

IIIБ

От -5 до +2

-

От +21 до +25

-

IIIВ

От -5 до -14

-

От +21 до +25

-

Примечание - Климатический подрайон IД характеризуется продолжительностью холодного периода года (со средней суточной температурой воздуха ниже 0 °С) 190 дней в году и более.

3.13 Железобетонные конструкции в зависимости от условий эксплуатации подразделяются на:

а) надземные железобетонные конструкции, располагающиеся выше отметки 0,5 м над дневной поверхностью грунта и защищенные от атмосферных осадков, а также подвергающиеся воздействию атмосферных осадков, ветра, солнечной радиации, изменению температуры воздуха, действию капиллярного подсоса влаги;

б) железобетонные конструкции, находящиеся ниже отметки 0,5 м над дневной поверхностью земли и на - 1,2 м ниже уровня земли - в зоне сезонного оттаивания грунта (в деятельном слое). Бетон в этой зоне подвергается переменному замораживанию и оттаиванию в водонасыщенном состоянии. Наиболее интенсивно это происходит ниже уровня дневной поверхности грунта, а также на границе «сезонно-замерзающий слой - вечномерзлый грунт», где накапливаются воды, содержащие соли;

в) железобетонные конструкции, находящиеся ниже глубины сезонного промерзания, где не проявляется влияние сезонных колебаний температур, не испытывают значительных температурно-влажностных воздействий окружающей среды;

г) железобетонные конструкции на глубине более 10 м, находящиеся в зоне стабильных температур.

4 Материалы для железобетонных конструкций

Бетон

4.1 Для железобетонных конструкций, сооружаемых в холодном климате и на вечномерзлых грунтах, следует применять тяжелый бетон со средней плотностью 2200-2500 кг/м3 который в зависимости от условий работы отвечает требованиям по прочности, морозостойкости и водонепроницаемости, изложенным в табл. 4.1.

4.2 Замораживание бетона до приобретения им указанных в табл. 4.1 свойств не допускается.

При этом в обязательном порядке должны соблюдаться особенности производства бетонных работ в зимних условиях и в зоне вечномерзлых грунтов согласно СНиП 3.03.01.

Для приготовления бетонных смесей с противоморозными, воздухововлекающими и микрогазообразующими добавками рекомендуется применять портландцемент с содержанием C2S ≥ 55 % и С3А ≤ 8 %, удовлетворяющий требованиям ГОСТ 10178, или сульфатостойкий портландцемент, удовлетворяющий требованиям ГОСТ 22266. Расход цемента не более 450 кг/м3 с водоцементным отношением не более 0,5 для бетонов классов В20-В30; 0,45 - для бетонов В35-В45 и 0,4 - для бетонов В50-В60. Рекомендуется также применять шлакопортландцемент марок 400 и 500, удовлетворяющий ГОСТ 10178. Минимальное воздухововлечение 4 %.

4.3 Для железобетонных конструкций рекомендуется применять класс бетона по прочности на сжатие не ниже В25.

4.4 Расчетные сопротивления бетона в зависимости от его класса принимают по СП 52-101. Расчетные значения сопротивления бетона сжатию Rb умножаются на коэффициент условия работы γb. При воздействии низкой температуры значение коэффициента γb принимают по табл. 4.2.

Таблица 4.1

Группа конструкций

Условия работы конструкции

Минимальный класс бетона по прочности на сжатие В

Минимальные марки бетона

Минимальное воздухо-вовлечение, %

Характеристика режима работы

Расчетная зимняя температура наружного воздуха

по морозо-
стойкости
F

по водоне-
проницаемости
W

1

Железобетонные конструкции, расположенные в сезонно-оттаивающем слое грунта и подвергающиеся попеременному замораживанию и оттаиванию в водонасыщенном состоянии

Ниже минус 40 °С

35

400

10

4

Ниже минус 0 °С до минус 40 °С включительно

30

200

8

4

2

Наземные железобетонные конструкции, подвергающиеся воздействию атмосферных осадков и попеременному замораживанию и оттаиванию

Ниже минус 40 °С

30

200

8

4

Ниже минус 20 °С до минус 40 °С включительно

25

150

6

4

3

Железобетонные конструкции, защищенные от атмосферных осадков и подвергающиеся замораживанию и оттаиванию

Ниже минус 40 °С

25

150

6

-

Ниже минус 20 °С до минус 40 °С включительно

25

150

6

-

Примечания

1 Расчетная зимняя температура наружного воздуха принимается согласно п. 3.5.

2 Марки по морозостойкости и водонепроницаемости для конструкций водоснабжения и канализации, а также для свай и свай-оболочек следует назначать согласно требованиям соответствующих нормативных документов.

4.5 Расчетные значения сопротивления бетона растяжению Rbt при расчете на первое замораживание умножают на коэффициент условий работы бетона

γbt = 1,1γb.

(4.1)

и при расчете на переменное замораживание-оттаивание - на коэффициент

γbt = 0,9γb

(4.2)

4.6 Значение модуля упругости бетона при сжатии и растяжении Еb принимают по СП 52-101.

4.7 При расчете статически неопределимых конструкций на кратковременное действие нагрузки при первом замораживании бетона начальный модуль упругости бетона рекомендуется определять по формуле

Ebt = Eb · βb

(4.3)

Коэффициент βb, учитывающий увеличение модуля упругости бетона при первом замораживании, определяют по табл. 4.3.

Таблица 4.2

Условия работы

Группа конструкций по табл. 4.1

Значения коэффициента γb при расчетной зимней температуре, °С

-20

-40

-60

Первое замораживание

1

1,8

2,1

2,4

2

1,5

1,7

1,9

3

1,2

1,3

1,4

Переменное замораживание и оттаивание

1

0,75

0,70

0,65

2

0,80

0,75

0,70

3

0,85

0,80

0,75

Примечание - Для промежуточных значений расчетной зимней температуры значение коэффициента γb определяется интерполяцией.

Таблица 4.3

Группа конструкций по табл. 4.1

Значение коэффициента βb в расчете на первое замораживание при расчетной зимней температуре, °С

-20

-40

-60

1

1,1

1,3

1,3

2

1,3

1,4

1,5

3

1,5

1,6

1,7

Примечание - Для промежуточных значений расчетной зимней температуры значения βb t определяются интерполяцией.

4.8 Относительные деформации бетона при сжатии в зависимости от расчетной зимней температуры при замораживании бетона и непродолжительном нагружении приведены в табл. 4.4 и при переменном замораживании и оттаивании бетона и продолжительном действии нагрузки даны в табл. 4.5.

Таблица 4.4

Группа конструкций по табл. 4.1

Расчетная зимняя температура, °С

Относительная деформация бетона при сжатии от непродолжительного нагружсния при замораживании

εb0 · 10-4

εb2 · 10-4

εb1, red 10-4

1

-20

-40, -60

26

30

41

50

20

22

2

-20

-40, -60

24

28

39

47

18

20

3

-20

-40, -60

22

26

37

44

16

18

Таблица 4.5

Группа конструкций по табл. 4.1

Расчетная зимняя температура, °С

Относительная деформация бетона при сжатии от продолжительного нагружения при переменном замораживании и оттаивании

εb0 · 10-4

εb2 · 10-4

εb1, red 10-4

1

-20

-40, -60

35

45

55

65

25

35

2

-20

-40, -60

30

40

50

60

20

30

3

-20

-40, -60

25

35

45

55

15

25

4.9 При продолжительном действии нагрузки в условиях переменного оттаивания-замораживания значения начального модуля деформаций бетона определяют по следующей формуле:

E = Eb/(I – φb,cr),

(4.4)

где φb,cr - коэффициент ползучести бетона, который при переменном замораживании и оттаивании принимают по табл. 4.6.

Таблица 4.6

Группа конструкций по табл. 4.1

Значение коэффициента ползучести бетона φb,cr при расчете на длительное действие нагрузки и переменного замораживания и оттаивания при классе бетона

В20

В25

В30

В35

В40

В45

В50

В55

В60

1

7,0

6,0

5,2

4,8

4,4

3,8

3,2

2,8

2,6

2

4,1

3,6

2,8

2,5

2,2

2,0

1,9

1,8

1,7

3

2,5

2,2

2,0

1,8

1,6

1,5

1,4

1,3

1,2

4.10 При расчете железобетонных элементов по деформационной модели используют диаграммы состояния бетона. В качестве расчетных диаграмм состояния бетона, определяющих связь между напряжениями и относительными деформациями, принимают трехлинейную (при расчете образования трещин) и двухлинейную диаграммы (рис. 4.1).

4.11 При трехлинейной диаграмме (рис. 4.1 а) сжимающие напряжения бетона σb в зависимости от относительных деформаций укорочения бетона eh определяют по формулам

при 0 εb εb1

σb = Ebtεb;

(4.5)

при εb1 εb εb0

(4.6)

при εb0 εb εb1

σb = Rb.

(4.7)

Значения напряжения σbl принимают

σb1 = 0,6Rb.

(4.8)

Значения относительных деформаций εb1 принимают

(4.9)

4.12 При двухлинейной диаграмме сжимающее напряжение бетона в зависимости от относительных деформаций εb определяют по формулам

при 0 εb εb1, red;

σb = Eb,red εb;

(4.10)

при εb1, red εb εb2

σb = Rb.

(4.11)

Значение приведенного модуля упругости бетона Еb red принимают

(4.12)

4.13 Значения коэффициента поперечной деформации бетона допускается принимать при отрицательной температуре до -40 °С vbp = 0,23 и при -60 °C vbp = 0,25.

4.14 Температурные деформации бетона при воздействии низкой температуры в основном зависят от его влажности. При понижении температуры до -20 °С происходит сокращение матрицы бетона, и вода в больших порах начинает замерзать. Замерзание воды сопровождается увеличением объема. При дальнейшем понижении температуры до -40 °С и -60 °С вода замерзает во всех порах, и лед, проходя пять фаз своего состояния, увеличивается в объеме и создает на матрицу бетона большое давление, и происходит некоторое увеличение объема бетона. Чем больше влажность бетона, тем больше происходит увеличение объема бетона, и коэффициент температурной деформации увеличивается.

4.15 При повышении температуры с -60 °С до -20 °С происходит дополнительное расширение льда, появляются трещины в матрице бетона, и бетон дополнительно увеличивает свои размеры.

Бетон на портландцементе нормальной влажности 2-3 % как при замораживании до -20 °С, так и при оттаивании имеет наибольший отрицательный коэффициент температурной деформации (кривая 3 на рис. 4.2). Бетон влажностью 3,5-4,5 % имеет меньший отрицательный коэффициент температурной деформации

а - трехлинейная; б - двухлинейная; 1 - при 20 °С; 2 - при замораживании; 3 - при попеременном замораживании и оттаивании

Рисунок 4.1 - Диаграммы состояния сжатого бетона

————— при замораживании; - - - - - - - при оттаивании;

1, 2, 3 - условия работы конструкции по табл. 4.1

Для бетона с карбонатным заполнителем аbt · 10-6/°С принимают на 1 · 10-6/°С меньше по абсолютному значению

Рисунок 4.2 - Коэффициент температурной деформации бетона на портландцементе с силикатным заполнителем

(кривая 2) при замерзании и положительный коэффициент аbt при оттаивании. У бетона, находящегося в водонасыщенном состоянии влажностью 5-8 %, даже при замораживании до -60 °С коэффициент аbt имеет положительное значение и при оттаивании он еще увеличивается (кривая 1). Коэффициенты температурной деформации для бетона на шлакопортландцементе приведены на рис. 4.3.

Таблица 4.7

Влажность воздуха, %, наиболее сухого месяца района строительства

Предельные деформации усадки εcs · 106 бетона с осадкой стандартного конуса 3-8 см для конструкций, не защищенных от воздействия солнечной радиации, в зависимости от hred, см

3,5

5

10

20

50

100 и более

40

680

600

500

440

400

370

60

580

500

400

340

300

260

75

500

420

320

260

220

180

90

430

340

240

190

170

170

Примечания

1 Для конструкций, защищенных от воздействия солнечной радиации, значения деформаций усадки умножают на 0,85.

2 Значения деформаций усадки при подвижности бетонной смеси по осадке стандартного конуса, см, умножают на 1,1 при 9-14 и 1,25 при 15 и более.

——————— при замораживании; - - - - - - - - - - - - при оттаивании;

1, 2, 3 - условия работы конструкции по табл. 4.1

Для бетона с карбонатным заполнителем abt · 10-6C принимают на 1 · 10-6C меньше по абсолютному значению

Рисунок 4.3 - Коэффициент температурной деформации бетона на шлакопортландцементе с силикатным заполнителем

4.16 Наибольшую влажность бетон имеет непосредственно после изготовления конструкции, затем он высыхает до равновесной влажности с окружающей средой. Высыхание бетона сопровождается развитием деформаций усадки бетона. Расчетные предельные значения деформаций усадки бетона εcs даны в табл. 4.7.

4.17 Приведенная высота сечения элемента hred характеризует массивность конструкции и равна площади поперечного сечения, деленной на половину периметра открытого для высыхания бетона.

4.18 При увеличении влажности окружающей среды происходит набухание бетона. Коэффициент линейного набухания бетона принимают равным aw = 5 · 10-3 (мм/мм)/(г/г).

Арматура

4.19 При назначении классов и видов арматуры для железобетонных конструкций, работающих при воздействии низких климатических температур (предложение С.А. Мадатяна, НИИЖБ), следует учитывать следующее их возможное влияние на свойства стали:

- повышение вероятности возникновения хрупких разрушений вследствие воздействия нагрева при сварке арматуры, в особенности в сочетании с динамической и многократно повторяющейся нагрузкой, а также в зависимости от содержания в стали углерода и легирующих элементов и особенностей технологии изготовления арматуры;

- изменение диаграммы деформирования арматуры, выражающееся в возможном увеличении предела текучести и модуля упругости, а также в уменьшении пластичности.

4.20. В условиях холодного климата следует применять следующую стальную арматуру, отвечающую требованиям государственных стандартов и технических условий:

- горячекатаную гладкую класса А240(А-1) по ГОСТ 5781;

- горячекатаную кольцевого периодического профиля классов А300 (А-Н), А400 (А-Ш) по ГОСТ 5781;

- термомеханически упрочненную серповидного профиля классов А500С по СТО АСЧМ 7-93, ТУ 14-1-5254-94 и другим техническим условиям;

- термомеханически упрочненную и горячекатаную серповидного профиля класса А500С по ГОСТ Р 52544;

- холоднодеформированную волочением с последующей накаткой периодического профиля класса Вр-1 по ГОСТ 6727;

- холоднодеформированную прокаткой периодического профиля класса В500С по ГОСТ Р 52544.

Преимущественно рекомендуется применять арматуру с гарантией ударной вязкости северного исполнения горячекатаную класса Ас300 (Ас-II) по ГОСТ 5781 и термомеханически упрочненную класса Ас500С по ТУ 14-1-5543;

При низкой температуре до -60 °С увеличивается предел текучести арматуры в среднем на 8-10 % и модуль упругости арматуры на 2- 3 %. Однако это допускается не учитывать в расчете железобетонных конструкций, и расчетные сопротивления и модуль упругости принимают по СП 52-101.

4.21 Предельные отрицательные температуры применения арматуры в зависимости от ее класса и вида (горячекатаная, термомеханически упрочненная, холоднотянутая и холоднокатаная), наличия сварных соединений и назначения зданий (степень ответственности, отапливаемые и неотапливаемые) приведены в табл. 4.8.

Таблица 4.8

Класс арматуры и состояние стали

Марка стали

Условия применения арматуры при статической, динамической и многократно повторяющейся нагрузках

В зданиях II и III уровней ответственности по ГОСТ 27751

В зданиях I уровня ответственности по ГОСТ 27751 при температуре до -70 °С

В отапливаемых и неотапливаемых зданиях и при температуре до -30 °С

В неотапливаемых зданиях при температуре, °С

до -40

До -55

до -70

А240(А-I) горячекатаная

Ст 3 сп

+

+

+

+

+

Ст3пс,кп

+

+

+5

-

-

А300(А-II) горячекатаная

Ст5сп,пс

+

+

+5

-

-

18Г2С

+

+

+

-

-

Ас300(Ас- II) горячекатаная

10ГТ

+

+

+

+

+

А400(А-III) горячекатаная

35ГС

+

+

-

-

-

25Г2С

+

+

+

-

-

А500С термомеханически упрочненная и горячекатаная

-1

+

+

+

-

-

-2

+

+

+

+

-

Ас500С

-2

+

+

+

+

+

В500 холоднодеформированная

-3

+

+

+5

-

-

-4

+

+

+

-

-

1 Химический состав стали отвечает требованиям нормативных документов (СТО АСЧМ 7-93, ТУ 14-1-5254 и т.п.) в части максимального содержания углерода и основных легирующих элементов.

2 Химический состав стали отвечает требованиям нормативных документов (ГОСТ Р 52544-2006 ТУ 14-1-5543 и т.п.) как в части максимального, так и минимального содержания углерода и основных легерующих элементов.

3 Арматура, изготовляемая по технологии волочения с последующей накаткой периодического профиля (Вр-1 по ГОСТ 6727).

4 Арматура, изготовляемая по технологии холодной прокатки (по ГОСТ Р 52544, ТУ 14-1-5544 и т.п.).

5 При условии отсутствия сварки при переработке арматуры.

4.22 Значения относительных деформаций арматуры εs0 определяют как упругие при значении сопротивления арматуры Rs.

(4.13)

4.23. Коэффициент линейной температурной деформации арматуры в зависимости от низкой температуры принимают по табл. 4.9.

Таблица 4.9

Значения коэффициента температурной деформации ast · 10-6, град-1, при низкой температуре, °С

20

-20

-30

-40

-50

-60

-70

11,5

11,4

11,2

11,0

10,8

10,6

10,4

4.24. В качестве расчетной диаграммы деформирования арматуры, устанавливающей связь между напряжениями σs и относительными деформациями арматуры εs, принимают двухлинейную диаграмму (рис. 4.4.), используемую при расчете железобетонных элементов по деформационной модели. Диаграммы состояния арматуры при растяжении и сжатии принимают одинаковыми.

Напряжения в арматуре σs определяют в зависимости от относительных деформаций εs согласно диаграмме состояния арматуры по формулам:

при 0 εs εs0

σs = εsEs;

(4.14)

 

при εs0 εs εs2

σs = Rs

(4.15)

Значения относительных деформаций εs0 принимают по формуле (4.13).

Значения Rs и Es - по п. 2.22.

Значение предельной относительной деформации εs,ult(εs2) принимают по табл. 4.10.

Таблица 4.10

Расчетная зимняя температура наружного воздуха, °С

Предельные относительные деформации арматуры εs,ult(εs2)

А240, А300, А400, А400С, А500С, B500(Bp-I), B500C

Ас300, Ас500С

До-30

0,025

0,025

От -30 до -55

0,023

От -55 до -70

0,021

5 Расчет деформаций железобетонных элементов от воздействия холодного климата

При изменении температуры и влажности укорочение или удлинение оси железобетонного элемента и ее кривизну определяют как для бетонного элемента.

При расчете по первой расчетной стадии работы в холодное время года:

1. На понижение температуры:

укорочение оси элемента

ε0 = Δtcabtγt

(5.1)

кривизну оси элемента

(5.2)

Значения коэффициента температурной деформации бетона аbt принимают по рис. 4.2 или 4.3 при замораживании для расчетной зимней температуры наружного воздуха. Средняя температура сечения элемента Δtc и перепад температуры по высоте сечения элемента Vc принимают по приложению А.

2. На понижение влажности: укорочение оси элемента

εcs = εcsiγcs

(5.3)

кривизна оси элемента

(5.4)

Значение εcsi для бетонного элемента принимают равным предельной деформации усадки бетона по табл. 4.7. Уменьшение деформаций усадки бетона в железобетонных элементах за счет армирования допускается определять по формуле

εcs = (1-0,2μ)εcsi,

(5.5)

где ц - процент армирования.

3. На повышение влажности: удлинение оси элемента

εw = awΔWcγw

(5.6)

кривизна оси элемента

(5.7)

Значения коэффициента линейного набухания бетона aw принимают по п. 4.18 и значения средней расчетной влажности бетона ΔWc и расчетного перепада влажности Vic в холодное время года принимают по приложению Б.

5.3 Деформации от воздействия климатической температуры и влажности при расчете по первой и второй группам предельного состояния умножают на коэффициент надежности по температуре γt = 1,1 и на коэффициенты надежности по усадке бетона γcs = 1,2 и набухания γw = 1,3.

5.4 При расчете по второй расчетной стадии работы в условиях длительного попеременного замораживания и оттаивания:

на понижение температуры в холодное время года. Кроме температурных деформаций бетона учитывают деформации усадки бетона, вызванные снижением влажности или деформации набухания бетона от повышения влажности.

Деформацию оси элемента и ее кривизну определяют:

1. При понижении температуры и влажности

(5.8)

 

(5.9)

2. При понижении температуры и повышении влажности

(5.10)

 

(5.11)

3. При повышении температуры и понижении влажности

(5.12)

 

(5.13)

4. При повышении температуры и влажности

(5.14)

 

(5.15)

Значения abt, Δtc, Vc, εcs, aw, ΔWc, Vic, γt, γcs и γw - по пп. 5.2 и 5.3.

Значения средней расчетной влажности ΔWw и расчетного перепада влажности Viw - по приложению Б.

5.5 Если деформации оси элемента и ее кривизна от изменения температуры и влажности имеют разные знаки или направления, то разрешается учитывать деформации и кривизны только от наиболее неблагоприятного воздействия.

5.6 Деформации укорочения бетона от усадки εcs для сборных железобетонных элементов уменьшают на 70 %.

6 Расчет железобетонных конструкций в холодном климате

6.1 Расчет железобетонных конструкций в холодном климате по прочности сечений, по раскрытию трещин и деформаций производят по СНиП 52-01 и СП 52-101 с учетом воздействия низкой климатической температуры и изменяющейся относительной влажности наружного воздуха, согласно дополнительным рекомендациям, изложенным в настоящем Своде правил.

6.2 При расчете железобетонных конструкций сначала устанавливают группу конструкции в зависимости от режима ее работы (табл. 4.1). Для принятой группы конструкций в зависимости от условий эксплуатации и расчетной зимней температуры района строительства находят значения коэффициента γb (табл. 4.2), коэффициента βb (табл. 4.3) и коэффициента ползучести бетона φb,cr (табл. 4.6).

6.3 Расчет статически неопределимых конструкций производят по формулам строительной механики на совместное воздействие нагрузки и усилий от изменения температуры и влажности наружного воздуха согласно указаниям СП 52-103. Если определение усилий от воздействия температуры и влажности в статически неопределимой системе производится методом сил, то перемещения Δit в основной системе в i-м направлении, вызванные воздействием температуры, равны

(6.1)

где  - изгибающий момент и продольная сила в сечении х элемента основной системы от действия в i-м направлении соответствующей единичной силы;

 - кривизна и деформации оси элемента в сечении х, вызванные воздействием температуры, определяемые по разделу 5. Аналогично определяют перемещения Δiw и Δics от воздействия влажности.

6.4 Расчетный изгибающий момент от перепада температуры и влажности по высоте сечения при равномерном распределении по длине элемента, заделанного на опорах от поворота, а также в замкнутых рамах кольцевого и прямоугольного очертаний, имеющих одинаковые сечения, определяют по формуле

(6.2)

где  - кривизна оси элемента от перепада температуры и влажности по высоте сечения элемента, определяемая по формулам (5.2, 5.4, 5.7); D - изгибная жесткость приведенного поперечного сечения элемента, определяемая по формуле

D = Eb1 Jred,

(6.3)

где Еb1 - модуль деформаций бетона, определяемый в зависимости от продолжительности действия нагрузки в условиях эксплуатации.

Значения модуля деформаций бетона Еb1 принимают равными при непродолжительном действии нагрузки и первом замораживании

Еb1 = 0,85Ebt.

(6.4)

Значения Еbt определяют по формуле (4.3).

При продолжительном действии нагрузки и попеременном замораживании и оттаивании значения Еbt определяют по формуле (4.4).

6.5 Момент инерции приведенного поперечного сечения Ired относительно его центра тяжести определяют при наличии или отсутствии трещин по общим правилам сопротивления упругих элементов с учетом сжатого бетона, сжатой и растянутой арматуры по СП 52-101 и изменения свойств бетона от воздействия холодного климата.

Допускается момент инерции Ired определять как для сплошного тела по общим правилам сопротивления упругих элементов без учета арматуры. В этом случае для прямоугольного сечения

(6.5)

Если могут образовываться трещины, то разрешается это учитывать приближенным способом: значения приведенного момента инерции, вычисленные по формуле (6.5), умножают на коэффициент 0,8.

6.6 При изменении температуры и влажности бетона в свободном элементе (п. 6.4) возникает продольная сила, которая равна

(6.6)

где εt,w,cs - деформация оси свободного элемента, вызванная изменением температуры, набуханием и высыханием бетона (разд. 5).

Эта сила создает момент

Mt,w,cs = Nt,w,cse,

(6.7)

где е - эксцентриситет продольной силы относительно оси нормальной плоскости действия изгибающего момента и проходящей через центр тяжести приведенного поперечного сечения элемента, заделанного на опорах;

А - площадь поперечного сечения элемента.

7 Расчет усилий от воздействия температуры и влажности воздуха

7.1 Расчет усилий в рамной конструкции свайного фундамента от воздействия температуры и влажности воздуха и нагрузки производят методом строительной механики, принимая жесткость сечений согласно п. 6.4.

Максимальный изгибающий момент возникает в заделке крайней сваи в грунт или в местах заделки верха сваи в фундаментную балку (рис. 7.1 и 7.2). Железобетонную сваю рассматривают как стойку, заделанную в грунт.

Расчет статически неопределимого свайного фундамента ведут по двум стадиям работы:

первая стадия - замораживание до расчетной зимней температуры;

вторая стадия - длительное переменное замораживание и оттаивание в летний период.

Расчет усилий от воздействия температуры и влажности воздуха в свайных фундаментах допускается производить приближенным методом.

Усилия в свайном фундаменте зимой (первая стадия работы)

7.2 При расчете по первой стадии работы фундамента, когда грунт находится в мерзлом состоянии (зима), сваи считаются заделанными в грунт около его поверхности на расстоянии H1, равном

H1 = (1,5 + z)h,

(7.1)

где h - высота сечения сваи в плоскости действия расчетного усилия, м;

Z - коэффициент, учитывающий влияние окружающего грунта на работу свай от горизонтального усилия, вызванного воздействием температуры и влажности воздуха

(7.2)

Коэффициент деформаций системы свая - грунт aε,m-1, определяют по формуле

(7.3)

Условная ширина сваи, м (наружный диаметр d или сторона сечения b) в плоскости, перпендикулярной к действию расчетного усилия

bр = 1,5b + 0,5.

(7.4)

Приведенную жесткость железобетонной сваи определяют согласно п. 6.4. Коэффициент условия работы γс = 3 (СНиП 2.02.03).

Коэффициент пропорциональности к, кН/м4 (тс/м4) допускается принимать в зависимости от расчетного давления на мерзлый грунт R, кгс/см2:

при R ≤ 2

k = 75R;

(7.5)

 

при R > 2

k = 150 + 350(R - 2).

(7.6)

а - первая стадия работы при замороженном грунте - зимой; б - вторая стадия работы при оттаявшем грунте - летом; u1, и2 - горизонтальные перемещения верхней крайней сваи при укорочении и удлинении фундаментной балки

Рисунок 7.1 - Эпюры моментов в свайном фундаменте с шарнирной заделкой свай в фундаментную балку от воздействия температуры и влажности воздуха

Расчетное давление на мерзлый грунт R определяют по таблицам 2 и 6 приложения 6 СНиП 2.02.04 в зависимости от температуры грунта на расстоянии H1 от поверхности грунта. Допускается R определять в зависимости от температуры грунта на расстоянии 0,5 м от его поверхности.

Условное расчетное давление на мерзлый грунт рекомендуется принимать по табл. 7.1.

7.3 Изгибающий момент в заделке крайней сваи в грунт на глубине Н1 от поверхности грунта определяют по формулам:

при шарнирном сопряжении сваи с фундаментной балкой

(7.7)

 

а - первая стадия работы при замороженном грунте - зимой; б - вторая стадия работы при оттаявшем грунте – летом

Рисунок 7.2 - Эпюры моментов в свайном фундаменте с жесткой заделкой свай в фундаментную балку от воздействия температуры и влажности воздуха

при жесткой заделке сваи в фундаментную балку

(7.8)

 

b1 = 4 +0,57k1 но не более 6,

(7.9)

 

(7.10)

где D и Db - жесткость сваи и фундаментной балки, определяют по п. 6.4 H, l0, l - по рис. 7.1 и 7.2.

7.4 Изгибающий момент Мil в крайних связях и в фундаментной балке, в местах жесткой заделки сваи в балку определяют по формулам:

(7.11)

Таблица 7.1

Грунт

Условное расчетное давление на талый грунт R0 кгс/см2

Расчетное давление на мерзлый грунт R, кгс/см2, при минус 10 °С и льдистости менее 0,2

Галечниковый (щебенистый) с песчаным заполнителем

4

33

Пески:

 

 

крупные

3

33

средней крупности

2,5

33

мелкие влажные

2

28,5

пылеватые влажные

1,5

28,5

Супеси:

 

 

легкие

1,5

20

пылеватые

1

20

Суглинки:

 

 

тяжелые

1,2

15

пылеватые

0,8

15

Торф:

 

 

пушицевый

0,3

6,7

моховой

0,1

6,7

Примечание - При температуре грунта ниже минус 10 °С условное расчетное давление на мерзлый грунт R принимается равным такому же значению, как и при температуре минус 10 °С. При расчетном давлении мерзлого грунта более 15 кгс/см2 допускается принимать z = 0.

 

а1 = 3 + 0,545k1, но не более 6,

(7.12)

где к1 - по формуле (7.9).

7.5 Горизонтальное перемещение верха крайней сваи и1, вызванное деформацией сокращения железобетонной фундаментной балки, определяют по формулам:

при понижении температуры и уменьшении влажности

u1 = -εt,csyukc;

(7.13)

при понижении температуры и увеличении влажности

где εt,cs - по формуле (5.8);

εtw - по формуле (5.10);

кс - коэффициент, учитывающий податливость сопряжений в узлах свайного фундамента, принимают равным 1 - для монолитных и 0,9 - для сварных стыков;

уи - расстояние от центра блока свайного фундамента до рассматриваемой сваи.

7.6 Перемещения верха крайней сваи u1, вызванные деформациями фундаментной балки от воздействия температуры при электронагреве бетона осенью и зимой, определяют по формуле

u1 = Δtcэabtyu,

(7.15)

где Δtсэ - расчетные изменения температуры бетона при электронагреве, определяют по формуле (А. 12) приложения А;

аbt, уи - см. пп. 4.14 и 7.5.

Усилия в свайном фундаменте при переменном замораживании и оттаивании летом (вторая стадия работы)

7.7 При расчете по второй стадии работы фундамента сезонно-оттаивающий слой грунта глубиной НТ находится в талом состоянии. Свая считается защемленной в грунт на расстоянии Н2 от поверхности грунта

H2 = HTz + (1,5 + z)h,

(7.16)

но не более H2 = 75/aε,

где Hт - глубина оттаивания грунта, принимают по результатам геологических изысканий. Допускается определять в зависимости от вида грунта в районе строительства по картам приложения В.

Значения z, aε определяют по формулам (7.2, 7.3). В формуле (7.3) значение к принимают по табл. 1 приложения 1 СНиП 2.02.03.

Условное расчетное давление на грунт R в формулах (7.5) и (7.6) заменяют на R0, которое принимают по табл. 1,2 и 4 приложения 4 СНиП 2.02.01. Условное расчетное давление на талый грунт R0 допускается определять по табл. 7.1.

7.8 Изгибающий момент в заделке крайней сваи на расчетной глубине Н2 от поверхности грунта определяют по формулам:

при шарнирном сопряжении свай с фундаментной балкой

(7.17)

при жесткой заделке сваи в фундаментную балку

(7.18)

 

(7.19)

 

где b2 = 4 + 0,57k2, но не более 6;

(7.20)

 

(7.21)

где D и Db см. формулу (6.3);

l0, H2, l- см. рис. 7.1 и 7.2.

7.9 Изгибающий момент М21 в крайних сваях и в фундаментной балке в местах жесткой заделки свай в балку определяют по формулам:

(7.22)

 

где а2 = 3 + 0,545k2, но не более 6;

(7.23)

к2 - по формуле (7.21).

7.10 Горизонтальное перемещение верха крайней сваи и2, вызванное деформацией расширения железобетонной фундаментной балки, определяют по формулам:

при повышении температуры и уменьшении влажности

(7.24)

при повышении температуры и увеличении влажности

(7.25)

где εt,w, εt,cs, yu, kc - см. п. 7.5.

7.11 Перемещения верха крайней сваи и2, вызванные деформациями фундаментной балки от воздействия температуры при электронагреве бетона весной и летом, равны

(7.26)

где Δtwэ по п. А.8 приложения А; уи - по п. 7.5.

7.12 Горизонтальное усилие в фундаментной балке определяют по формулам:

для первой стадии работы - зимой

(7.27)

для второй стадии работы - летом

(7.28)

 

где с1 = 5 + 0,834k1;

(7.29)

 

с2 = 5 + 0,834k2, но не более 1,5;

(7.30)

n - число пролетов в блоке фундамента между температурными швами;

k1 и k2 - в формулах (7.29, 7.30) определяют по зависимостям (7.10, 7.21).

7.13 При шарнирном сопряжении сваи с фундаментной балкой изгибающий момент Мс в заделке крайней сваи в грунт на глубине Н1 от поверхности грунта от совместного воздействия внешней нагрузки, собственного веса, температуры и влажности воздуха при расчете на первое замораживание грунта определяют по формуле

Мс = М ± 0,9М1,

(7.31)

где М1 - определяют по формуле (7.7).

7.14 При жесткой заделке свай в фундаментную балку изгибающий момент Мс в местах заделки крайних свай в балку от совместного воздействия внешней нагрузки, собственного веса, температуры и влажности воздуха при расчете на первое замораживание

Мс = М ± 0,9М1l;

(7.32)

при расчете на переменное замораживание и оттаивание летом

Мс = М ± 0,9М2l.

(7.33)

В формулах (7.26-7.33)

М - момент от внешней нагрузки и собственного веса, который могут воспринять крайние сваи фундамента при расчетной зимней температуре грунта;

0,9 - коэффициент надежности.

7.15 Длину температурного блока фундамента L (расстояние между температурными швами) устанавливают расчетом по первой стадии работы фундамента и определяют из условия

М ≥ Мс.

(7.34)

Если для заданных размеров свайного фундамента М > Мс, то длина блока фундамента может быть увеличена.

Если М < Мс, то длину блока уменьшают на один пролет между сваями.

7.16 Эпюры изгибающих моментов М, продольных сил N и поперечных сил Q для некоторых свайных фундаментов с жесткой заделкой свай в фундаментную балку приведены в приложении Г. В этом приложении даны расчетные формулы для определения усилий в зависимости от коэффициентов K и Q, которые вычисляют по формулам:

(7.35)

где Db и D - жесткость приведенного сечения фундаментной балки и сваи;

Н - расчетная высота сваи;

l - расстояние между сваями;

и - горизонтальное перемещение верха сваи;

L - длина температурного блока.

Приложение А

Температурные воздействия холодного климата

А.1 Бетон в железобетонной конструкции подвергается периодическому замораживанию при понижении температуры и оттаиванию при повышении температуры в течение сезона года, месяца, суток.

Средняя температура бетона сечения элемента Δt и перепад температуры по высоте сечения элемента V изменяются во времени. Среднюю температуру сечения элемента Δt определяют из равенства площадей действительной криволинейной эпюры 1 и приведенной прямоугольной эпюры 2 температур.

Перепады температуры по высоте сечения элемента V определяют из равенства статических моментов действительной криволинейно эпюры 1 и приведенной прямоугольной эпюры 2 температур (рис. А.1).

А.2 Нормативные значения изменений (во времени) средней по сечению элемента температуры Δtc и Δtw и температурные перепады

а - в неотапливаемых зданиях, открытых сооружениях и в период строительства; б - в отапливаемых зданиях и в сооружениях с постоянным технологическим источником; 1 - действительная температура; 2 - приведенная расчетная средняя температура; 3 - приведенный перепад температур; tec, tew - среднесуточные температуры наружного воздуха в холодное и теплое время года; tic, tiw - температура внутреннего воздуха помещения в холодное и теплое время года

Рисунок А.1 - Изменение средних температур Atc, Atw и перепадов температур Vc, Vw по сечению железобетонного элемента

Таблица А. 1

Условия работы конструкции

Месяц

Здания и сооружения в стадии эксплуатации

неотапливаемые здания, открытые сооружения (в том числе здания и сооружения в период строительства)

отапливаемые здания

сооружения с постоянными технологическими источниками тепла

Не защищенные от воздействия солнечной радиации (в том числе наружные ограждения)

Январь I

Δtc = t1 - Δ1 + 0,5t2 - t0w

Δtc = tic + 0,6(t1 – Δ1 - tic) – 0,5t3 – t0w

Июль VII

Δtw = tVII + t2 + t4 + 6 - t0c

Δtw = tiw + 0,6(tVII - tiw) + t3 + t4 +4 – t0c

Январь I

Vc = 0

Vc = 0,8(t1 - Δ1 - tic) - 0,5V1

Июль VII

Vw = Vc

Vw = 0,8(tVII - tiw) + V1 + V2 + 5

Защищенные от воздействия солнечной радиации (в том числе внутренние)

Январь I

Δtc = t1 - Δ1 - t0w

Δtc = tic - t0w

Июль VII

Δtw = tVII + 6 - t0c

Δtw = tiw - t0c

Январь I

Vc = 0

Июль VII

Vw = 0

Примечания

1 Отрицательные температуры принимают по абсолютному значению.

2 Для плит, уложенных на грунт, значения Δtw и Δtc умножают на 0,5.

Vc и Vw в холодное и теплое время года для железобетонных однослойных конструкций определяют согласно СНиП 2.01.07 по упрощенным формулам. При этом распределение температуры по сечению элемента принимается линейным.

Расчетные значения изменений средней по сечению элемента температуры Atc и Atw и температурные перепады Vc и Vw принимаются равными нормативным значениям по табл. А.1.

А.3 Начальную температуру, соответствующую замыканию статически неопределимой конструкции или ее части в законченную систему, в холодное t и теплое t0w время года определяют по формулам:

t0c = 0,2 tVII + 0,8t1;

(A.1)

 

t0w = 0,8 tVII + 0,2t1

(А.2)

За начальную температуру для статически определимых конструкций допускается принимать в холодное время года t0c = t1, и в теплое время года t0w = tVII

В вышеприведенных формулах

t1, tVII - многолетние средние месячные температуры воздуха в январе и июле принимают, соответственно, по картам 5 и 6 обязательного приложения 5 СНиП 2.01.07;

tjc, tjw - температуры внутреннего воздуха помещения в холодное и теплое время года по ГОСТ 12.1.005 или по строительному заданию на основе технологических решений. Для жилых и административных зданий = 18 °С;

Δ1 - отклонение средней температуры воздуха наиболее холодных суток от средней месячной температуры в январе, принимают по карте 7 обязательного приложения 5 СНиП 2.01.07;

t2, t3, V1 - приращение средних по сечению железобетонного элемента температур и перепада температур от суточных колебаний температуры наружного воздуха, принимают по табл. А.2;

t4, V2 - приращения средних по сечению железобетонного элемента температур и перепада температуры от

Таблица А.2

Толщина железобетонной конструкции, см

Приращение, °С

Коэффициент

 

температуры

перепада температуры V]

K1

t2

t3

 

До 15

8

6

4

0,6

 

От 15 до 40

6

4

6

0,4

 

Свыше 40

2

2

4

0,3

 

солнечной радиации, принимают по формулам:

t4 = 0,0035·  SmaxKK1

(A.3)

 

V2 = 0,0035 · SmaxK(1 - K1),

(A.4)

где Smax - максимальное значение суммарной (прямой и рассеянной) суточной солнечной радиации, Вт/м2, принимают в зависимости от положения и ориентации бетонной поверхности конструкции по табл. 4 и 5 СНиП 23-01.99*.

Коэффициенты К и К1 принимают по таблицам А.2 и А.3.

Таблица А.3

Ориентация бетонной поверхности

Коэффициент К

Вертикальная на юг

1,0

Запад

0,9

Восток

0,7

Горизонтальная

1,0

А.4 Расчетные изменения температуры воздуха Δtc, для наиболее неблагоприятной стадии возведения свайного фундамента определяют как разность между расчетной зимней температурой tc и начальной температурой в летнее время t0w

Δtc = tc - t0w,

(A.5)

Расчетное изменение температуры для первой расчетной стадии работы свайного фундамента (п. 3.11)

первый этап: от замыкания до полного замораживания грунта при среднемесячной температуре воздуха -10 °С

Δtc1 = 10 - t0w;

(A.6)

второй этап: от полного замораживания грунта до наступления расчетной зимней температуры tc

Δtc2 = tc - 10

(А.7)

А.5 Расчетные зимние изменения температуры наружного воздуха допускается определять по формулам:

Δtc = Δtc1 + Δtc2;

(A.8)

 

Δtc1 = 0,35Δt;

(А.9)

 

Δtс2 = 0,65Δt,

(А.10)

где Δt - абсолютное расчетное изменение температуры наружного воздуха, принимается по табл. А.4.

Таблица А.4

Район России с вечномерзлым грунтом

Абсолютное расчетное изменение температуры Δt, °С

Примечание

Кольский полуостров

50

Исключая центральную часть

Камчатка полуостров

Исключая долину р. Камчатки

Новая Земля, Земля Франца Иосифа

-

Центральная часть Кольского полуострова, долина р. Камчатки, Северная Земля, Ненецкая область

55

-

Новосибирские острова

60

-

Ямало-Ненецкая область

Территория за Полярным кругом

Чукотский полуостров

-

Корякская область

Исключая полуостров Камчатку

Ямало-Ненецкая область

65

Исключая территорию за Полярным кругом

Чукотская область

Исключая Чукотский полуостров

Ханты-Мансийская область, Красноярский край, Хабаровский край, Тувинская республика, Бурятская республика, Иркутская, Читинская, Амурская области

 

Магаданская область, Эвенкийская область, Якутский округ

75

-

А.6 Расчетная зимняя температура мерзлого грунта на глубине 0,5 м от поверхности почвы (глубина, на которой принимается заделка свай) в зимне-весенний период в естественных условиях под снегом равна

t0,5 = 0,8tc - 5 °С + δ,

(А.11)

где t - температура наиболее холодной пятидневки, принимаемая согласно СНиП 23-01;

δ - абсолютная разность температур, °С, между воздухом и грунтом на глубине 0,5 м, принимаемая равной:

каменистый (гравелистый) ………………. 10

песчаный, супесчаный …………………… 15

суглинистый, глинистый ………………… 20

заторфованный …………………………… 25

А.7 Расчетная зимняя температура на глубине 0,5 м от поверхности грунта под отапливаемым зданием с вентилируемым подпольем в условиях эксплуатации приближенно может быть принята равной температуре, определяемой по формуле (А.11).

А.8 При применении электропрогрева для твердения монолитного бетона фундаментных (обвязочных) балок расчетное изменение температуры бетона Δt допускается определять:

а) при электропрогреве летом-осенью - до полного замораживания грунта Δtwэ = 60 °С;

б) при электропрогреве зимой или когда время применения электропрогрева бетона неизвестно

Δtсэ = 60 + tс.

(А.12)

Приложение Б

Влажностные воздействия холодного климата

Б.1 В основу расчета изменения влажности бетона во времени принято, что влажность бетона увеличивается в период увлажнения с температурой наружного воздуха ниже 0 °С и уменьшается с повышением температуры воздуха выше 0 °С.

Согласно СНиП 23-02 средняя расчетная по толщине элемента влажность тяжелого бетона принята 3 % во влажный период и 2 % - в сухой период.

Максимальная расчетная влажность тяжелого бетона принята 5 % во влажный период и 4 % - в сухой период.

Б.2 Максимальную начальную влажность W0 бетон имеет непосредственно после изготовления элемента, независимо от времени года или при контакте с водой. Максимальная влажность принимается равномерно распределенной по сечению элемента.

Если известен состав бетона, то его начальная влажность во время укладки определяется по формуле

W= В/Ц/(1 + П + Щ),

где В/Ц - водоцементное отношение;

П и Щ - соответственно весовые относительные части песка и щебня в бетонной смеси.

Б.3 В период строительства и начала эксплуатации начальная влажность бетона снижается до равновесной влажности. W0c - в холодное, W0w - в теплое время и W0i - в отапливаемых зданиях. Равновесная влажность бетона соответствует равновесному состоянию относительно воздействующих на бетон влажностей и температур наружного и внутреннего воздуха.

Б.4 За расчетную влажность наружного воздуха согласно СНиП 23-01 принимается среднемесячная относительная влажность воздуха во влажный период наиболее холодного месяца W1 и в сухой период наиболее жаркого месяца WVII ,%.

Б.5 Равновесная эксплуатационная влажность бетона несколько возрастает к концу зимы и убывает к концу лета.

Таблица Б.1

Расход цемента на 1 м3 бетона

Равновесная влажность бетона W0c, W0w, г/г · 10-2 (%), по массе в зависимости от среднемесячной относительной влажности воздуха, %

50

65

80

250

0,8

1,5

2,3

300

0,9

1,8

2,7

350

1,1

2,0

3,0

400

1,3

2,3

3,2

450

2,4

3,0

3,6

Примечание - Промежуточные значения принимаются по линейной интерполяции.

Наибольшая влажность бетона по толщине элемента находится в зоне конденсации. Равновесная влажность бетона сечения или грани сечения, соприкасающейся с наружным воздухом, определяется по табл. Б.1 в зависимости от расхода цемента на 1 м3 бетона и относительной влажности воздуха.

Б.6 Для конструкций, которые соприкасаются с внутренним воздухом в отапливаемых зданиях, равновесную влажность грани сечения бетона W0i - можно определить по табл. Б.1 в зависимости от относительной влажности воздуха помещения Wi, которая в течение года практически не меняется.

Влажность внутреннего воздуха помещения принимают по ГОСТ 12.1.005 или по строительному заданию на основании технологических решений. Для жилых и административных помещений Wi = 0,55 %.

Б.7 Среднюю влажность сечения элемента определяют из равенства площадей действительной криволинейной эпюры 1 и приведенной расчетной прямоугольной эпюры 2 влажности (рис.Б.1 а). Перепад влажности по высоте сечения элемента определяют из равенства статических моментов действительной криволинейной эпюры 1 и приведенной расчетной трапецеидальной эпюры 2 влажностей (рис Б.1б).

Таблица Б.2

Показатель

Относительная критическая влажность бетона Wcr, г/г · 10-2, %,
в зависимости от приведенной высоты сечения элемента
hred, см

hred

3,5 и менее

5,0

10,0

20,0

30,0

50,0

100,0 и более

Wcr

2,65

2,40

2,10

1,95

1,90

1,86

1,83

hred - приведенная высота сечения элемента, характеризующая массивность конструкции и равная площади сечения, деленной на 0,5 его периметра, соприкасающегося с воздухом.

1 - действительное распределение влажности бетона; 2 - расчетное распределение влажности бетона; W0 - начальная влажность бетона W0 > Wcr; Wcr - критическая влажность бетона, с уменьшением которой развиваются деформации усадки; W0c, W0w - равновесная влажность сечения или грани бетона в холодное (январь) и теплое (июль) время года; W0i - равновесная влажность грани бетона, находящегося в закрытом помещении; ΔWc, Vic и ΔWw, Viw - изменение средней равновесной влажности и перепада влажности по сечению соответственно в холодное и теплое время года

Рисунок Б.1 - Схема изменения влажности бетона во времени

Таблица Б.3

Условия работы конструкции

Месяцы

Изменения средней расчетной равновесной влажности бетона ΔWc, ΔWw и расчетного перепада влажности V1c, V1w в холодное и теплое время года для бетонных и железобетонных элементов

Неотапливаемые здания открытых сооружений

Отапливаемые здания сооружения с постоянным источником теплоты

Период строительства и первая подача теплоты

Январь I

ΔWc = W0 - W0c

ΔWc = W0 - 0,5(W0c + W0i)

Июль VII

ΔWw = W0 - W0w

ΔWw = W0 - 0,5(W0i + W0w)

Январь I

V1c = 0

V1c = W0c - W0i

Июль VII

V1w = 0

V1w = W0i - W0w

Период эксплуатации при переменном замораживании (увлажнении) и оттаивании (высыхании) бетона со стороны наружного воздуха

Январь I

ΔWc = W0c - W0w

ΔWc = 0,5(W0c - W0i)

Июль VII

ΔWw = W0w - W0c

ΔWw = 0,5(W0i - W0w)

Январь I

V1c = 0

V1c = W0c - W0i

Июль VII

V1w = 0

V1w = W0i - W0w

Примечания

1 Формулы справедливы при влажности бетона меньше критической (W0 < Wcr; W0c < Wcr;  W0w < Wcr; W0i < Wcr).

2 При влажности бетона больше критической принимается критическая влажность бетона W0c = W0w = W0i = Wcr.

Б.8 При высыхании бетона удаляется свободная вода и адсорбционно связанная вода геля. Деформацию усадки бетона вызывает удаление только адсорбционно связанной воды. При отсутствии в бетоне свободной воды максимальная влажность бетона может быть определена по табл. Б.2.

Б.9 Изменения средней расчетной равновесной влажности бетона ΔWc, ΔWw и расчетного перепада влажности V1c, V1w соответственно в холодное и теплое время года можно определить по табл. Б.3 для бетонных и железобетонных зданий и сооружений. Следует иметь в виду, что деформации усадки бетона при его высыхании начинают развиваться при влажности бетона меньше критической. Если равновесная влажность бетона сечения или грани сечения выше критической влажности бетона, то в расчете учитывается только уменьшение влажности бетона от ее критической влажности Wcr.

Приложение В

Изолинии глубин сезонного оттаивания грунтов

Изолинии глубин сезонного оттаивания глинистых грунтов

Изолинии глубин сезонного оттаивания песчаных грунтов


Изолинии глубин сезонного оттаивания песчаных грунтов, подстилаемых глинистыми

Изолинии глубин сезонного оттаивания заторфованных грунтов


Приложение Г

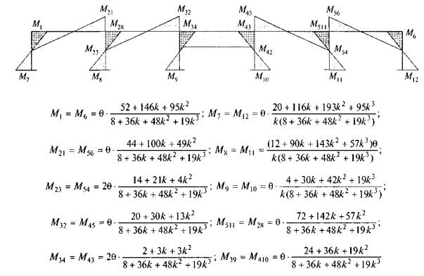
Эпюры М, N и Q для рамных конструкций

 

 


 


 

 

 




ГОСТЫ, СТРОИТЕЛЬНЫЕ и ТЕХНИЧЕСКИЕ НОРМАТИВЫ.
Некоммерческая онлайн система, содержащая все Российские Госты, национальные Стандарты и нормативы.
В Системе содержится более 150000 файлов нормативно-технической документации, действующей на территории РФ.
Система предназначена для широкого круга инженерно-технических специалистов.

Рейтинг@Mail.ru Яндекс цитирования

Copyright © www.gostrf.com, 2008 - 2026