Крупнейшая бесплатная информационно-справочная система онлайн доступа к полному собранию технических нормативно-правовых актов РФ. Огромная база технических нормативов (более 150 тысяч документов) и полное собрание национальных стандартов, аутентичное официальной базе Госстандарта. GOSTRF.com - это более 1 Терабайта бесплатной технической информации для всех пользователей интернета. Все электронные копии представленных здесь документов могут распространяться без каких-либо ограничений. Поощряется распространение информации с этого сайта на любых других ресурсах. Каждый человек имеет право на неограниченный доступ к этим документам! Каждый человек имеет право на знание требований, изложенных в данных нормативно-правовых актах!

  


 

ОТКРЫТОЕ АКЦИОНЕРНОЕ ОБЩЕСТВО «ГАЗПРОМ»

СТАНДАРТ ОРГАНИЗАЦИИ

МАГИСТРАЛЬНЫЕ ГАЗОПРОВОДЫ

СТО Газпром 2-2.1-249-2008

ОТКРЫТОЕ АКЦИОНЕРНОЕ ОБЩЕСТВО «ГАЗПРОМ»

Общество с ограниченной ответственностью
«Научно-исследовательский институт природных газов
и газовых технологий - ВНИИГАЗ»

Общество с ограниченной ответственностью
«Информационно-рекламный центр газовой промышленности»

Москва 2008

Предисловие

1 РАЗРАБОТАН Обществом с ограниченной ответственностью «Научно-исследовательский институт природных газов и газовых технологий - ВНИИГАЗ» (ООО «ВНИИГАЗ») с участием специалистов организаций и дочерних обществ ОАО «Газпром»

2 ВНЕСЕН Управлением проектирования и нормирования Департамента инвестиций и строительства ОАО «Газпром»

3 УТВЕРЖДЕН И ВВЕДЕН В ДЕЙСТВИЕ Распоряжением ОАО «Газпром» от 26 августа 2008 г. № 258

4 ВВЕДЕН ВПЕРВЫЕ

Содержание

1 Область применения

2 Нормативные ссылки

3 Термины и определения

4 Обозначения и сокращения

5 Общие положения

6 Классификация участков магистральных газопроводов по безопасности

7 Основные требования к трассам газопроводов

7.1 Требования к выбору трасс

7.2 Минимальные расстояния

7.3 Расстояния для трубопроводов топливного и импульсного газа

7.4 Охранные зоны

8 Конструктивные требования к газопроводам

8.1 Общие требования

8.2 Размещение трубопроводной арматуры

8.3 Узлы пуска и приема внутритрубных устройств

8.4 Требования к допустимым радиусам упругого изгиба и установке компенсаторов

9 Подземная прокладка газопроводов

9.1 Общие требования

9.2 Прокладка в горной местности

9.3 Прокладка на подрабатываемых территориях

9.4 Прокладка в сейсмических районах

9.5 Прокладка в районах распространения многолетнемерзлых грунтов

10 Переходы газопроводов через естественные и искусственные препятствия

10.1 Общие требования

10.2 Подводные переходы через водные преграды

10.3 Переходы через болота

10.4 Подземные переходы МГ через автомобильные и железные дороги

10.5 Пересечения и параллельная прокладка газопроводов с другими трубопроводами и инженерными коммуникациями

11 Надземная прокладка газопроводов

12 Нагрузки и воздействия

12.1 Общие требования

12.2 Функциональные нагрузки

12.3 Природные нагрузки

12.4 Строительные нагрузки

12.5 Случайные нагрузки

12.6 Сочетания нагрузок

13 Расчет газопроводов на прочность и устойчивость

13.1 Нормативные характеристики материала труб и соединительных деталей

13.2 Определение толщины стенки труб и соединительных деталей

13.3 Проверка условий прочности

13.4 Прочность и жесткость отводов и тройниковых соединений

13.5 Проверка общей устойчивости подземных газопроводов

13.6 Проверка овальности сечений подземного газопровода после укладки и засыпки

13.7 Устойчивость формы поперечных сечений газопровода

13.8 Устойчивость положения газопровода

13.9 Расчет надземных участков газопроводов

13.10 Проверка расчетом прочности и работоспособности газопроводов при сейсмических воздействиях

14 Требования к испытаниям газопроводов внутренним давлением

15 Материалы и изделия

15.1 Трубы и соединительные детали трубопроводов

15.2 Сварные соединения и сварочные материалы при строительстве

15.3 Изделия для балластировки и закрепления магистральных газопроводов на проектных отметках

15.4 Теплоизоляционные покрытия

15.5 Внутренние гладкостные покрытия труб

15.6 Геотекстильные материалы

15.7 Термостабилизаторы

16 Защита газопроводов от коррозии

16.1 Защитные покрытия подземных газопроводов

16.2 Электрохимическая зашита подземных газопроводов

16.3 Защита надземных газопроводов от атмосферной коррозии

17 Технологическая связь газопроводов

18 Охрана окружающей среды

19 Вывод из эксплуатации и ликвидация

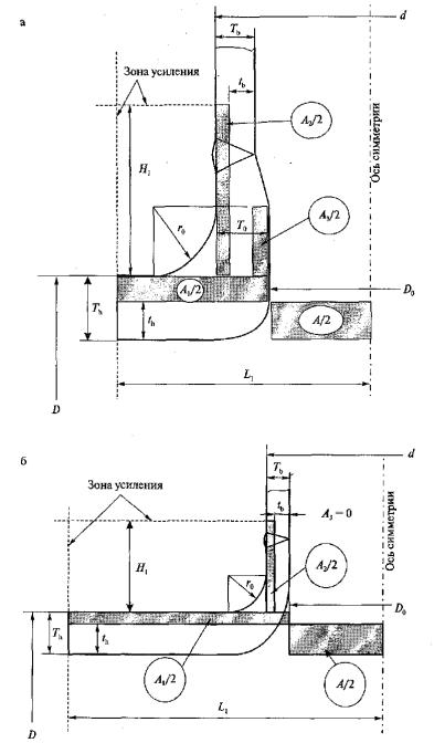
Приложение А (рекомендуемое) Методика определения толщин стенок штампованных и штампосварных тройников

Приложение Б (рекомендуемое) Определение толщин стенок сварных тройников без усиливающих элементов

Приложение В (рекомендуемое) Определение расчетного радиуса кривизны участка подземного газопровода

Приложение Г (рекомендуемое) Критерии сейсмостойкого проектирования газопроводов

Приложение Д (рекомендуемое) Классификация сварочных материалов различного назначения в зависимости от класса прочности металла труб

Библиография

Введение

Настоящий стандарт разработан на основании Перечня приоритетных научно-технических проблем ОАО «Газпром» на 2002-2006 гг., утвержденного Председателем Правления ОАО «Газпром» А.Б. Миллером (АМ-2121 от 15.04.2002 г.), пункт 12.1 «Разработка и совершенствование научно-технической, нормативно-методической и нормативно-правовой документации по освоению газовых и газоконденсатных месторождений, проектированию, строительству и эксплуатации, повышению эксплуатационной надежности и безопасности, продлению ресурса объектов газовой промышленности».

Целью разработки стандарта является повышение работоспособности и надежности проектируемых магистральных газопроводов на основании применения прогрессивных научно-технических решений.

Стандарт разработан ООО «ВНИИГАЗ» (разделы 1-6, 8-18, подразделы 7.2-7.4), ОАО «Гипрогазцентр» (подраздел 7.1), при участии ОАО «Южниигипрогаз», Управления проектирования и нормирования Департамента инвестиций и строительства, Управления инновационного развития Департамента стратегического развития и Управления по транспортировке газа и газового конденсата Департамента по транспортировке, подземному хранению и использованию газа ОАО «Газпром».

Разработка выполнена авторским коллективом в следующем составе:

Черний В.П. - руководитель темы, Алексашин А.В., Баясан P.M., Беспалов В.И., Ботов В.М., Великоднев В.Я., Галиуллин З.Т., Дьячков М.К., Елфимов А.В., Запевалов Д.Н., Платовский Ю.В., Карпов С.В., Ковалев С.А., Котова И.С., Курганова И.Н., Курганова М.А., Курланов С.А., Маняхина Т.И., Нефедов СВ., Рассохина А.В., Фатрахманов Ф.К., Харионовский В.В., Хорошилов А.И., Ширяпов Д.И., Щуровский В.А., Яковлев С.Е. - ООО «ВНИИГАЗ»;

Варганов И.Ф., Шаталов Н.Ф. - ОАО «Гипрогазцентр»;

Анисимов В.М., Зайцев Е.А. - ОАО «Южниигипрогаз»;

Арабей А.Б., Вышемирский Е.М., Поддубский СВ., Пугаченко В.Н. - ОАО «Газпром».

СТО Газпром 2-2.1-249-2008

СТАНДАРТ ОТКРЫТОГО АКЦИОНЕРНОГО ОБЩЕСТВА «ГАЗПРОМ»

МАГИСТРАЛЬНЫЕ ГАЗОПРОВОДЫ

Дата введения - 2009-01-12

1 Область применения

1.1 Настоящий стандарт распространяется на вновь проектируемые и реконструируемые магистральные газопроводы и ответвления от них условным диаметром до 1400 мм включительно с избыточным давлением среды свыше 1,18 МПа (12 кгс/см2) до 24,52 МПа (250 кгс/см2) (при одиночной прокладке и прокладке в технических коридорах) для транспортирования:

- природного газа из районов добычи (от промыслов) или хранения до мест потребления (газораспределительных станций, отдельных промышленных и сельскохозяйственных предприятий);

- товарного газа в пределах компрессорных станций, станций подземного хранения газа, дожимных компрессорных станций, газораспределительных станций и газоизмерительных станций, и станций охлаждения газа;

- импульсного, топливного и пускового газа для компрессорных станций, станций подземного хранения газа, дожимных компрессорных станций, газораспределительных станций и газоизмерительных станций и пунктов редуцирования газа.

Примечания

1 До утверждения соответствующего нормативного документа по проектированию магистральных газопроводов в статусе Национального стандарта (Свода правил) проектирование магистральных газопроводов давлением свыше 1,18 МПа (12 кГс/см2) до 9,8 МПа (100 кГс/см2) следует осуществлять в соответствии с требованиями СНиП 2.05.06-85* [1].

2 Проектирование газопроводов давлением 1,18 МПа (12 кГс/см2) и менее, предусматриваемых для прокладки на территории населенных пунктов или отдельных предприятий, следует осуществлять в соответствии с требованиями СНиП 42-01-2002 [2].

1.2 Настоящий стандарт не распространяется на проектирование конденсатопроводов, трубопроводов сжиженных углеводородных газов, газопроводов, прокладываемых на территории городов и других населенных пунктов, в морских акваториях и промыслах, трубопроводов, предназначенных для транспортирования газа, оказывающего коррозионное воздействие на металл труб, а также на капитальный ремонт объектов (при капитальном ремонте необходимо руководствоваться нормами и правилами, разработанными для капитального ремонта, в случае их отсутствия - нормами и правилами, действующими на момент строительства объектов).

2 Нормативные ссылки

В настоящем стандарте использованы нормативные ссылки на следующие стандарты:

ГОСТ 2246-70 Проволока стальная сварочная. Технические условия

ГОСТ 2999-75 Металлы и сплавы. Методы измерения твердости по Виккерсу

ГОСТ 4650-80 Пластмассы. Методы определения водопоглощения

ГОСТ 6996-66 Сварные соединения. Методы определения механических свойств

ГОСТ 9238-83 Габариты приближения строений и подвижного состава железных дорог колеи 1520(1524) мм

ГОСТ 9467-75 Электроды покрытые металлические для ручной дуговой сварки конструкционных и теплоустойчивых сталей. Типы

ГОСТ 11262-80 Пластмассы. Метод испытания на растяжение

ГОСТ 14249-89 Сосуды и аппараты. Нормы и методы расчета на прочность

ГОСТ 14760-69 Клеи. Метод определения прочности при отрыве

ГОСТ 15150-69* Машины, приборы и другие технические изделия. Исполнения для различных климатических районов. Категории, условия эксплуатации, хранения и транспортирования в части воздействия климатических факторов внешней среды

ГОСТ Р 51164-98 Трубопроводы стальные магистральные. Общие требования к защите от коррозии

СТО Газпром 2-1.12-001-2006 Документы нормативные для проектирования, строительства и эксплуатации объектов ОАО «Газпром». Порядок разработки, утверждения, учета, изменения и отмены

СТО Газпром 2-2.2-076-2006 Документы нормативные для проектирования, строительства и эксплуатации объектов ОАО «Газпром». Методические указания по применению геотекстильных материалов с учетом их функционального назначения при проектировании и строительстве газопроводов

СТО Газпром 2-2.2-178-2007 Технические требования к наружным антикоррозионным полипропиленовым покрытиям труб заводского нанесения для строительства, реконструкции и капитального ремонта подземных и морских газопроводов с температурой эксплуатации до + 110 °С.

СТО Газпром 2-2.2-180-2007 Документы нормативные для проектирования, строительства и эксплуатации объектов ОАО «Газпром». Технические требования на внутреннее гладкостное покрытие труб для строительства магистральных газопроводов

СТО Газпром 2-2.3-130-2007 Документы нормативные для проектирования, строительства и эксплуатации объектов ОАО «Газпром». Технические требования к наружным противокоррозионным полиэтиленовым покрытиям труб заводского нанесения для строительства, реконструкции и капитального ремонта подземных и морских газопроводов с температурой эксплуатации до плюс 80 °С

СТО Газпром 2-3.5-047-2006 Документы нормативные для проектирования, строительства и эксплуатации объектов ОАО «Газпром». Инструкция по расчету и проектированию электрохимической защиты от коррозии магистральных газопроводов

СТО Газпром 2-3.5-051-2006 Документы нормативные для проектирования, строительства и эксплуатации объектов ОАО «Газпром». Нормы технологического проектирования магистральных газопроводов

СТО Газпром 2-4.1-212-2008 Общие технические требования к трубопроводной арматуре, поставляемой на объекты ОАО «Газпром»

СТО Газпром 2-6.2-149-2007 Категорийность электроприемников промышленных объектов ОАО «Газпром»

СТО РД Газпром 39-1.10-084-2003 Методические указания по проведению анализа риска

для опасных производственных объектов газотранспортных предприятий ОАО «Газпром»

Примечание - При пользовании настоящим стандартом целесообразно проверить действие ссылочных стандартов по соответствующим указателям, составленным на 1 января текущего года, и информационным указателям, опубликованным в текущем году. Если ссылочный документ заменен (изменен), то при пользовании настоящим стандартом следует руководствоваться замененным (измененным) документом. Если ссылочный документ отменен без замены, то положение, в котором дана ссылка на него, применяется в части, не затрагивающей эту ссылку.

3 Термины и определения

В настоящем стандарте применены следующие термины с соответствующими определениями:

3.1 байпас: Обводная линия в обвязке кранового узла.

3.2 внутреннее гладкостное покрытие: Антифрикционное лакокрасочное покрытие, наносимое с целью снижения гидравлического сопротивления при транспортировке газа.

3.3 воздействие: Явление, вызывающее внутренние силы в элементе газопровода (изменение температуры стенки трубы, деформация основания, усадка и ползучесть материала, сейсмические и другие явления).

3.4 газопровод: Трубопровод, предназначенный для транспорта газа.

3.5 гибкость отвода: Способность отвода изменять центральный угол при изгибе. Величина, обратная изгибной жесткости отвода.

3.6 диаметр условный; Ду: Установленный ряд чисел, каждому из которых соответствует фактический диаметр (наружный) трубы.

Примечание - Условный - 1200 мм, фактический - 1220 мм.

3.7 длинный отвод: Отвод, гибкость и напряженное состояние которого не зависят от условий сопряжения его концов с прямыми участками трубопровода.

3.8 допускаемое напряжение: Максимальное безопасное напряжение при эксплуатации рассматриваемой конструкции.

3.9 естественные и искусственные препятствия: Реки, водохранилища, каналы, озера, пруды, ручьи, протоки и болота, овраги, балки, железные и автомобильные дороги, пересекаемые газопроводом.

3.10 изоляция газопровода противокоррозионная: Наружное покрытие трубы, предназначенное для зашиты от почвенной и атмосферной коррозии.

3.11 импульсный газ: Сжатый природный газ, используемый для пневматического привода запорно-регулирующей арматуры.

3.12 категория участка магистрального газопровода: Характеристика опасности участка магистрального газопровода, классифицируемая в зависимости от показателей опасности транспортируемого продукта, технических характеристик газопровода, плотности населения, антропогенной активности вблизи газопровода и иных факторов риска.

Примечание - Учитывает возможность внешнего повреждения магистрального газопровода и последствия возможных аварий на магистральном газопроводе.

3.13. компенсатор: Участок трубопровода специальной конструкции, предназначенный для восприятия температурных деформаций трубопровода за счет своей податливости.

3.14 компрессорная станция; КС: Комплекс сооружений магистрального газопровода, предназначенный для компримирования газа.

3.15 компрессорный цех; КЦ: Составная часть компрессорной станции, выполняющая основные технологические функции (очистку, компримирование и охлаждение газа).

3.16 линейная часть газопровода: Часть магистрального газопровода, объединяющая компрессорные станции в единую газотранспортную систему для передачи газа потребителям.

3.17 магистральный газопровод; МГ: Комплекс производственных объектов, обеспечивающих транспорт природного или попутного нефтяного газа, в состав которого входят однониточный газопровод, компрессорные станции, установки дополнительной подготовки газа (например, перед морским участком), участки с лупингами, переходы через водные преграды, запорная арматура, камеры приема и запуска очистных устройств, газораспределительные станции, газоизмерительные станции, станции охлаждения газа.

3.18 нагрузка: Силовое воздействие, вызывающее изменение напряженно-деформированного состояния конструкции (трубопровода).

3.19 овальность: Нарушение формы поперечного сечения трубы, характеризующееся ее

отклонением от идеально кольцевой.

Примечание - Численно овальность сечения определяется в зависимости от значений наибольшего и наименьшего наружных диаметров в рассматриваемом сечении трубы.

3.20 охранная зона: Контролируемая полоса местности или водного пространства вдоль трассы газопровода, устанавливаемая на период его эксплуатации с целью предупреждения возможного вредного воздействия на газопровод.

3.21 площадь поперечного сечения трубопровода «в свету»: Площадь полости поперечного сечения трубопровода (ограниченная внутренним диаметром трубы).

3.22 подводный переход: Участок (составляющая) линейной части, предназначенный

для пересечения газопроводом естественных и искусственных водных объектов.

Примечание - К подводным переходам МГ относятся переходы через водные преграды, укладываемые с помощью подводно-технических средств.

3.23 полка: Строительная полоса на косогорах, устраиваемая путем срезки или подсыпки грунта.

3.24 предел прочности материала труб (временное сопротивление): Нормативное минимальное значение напряжения, при котором происходит разрушение материала труб при растяжении.

3.25 предел текучести материала труб: Нормативное минимальное значение напряжения, при котором начинается интенсивный рост пластических деформаций (при незначительном увеличении нагрузки) при растяжении материала труб.

3.26 предельное состояние: Состояние трубопровода, за пределами которого он перестает удовлетворять заданным эксплуатационным требованиям.

3.27 противокоррозионное покрытие: Изоляционное покрытие - органическое (полимерное) покрытие, защищающее металлические поверхности сооружений от различных видов коррозии.

3.28 пусковой газ: Сжатый природный газ, используемый для пусковых устройств газоперекачивающих агрегатов и электростанций собственных нужд компрессорных станций.

3.29 рабочее давление: Наибольшее внутреннее давление, при котором обеспечивается заданный режим эксплуатации газопровода (нормальное протекание рабочего процесса).

Примечание - Определяется по сечению на выходном трубопроводе газового компрессора.

3.30 расчетная схема: Упрощенное изображение конструкции газопровода, принимаемое для выполнения расчетов на прочность и устойчивость.

3.31 расчетное давление: Максимальное избыточное внутреннее давление, на которое рассчитан трубопровод или его часть на прочность.

3.32 расчетный коэффициент: Число (меньше единицы), равное отношению допускаемого напряжения в трубопроводе к пределу текучести или к пределу прочности материала труб.

3.33 репер: В геодезии - знак, закрепляющий точку земной поверхности, высота которой относительно исходной уровенной поверхности определена путем нивелирования. В Российской Федерации высоты реперов вычисляются относительно нуля Кронштадтского футштока.

3.34 система электрохимической защиты: Составная часть линейной части газопровода, выполняющая следующие основные технологические функции:

- обеспечение эффективной защиты газопровода от подземной коррозии;

- контроль эффективности противокоррозионной защиты.

3.35 соединительные детали трубопроводов: Элементы трубопровода, предназначенные для изменения направления его оси, ответвления от него, изменения его диаметра и др. (отводы, тройники, переходники и др.).

3.36 термореактивное покрытие: Покрытие на основе синтетических материалов, которое в результате отверждения переходит в неплавкие и нерастворимые структуры.

3.37 технический коридор: Система параллельно прокладываемых по одной трассе магистральных газопроводов.

3.38 толщина стенки номинальная: Толщина стенки трубы или соединительной детали, указанная в стандартах или технических условиях.

3.39 топливный газ: Сжатый природный газ, используемый для работы тепловых двигателей и электростанций собственных нужд компрессорных станций.

3.40 транспорт газа: Подача газа из пункта его добычи, получения или хранения в пункт доставки.

3.41 трасса: Положение оси газопровода, отвечающее ее положению на местности и определяемое ее проекциями в горизонтальной и вертикальной плоскостях.

3.42 трубопроводы технологические (основного назначения): Трубопроводы, предназначенные для транспортировки газа в пределах промплощадки объекта (компрессорная станция, станция охлаждения газа, газоизмерительная станция, газораспределительная станция) для выполнения основных технологических процессов (очистки, компримирования, охлаждения, измерения, редуцирования и т.д.).

3.43 тупиковая газораспределительная сеть: Схема доставки газа конечным потребителям, при которой они получают газ из системы магистральных газопроводов через единственную газораспределительную станцию (ГРС) и лишены возможности получения газа через другие ГРС. Надежность газоснабжения при тупиковой схеме существенно ниже, чем при кольцевой схеме с дублированием отдельных элементов газораспределительной сети.

3.44 приемлемый риск: Риск, уровень которого допустим и обоснован исходя из экономических и социальных соображений.

3.45 устойчивость газопровода: Свойство конструкции газопровода поддерживать первоначальную форму оси или форму его поперечного сечения.

4 Обозначения и сокращения

В настоящем стандарте приняты следующие обозначения:

ВГП - внутреннее гладкостное покрытие

ВОЛС - волоконно-оптическая линия связи

ВЛ - воздушная линия

ВТУ - внутритрубные устройства

ВЭИ - вставки электроизолирующие

ГВВ - горизонт высоких вод

ГИС - газоизмерительная станция

ГНБ - горизонтально направленное бурение

ГРС - газораспределительная станция

ГС - головные сооружения

ГФУ - установка газофракционирования

ДКС - дожимная компрессорная станция

ЗРА - запорно-регулирующая арматура

ЗТВ - зона термического влияния (сварного шва)

ИПГ - испытание падающим грузом

КДП - контрольно-диагностический пункт

КИП - контрольно-измерительный пункт

КС - компрессорная станция

КРН - коррозионное растрескивание под напряжением

КЦ - компрессорный цех

ЛЧ - линейная часть (магистрального газопровода)

ЛЭП - линия электропередачи

ММГ - многолетне мерзлые грунты

МРЗ - максимальное расчетное землетрясение

НДС - напряженно-деформированное состояние

НУП - необслуживаемый усилительный пункт

НУЭ - нормальные условия эксплуатации

ПЗ - проектное землетрясение

ПРГ - пункт редуцирования газа

ПХГ - подземное хранилище газа

РД - руководящий документ

РРЛ - радиорелейная линия (связи)

СанПиН - санитарные правила и нормы

СДТ - соединительные детали трубопроводов

СМР - строительно-монтажные работы

СН - строительные нормы

СНиП - строительные нормы и правила

СГТХГ - станция подземного хранения газа

СОГ - станция охлаждения газа

ТУ - технические условия

ТС - тройник сварной

ТШ - тройник штампованный

ТШС - тройник штампосварной

У - климатическое исполнение труб и СДТ для макроклиматических районов с умеренным климатом

УДЗ - установка дренажной защиты

УКЗ - установка катодной защиты

УОГ - установка осушки газа

УППГ - установка предварительной подготовки газа

УКПГ - установка комплексной подготовки газа

УХЛ - климатическое исполнение труб и СДТ для макроклиматических районов с умеренным и холодным климатом

ЭХЗ - электрохимическая защита от коррозии

KCV (KCU) - ударная вязкость, определенная на образце с концентратором вида V (U)

5 Общие положения

5.1 В состав МГ входят:

- газопровод (от места выхода с промысла подготовленной к дальнему транспорту товарной продукции) с ответвлениями и лупингами, запорной арматурой, переходами через естественные и искусственные препятствия, узлами подключения КС, ГИС, ПРГ, узлами пуска и приема ВТУ, конденсатосборниками и устройствами для ввода метанола;

- система электрохимической защиты от коррозии;

- линии и сооружения технологической связи, средства телемеханики газопроводов;

- линии электропередачи, предназначенные для обслуживания газопроводов, и устройства электроснабжения и дистанционного управления запорной арматурой и установками электрохимической защиты газопроводов;

- противопожарные средства;

- противоэрозионные и защитные сооружения газопроводов;

- системы сбора и утилизации конденсата;

- здания и сооружения линейной службы эксплуатации газопроводов;

- постоянные дороги и вертолетные площадки, расположенные вдоль трассы газопровода, и подъезды к ним, опознавательные и сигнальные знаки местонахождения газопроводов;

- головные и промежуточные (линейные) КС;

- ГИС и СОГ;

- ГРС;

- СПХГ;

- указатели и предупредительные знаки.

5.2 МГ следует прокладывать подземно (подземная прокладка). Прокладка газопроводов по поверхности земли в насыпи (наземная прокладка) или на опорах (надземная прокладка) допускается только как исключение при соответствующем обосновании в случаях, приведенных в 11.1. При этом должны предусматриваться специальные мероприятия, обеспечивающие надежную и безопасную эксплуатацию газопроводов.

5.3 Прокладка газопроводов может осуществляться одиночно или параллельно другим действующим или проектируемым магистральным газопроводам - в техническом коридоре.

5.4 В отдельных случаях при технико-экономическом обосновании и условии обеспечения надежности работы трубопроводов допускается совместная прокладка в одном техническом коридоре газопроводов и нефтепроводов (нефтепродуктопроводов). В этом случае проектирование газопровода должно быть согласовано с владельцем нефтепроводов (нефтепродуктопроводов).

5.5 Перечень территорий, по которым не допускается прокладка газопроводов, приведен в 7.1.14.

5.6 Для обеспечения нормальных условий эксплуатации и исключения возможности повреждения газопроводов и их объектов вокруг них устанавливаются охранные зоны, размеры которых и порядок производства в этих зонах сельскохозяйственных и других работ регламентируются Правилами [3].

5.7 Для проектирования вдольтрассовых проездов и подъездных дорог к крановым узлам газопроводов предусматривается оформление аренды необходимых земельных участков или права ограниченного пользования чужими земельными участками (сервитут) в соответствии со статьями 22 и 23 Земельного кодекса РФ [8].

5.8 Температура газа, поступающего в газопровод, должна устанавливаться исходя из возможности транспортирования продукта и требований, предъявляемых к сохранности изоляционных покрытий, прочности, устойчивости и надежности газопровода. Необходимость и степень охлаждения транспортируемого продукта решается при проектировании.

5.9 Расчетные схемы и методы расчета газопроводов на прочность и устойчивость необходимо выбирать с учетом использования автоматизированных способов расчета.

5.10 Газопроводы и их сооружения следует проектировать с учетом максимальной индустриализации строительно-монтажных работ за счет применения труб и сборных конструкций в блочно-комплектном исполнении из стандартных и типовых элементов и деталей с наружным защитным покрытием, изготовленных на заводах или в стационарных условиях, обеспечивающих качественное их изготовление. Трубы с ВГП могут применяться только на вновь проектируемых газопроводах при соответствующем обосновании на стадии инвестиционного проекта. При этом принятые в проекте решения должны обеспечивать бесперебойную и безопасную эксплуатацию газопроводов.

5.11 При проектировании газопроводов следует использовать материалы, изделия и оборудование, прошедшие процедуру эксплуатационных испытаний и разрешенные к применению на объектах ОАО «Газпром» в установленном порядке.

5.12 Срок безопасной эксплуатации газопровода следует назначать в соответствии с требованиями нормативных документов ОАО «Газпром».

5.13 Геодезическое позиционирование объектов магистрального газопровода должно быть отражено в исполнительной документации в системе информации «как построено».

6 Классификация участков магистральных газопроводов по безопасности

6.1 Все участки МГ подразделяются на три категории:

- Н (Нормальная);

- С (Средняя);

- В (Высокая).

Соответствие между категориями участков МГ по СНиП 2.05.06-85 [1] и настоящим стандартом приведено в таблице 1.

Таблица 1 - Примерное соответствие между категориями участков МГ по СНиП 2.05.06-85 и настоящему стандарту

СНиП 2.05.06-85

III-IV

I-II

В

Настоящий стандарт

Н

С

В

6.2 Категории участков МГ в зависимости от их назначения устанавливаются в соответствии с требованиями таблицы 2. Кроме назначения участка МГ в таблице 2 учитывается также сложность его конструктивного исполнения и трудности выполнения ремонтных работ.

Таблица 2 - Категории участков магистральных газопроводов в зависимости от их назначения

Назначение участков газопроводов

Категории участков при прокладке

подземной

наземной

надземной

1 Переходы через водные преграды:

 

 

 

а) шириной зеркала воды в межень 75 м и более и прибрежные участки длиной не менее 25 м (от среднемеженного горизонта воды) каждый

В

-

В

б) шириной зеркала воды в межень до 75 м и прибрежные участки длиной не менее 25 м (от среднемеженного горизонта воды) каждый

С

-

С

в) несудоходные шириной зеркала воды в межень от 10 до 25 м - в русловой части, оросительные и деривационные каналы

с

-

с

г) горные потоки (реки)

С

-

С

д) поймы рек по горизонту высоких вод 10 %-ной обеспеченности

С

-

с

е) газопроводы в пределах 2 и 3 зон санитарной охраны водозаборов

с

-

с

2 Переходы через болота типа:

 

 

 

а) II

с

Н

н

б) III

с

С

с

3 Переходы через железные и автомобильные дороги (на перегонах):

 

 

 

а) участки газопроводов на переходах через железные дороги обшей сети, автомобильные дороги I, II и III категории, включая участки на расстоянии 50 м но обе стороны от подошвы земляного полотна или края водоотводного сооружения дороги

в

-

в

б) участки газопроводов на переходах через подъездные железные дороги промышленных предприятий, автомобильные дороги IV, V, III-п и IV-п категории, а также участки на расстоянии согласно 7.2.1.3, 7.2.1.5 по обе стороны от подошвы земляного полотна или края водоотводного сооружения всех железных и категорированных автомобильных дорог

С

-

С

4 Трубопроводы, расположенные внутри зданий и в пределах территорий КС, ПРГ, СПХГ, ДКС, ГРС, ГИС, включая конденсатосборники, а также трубопроводы импульсного, топливного и пускового газа. Трубопроводы узлов подключения к КС, располагаемых на территории КС

В

В

в

5 Пересечения (в обе стороны) в пределах расстояний, указанных в 7.2.1.5, с воздушными линиями электропередачи напряжением:

 

 

 

а) 500 кВ и более

В

-

-

б) от 330 до 500 кВ

С

-

-

6 Газопроводы в горной местности при укладке в тоннелях

-

с

с

7 Участки газопроводов в зонах активных тектонических разломов и прилегающие участки на расстоянии 100 м от границ разлома

В

в

в

8 Газопроводы, прокладываемые по поливным и орошаемым землям хлопковых и рисовых плантаций

с

-

-

9 Газопроводы, прокладываемые по территории распространения ММ Г, имеющих при оттаивании относительную осадку свыше 0,1, а также газопроводы, прокладываемые в сильнозасоленных грунтах

с

с

с

10 Переходы через селевые потоки, конусы выносов и солончаковые грунты

с

-

с

11 Узлы установки линейной арматуры (за исключением участков категории В) и примыкающие участки газопровода на длине R, определяемой по 6.3

с

с

с

12 Газопроводы на длине R, определяемой по 6.3, от гребенок подводных переходов (за исключением участков категории В)

с

с

с

13 Трубопроводы, примыкающие к территориям СПХГ, установок очистки и осушки газа, головных сооружений со стороны коллекторов и трубопроводов в пределах расстояний, указанных в 7.2.1.5

с

-

с

14 Узлы пуска и приема ВТУ, а также участки газопроводов на длине R, определяемой по 6.3, примыкающие к ним

с

с

с

15 Узлы подключения в газопровод, располагаемые вне КС, участки между охранными кранами, всасывающие и нагнетательные газопроводы КС, СПХГ, УКПГ, УППГ, ДКС (шлейфы) и головных сооружений, а также трубопроводы топливного и импульсного газа (от узла подключения до ограждения территории указанных сооружений)

с

с

с

16 Газопроводы, примыкающие к ГРС в пределах расстояний, указанных в 7.2.1.5, а также участки за охранными кранами на длине R, определяемой по 6.3

с

с

с

17 Газопроводы, примыкающие к секущему крану ГИС и ПРГ, на длине R, определяемой по 6.3, в обе стороны

с

с

с

18 Пересечения с коммуникациями (канализационными коллекторами, нефтепроводами, нефтепродуктопроводами, газопроводами, силовыми кабелями и кабелями связи, оросительными системами и т.п.) на длине 100 м по обе стороны от пересекаемой коммуникации

С

С

С

19 Газопроводы, прокладываемые по подрабатываемым территориям и территориям, подверженным карстовым явлениям

С

С

С

20 Газопроводы, прокладываемые в одном техническом коридоре, в местах расположения ГИС, ПРГ, узлов установки линейной запорной арматуры, узлов пуска и приема ВТУ, узлов подключения КС, УКПГ, УППГ, СПХГ, ДКС, ГС в трубопровод в пределах расстояний, указанных в позициях 14-20, а от узлов подключения КС в трубопровод в пределах расстояния R, определяемого по 6.3, по обе стороны от них

С

С

С

Если они не относятся к более высокой категории по виду прокладки и другим параметрам

Примечания

1 Участки трубопроводов, не указанные в таблице 1, следует отнести к категории Н.

2 Категории отдельных участков газопроводов, аварийное повреждение которых может вызвать перебои в подаче газа городам и другим крупным потребителям, имеющим большое народнохозяйственное значение, а также загрязнение окружающей среды, при соответствующем обосновании допускается повышать на одну категорию.

3 Категории автодорог соответствуют СНиП 2.05.02-85 [4] и СНиП 2.05.07-91 [5]. Под индексом «п» в категориях автомобильных дорог (позиция 3) следует понимать индексы «в», «к», «л».

4 Переходы через подъездные железные дороги промышленных предприятий и автомобильные дороги на участках транспортирования газа с отрицательной температурой возможно выполнять без устройства защитных кожухов.

5 Типы болот следует принимать в соответствии с требованиями СНиП III-42-80* [6].

6 При пересечении газопроводом массива болот различных типов при соответствующем обосновании допускается принимать категорию всего участка как для наиболее высокой категории на данном массиве болот.

7 Действующие газопроводы, пересекаемые строящимися железными и автомобильными дорогами, подлежат реконструкции в соответствии с позицией 3. В случае если действующий газопровод спроектирован в соответствии со СНиП 2.05.06-85 [1], следует придерживаться примерного соответствия между категориями участков по настоящему стандарту и СНиП 2.05.06-85 [1], указанного в таблице 1.

8 Категорию участков газопроводов, прокладываемых в поймах рек, подлежащих затоплению под водохранилище, следует принимать как для переходов через судоходные водные преграды.

9 При небольшой продолжительности подтопления паводковыми водами (менее 20 дней) и незначительной глубине этого подтопления, позволяющей оперативно проводить в данной местности аварийно-восстановительные работы на газопроводах в случае их повреждения, выполнение требований позиции 1д не обязательно.

10 Категории участков газопроводов на переходах через водохранилища, пруды, озера следует принимать по позиции 16.

11 Знак «-» в таблице означает, что данный способ прокладки не предусматривается.

12 Участки газопроводов позиции 20 допускается принимать категории В в случае скученности в расположении крановых узлов и перемычек.

13 При пересечении МГ строящимися коммуникациями, перечисленными в позиции 18, следует определить необходимость реконструкции МГ. Для этого заказчик строящейся коммуникации должен провести техническое обследование действующего газопровода на предмет необходимости его ремонта. В этом случае эксплуатирующая организация обязана представить результаты последней внутритрубной диагностики участка пересекаемого МГ.

Назначение участков газопроводов

Категории участков при прокладке

подземной

наземной

надземной

14 Действующие газопроводы при пересечении их проектируемыми коммуникациями, указанными в позиции 18, должны удовлетворять требованиям позиции 18.

15 При установке кранового узла на газопроводе-ответвлении для его подключения к действующему магистральному газопроводу требование позиции 11 распространяется на прилегающие участки данного ответвления. На прилегающие участки действующего магистрального газопровода, в который врезается газопровод-ответвление, указанное требование не распространяется.

6.3 Расстояния и длины R, м, указанные в таблице 2, следует вычислять по формуле

                                                                                   (6.1)

где р - рабочее давление в газопроводе, МПа.

Примечание - Термин «расстояние» в таблице 2 и в данном пункте означает:

- при пересечениях железных и автомобильных дорог - расстояние от точки оси газопровода до линии границы пересекаемой дороги (коммуникации и др.) по перпендикуляру к ней;

- при расстояниях от площадок - расстояние по радиусу от ближайшей точки границы площадки до оси газопровода.

7 Основные требования к трассам газопроводов

7.1 Требования к выбору трасс

7.1.1 Выбор трассы газопровода должен выполняться проектной организацией совместно с заказчиком на основе утвержденного задания на проектирование.

7.1.2 Выбор трассы газопровода проводится с учетом возможной минимизации затрат при сооружении и эксплуатации газопровода.

7.1.3 Для обоснования выбора трассы газопровода должны быть учтены следующие факторы:

- диаметр и протяженность газопровода;

- расположение и количество площадок КС;

- конструктивные схемы укладки газопровода;

- безопасность населения и персонала, работающего вблизи газопровода;

- охрана окружающей среды;

- наличие других сооружений;

- наличие полезных ископаемых;

- инженерно-геологические и климатические условия;

- требования к строительству и эксплуатации газопровода;

- местные требования;

- перспективы развития территории;

- наличие крупных и средних рек, болот, озер, автомобильных и железных дорог, оврагов, действующих трубопроводов, линий электропередач и связи, сельскохозяйственных угодий;

археологические памятники (курганы, поселения);

- наличие факторов коррозионной опасности.

7.1.4 При выборе трассы газопровода должны быть исследованы все характерные для района размещения явления, процессы и факторы природного и техногенного происхождения, которые могут оказывать влияние на безопасность газопровода и вызвать негативное воздействие на население и окружающую среду, в том числе закономерности распространения промышленных выбросов в атмосферу.

7.1.5 При выборе оптимального варианта трассы газопровода в районах со сложным рельефом, значительно залесенных, заболоченных, с большим количеством оврагов, речек, озер, солончаков, наличием карста, термокарста, в застроенных районах решение о применении аэрофотосъемки или лазерного сканирования принимается заказчиком.

7.1.6 Выбор трассы газопровода должен осуществляться в соответствии с требованиями, предусмотренными действующими земельным, водным и градостроительным кодексами, а также с учетом необходимости защиты населения и территории от чрезвычайных ситуаций техногенного характера.

7.1.7 Не допускается размещать трассы газопроводов на рекреационных территориях (водных, лесных, ландшафтных), в зонах санитарной охраны источников водоснабжения, водоохранных и прибрежных зонах рек, морей, охранных зонах курортов.

7.1.8 Трассу газопровода следует выбирать с учетом затрат на возмещение:

- убытков землепользователям;

- потерь сельхозпроизводства при отводе земель под строительство;

- ущерба рыбному хозяйству;

- ущерба лесному хозяйству;

- других потерь от негативного воздействия на окружающую среду при строительстве и эксплуатации газопровода;

- расходов на археологические раскопки.

7.1.9 При выборе трассы газопровода необходимо учитывать возможность развития процессов КРН, т.е. следует учитывать природные и техноприродные факторы, определяющие предрасположенность газопровода на отдельных участках к развитию КРН.

7.1.10 При выборе трассы газопровода следует учитывать условия строительства с тем, чтобы обеспечить применение наиболее экономичных и высокопроизводительных методов строительно-монтажных работ.

7.1.11 Камеральную проработку вариантов трассы газопровода следует производить в пределах области поиска, определяемую эллипсом, в фокусах которого находятся начальный и конечный пункты трассы.

7.1.12 При выборе трассы газопровода необходимо учитывать транспортные коммуникации района будущего строительства с целью максимального использования их для доставки труб от станций разгрузки до трубосварочных пунктов и развозки плетей к трассе.

7.1.13 При выборе трассы газопровода необходимо учитывать перспективное развитие городов, других населенных пунктов, промышленных, сельскохозяйственных и других объектов, автомобильных дорог и проектируемого газопровода на ближайшие 20 лет, а также условия строительства и обслуживания газопровода в период его эксплуатации (существующие, строящиеся, проектируемые и реконструируемые здания и сооружения, мелиорация заболоченных земель, ирригация пустынных и степных районов, использование водных объектов и т.д.), выполнять прогнозирование изменений природных условий в процессе строительства и эксплуатации магистральных трубопроводов.

7.1.14 МГ должны прокладываться вне застроенных территорий или территорий с частой человеческой деятельностью.

При выборе трассы следует учитывать, что не допускается прохождение газопровода:

- в населенных пунктах;

- тоннелях автомобильных и железных дорог;

- тоннелях совместно с электрическим кабелем и кабелями связи и трубопроводами иного назначения;

- по мостам железных и автомобильных дорог всех категорий за исключением газопровода диаметром до 1000 мм на давление до 2,5 МПа по несгораемым мостам автомобильных дорог III, IV и V категорий. Прокладка газопроводов по мостам, по которым проложены кабели междугородной связи, допускается только по согласованию с владельцем;

- в одной траншее с электрическими кабелями, кабелями связи и трубопроводами иного назначения за исключением случаев прокладки кабеля технологической связи данного газопровода на переходах через железные и автомобильные дороги (в одном кожухе);

- ближе 500 м от боковой границы второго пояса зоны санитарной охраны источников хозяйственного питьевого водоснабжения.

7.1.15 На оползневых участках при их значительных протяженностях трассу следует выбирать выше оползневого участка.

7.1.16 В районах с сильно пересеченным рельефом местности и в горных условиях трассу газопровода следует выбирать в долинах рек вне зоны затопления или по водоразделам.

7.1.17 При выборе трассы следует по возможности избегать пересечения лесов следующих категорий:

- расположенные в пределах водоохранных зон, выполняющих функцию защиты водных объектов;

- выполняющие функции защиты источников питьевого водоснабжения;

- противоэрозионные лесопарковые части зеленых зон поселений и леса санитарно-защитных зон хозяйственных объектов;

- первой, второй и третьей зон округов санитарной охраны курортов;

- городские леса;

- ценные леса, включающие особо ценные лесные массивы;

- леса на пустынных, полупустынных, степных, лесостепных и малолесных горных территориях;

- леса, имеющие научное или историческое значение;

- орехово-промысловые зоны и кедровые леса;

- лесоплодовые насаждения;

- притундровые леса;

- ленточные боры;

- леса особо охраняемых природных территорий, в том числе заповедные лесные участки;

леса и защитные участки лесов, необходимые для осуществления жизненных циклов объектов животного мира.

7.1.18 Выбор трассы на ММГ должен производиться на основе:

- мерзлотно-инженерно-геологических карт и карт ландшафтного микрорайонирования оценки благоприятности освоения территорий масштаба не более 1:100 000;

- схематической прогнозной карты восстановления растительного покрова;

- карт относительной осадки грунтов при оттаивании;

- карт коэффициентов удорожания относительной стоимости освоения.

7.1.19 На участках трассы, где возможно развитие криогенных процессов, должны проводиться предварительные инженерные изыскания для прогноза этих процессов.

7.1.20 При выборе трассы на ММГ следует по возможности избегать участки с подземными льдами, наледями, буграми пучения, проявлениями термокарста, косогоров с льдонасыщенными глинистыми и переувлажненными пылеватыми грунтами.

Бугры пучения следует проходить с низовой стороны.

7.1.21 Трасса газопровода на подрабатываемой территории должна быть увязана с планами производства горных работ и выбираться преимущественно из тех, на которых уже закончились процессы деформации поверхности.

7.1.22 Пересечение шахтных полей газопроводом следует предусматривать:

- на пологопадающих пластах - вкрест простирания;

- крутопадающих - по простиранию.

7.1.23 При выборе трасс газопроводов в сейсмических районах необходимо избегать косогорные участки, участки с неустойчивыми и просадочными грунтами, территории горных выработок и активных тектонических разломов, а также участки, сейсмичность которых превышает 9 баллов.

Выбор трассы газопровода в перечисленных условиях может осуществляться только в случае особой необходимости при соответствующем технико-экономическом обосновании.

7.1.24 Створы переходов газопровода через реки следует выбирать на прямолинейных устойчивых плесовых участках с пологими неразмываемыми берегами при минимальной ширине заливаемой поймы. Створы подводного перехода следует предусматривать перпендикулярно динамической оси потока. Участки русла, сложенные скальными фунтами, желательно избегать. Устройство переходов на перекатах не рекомендуется.

7.1.25 При выборе створа перехода газопровода следует учитывать гидролого-морфологические характеристики водотока.

7.1.26 Выбор створа подводного перехода газопровода в верховьях рек в местах нерестилищ, нагула и зимования рыб, на водоемах со значительными деформациями русла и большими скоростями течения, с интенсивным судоходством и искусственными сооружениями на берегу, при невозможности соблюдения минимальных расстояний до существующих трубопроводов и других сооружений, когда требуется реконструкция существующего подводного перехода прокладкой новых трубопроводов производится с учетом осуществления строительства методом ГНБ.

7.1.27 Расстояние между параллельными газопроводами на участках их переходов под железными и автомобильными дорогами следует назначать исходя из грунтовых условий и условий производства работ, но во всех случаях это расстояние должно быть не менее расстояний, принятых при подземной прокладке линейной части магистральных газопроводов.

7.1.28 Согласование трассы газопровода выполняется с землепользователями и всеми заинтересованными ведомствами и организациями в соответствии с требованиями действующих земельного и водного кодексов.

7.2 Минимальные расстояния

7.2.1 Минимальные расстояния от МГ до населенных пунктов, промышленных и сельскохозяйственных предприятий, зданий и сооружений

7.2.1.1 Трассы магистральных газопроводов и площадки КС, СОГ и ГРС должны выбираться так, чтобы населенные пункты, отдельные жилые, хозяйственные и производственные постройки и другие объекты третьих лиц находились в зоне приемлемого риска согласно СТО РД Газпром 39-1.10-084-2003.

Все объекты, здания и сооружения, располагаемые вблизи трассы МГ (таблица 3) следует разделить на группы (А-Д) по следующему принципу:

- к группе А относятся объекты с постоянным значительным скоплением людей;

- группе Б относятся территориальные образования, включающие производственные или муниципальные объекты, здания и сооружения, для которых наиболее значимым фактором является гибель людей;

- группам В-Д относятся объекты, для которых наиболее значимым является фактор вероятности их серьезного повреждения от возможных аварий на МГ.

7.2.1.3 Минимальные расстояния от оси газопровода приведены в таблице 3:

- до объектов групп А-Д (позиции 1-5) при рабочем давлении р ≤ 9,81 МПа;

- объектов, указанных в позициях 6-15, - независимо от уровня рабочего давления.

7.2.1.4 Деление объектов по группам и отнесение их к той или иной позиции в таблице 3 учитывает следующие характеристики объектов:

- объекты, здания и сооружения, минимальные расстояния до которых определяются техническими характеристиками газопровода (диаметр, рабочее давление);

- объекты, минимальные расстояния до которых регламентируются нормативными документами других ведомств;

- объекты, минимальные расстояния до которых не зависят от технических характеристик газопровода.

7.2.1.5 Минимальные расстояния L, м, от оси участков МГ при рабочих давлениях свыше 9,81 МПа до объектов групп А-Д вычисляют по формуле

                                                                                                           (7.1)

                                                                                                                     (7.2)

где р - рабочее давление в газопроводе, МПа;

Ldas - базисное значение минимального расстояния, принимаемое по таблице 3, в зависимости от диаметра МГ для рабочего давления р ≤ 9,81 МПа.

Таблица 3 - Минимальные расстояния от оси газопровода, м

(расстояния до объектов групп А-Д даны для рабочего давления р ≤ 9,81 МПа.)

Объекты, здания и сооружения

Минимальные расстояния от газопроводов, м

условным диаметром

300 и менее

свыше 300 до 600

свыше 600 до 800

свыше 800 до 1000

свыше 1000 до 1200

свыше 1200 до 1400

1 Группа А:

- железнодорожные и автобусные станции;

- аэропорты;

- морские и речные порты и пристани;

- отдельно стоящие здания с массовым скоплением людей (школы, больницы, клубы, детские сады и ясли, вокзалы и т.д.) с численностью более 100 чел.

120

180

240

300

360

420

2 Группа Б:

- города и другие населенные пункты;

- коллективные сады с садовыми домиками, дачные поселки;

- отдельные промышленные и сельскохозяйственные предприятия;

- тепличные комбинаты и хозяйства;

- птицефабрики, молокозаводы;

- карьеры разработки полезных ископаемых;

- гаражи и открытые стоянки для автомобилей индивидуальных владельцев на количество автомобилей свыше 20;

- отдельно стоящие здания с массовым скоплением людей (школы, больницы, клубы, детские сады и ясли, вокзалы и т.д.) с численностью 100 чел. и менее;

- жилые здания трехэтажные и выше;

- гидротехнические сооружения морского и речного транспорта I- IV классов;

- очистные сооружения и насосные станции водопроводные, не относящиеся к магистральному газопроводу;

- мосты железных дорог общего пользования, автомобильных дорог общего пользования и подъездных дорог к промышленным предприятиям I-а, I-б, II категорий, с пролетом свыше 20 м;

- склады легковоспламеняющихся и горючих жидкостей и газов с объемом хранения свыше 1000 м3;

- автозаправочные станции;

- мачты (башни) и сооружения многоканальной радиорелейной линии технологической связи трубопроводов;

- мачты (башни) и сооружения многоканальной радиорелейной линии связи Министерства связи России и других ведомств;

- телевизионные башни

100

150

200

250

300

350

3 Группа В:

- железные дороги общего пользования (па перегонах);

- автомобильные дороги общего пользования и подъездные дороги к промышленным предприятиям I-a, I-б, II, III категорий, параллельно которым прокладывается газопровод;

- отдельно стоящие:

- жилые здания одно-, двухэтажные;

- садовые домики, дачи;

- дома линейных обходчиков;

- кладбища;

- сельскохозяйственные фермы и огороженные участки для организованного выпаса скота;

- полевые станы

75

125

150

200

225

250

4 Группа Г:

- отдельно стоящие нежилые и подсобные строения;

- устья бурящихся и эксплуатируемых нефтяных, газовых и артезианских скважин;

- гаражи и открытые стоянки для автомобилей индивидуальных владельцев на 20 автомобилей и менее;

- канализационные сооружения;

- железные дороги промышленных предприятий;

- автомобильные дороги III-п, IV, IV-п и V категорий, параллельно которым прокладывается газопровод;

- вертодромы и посадочные площадки без базирования на них вертолетов

50

50

100

150

175

200

5 Группа Д:

- мосты железных дорог промышленных предприятий, автомобильных дорог III, III-п, IV, IV-п категорий с пролетом свыше 20 м;

- территории КС, УКПГ, СПХГ, групповых и сборных пунктов промыслов, промысловых газораспределительных станций (ПГРС), установок очистки и осушки газа

75

125

150

200

225

250

6 Территории ГРС, автоматизированных газораспределительных станций (АГРС), регуляторных станций, в том числе шкафного типа, предназначенных для обеспечения газом:

 

 

 

 

 

 

а) городов, населенных пунктов, предприятий, отдельных зданий и сооружений, других потребителей;

50

75

100

125

150

175

б) объектов газопровода (УЗРГ, термоэлектрогенераторов и т.д.)

25

25

25

25

25

25

7 Автоматизированные электростанции с термоэлектрогенераторами; аппаратура связи, телемеханики и автоматики

Не менее 15 от крайней нитки

8 Объекты:

- магистральные оросительные каналы и коллекторы, реки и водоемы, вдоль которых прокладывается трубопровод;

- водозаборные сооружения и станции оросительных систем

Согласно требованиям санитарных норм

9 Специальные предприятия, сооружения, площадки, охраняемые зоны, склады взрывчатых и взрывоопасных веществ, карьеры полезных ископаемых, добыча на которых производится с применением взрывных работ, склады сжиженных горючих газов

По согласованию с заинтересованными организациями и соответствующими федеральными надзорными органами

10 Объекты:

- воздушные линии электропередачи высокого напряжения, параллельно которым прокладывается трубопровод;

- воздушные линии электропередачи высокого напряжения, параллельно которым прокладывается трубопровод в стесненных условиях трассы;

- опоры воздушных линий электропередачи высокого напряжения при пересечении их трубопроводом;

- открытые и закрытые трансформаторные подстанции и закрытые распределительные устройства напряжением 35 кВ и более

В соответствии с требованиями ПУЭ [7]

11 Земляной амбар для аварийного выпуска конденсата из газопровода

50

75

75

75

100

100

12 Кабели междугородной связи и силовые электрокабели

10

13 Мачты (башни) и сооружения необслуживаемой малоканальной радиорелейной связи трубопроводов, термоэлектрогенераторы

15

14 Необслуживаемые усилительные пункты кабельной связи в подземных термокамерах

10

15 Притрассовые постоянные дороги, предназначенные только для обслуживания трубопроводов

Не менее 10

Примечания

1 Расстояния, указанные в таблице, следует принимать:

- для городов и других населенных пунктов - от проектной городской черты на расчетный срок 20-25 лет;

- отдельных промышленных предприятий, железнодорожных станций, аэродромов, морских и речных портов, и пристаней, гидротехнических сооружений, складов горючих и легковоспламеняющихся материалов, артезианских скважин - от границ отведенных им территорий с учетом их развития;

- железных дорог - от подошвы насыпи или бровки выемки со стороны газопровода, но не менее 10 м от границы полосы отвода дороги; для автомобильных дорог от подошвы насыпи земляного полотна;

- всех мостов - от подошвы конусов;

- отдельно стоящих зданий и строений - от ближайших выступающих их частей.

2 Под отдельно стоящим зданием или строением следует понимать здание или строение, расположенное вне населенного пункта на расстоянии не менее 50 м от ближайших к нему зданий или сооружений.

3 Минимальные расстояния от мостов железных и автомобильных дорог с пролетом 20 м и менее следует принимать такими же, как от соответствующих дорог.

4 Минимальные расстояния от оси газопроводов до зданий и сооружений при надземной прокладке, предусмотренные в позициях 1 и 2, следует принимать увеличенными в два раза, в позициях 3-8 и 11 в 1,5 раза. Данное требование относится к участкам надземной прокладки протяженностью свыше 150 м.

5 Расстояния до объектов, отсутствующих в данной таблице, следует принимать по согласованию с соответствующими органами государственного надзора и заинтересованными организациями.

6 Для газопроводов, прокладываемых в лесных районах, минимальные расстояния от железных и автомобильных дорог допускается сокращать на 30 % без повышения категории участка газопровода.

7 Расстояние не менее 10 м от притрассовых дорог должно приниматься с учетом расположения сооружений, указанных в позициях 6 и 7.

8 Объекты газопроводов, из которых возможен выброс или утечка газа в атмосферу, должны располагаться за пределами полос воздушных подходов к аэродромам и бертодромам.

9 Ширина просеки для прокладки газопровода параллельно линии электропередачи 6, 10 кВ при прохождении по территории государственного лесного фонда принимается как для стесненных участков трассы в соответствии с требованиями ПУЭ [7].

10 Расстояния от ГИС, ПРГ и ПЗРГ следует принимать такими же, как для газопроводов, на которых данные объекты расположены.

11 Расстояния до железных и автомобильных дорог, а также до мостов и путепроводов на дорогах указаны для газопроводов, прокладываемых параллельно дорогам.

При определении минимального расстояния по формуле (7.1) полученное значение следует округлить в большую сторону с точностью до 5 м.

7.2.1.6 При соответствующем обосновании допускаются проектные решения, предусматривающие сокращение минимального расстояния от оси МГ до объектов групп А-Д:

- для участков категории Н до 50 % от указанных в таблице 3 при повышении категории участка до категории В;

- участков категории Н до 25 % от указанных в таблице 3 при повышении категории участка до категории С;

- участков категории С до 25 % от указанных в таблице 3 при повышении категории участка до категории В.

7.2.1.7 Минимальное расстояние от ближайшего магистрального газопровода диаметром 1000 мм и более с рабочим давлением свыше 2,5 МПа и от границ технических коридоров трубопроводов до границ проектной застройки городов и других населенных пунктов в районах Западной Сибири и Крайнего Севера следует принимать не менее 700 м.

В стесненных условиях, когда это расстояние выдержать невозможно, его допускается сокращать до 350 м при условии повышения категорийности таких участков до категории С и принятия дополнительных мер, обеспечивающих безопасную эксплуатацию газопровода, или до значений, приведенных в таблице 3, при отсутствии в районе прокладки газопроводов многолетне мерзлых грунтов.

7.2.2 Расстояния от КС, СОГ и ГРС до населенных пунктов, промышленных и сельскохозяйственных предприятий, зданий и сооружений

7.2.2.1 Минимальные расстояния Lcs от КС, СОГ и ГРС до населенных пунктов, промышленных и сельскохозяйственных предприятий, зданий и сооружений, указанных в позициях 1-7 таблицы 4, вычисляют по формуле

                                                                                           (7.3)

                                                                                             (7.4)

                                                                                                 (7.5)

где Dу - диаметр газопровода условный, выбирается максимальное значение из условных диаметров газопроводов-шлейфов от узла подключения производственной площадки и коллекторов на производственной площадке, мм;

р - рабочее давление в газопроводе, МПа;

Lcs_bas - базисное значение минимального расстояния, принимаемое по таблице 4 для диаметра МГ Dy = 1400 мм и рабочего давления; p = 9,81 МПа.

При определении минимального расстояния по формуле (7.3) полученное значение следует округлить в большую сторону с точностью до 5 метров.

Для объектов, указанных в позициях 8-14 таблицы 4, минимальные расстояния следует принимать равными базисным значениям, указанным в таблице 4, независимо от диаметра газопровода и рабочего давления.

7.2.2.2 Минимальное значение условного диаметра, которое следует подставлять в формулу (7.3), не должно быть менее Dy = 300 мм.

7.2.2.3 Угол подхода газопроводов к площадкам КС, ГРС, УКПГ (между осью газопровода и оградой площадок) следует принимать не менее 60°. В случае несоблюдения данного условия участок газопровода, примыкающий к площадкам, на соответствующем расстоянии следует принимать категории В.

7.2.3 Расстояния между параллельными нитками газопроводов

7.2.3.1 Расстояние между осями смежных газопроводов разных диаметров следует принимать равным расстоянию, установленному для газопровода большего диаметра.

7.2.3.2 Расстояние между параллельными нитками газопроводов и нефтепроводов (или нефтепродуктопроводов) необходимо предусматривать как для газопроводов (за исключением случаев, приведенных в 7.3.3.10).

7.2.3.3 В случае если минимальное расстояние между трубопроводами находится вычислением по приведенным ниже формулам, полученное значение следует округлить в большую сторону с точностью до 1 м.

Таблица 4 - Базисные значения минимальных расстояний от КС, СОГ и ГРС (м) для газопровода с условным диаметром Dу = 1400 мм при рабочем давлении р = 9,81 МПа

Объекты, здания и сооружения

Минимальные расстояния, м

1 Объекты, здания и сооружения:

- города и другие населенные пункты;

- коллективные сады с садовыми домиками, дачные поселки;

- отдельные промышленные и сельскохозяйственные предприятия, тепличные комбинаты и хозяйства;

- птицефабрики;

- молокозаводы;

- карьеры разработки полезных ископаемых;

- гаражи и открытые стоянки для автомобилей индивидуальных владельцев на количество автомобилей свыше 20;

- установки комплексной подготовки газа и их групповые и сборные пункты;

- отдельно стоящие здания с массовым скоплением людей (школы, больницы, клубы, детские сады и ясли, вокзалы и т.д.);

- жилые здания трехэтажные и выше;

- железнодорожные станции;

- аэропорты;

- морские и речные порты и пристани;

- гидроэлектростанции;

- гидротехнические сооружения морского и речного транспорта 1-1V классов;

- мачты (башни) и сооружения многоканальной радиорелейной линии технологической связи трубопроводов;

- мачты (башни) и сооружения многоканальной радиорелейной связи Министерства связи России и других ведомств;

- телевизионные башни

700

350

2 Объекты, здания и сооружения:

- мосты железных дорог общей сети и автомобильных дорог I и II категорий с пролетом свыше 20 м;

- склады легковоспламеняющихся и горючих жидкостей и газов с объемом хранения свыше 1000 м3;

- автозаправочные станции;

- водопроводные сооружения, не относящиеся к магистральному газопроводу

500

300

3 Объекты, здания и сооружения:

- железные дорога общей сети (на перегонах) и автодороги I-III категорий;

- ведомственные автодороги I-п, II-п категорий;

- отдельно стоящие:

- жилые здания одно-, двухэтажные;

- дома линейных обходчиков;

- кладбища;

- сельскохозяйственные фермы и огороженные участки для организованного выпаса скота;

- полевые станы

350

250

4 Мосты железных дорог промышленных предприятий, автомобильных дорог III-V, III-п и IV-п категорий с пролетом свыше 20 м

350

250

5 Железные дороги промышленных предприятий

250

200

6 Автомобильные дороги III-п, IV, IV-п и V категорий

100

75

7 Объекты, здания и сооружения:

- отдельно стоящие нежилые и подсобные строения (сараи и т.п.);

- устья бурящихся и эксплуатируемых нефтяных, газовых и артезианских скважин;

- гаражи и открытые стоянки для автомобилей индивидуальных владельцев на 20 автомобилей и менее;

- посадочные площадки без базирования на них летательных аппаратов всех типов (высота зданий и сооружений объектов газопроводного транспорта, находящихся в полосе воздушных подходов летательных аппаратов, не должна превышать размера ограничения высоты препятствий согласно требованиям нормативных документов МГА, утвержденных в установленном порядке);

- очистные сооружения и насосные станции канализации

75

50

8 Открытые распределительные устройства 35, 110, 220 кВ электроподстанций, питающих КС и НПС магистральных трубопроводов и других потребителей

100

9 Открытые распределительные устройства 35, 100, 220 кВ электроподстанций, питающих КС магистральных газопроводов

На территории КС с соблюдением взрыво- и пожаробезопасных разрывов от зданий и сооружений

10 Лесные массивы пород:

 

а) хвойных

75

б) лиственных

30

11 Вертодромы с парком численностью до 10 вертолетов и посадочные площадки без базирования на них летательных аппаратов всех типов (высота зданий и сооружений объектов газопроводного транспорта, находящихся в полосе воздушных подходов вертолетов, не должна превышать размера плоскости ограничения высоты препятствий согласно требованиям нормативных документов МГА, утвержденных в установленном порядке)

250

12 Специальные предприятия, сооружения, площадки, охраняемые зоны, склады взрывчатых и взрывоопасных веществ; карьеры полезных ископаемых, добыча на которых производится с применением взрывных работ; склады сжиженных горючих газов

В соответствии с требованиями специальных нормативных документов, утвержденных в установленном порядке, и по согласованию с органами государственного надзора, министерствами и ведомствами, в ведении которых находятся указанные объекты

13 Воздушные линии электропередачи высокого напряжения

В соответствии с требованиями ПУЭ [7]

14 Факел для сжигания газа, установка газофракцинирования (ГФУ)

100

Примечания

1 Расстояния, указанные над чертой, относятся к КС и СОГ, под чертой - к ГРС.

2 Примечания 1-2 к таблице 1 распространяются и на данную таблицу.

3 Расстояния следует принимать:

- для КС по позиции 1 - от ближайших зданий и сооружений компрессорного цехи;

- ГРС и СОГ по позициям 1 - 14 и для КС по позициям 2-14 - от ограды указанных объектов.

4 Мачты (башни) радиорелейной линии связи газопроводов допускается располагать на территории КС, СОГ или ГРС, при этом расстояние от места установки мачт до технологического оборудования КС, СОГ или ГРС должно не менее чем на 10 % превосходить высоту мачты.

5 При размещении на ГРС и КС одоризационных установок расстояние от них до населенных пунктов следует принимать с учетом предельно допустимых концентраций вредных веществ в атмосфере воздуха населенных пунктов, установленных Минздравом России.

6 Под условным диаметром газопровода Dу для ГРС следует принимать условный диаметр газопровода-ответвления.

7.2.3.4 Минимальные расстояния между одновременно прокладываемыми в одном техническом коридоре параллельными нитками газопроводов при подземной прокладке с рабочим давлением до 9,81 МПа следует принимать по таблице 5 (кроме газопроводов, указанных в 7.2.3.10).

Таблица 5 - Расстояния между одновременно прокладываемыми в одном техническом коридоре параллельными нитками газопроводов при подземной прокладке с рабочим давлением до 9,81 МПа

Dу, мм

Расстояния между осями смежных магистральных газопроводов, м

До 400

8

Свыше 400 до 700

9

Свыше 700 до 1000

11

Свыше 1000 до 1200

13

Свыше 1200 до 1400

15

7.2.3.5 Минимальные расстояния Lpar, м, между одновременно прокладываемыми в одном техническом коридоре параллельными нитками подземных газопроводов в случае, если рабочее давление хотя бы в одном из них превышает 9,81 МПа, вычисляют по формуле

                                                                                                       (7.6)

                                                                                 (7.7)

где pi - рабочее давление в i-м газопроводе, МПа. В случае если pi < 9,81 МПа, в формулу (7.7) следует подставлять значение pi = 9,81 МПа;

Lpar.bas.i - базисное значение минимального расстояния при параллельной прокладке i-го газопровода при рабочем давлении, равном 9,81 МПа, принимаемое по таблице 5 в зависимости от диаметра газопровода.

7.2.3.6 Минимальные расстояния между одновременно прокладываемыми в одном техническом коридоре параллельными нитками газопроводов с рабочим давлением до 9,81 МПа включительно при надземной, наземной или комбинированной прокладке в районах, указанных в 11.1 (за исключением горной местности), следует принимать по таблице 6.

Таблица 6 - Минимальные расстояния между одновременно прокладываемыми в одном техническом коридоре параллельными нитками газопроводов с рабочим давлением до 9,81 МПа при их надземной, наземной или комбинированной прокладке

Способ прокладки параллельных ниток газопроводов

Минимальные расстояния в свету, м, между параллельными нитками газопроводов

на открытой местности или при наличии между газопроводами лесной полосы шириной менее 10 м

при наличии между газопроводами лесной полосы шириной свыше 10 м

при Dy газопровода (мм)

первой

второй

до 700

свыше 700 до 1000

свыше 1000 до 1400

до 700

свыше 700 до 1000

свыше 1000 до 1400

Наземный

Наземный

20

30

45

15

20

30

Подземный

20

30

45'

15

20

30

Надземный

20

30

45

15

20

30

Надземный

40

50

75

25

35

50

Наземный

40

50

75

25

35

50

Примечание - При наличии на подземных газопроводах отдельных наземных или надземных участков протяженностью не более 100 м (переходы через ручьи, овраги и другие препятствия) допускается уменьшать минимальное расстояние между параллельными нитками на этих участках до 25 м, а при отнесении этих участков к категории С указанные расстояния следует принимать как для подземной прокладки (с учетом требований 11.13).

7.2.3.7 Минимальные расстояния между одновременно прокладываемыми в одном техническом коридоре параллельными нитками газопроводов при надземной, наземной или комбинированной прокладке в районах, указанных в 11.1 (за исключением горной местности), в случае, если рабочее давление хотя бы в одном из них превышает 9,81 МПа, следует определять аналогично 7.2.3.5, при этом базисные значения минимальных расстояний следует принимать из таблицы 6 в зависимости от условного диаметра газопровода.

7.2.3.8 При выборе расстояний между параллельными нитками строящихся и действующих газопроводов проектируемые газопроводы должны располагаться на всем протяжении, как правило, с одной стороны от существующих газопроводов при параллельной их прокладке.

7.2.3.9 Расстояния между параллельно строящимися и действующими газопроводами (с рабочим давлением до 10 МПа включительно) в одном техническом коридоре (кроме районов, указанных в 7.3.3.10) следует принимать из условий технологии поточного строительства, обеспечения безопасности при производстве работ и надежности их в процессе эксплуатации, но не менее значений, приведенных:

- в таблице 6 - при надземной, наземной или комбинированной прокладке газопроводов;

- таблице 7 - при подземной прокладке газопроводов.

7.2.3.10 Минимальные расстояния между параллельно строящимися и действующими газопроводами при подземной прокладке в одном техническом коридоре в случае, если рабочее давление хотя бы в одном из них превышает 10 МПа, следует определять аналогично 7.2.3.5, при этом базисные значения минимальных расстояний следует принимать из таблицы 7 в зависимости от условного диаметра газопровода и назначения земли, по которой проходит газопровод.

Таблица 7 - Минимальные расстояния между параллельно строящимися и действующими газопроводами при подземной прокладке с рабочим давлением до 9,81 МПа

Условный диаметр газопровода *, мм

Минимальные расстояния, м, между осями проектируемого и действующего подземных газопроводов на землях

несельскохозяйственного назначения или непригодных для сельского хозяйства; государственного лесного фонда

сельскохозяйственного назначения (при снятии и восстановлении плодородного слоя)

До 400

11

20

Свыше 400 до 700

14

23

Свыше 700 до 1000

15

28

Свыше 1000 до 1200

16

30

Свыше 1200 до 1400

18

32

* Принимается по газопроводу большего диаметра.

Примечание - Для горной местности, а также для переходов через естественные и искусственные препятствия указанные в таблице расстояния допускается уменьшать.

7.2.3.11 Расстояние между параллельными нитками трубопроводов (при одновременном строительстве и строительстве параллельно действующему трубопроводу), прокладываемых в одном техническом коридоре в районах Западной Сибири и Крайнего Севера в грунтах, теряющих при оттаивании несущую способность (в многолетнемерзлых грунтах), следует принимать из условий технологии поточного строительства, гидрогеологических особенностей района, обеспечения безопасности при производстве работ и надежности трубопроводов в процессе эксплуатации, но не менее:

- между газопроводами - значений, приведенных в таблице 8;

- нефтепроводами и газопроводами - 1000 м.

7.2.3.12 Указанные в 7.3.3.10 расстояния могут быть сокращены до общепринятых норм при условии транспорта газа с охлаждением до отрицательных температур или при обеспечении фиксации положения оси проектируемого газопровода при помощи специальных устройств.

Таблица 8 - Минимальные расстояния между параллельными нитками газопроводов в районах Западной Сибири и Крайнего Севера в многолетнемерзлых грунтах, теряющих при оттаивании несущую способность

Способ прокладки параллельных ниток газопроводов

Минимальные расстояния в свету, м, между нитками при условном диаметре газопроводов, мм

первой

второй

до 700

свыше 700 до 1000

свыше 1000 до 1400

Подземный

Подземный

60

75

100

Наземный

Наземный

50

60

80

Подземный

50

60

80

Надземный

50

60

80

Надземный

40

50

75

Наземный

40

50

75

7.3 Расстояния для трубопроводов топливного и импульсного газа

7.3.1 Трубопроводы топливного и импульсного газа относятся к технологическим трубопроводам основного назначения. Трубопроводы топливного и импульсного газа допускается прокладывать в одной траншее при выполнении следующих условий:

- расстояние между трубопроводами в свету должно быть не менее 0,5 м;

- оба трубопровода должны быть не ниже категории В;

- изоляционное покрытие должно быть усиленного типа;

- разрешается их прокладка параллельно подводящим и отводящим газопроводам (газопроводам-шлейфам) на расстоянии не менее 15 м независимо от района строительства;

- для обеспечения возможного переключения кранов узла подключения при отсутствии газа на площадке КС предусмотреть резервную запитку импульсного газа непосредственно из трассы.

7.4 Охранные зоны

7.4.1 Установление охранных зон газопровода и нанесение их на районные карты землепользования производится с целью обеспечения условий безопасной работы газопровода путем:

- исключения проведения несанкционированных строительно-монтажных, землеройных, взрывных и иных видов работ (кроме сельскохозяйственных), способных в той или иной мере повредить технологическое оборудование либо коммуникации газопровода;

- ограничения других видов деятельности, которая может нанести ущерб газопроводу (разведения открытого огня, складирования сырья, продукции, отсыпных материалов, установки каких бы то ни было препятствий, ухудшающих доступ эксплуатирующего персонала к объектам газопровода и др.).

7.4.2 Охранные зоны устанавливаются вокруг объектов газопровода по представлению проектной организации актами органов исполнительной власти или местного самоуправления и наносятся на районные карты землепользования. Соблюдение ограничений на деятельность в охранных зонах предусматривается Земельным кодексом Российской Федерации [8] и Федеральным законом «О газоснабжении в Российской Федерации» [9].

7.4.3 Ответственность за содержание охранных зон газопровода в должном противопожарном состоянии лежит на эксплуатирующей организации (собственнике трубопровода).

7.4.4 Размеры охранных зон объектов газопроводов устанавливаются в соответствии с Правилами [3].

7.4.5 На границах сухопутных участков и переходов через судоходные реки, озера охранные зоны имеют ширину 100 м в каждую сторону от газопровода, В сторону суши охранные зоны переходов продлеваются вдоль трассы на удаление 50 м от уреза воды по горизонту высоких вод 10 % обеспеченности.

7.4.6 Для многониточных газопроводов на участках прохождения нескольких ниток газопровода в одном коридоре допускается (в отличие от существующих нормативов) устанавливать как единую охранную зону, охватывающую все нитки коридора (шириной по 25 м во внешнюю сторону от крайних ниток), так и совокупность отдельных охранных зон для каждой из ниток коридора. Решение по данному вопросу принимается проектной организацией исходя из целесообразности в каждом конкретном случае. Данное решение должно быть закреплено актами органов исполнительной власти или местного самоуправления.

7.4.7 На судоходных реках работы, связанные с изменением русла в границах до 1000 м от подводных переходов, следует согласовывать с эксплуатирующей газопровод организацией.

8 Конструктивные требования к газопроводам

8.1 Общие требования

8.1.1 Диаметр газопроводов должен определяться расчетом в соответствии с СТО Газпром 2-3.5-051.

8.1.2 В газопроводах соединение труб между собой и соединительными деталями производится при помощи сварки. Применение фланцевых соединений допускается только для подключения трубопроводов к оборудованию.

8.1.3 В газопроводах следует применять стальную запорную арматуру, соединяемую с газопроводами при помощи сварки.

8.1.4 На трассе газопровода должна предусматриваться установка сигнальных знаков в соответствии с требованиями ВРД 39-1.10-006-2000 [10]. Знаки устанавливаются в пределах видимости, но не более чем через 1 км, а также дополнительно на углах поворота.

8.2 Размещение трубопроводной арматуры

8.2.1 На газопроводах должна устанавливаться арматура, отвечающая общим техническим требованиям в соответствии с СТО Газпром 2-4.1-212.

8.2.2 На газопроводах надлежит предусматривать установку запорной арматуры на расстоянии, определяемом расчетом, но не более 30 км.

Кроме того, установку запорной арматуры необходимо предусматривать:

- на обоих берегах водных преград и болот при их пересечении газопроводом в две нитки и более согласно требованиям 10.2.1.13 и при необходимости на однониточных переходах категории В;

- в начале каждого ответвления от газопровода на расстоянии, допускающем установку монтажного узла, его ремонт и безопасную эксплуатацию;

- на ответвлениях к ГРС при протяженности ответвлений свыше 1000 м на расстоянии 300-500 м от ГРС;

- на входе и выходе газопроводов из УКПГ, КС, СПХГ и головных сооружений (охранные краны) на расстоянии, не менее:

- газопровода Dу 1400 мм - 1000 м;

- газопровода Dу менее 1400 мм до 1000 мм включительно - 750 м;

- газопровода Dу менее 1000 мм - 500 м;

- по обеим сторонам автомобильных мостов (при прокладке по ним газопровода) на расстоянии не менее 250 м;

Примечания

1 Место установки охранных кранов от УКПГ, КС, СПХГ, ГРС принимается от границ их территорий.

2 При удалении КС от узла подключения в магистральный газопровод на расстояние свыше 700 м при наличии естественных препятствий (оврагов, сложного рельефа и т.п.) следует предусматривать установку запорной арматуры с продувочными свечами (КИП и автоматика по аналогии с кранами на узле подключения КС в магистральный газопровод) на всасывающих и нагнетательных газопроводах КС (шлейфах) на расстоянии от ограды КС, которое определяется в соответствии с 2.3.

3 Допускается совмещение охранных кранов с кранами, входящими в состав узлов пуска и приема ВТУ.

8.2.3 При параллельной прокладке двух ниток или более газопроводов узлы линейной запорной арматуры на отдельных нитках надлежит располагать на расстояниях не менее 100 м друг от друга по радиусу.

В стесненных условиях при многониточной системе газопроводов, а также в сложных условиях трассы (горный рельеф, болота, искусственные и естественные препятствия) указанные расстояния допускается уменьшать до 50 м при условии установки над наземной частью кранового узла защитного укрытия от возможного теплового воздействия пожара в случае аварии.

Расстояние от линейных (охранных) кранов до кранов на межсистемных перемычках, устанавливаемых в случае необходимости до и после линейных (охранных) кранов, должно быть не менее 50 м по радиусу.

Примечание - Требование данного пункта на линейную запорную арматуру узлов подключения не распространяется.

8.2.4 При параллельном подключении одного газопровода-ответвления к двум или нескольким ниткам газопроводов или подключении нескольких газопроводов-ответвлений к одному газопроводу узлы линейной запорной арматуры на газопроводах-ответвлениях необходимо размещать на расстоянии не менее 100 м от ближайшего линейного крана на магистрали независимо от диаметра ответвления и смещать друг от друга на расстояние не менее 50 м для ответвлений диаметром более 700 мм и на расстояние не менее 30 м для ответвлений диаметром 700 мм и менее.

Допускается при однониточной системе совмещать подключение газопроводов-ответвлений с линейными кранами (до и после крана) в одной ограде.

В стесненных условиях (при подключении газопровода-ответвления к двум и более газопроводам) допускается помещать узлы подключения в одной ограде, разнеся врезки в МГ на 50 или 30 м в зависимости от диаметра газопровода-ответвления.

8.2.5 На обвязочных газопроводах КС, ДКС, КС ПХГ и узлах подключения крепление трубопровода в месте установки запорно-регулирующей арматуры производится с помощью двух трубопроводных опор, расположенных с обеих сторон ЗРА. Тип опорных конструкций определяется проектом.

8.2.6 Надземная часть арматуры (включая в обязательном порядке импульсные трубки, блок дистанционного управления крановым узлом, кабельные линии управления) должна выполняться в огнезащитном варианте. На охранных кранах УКПГ, КС, СПХГ и головных сооружений, а также на крановых площадках многониточных газопроводов должны предусматриваться мероприятия по огнезащите надземной части арматуры (включая арматуру перемычек).

8.2.7 Газопроводы и арматура обвязки линейной запорной арматуры, находящейся под давлением, - байпасы, продувочные линии и перемычки - следует предусматривать в подземном исполнении с кранами бесколодезной установки.

Доступ обслуживающего персонала должен предусматриваться только к приводу арматуры и трубам системы уплотнения затвора, дренажа и отборов импульсного газа.

8.2.8 На обоих концах участков газопроводов между запорной арматурой, на узлах подключения КС и узлах приема и пуска ВТУ следует предусматривать установку продувочных свечей на расстоянии не менее 15 м от запорной арматуры при диаметре газопровода до 1000 мм и не менее 50 м - при диаметре газопровода 1000 мм и более.

Диаметр продувочной свечи следует определять из условия опорожнения участка газопровода между запорной арматурой в течение 1,5-2,0 ч. Установку запорной арматуры и продувочных свечей следует предусматривать на расстоянии от зданий и сооружений, не относящихся к газопроводу, не менее 300 м.

При прокладке газопроводов параллельно автомобильным и железным дорогам, линиям электропередач и связи запорную арматуру с продувочными свечами допускается располагать на том же расстоянии от дорог и линий, что и газопровод.

При пересечении газопроводом автомобильных и железных дорог, линий электропередач и связи расстояние от продувочных свечей до указанных сооружений должно приниматься не менее значений, предусмотренных при их параллельной прокладке.

Во всех перечисленных случаях расстояние от продувочных свечей запорной арматуры до мостов и виадуков должно быть не менее 300 м, от линий электропередач - согласно требованиям ПУЭ [7].

Высота продувочной свечи должна быть не менее 3 м от уровня земли.

8.2.9 Узлы установки запорной арматуры должны проектироваться из унифицированных заготовок.

8.2.10 Обвязку линейных крановых узлов и кранов перемычек следует выполнять с устройством линии дополнительного байпаса Ду = 50-150 мм с двумя кранами. Диаметр дополнительного байпаса определяется проектом. При этом все линии байпасов должны быть подземными.

8.2.11 Установку запорной арматуры, соединяемой при помощи фланцев, следует предусматривать в колодцах, наземных вентилируемых киосках или оградах. Колодцы, ограды и киоски следует проектировать из несгораемых материалов, обеспечивая при проектировании теневую защиту от аварийного пожара на МГ надземной части арматуры. Данное требование не распространяется на фланцевые соединения, смонтированные в заводских условиях.

8.2.12 Технические решения должны предусматривать ограничение негативного влияния на систему электрохимической защиты от коррозии систем заземления электрооборудования и молниезащиты технологического оборудования за счет электрического отделения от газопровода заземляемого электрооборудования (приводов кранов и узлов управления, цепей автоматики) и применения оцинкованных заземлителей.

8.2.13 Запорная арматура без систем линейного телемеханического управления должна оснащаться автоматами закрытия крана.

8.2.14 Всю запорную арматуру КС рекомендуется оснащать приводами, обеспечивающими нормальное положение «закрыто/открыто» в обесточенном состоянии блоков управления.

8.2.15 Для управления кранами, оборудованными пневмогидроприводом (линейными, на врезках газопроводов-отводов, на перемычках), должна быть предусмотрена система резервирования импульсного газа. Отбор импульсного газа следует предусматривать как до крана, так и после него, в ресивер с обратным клапаном на входе. Объем газа в резервуаре должен обеспечивать двухразовое переключение запорной арматуры.

Импульсный газ для управления запорной арматурой при необходимости должен иметь систему подготовки.

8.2.16 Конденсатосборники должны выполняться из труб и соединительных деталей заводского изготовления. Категория участка для труб и соединительных деталей конденсатосборников должна приниматься как для примыкающего к ним газопровода.

8.2.17 Конденсатосборники должны испытываться гидравлическим способом. Величина испытательного давления принимается как для примыкающего газопровода, но не менее 1,25 от рабочего давления.

8.3 Узлы пуска и приема внутритрубных устройств

8.3.1 На газопроводе должны быть предусмотрены узлы пуска и приема ВТУ. Конструкция данных узлов определяется проектом.

Газопровод в пределах одного очищаемого участка должен иметь постоянный внутренний диаметр и равнопроходную линейную арматуру без узлов или деталей внутри газопровода.

8.3.2 При проектировании узлов равнопроходных ответвлений от основного газопровода, а также неравнопроходных ответвлений, диаметр которых составляет свыше 0,3 диаметра основного газопровода, должны предусматриваться проектные решения, исключающие возможность попадания ВТУ в ответвление.

8.3.3 На участках переходов газопровода через естественные и искусственные препятствия, диаметр которых отличается от диаметра основного газопровода, допускается предусматривать самостоятельные узлы пуска и приема ВТУ.

8.3.4 Газопровод и узлы пуска и приема ВТУ должны быть оборудованы сигнальным! приборами, регистрирующими прохождение очистных и диагностических устройств.

8.3.5 Узлы очистки полости газопровода следует назначать в соответствии с требованиями раздела 6.4 СТО Газпром 2-3.5-051.

8.3.6 Для повышения уровня безопасности и организации работ, связанных с пропуском ВТУ по магистральным газопроводам, необходимо применить систему автоматизированного и дистанционного управления процессами и этапами проведения работ, включаюших вытеснение газовоздушной смеси из полости камер приема, заполнение природным газом, подъем давления, пуск, контроль прохождения и приема ВТУ.

8.4 Требования к допустимым радиусам упругого изгиба и установке компенсаторов

8.4.1 Допустимые радиусы изгиба газопровода в горизонтальной и вертикальной плоскостях следует определять расчетом из условия прочности, местной устойчивости стено труб и устойчивости положения. Минимальный радиус изгиба газопровода из условия прохождения ВТУ должен составлять не менее пяти его диаметров.

8.4.2 В местах примыкания магистральных газопроводов к обвязочным трубопроводам КС, узлам пуска и приема ВТУ, переходам через водные преграды в две нитки и боле перемычкам и узлам подключения газопроводов необходимо определять величину продольных перемещений примыкающих участков трубопроводов от воздействия внутреннего давления и изменения температуры металла труб. Продольные перемещения должны учитываться при расчете указанных конструктивных элементов, присоединяемых к газопровода. С целью уменьшения продольных перемещений газопровода следует предусматривать специальные мероприятия, в том числе установку открытых (незащемленных грунтом) компенсаторов П-образной, Z-образной или другой формы или подземных компенсаторов упора той же конфигурации.

8.4.3 При прокладке подземных газопроводов диаметром 1000 мм и более в грунтах низкой защемляющей способностью в проекте должны быть предусмотрены специальные решения по обеспечению устойчивости газопровода.

8.4.4 При проектировании ВЭИ следует руководствоваться ВСН 39-1.8-008-2002 [11] и ВСН 39-1.22-007-2002 [12]. В качестве дополнительной информации следует использовать положения NACE RP 0286-97 [13]. Места установки ВЭИ необходимо согласовать с разработчиком раздела ЭХЗ проекта.

9 Подземная прокладка газопроводов

9.1 Общие требования

9.1.1 Заглубление газопроводов до верха трубы надлежит принимать, м, не менее:

- при Dу менее 1000 мм - 0,8;

- при Dy 1000-1400 мм - 1,0;

- на болотах или торфяных грунтах, подлежащих осушению, - 1,1;

- в песчаных барханах, считая от нижних отметок межбарханных оснований, - 1,0;

- в скальных грунтах, болотистой местности при отсутствии проезда автотранспорта и сельскохозяйственных машин - 0,6;

- на пахотных и орошаемых землях - 1,0;

- при пересечении оросительных и осушительных (мелиоративных) каналов (от дна канала) - 1,1.

Примечание - Заглубление газопровода с балластом определяется как расстояние от поверхности земли до верха балластирующей конструкции (здесь имеются в виду жесткие балластирующие конструкции - металлические, железобетонные).

9.1.2 Заглубление газопроводов, транспортирующих горячий газ при положительном перепаде температур в металле труб, должно быть дополнительно проверено расчетом на общую устойчивость газопроводов под воздействием сжимающих температурных напряжений н соответствии с указаниями главы 13.

9.1.3 Ширину траншеи по низу следует назначать не менее:

- Dy плюс 300 мм - для газопроводов диаметром до 700 мм;

- 1,5 Dy - для газопроводов диаметром 700 мм и более.

При диаметрах газопроводов 1200 и 1400 мм и при траншеях с откосом свыше 1:0,5 ширину траншеи понизу допускается уменьшать до величины Dy плюс 500 мм, где Dy - условный диаметр газопровода.

При балластировке газопроводов железобетонными и чугунными утяжелителями ширину траншеи следует назначать из условия обеспечения расстояния между грузом и стенкой траншеи не менее 0,2 м. Кроме того, ширина траншеи по дну при балластировке газопровода должна быть не менее 2,2Dy

9.1.4 На участке трассы с резко пересеченным рельефом местности, а также в заболоченных местах допускается укладка газопроводов в специально возводимые земляные насыпи, выполняемые с тщательным послойным уплотнением и поверхностным закреплением грунта. При пересечении водотоков в теле насыпей должны быть предусмотрены водопропускные сооружения.

9.1.5 Для газопроводов независимо от диаметра, в зависимости от рельефа местности и обеспечения беспрепятственного прохода строительных колонн и транспорта, должна предусматриваться предварительная планировка строительной полосы. При планировке строительной полосы по всей ее ширине в районе подвижных барханов независимо от диаметра прокладываемого газопровода последние следует срезать с целью удаления подверженных выдуванию частей барханов до уровня межгрядовых понижений, не затрагивая естественно уплотненный грунт, а также для обеспечения беспрепятственного прохода строительных колонн и транспортных средств. После засыпки уложенного газопровода полоса барханных песков над ним и на расстоянии не менее 10 м от оси газопровода в обе стороны должна быть укреплена связующими материалами или специальным растительным покровом.

При проектировании газопроводов на продольном профиле должны быть указаны как отметки земли, так и проектные отметки газопровода.

9.1.6 При прокладке газопроводов в скальных, гравийно-галечниковых и щебенистых грунтах и засыпке этими грунтами следует предусматривать устройство подсыпки из мягких грунтов толщиной не менее 10 см. Изоляционные покрытия в этих условиях должны быть защищены от повреждения путем присыпки газопровода мягким грунтом на толщину 20 см или применением при засыпке специальных защитных устройств.

9.1.7 Проектирование подземных газопроводов для районов распространения грунтов II типа просадочности необходимо осуществлять с учетом требований СНиП 2.02.01-83 [14].

Для грунтов I типа просадочности проектирование газопроводов ведется как для условий непросадочных грунтов.

Примечание - Тип просадочности и величину возможной просадки грунтов следует определять в соответствии с требованиями СНиП 2.02.01-83 [14].

9.1.8 При подземной и наземной (в насыпи) прокладках газопроводов необходимо предусматривать противоэрозионные мероприятия с использованием местных материалов, а при пересечении подземными газопроводами крутых склонов, промоин, оросительных каналов и кюветов в местах пересечений - перемычки, предотвращающие проникание в траншею воды и распространение ее вдоль газопровода.

При прокладке газопроводов по направлению уклона местности свыше 20 % следует предусматривать устройство противоэрозионных экранов и перемычек как из естественного грунта (например, глинистого), так и из искусственных материалов.

9.1.9 При невозможности избежать возникновения просадки основания под газопроводами при расчете газопровода на прочность и устойчивость следует учитывать дополнительные напряжения от изгиба, вызванные просадкой основания.

9.1.10 При прокладке газопроводов в земляных насыпях на пересечениях через балки, овраги и ручьи следует предусматривать устройство водопропускных сооружений (лотков, труб и т.п.). Поперечное сечение водопропускных сооружений следует определять по максимальному расходу воды повторяемостью один раз в 50 лет.

При наличии вблизи трассы действующих оврагов и провалов, которые могут повлиять на безопасную эксплуатацию газопроводов, следует предусматривать мероприятия по их укреплению.

9.1.11 На трассе газопроводов следует предусматривать установку постоянных реперов на расстоянии не более 5 км друг от друга.

9.1.12 Укрепление склонов, переходов, откосов следует предусматривать с применением геотекстильных материалов.

9.2 Прокладка в горной местности

9.2.1 При проектировании газопроводов в горной местности следует выделить по трассе газопровода особо опасные зоны прокладки. К особо опасным зонам прокладки в горных условиях следует отнести следующие участки газопровода:

- пересечения горных хребтов;

- участки на косогорах;

- оползневые зоны;

- зоны с селевыми потоками, камнепадами, сходами лавин, обвалами и осыпями;

- участки прокладки газопровода в стесненных условиях;

- участки с повышенной сейсмической опасностью.

9.2.2 В горных условиях и в районах с сильно пересеченным рельефом местности следует предусматривать прокладку газопровода в долинах рек вне зоны затопления или по водораздельным участкам, избегая неустойчивые и крутые склоны, а также районы селевых потоков. В крайних случаях прокладка газопроводов при пересечении горных хребтов выполняется на полках по серпантину.

9.2.3 При проектировании газопроводов, укладка которых должна производиться на косогорах с поперечным уклоном 8-11°, необходимо предусматривать срезку и подсыпку грунта с целью устройства рабочей полосы (полки).

Устройство полки в этом случае должно обеспечиваться за счет отсыпки насыпи непосредственно на косогоре.

9.2.4 При поперечном уклоне косогора 12-18° необходимо предусматривать с учетом свойств грунта уступы для предотвращения сползания грунта по косогору.

На косогорах с поперечным уклоном свыше 18° полки предусматриваются только за счет срезки грунта.

Во всех случаях насыпной грунт должен быть использован для устройства проезда на период производства строительно-монтажных работ и последующей эксплуатации газопровода при соблюдении следующего условия:

                                                                                                        (9.1)

где αк - угол наклона косогора, град.;

φгр - угол внутреннего трения грунта насыпи, град.;

nу - коэффициент запаса устойчивости насыпи против сползания, принимаемый равным 1,4.

Для газопроводов, укладываемых по косогорам с поперечным уклоном свыше 35°, следует предусматривать устройство подпорных стен.

9.2.5 Траншея для укладки газопровода должна предусматриваться в материковом грунте вблизи подошвы откоса на расстоянии, обеспечивающем нормальную работу землеройных машин. Для отвода поверхностных вод у подошвы откоса, как правило, следует предусматривать кювет с продольным уклоном не менее 0,2 %. В этом случае полке откоса придается уклон 2 % в обе стороны от оси траншеи. При отсутствии кювета полка должна иметь уклон не менее 2 % в сторону откоса.

Ширина полки должна назначаться из условия производства работ, возможности устройства траншеи и механизированной прокладки кабеля связи с нагорной стороны газопровода, а также с учетом местных условий.

9.2.6 При прокладке в горной местности двух параллельных ниток газопроводов и более следует предусматривать раздельные полки или укладку ниток на одной полке. Расстояние между осями газопроводов, укладываемых по полкам, определяется проектом по согласованию с соответствующими органами государственного надзора.

9.2.7 При проектировании газопроводов по узким гребням водоразделов следует предусматривать срезку грунта на ширине 8-12 м с обеспечением уклона 2 % в одну или обе стороны.

При прокладке вдоль газопроводов кабельной линии связи ширину срезки грунта допускается увеличивать до 15 м.

9.2.8 Проектные решения по прокладке в оползневых районах должны приниматься из условия исключения возможного нарушения природных условий. При этом необходимо руководствоваться следующими рекомендациями:

- при малой толщине сползающего слоя грунта следует предусматривать подземную прокладку с заглублением газопровода ниже плоскости скольжения;

- использовать способ наземной прокладки газопровода в обваловании;

- возможно применение способа наземной прокладки газопровода по поверхности на свайных опорах, заглубленных в грунт ниже поверхности скольжения оползня;

- оползневые зоны значительной протяженности следует обходить выше оползневого склона.

9.2.9 Наземную (в насыпи) прокладку следует выполнять совместно с обязательными мероприятиями по отводу стока поверхностных водт понижению уровня подземных вод, устройству удерживающих сооружений в соответствии с разделом 5 СНиП 22-02-2003 [15]. При этом допускается только минимальная планировка поверхности оползневого склона.

9.2.10 При необходимости проектирования противооползневой защиты газопровода следует руководствоваться разделом 5 СНиП 22-02-2003 [15]. Для защиты газопровода от оползней могут применяться следующие защитные конструкции и сооружения:

- удерживающие сооружения;

- дамбы;

- дренажные и водоотводные сооружения.

- конструкции для повышения гибкости газопровода (компенсаторы-упоры).

9.2.11 При проектировании газопровода в зонах возможных селевых потоков необходимо руководствоваться следующими рекомендациями:

- избегать зоны селевых потоков;

- трассу газопровода в местах пересечения селевых потоков следует выбирать вне зоны динамического удара потока;

- при пересечении селей следует применять, как правило, надземную прокладку;

- при подземной прокладке через зону селевого потока или конуса выноса газопровод должен быть проложен на 0,5 м (считая от верха трубы) ниже возможного размыва русла по уровню воды 5 %-ной обеспеченности.

9.2.12 Для защиты газопровода от селевых потоков следует применять защитные сооружения, предусмотренные пунктом 6.1 СНиП 22-02-2003 [15]. Для защиты газопровода от селевых потоков могут применяться следующие защитные и направляющие сооружения:

- подпорные стенки;

- дамбы;

- дренажные и водоотводные сооружения;

- направляющие дамбы.

9.2.13 В зонах возможных камнепадов необходимо обеспечить надежное заглубление газопровода - не менее 1 м над верхней образующей газопровода. При необходимости дополнительной защиты рекомендуется прокладка газопровода в кожухе или защита его железобетонными плитами.

9.2.14 В зонах возможного схода лавин, обвалов и осыпей необходимо:

- исключить надземный способ прокладки газопровода;

- обеспечить надежное заглубление газопровода (не менее 1 м над верхней образующей газопровода).

9.2.15 При необходимости защиты газопровода от схода лавин следует предусматривать специальные сооружения для отвода лавин, указанные в пункте 7.1 СНиП 22-02-2003 [15]: направляющие дамбы, лавинорезы.

9.2.16 В особо стесненных районах горной местности допускается предусматривать прокладку газопроводов в специально построенных тоннелях. Экономическая целесообразность этого способа прокладки должна быть обоснована в проекте.

Вентиляция тоннелей должна предусматриваться естественной. Искусственная вентиляция допускается только при специальном обосновании в проекте.

9.2.17 Требования к прокладке газопроводов на участках с повышенной сейсмической опасностью изложены в разделе 9.4.

9.3 Прокладка на подрабатываемых территориях

9.3.1 Проектирование газопроводов, предназначенных для строительства на территориях, где проводится или планируется проведение горных выработок, следует осуществлять в соответствии с требованиями СНиП 2.01.09-91 [16] и настоящего стандарта.

Воздействие деформации земной поверхности на газопроводы должно учитываться при расчете газопроводов на прочность в соответствии с требованиями, изложенными в главе 13.

9.3.2 Строительство газопроводов допускается осуществлять в любых горно-геологических условиях, имеющих место на подрабатываемых территориях.

Трасса газопроводов на подрабатываемых территориях должна быть увязана с планами производства горных работ и предусматриваться преимущественно по территориям, на которых уже закончились процессы деформации поверхности, а также по территориям, подработка которых намечается на более позднее время.

9.3.3 Пересечение шахтных полей газопроводами следует предусматривать:

- на пологопадающих пластах - вкрест простирания;

- крутопадающих пластах - по простиранию пласта.

9.3.4 Конструктивные мероприятия по защите подземных газопроводов от воздействия горных выработок должны назначаться по результатам расчета газопроводов на прочность и

осуществляться путем увеличения деформативной способности газопроводов в продольном направлении за счет применения компенсаторов, устанавливаемых в специальных нишах, предохраняющих компенсаторы от защемления грунтом. Расстояния между компенсаторами устанавливаются расчетом в соответствии с указаниями главы 13.

9.3.5 Подземные газопроводы, пересекающие растянутую зону мульды сдвижения, должны проектироваться как участки категории С.

9.3.6 Надземную прокладку газопроводов с учетом требований главы 11 следует предусматривать, если по данным расчета напряжения в подземных газопроводах не удовлетворяют требованиям главы 9, а увеличение деформативности газопроводов путем устройства подземных компенсаторов связано со значительными затратами.

Надземную прокладку следует предусматривать также на участках трассы, где по данным горно-геологического обоснования возможно образование на земной поверхности провалов, на переходах через водные преграды, овраги, железные и автомобильные дороги, проложенные в выемках.

9.3.7 На газопроводах на участках пересечения их с местами выхода тектонических нарушений, у границ шахтного поля или границ оставляемых целиков, у которых по условиям ведения горных работ ожидается прекращение всех выработок, следует предусматривать установку компенсаторов независимо от срока проведения горных работ.

9.4 Прокладка в сейсмических районах

9.4.1 Проектирование линейной части газопроводов и ответвлений от них в районах с сейсмичностью свыше 6 баллов для надземных и свыше 8 баллов для подземных газопроводов по шкале MSK-64 [17] необходимо производить с учетом сейсмических воздействий.

9.4.2 Сейсмостойкость газопроводов должна обеспечиваться:

- выбором благоприятных в сейсмическом отношении участков трасс и площадок строительства;

- применением рациональных конструктивных решений и антисейсмических мероприятий;

- дополнительным запасом прочности, принимаемым при расчете прочности и устойчивости газопроводов.

9.4.3 Не допускается жесткое крепление газопроводов к стенам зданий и сооружений и оборудованию.

В случае необходимости таких соединений следует предусматривать устройство криволинейных вставок или компенсирующих устройств, размеры и компенсационная способность которых должны устанавливаться расчетом.

Ввод газопровода в здания (КС, ГРС и т.д.) следует осуществлять через проем, размеры которого должны превышать диаметр газопровода не менее чем на 200 мм.

9.4.4 При пересечении газопроводом участков трассы с грунтами, резко отличающимися друг от друга сейсмическими свойствами, необходимо предусматривать возможность свободного перемещения и деформирования газопровода.

При подземной прокладке газопровода на таких участках рекомендуется устройство траншеи с пологими откосами и засыпка газопровода крупнозернистым песком, торфом и т.д.

9.4.5 При подземной прокладке газопровода грунтовое основание газопровода должно быть уплотнено.

9.4.6 Конструкции опор надземных газопроводов должны обеспечивать возможность перемещений газопроводов, возникающих во время землетрясения.

9.4.7 Для гашения колебаний надземных газопроводов следует предусмотреть в каждом пролете установку демпферов, которые не препятствовали бы перемещениям газопровода при изменении температуры трубы и давления транспортируемого продукта.

9.4.8 Для участков прокладки газопроводов в сейсмических районах кроме обычных расчетов на прочность и устойчивость на стадии НУЭ должна быть выполнена проверка в соответствии с требованиями раздела 9.10 для удовлетворения условиям сейсмостойкости.

9.4.9 Пересечение газопроводом зон активных тектонических разломов допускается под углом, близким к 90°. При этом следует применять, как правило, надземный способ прокладки. Также возможно применение подземной прокладки. При этом необходимо соблюдать определенную (трапецеидальную) форму траншеи с пологими откосами (не менее 1:2), а также применять подсыпку и засыпку толщиной не менее 0,3 м крупнозернистым песком, торфом и т.д. Длина участка пересечения газопроводом активного тектонического разлома принимается равной ширине разлома плюс 100 м в каждую сторону от границ разлома.

9.4.10 На границах пересечений газопроводом зон активных тектонических разломов возможно применение конструкций для повышения гибкости газопровода (устройство компенсаторов-упоров).

9.4.11 Должна быть выполнена оценка напряженно-деформированного состояния участков газопровода на пересечениях активных тектонических разломов с учетом возможных смещений грунта.

9.4.12 Прокладку газопровода на участках, сложенных грунтами, подверженными разжижению при сейсмических воздействиях, следует выполнить надземным способом.

9.4.12 На наиболее опасных в сейсмическом отношении участках трассы следует предусматривать автоматическую систему контроля и отключения аварийных участков газопровода.

9.4.14 Для газопроводов диаметром свыше 1000 мм, а также в районах переходов газопроводов через реки и другие препятствия необходимо предусматривать установку инженерно-сейсмометрических станций для записи колебаний трубопровода и окружающего грунтового массива при землетрясениях.

9.5 Прокладка в районах распространения многолетнемерзлых грунтов

9.5.1 Проектирование газопроводов, предназначенных для прокладки в районах многолетнемерзлых: грунтов, следует осуществлять в соответствии с требованиями СНиП 2.02.04-88 [18], специальных нормативных документов, принятых в ОАО «Газпром» и дополнительными указаниями настоящего стандарта.

9.5.2 Для трассы газопровода должны выбираться наиболее благоприятные в мерзлотном и инженерно-геологическом отношении участки по материалам опережающего инженерно-геокриологического изучения территории.

9.5.3 Выбор трассы для газопровода и площадок для его объектов должен производиться на основе:

- мерзлотно-инженерно-геологических карт и карт ландшафтного микрорайонирования оценки благоприятности освоения территории масштаба не более 1:100 000;

- схематической прогнозной карты восстановления растительного покрова;

- карт относительной осадки грунтов при оттаивании;

- карт коэффициентов удорожания относительной стоимости освоения.

9.5.4 На участках трассы, где возможно развитие криогенных процессов, должны проводиться предварительные инженерные изыскания для прогноза этих процессов в соответствии с требованиями СНиП 11-02-96 [19].

9.5.5 Принцип использования многолетнемерзлых грунтов в качестве основания газопровода должен приниматься в соответствии с требованиями СНиП 2.02.04-88 [18] в зависимости от способа прокладки газопровода, режима его эксплуатации, инженерно-геокриологических условий и возможности изменения свойств грунтов основания.

9.5.6 Основным принципом использования ММГ, имеющих при оттаивании относительную осадку свыше 0,1, в качестве основания для газопровода является принцип, при котором эти грунты следует использовать, как правило, в мерзлом состоянии, сохраняемом в период строительства и в течение всего периода эксплуатации.

9.5.7 Регулирование теплового взаимодействия газопровода с многолетне мерзлыми и талыми грунтами должно производиться за счет охлаждения газа в пределах, определяемых теплотехническим расчетом.

9.5.8 Температура транспортируемого продукта при прокладке газопровода на многолетнемерзлых грунтах должна назначаться в зависимости от способа прокладки и физических свойств многолетнемерзлых грунтов (просадочности, сопротивления сдвигу и др.).

9.5.9 На отдельных участках трассы газопровода допускается:

- оттаивание в процессе эксплуатации малольдистых многолетне мерзлых грунтов, если оно не сопровождается карстовыми процессами и потерей несущей способности газопровода;

- промерзание талых непучинистых грунтов при транспортировании газа с отрицательной температурой.

9.5.10 На участках просадочных грунтов небольшой протяженности должны предусматриваться мероприятия, снижающие тепловое воздействие газопровода на грунты и обеспечивающие восстановление температуры грунта в зимний период.

9.5.11 Глубина прокладки подземного газопровода определяется принятым конструктивным решением, обеспечивающим надежность работы газопровода с учетом требований охраны окружающей среды.

9.5.12 Высоту прокладки надземного газопровода от поверхности земли необходимо принимать в зависимости от рельефа и грунтовых условий местности, теплового воздействия газопровода, но не менее 0,5 м.

Участки надземных газопроводов, на которых происходит компенсация деформаций за счет перемещения трубы поперек оси, должны прокладываться выше максимального уровня снегового покрова не менее чем на 0,1 м.

9.5.13 При прокладке газопроводов в насыпях должно быть предусмотрено устройство водопропускных сооружений.

9.5.14 В сильнозасоленных грунтах следует использовать трубы с заводским изоляционным полимерным покрытием усиленного типа.

9.5.15 На участках многолетне мерзлых грунтов с температурой грунта ниже минус 7 °С возможно устройство теплоизоляции газопровода.

9.5.16 На склоновых участках в целях устойчивости склонов и газопровода следует предусматривать в проекте установку на склонах георешеток и термостабилизацию грунта.

9.5.17 При пересечении газопроводом участков с подземными льдами и наледями, а также при прокладке газопроводов по солифлюкционным и опасным в термоэрозионном отношении склонам и вблизи термоабразионных берегов водоемов проектом должны предусматриваться:

- специальные инженерные решения по предотвращению техногенных нарушений и развитию криогенных процессов;

- мероприятия по максимальному сохранению растительного покрова;

- подсыпка грунта и замена пучинистых грунтов на непучинистые;

- дренаж и сток вод;

- выравнивание и уплотнение грунтового валика над газопроводом.

9.5.18 При прокладке газопроводов на многолетнемерзлых грунтах на участках с льдистостью менее 0,1 допускается их оттаивание в процессе строительства или эксплуатации. На участках с таликами рекомендуется грунты основания использовать в талом состоянии. Допускается многолетнее промораживание талых непучинистых грунтов при прокладке газопроводов, транспортирующих газ с отрицательной температурой.

9.5.19 На участках трассы газопроводов, прокладываемых в пределах урочищ с интенсивным проявлением криогенного пучения, необходимо предусматривать проектные решения по предупреждению деформаций оснований (уменьшение глубины сезонного оттаивания, устройство противопучинистых подушек и т.п.).

Эрозирующие овраги и промоины, расположенные вблизи трассы газопроводов, должны быть укреплены.

9.5.20 При прокладке газопровода через бугры пучения следует выполнить вдольтрассовые разрезы с засыпкой сыпучим грунтом (песком).

В проекте могут быть рассмотрены иные альтернативные решения:

- прокладка подземных участков газопровода в обход бугров пучения;

- прокладка газопровода надземным способом на противопучинных заглубленных сваях в сочетании с теплоизоляцией участков и использованием пространственно-податливых элементов в свайных основаниях.

10 Переходы газопроводов через естественные и искусственные препятствия

10.1 Общие требования

К естественным и искусственным препятствиям относятся реки, водохранилища, каналы, озера, пруды, ручьи, протоки и болота, овраги, балки, железные и автомобильные дороги.

10.2 Подводные переходы через водные преграды

10.2.1 Траншейный способ прокладки

10.2.1.1 Траншейный (открытый) способ прокладки состоит в укладке газопровода в подводные и береговые траншеи, разработанные землеройной техникой.

10.2.1.2 Подводные переходы газопроводов через водные преграды следует проектировать на основании данных гидрологических, инженерно-геологических и топографических изысканий с учетом условий эксплуатации в районе строительства ранее построенных подводных переходов, существующих и проектируемых гидротехнических сооружений, влияющих на режим водной преграды в месте перехода, перспективных дноуглубительных и выправительных работ в заданном районе пересечения газопроводом водной преграды и требований по охране рыбных ресурсов.

Примечания

1 Проектирование переходов по материалам изысканий, срок давности которых превышает 2 года, без производства дополнительных изысканий не допускается.

2 Место перехода следует согласовывать с соответствующими бассейновыми управлениями речного флота, органами по регулированию использования и охране вод, охраны рыбных запасов и заинтересованными организациями.

10.2.1.3 Границы подводного перехода газопровода следует определять в соответствии с 7.1.25 - 7.1.27.

10.2.1.4 Створы переходов через реки следует назначать в соответствии с требованиями 7.1.25 - 7.1.30.

10.2.1.5 Прокладка подводных переходов должна предусматриваться с заглублением в дно пересекаемых водных преград. Величина заглубления устанавливается с учетом возможных деформаций русла и перспективных дноуглубительных работ.

Проектная отметка верха забалластированного газопровода при проектировании подводных переходов должна назначаться на 0,5 м ниже прогнозируемого предельного профиля размыва русла реки, определяемого на основании инженерных изысканий, с учетом возможных деформаций русла в течение 25 лет после окончания строительства перехода, но не менее 1 м от естественных отметок дна водоема.

При пересечении водных преград, дно которых сложено скальными породами, заглубление газопровода принимается не менее 0,5 м, считая от верха забалластированного газопровода до дна водоема.

При глубине подводных переходов, для которой отсутствуют освоенные технические средства разработки траншей, и невозможности переноса створа перехода, что должно быть обосновано проектом, допускается, по согласованию с соответствующими бассейновыми управлениями, уменьшать глубину заложения газопроводов и укладывать их непосредственно по дну. При этом должны предусматриваться дополнительные мероприятия, обеспечивающие их надежность при эксплуатации.

10.2.1.6 Минимальные расстояния от оси подводных переходов газопроводов до мостов, пристаней и других аналогичных объектов должны приниматься по таблице 3 как для участков газопроводов подземной прокладки.

10.2.1.7 При пересечении водных преград расстояние между параллельными подводными газопроводами следует назначать исходя из инженерно-геологических и гидрологических условий, а также из условий производства работ по устройству подводных траншей, возможности укладки в них газопроводов и сохранности газопровода при аварии на параллельно проложенном. Минимальные расстояния между осями газопроводов, заглубляемых в дно водоема с зеркалом воды в межень шириной свыше 25 м, должны быть:

не менее 30 м для газопроводов диаметром до 1000 мм включительно;

50 м для газопроводов диаметром свыше 1000 мм.

10.2.1.8 Минимальные расстояния между параллельными газопроводами, прокладываемыми на пойменных участках подводного перехода, следует принимать такими же, как для линейной части газопровода.

10.2.1.9 Подводные газопроводы на переходах в границах ГВВ не ниже 1 %-ной обеспеченности должны рассчитываться против всплытия в соответствии с указаниями, изложенными в главе 13.

Если результаты расчета подтверждают возможность всплытия газопровода, то следует предусматривать:

на русловом участке перехода - сплошные (бетонные) покрытия или специальные грузы, конструкция которых должна обеспечить надежное их крепление к трубопроводу для укладки газопровода способом протаскивания по дну;

пойменных участках - одиночные грузы или закрепление газопроводов анкерными устройствами.

10.2.1.10 Ширину подводных траншей по дну следует назначать с учетом режима водной преграды, методов ее разработки, необходимости водолазного обследования и водолазных работ рядом с уложенным газопроводом, способа укладки и условиями прокладки кабеля данного газопровода.

Крутизну откосов подводных траншей следует назначать в соответствии с требованиями СНиП III-42-80* [6].

10.2.1.11 Профиль трассы газопровода следует принимать с учетом допустимого радиуса изгиба газопровода, рельефа русла реки и расчетной деформации (предельного профиля размыва), геологического строения дна и берегов, необходимой балластировки и способа укладки подводного газопровода.

10.2.1.12 Кривые искусственного гнутья в русловой части подводных переходов допускается предусматривать в особо сложных топографических и геологических условиях.

10.2.1.13 Запорную арматуру, устанавливаемую на подводных переходах газопроводов, согласно 8.2.2 следует размешать на обоих берегах на отметках не ниже отметок ГВВ 10 %-ной обеспеченности и выше отметок ледохода.

На берегах горных рек арматуру следует размещать на отметках не ниже отметок ГВВ 2 %-ной обеспеченности.

10.2.1.14 Проектом должны предусматриваться решения по укреплению берегов в местах прокладки подводного перехода и предотвращению стока воды вдоль газопровода (устройство нагорных канав, глиняных перемычек, струенаправляющих дамб и т.д.).

Крепление незатопляемых берегов в местах пересечения подземными газопроводами следует предусматривать до отметки, возвышающейся не менее чем на 0,5 м над расчетным паводковым горизонтом повторяемостью один раз в 50 лет и на 0,5 м - над высотой вкатывания волн на откос.

На затопляемых берегах кроме откосной части должна укрепляться пойменная часть на участке, прилегающем к откосу, длиной 1-5 м.

Ширина укрепляемой полосы берега определяется проектом в зависимости от геологических и гидрогеологических условий.

10.2.1.15 При ширине водных преград при меженном горизонте 75 м и более в местах пересечения водных преград газопроводом следует предусматривать прокладку резервной нитки. Для многониточных систем необходимость строительства дополнительной резервной нитки независимо от ширины водной преграды устанавливается проектом.

Примечания

1 При ширине заливаемой поймы свыше 500 м по уровню горизонта высоких вод при 10 %-ной обеспеченности и продолжительности подтопления паводковыми водами свыше 20 дней, а также при пересечении горных рек и соответствующем обосновании в проекте (например, труднодоступность для проведения ремонта) резервную нитку допускается предусматривать при пересечении водных преград шириной до 75 м и горных рек.

2 Диаметр резервной нитки определяется проектом.

3 Допускается предусматривать прокладку перехода через водную преграду шириной свыше 75 м в одну нитку при условии тщательного обоснования такого решения в проекте.

10.2.1.16 При проектировании подводных переходов, прокладываемых на глубине свыше 20 м из труб диаметром 1000 мм и более, следует производить проверку устойчивости поперечного сечения трубы на воздействие гидростатического давления воды с учетом изгиба газопровода.

10.2.1.17 Подводные переходы через реки и каналы шириной 50 м и менее допускается проектировать с учетом изгибной жесткости труб и общей устойчивости участка перехода, обеспечивая закрепление перехода против всплытия на береговых неразмываемых участках установкой грузов или анкерных устройств.

10.2.1.18 На обоих берегах судоходных и лесосплавных рек и каналов при пересечении их газопроводами должны предусматриваться сигнальные знаки согласно Правилам [3, 20].

10.2.2 Способ горизонтально направленного бурения

10.2.2.1 Способ ГНБ (закрытый способ) состоит в протаскивании газопровода в предварительно пробуренные скважины.

10.2.2.2 Строительство переходов газопроводов через водные преграды способом ГНБ рекомендуется осуществлять на стесненных, застроенных участках рек, вблизи действующих переходов трубопроводов, существующих заповедных или закрытых зон, в местах, требующих высокой экологической защиты в процессе строительства перехода. Применение способа ГНБ производится на основе технико-экономического обоснования, выполняемого проектной организацией.

10.2.2.3 Строительство переходов газопроводов через водные преграды способом ГНБ возможно на реках, имеющих прямолинейный участок русла и приемлемое для данного способа геологическое строение русла и берегов.

10.2.2.4 Применение способа ГНБ должно основываться на гидрографической съемке для определения контуров дна реки, измерения контуров дна реки в створе и на расстояниях по 50 м от оси створа вверх и вниз по течению реки, а также на инженерных изысканиях, требования к которым представлены в разделе 7.2.

10.2.2.5 Место перехода должно быть согласовано со всеми заинтересованными ведомствами.

10.2.2.6 Инженерно-геологические изыскания должны производиться в объеме, позволяющем установить:

- состав и свойства грунтов в створе перехода;

- проницаемость грунтов русловой части для оценки возможной потери бурового раствора при прокладке;

- коэффициент трения для расчета усилия при протаскивании трубопровода;

- расчетный профиль скважины бурения;

- необходимое оборудование, скорость прокладки и состав бурового раствора;

- прогнозное развитие русловых деформаций.

10.2.2.7 В процессе геологических изысканий необходимо соблюдать следующие условия:

- глубина бурения скважин должна быть не менее чем на 10 м ниже проектируемого заглубления газопровода;

- расстояние между вертикальными буровыми скважинами следует принимать равным 50-100 м для переходов длиной менее 200 м и 100-200 м - для переходов большей длины;

- буровые скважины располагаются попеременно справа и слева от створа перехода на расстоянии 5-10 м;

- все пустоты и буровые скважины после изысканий заполняются цементным раствором во избежание утечки через них бурового раствора при проходке направляющей скважины ГНБ.

10.2.2.8 Траектория скважины должна определяться условием прохождения в ней протаскиваемого газопровода только за счет упругого изгиба при диаметре скважины, составляющем 120 % от диаметра трубы. Применение кривых искусственного гнутья не допускается.

10.2.2.9 Проектные отметки верха газопровода должны быть не менее чем на 3-5 м ниже предельного уровня деформации русла с 1 %-ной обеспеченностью с учетом оптимальной кривой оси перехода, обеспечивающей наилучшие условия монтажа. При этом угол наклона в местах входа и выхода скважины должен быть в пределах 6-20° с учетом гибкости газопровода, а минимальное заглубление должно обеспечивать устойчивость положения незабалластированного пустого трубопровода.

10.2.2.10 Длина скважины для перехода, осуществляемого способом ГНБ, определяется по ее оси между местом входа и выхода, а длина перехода - расстоянием между береговыми кранами.

10.2.2.11 Необходимость прокладки резервной нитки должна определяться из экономических условий с учетом надежности транспортировки продукта и строительства нового перехода. При прокладке двух и более ниток резервную нитку можно не предусматривать, а расстояние между нитками следует принимать не менее 20 м.

10.2.2.12 Для строительства переходов методом ГНБ необходимо применять трубы с заводским многослойным покрытием, стойким к истиранию и отвечающим требованиям ОАО «Газпром». Ленточная изоляция не допускается. Для изоляции монтажных стыков следует применять термоусаживающиеся армированные манжеты. Толщина манжет должна быть не менее толщины слоя заводской изоляции.

10.3 Переходы через болота

10.3.1 На болотах и заболоченных участках должна предусматриваться подземная прокладка газопроводов.

Как исключение, при соответствующем обосновании допускается укладка газопроводов по поверхности болота в теле насыпи (наземная прокладка) или на опорах (надземная прокладка). При этом должна быть обеспечена прочность газопровода, общая устойчивость

его в продольном направлении и против всплытия, а также защита от теплового воздействия в случае разрыва одной из ниток.

10.3.2 При соответствующем обосновании при подземной прокладке газопроводов через болота III типа и озера длиной свыше 500 м допускается предусматривать прокладку резервной нитки.

10.3.3 Прокладку газопроводов на болотах следует предусматривать, как правило, прямолинейно с минимальным числом поворотов.

В местах поворота должны допускаться повороты отводами радиусом 40Ду и 5Ду, а также упругий изгиб трубопроводов. Надземную прокладку на болотах следует предусматривать в соответствии с требованиями, изложенными в главе 11.

10.3.4 Укладку газопроводов при переходе через болота в зависимости от мощности торфяного слоя и водного режима следует предусматривать непосредственно в торфяном слое или на минеральном основании.

Допускается прокладка газопроводов в насыпях с равномерной передачей нагрузки на поверхность торфа путем устройства выстилки из мелколесья. Выстилка должна покрываться слоем местного или привозного грунта толщиной не менее 25 см, по которому укладывается газопровод.

10.3.5 Размеры насыпи при укладке в ней газопровода диаметром свыше 700 мм с расчетным перепадом положительных температур на данном участке следует определять расчетом, учитывающим воздействие внутреннего давления и продольных сжимающих усилий, вызванных изменением температуры металла труб в процессе эксплуатации.

10.3.6 Наименьшие размеры насыпи должны приниматься следующими:

- толщина слоя грунта над газопроводом не менее 0,8 м с учетом уплотнения грунта в результате осадки;

- ширина насыпи поверху равной 1,5 диаметра газопровода, но не менее 1,5 м;

- откосы насыпи в зависимости от свойств грунта, но не менее 1:1,25.

10.3.7 В случае использования для устройства насыпи торфа со степенью разложения органического вещества менее 30 % необходимо предусматривать защитную минеральную обсыпку поверх торфа толщиной 20 см.

Насыпь из торфа и минерального грунта для защиты от размыва и выветривания должна быть укреплена. Материалы и способы укрепления насыпи устанавливаются проектом.

10.3.8 При проектировании насыпи должно быть предусмотрено устройство водопропускных сооружений: лотков, открытых канав или труб. Дно водопропускных сооружений и прилегающие откосы должны быть укреплены.

Количество и размеры водопропускных сооружений определяются расчетом, с учетом рельефа местности, площади водосбора и интенсивности стока поверхностных вод.

10.3.9 Участки газопроводов, прокладываемые в подводной траншее через болота или заливаемые поймы, а также в обводненных районах, должны быть рассчитаны против всплытия (на устойчивость положения). Для обеспечения устойчивости положения следует предусматривать специальные конструкции и устройства для балластировки (обетонированные трубы, балластирующие устройства (в том числе с использованием грунта), анкеры и др.).

10.3.10 При закреплении газопровода анкерными устройствами лопасть анкера не должна находиться в слое торфа, заторфованного грунта или лёсса, пылеватого песка или других подобных грунтов, не обеспечивающих надежное закрепление анкера, а также в слое грунта, структура которого может быть подвержена разрушению или нарушению связности в результате оттаивания, размывов, выветривания, подработки или других причин.

10.4 Подземные переходы МГ через автомобильные и железные дороги

10.4.1 Угол пересечения газопровода с железными и категорированными автомобильными дорогами должен быть, как правило, 90°, но не менее 60°. При соответствующем обосновании пересечение с автомобильными дорогами категории IV-V допускается при снижении минимального значения угла до 35°. Прокладка газопровода через тело насыпи не допускается.

Переходы газопроводов через железные и автомобильные дороги следует предусматривать в местах прохождения дорог по насыпям либо в местах с нулевыми отметками при соответствующем обосновании в проекте.

10.4.2 Участки газопроводов на переходах через железные и автомобильные дороги должны прокладываться следующим способом:

- в защитном кожухе (футляре) из стальных труб;

- тоннеле;

- методом ГНБ.

10.4.3 Допускается прокладывать без устройства защитного кожуха:

- переходы газопроводов через подъездные железные дороги промышленных предприятий и автомобильные дороги на участках транспортировки газа с отрицательной температурой, а также в районах распространения ММГ из-за возможности попадания воды в межтрубное пространство и ее замерзания;

- переходы газопроводов через автомобильные дороги без твердого покрытия.

10.4.4 Категории участков переходов газопроводов через железные и автомобильные дороги следует принимать в соответствии с таблицей 1.

10.4.5 Для участков переходов газопроводов, выполняемых с устройством защитных кожухов из стальных труб или прокладываемых в тоннеле, внутренний диаметр кожуха или тоннеля должен определяться из условия производства работ и конструкции переходов и быть больше наружного диаметра газопровода не менее чем на 200 мм.

Концы кожуха должны выводиться на расстояние:

а) при прокладке газопровода через железные дороги - с каждой стороны не менее чем на 50 м от подошвы откоса насыпи или бровки откоса выемки, а при наличии водоотводных сооружений - от крайнего водоотводного сооружения;

б) прокладке газопровода через автомобильные дороги - от бровки земляного полотна - 25 м, но не менее 2 м от подошвы насыпи.

10.4.6 Прокладка кабеля связи газопровода на участках его перехода через железные и автомобильные дороги должна производиться в защитном кожухе или отдельно в трубах.

10.4.7 На подземных переходах газопроводов через железные и автомобильные дороги концы защитных кожухов должны иметь герметизирующие устройства из диэлектрического материала.

На одном из концов кожуха следует предусматривать вытяжную свечу на расстоянии по горизонтали, м, не менее:

- для железных дорог - от подошвы откоса насыпи или бровки откоса выемки, а при наличии водоотводных сооружений - от крайнего водоотводного сооружения - 50;

- автомобильных дорог - от подошвы земляного полотна - 25.

При наличии на переходе уклона свечу располагают на более высокой стороне кожуха. При строительстве переходов в кожухе с криволинейным вертикальным профилем предусматривают свечи по обе стороны кожуха.

Высота вытяжной свечи от уровня земли должна быть не менее 3 м.

10.4.8 Заглубление участков переходов газопроводов должно составлять:

- для переходов под железными дорогами общей сети - расстояние по вертикали от верха защитной трубы (тоннеля) до подошвы рельса принимается не менее 2 м, при устройстве перехода методом прокола - 3 м, при этом верх защитной трубы должен располагаться не менее чем на 1,5 м ниже дна водоотводного сооружения или подошвы насыпи;

- переходов под автомобильными дорогами всех категорий - не менее 1,4 м от верха покрытия дороги до верхней образующей защитного кожуха и не менее 0,4 м от дна кювета, водоотводной канавы или дренажа;

- заглубление при прокладке способом ГНБ должно составлять не менее 7 м.

10.4.9 Для участков переходов газопроводов через железные дороги промышленных предприятий и автомобильные дороги, выполняемых без устройства защитных кожухов, следует:

- заглубление газопровода принимать равным не менее 1,7 м от подошвы насыпи до верха газопровода;

- предусмотреть защиту газопровода от падения транспортных средств путем укладки железобетонных плит над газопроводом на расстоянии не менее 15 м от подошвы земляного полотна дороги. В поперечном направлении размер плит должен быть не менее 3Ду газопровода;

- проверять газопровод на прочность и допустимую овальность сечений с учетом действия нагрузок от веса грунта засыпки и транспорта.

10.4.10 Заглубление участков газопровода под автомобильными дорогами на территории КС принимается в соответствии с требованиями СНиП II-89-80* [21].

10.4.11 Расстояние между параллельными трубопроводами на участках их переходов под железными и автомобильными дорогами следует назначать исходя из грунтовых условий и условий производства работ, но во всех случаях это расстояние должно быть не менее расстояний, принятых при подземной прокладке линейной части магистральных трубопроводов.

10.4.12 Пересечение газопроводов с рельсовыми путями электрифицированного транспорта под стрелками и крестовинами, а также в местах присоединения к рельсам отсасывающих кабелей не допускается.

10.4.13 Минимальное расстояние по горизонтали в свету от подземного газопровода в местах его перехода через железные дороги общей сети должно приниматься, м:

- до стрелок и крестовин железнодорожного пути и мест присоединения отсасывающих кабелей к рельсам электрифицированных железных дорог - 10;

- стрелок и крестовин железнодорожного пути при пучинистых грунтах - 20;

- труб, тоннелей и других искусственных сооружений на железных дорогах - 30.

10.4.14 Участки газопроводов, прокладываемые на переходах (без устройства кожухов) через автомобильные дороги без твердого покрытия, которые не планируются к повышению категорийности на перспективу до 20 лет, а также полевые дороги должны быть защищены укладкой бетонных плит. Бетонные плиты должны быть уложены:

- по верху автомобильной дороги на длине по 10 м в каждую сторону от оси газопровода;

- над участками газопровода на длине 10 м в обе стороны от подошвы насыпи или бровки земляного полотна дороги. На этих участках бетонные плиты следует уложить на глубине 0,5 м над верхней образующей трубы и засыпать фунтом до уровня верха траншеи.

10.4.15 Положение газопровода в кожухе должно быть зафиксировано по всей длине перехода центрирующими устройствами с диэлектрическим покрытием, обеспечивающими сохранность изоляционного покрытия труб.

10.4.16 Овальность сечения кожуха под действием веса грунта и нагрузок от транспорта (см. раздел 13.6) не должна превышать 5 %.

10.4.17 При прокладке переходов газопроводов через железные и автомобильные дороги метолом ГНБ заглубление перехода под дорогами должно составлять не менее 7 м. При этом должны выполняться требования пунктов:

- 10.2.2.8 - по траектории скважины и ее диаметра;

- 10.2.2.12 - изоляционным покрытиям;

- 10.4.1 - углу пересечения газопровода с дорогами;

- 10.4.4 - категории участков переходов;

- 10.4.11 - расстояниям между параллельными нитками трубопроводов;

- 10.4.12 - условиям пересечения с рельсовыми путями электрифицированного транспорта;

- 10.4.13 - минимальным расстояниям до конструктивных элементов железных дорог.

Минимальные расстояния от концов перехода, выполняемого методом ГНБ, до дорог

следует назначать из условий производства работ, при этом данные расстояния должны составлять не менее 50 м. Расстояния от концов перехода до дорог следует принимать:

- для железных дорог - от подошвы откоса насыпи или бровки выемки;

- автомобильных дорог - от подошвы насыпи земляного полотна.

10.5 Пересечения и параллельная прокладка газопроводов с другими трубопроводами и инженерными коммуникациями

10.5.1 Взаимные пересечения проектируемых и действующих трубопроводов допускаются в исключительных случаях при невозможности соблюдения минимальных расстояний от оси газопроводов до населенных пунктов, промышленных предприятий и сооружений.

10.5.2 При взаимном пересечении трубопроводов расстояние между ними в свету должно приниматься не менее 350 мм, а пересечение выполняться под углом не менее 60°.

10.5.3 Пересечения между трубопроводами и другими инженерными сетями (водопровод, канализация, кабели и др.) должны проектироваться в соответствии с требованиями СНиП II-89-80* [21].

10.5.4 Требования к пересечениям газопроводов кабелями связи, прокладываемых способом ГНБ, должны регламентироваться специальными нормативными документами.

10.5.5 В местах пересечений магистральных газопроводов с линиями электропередачи напряжением 110 кВ и выше должна предусматриваться только подземная прокладка газопроводов под углом не менее 60° и на расстоянии, определяемом в соответствии с пунктом 2.5.164 ПУЭ [7]. При этом газопроводы, прокладываемые в районах Западной Сибири и Крайнего Севера на расстоянии 1000 м в обе стороны от пересечения, должны приниматься категории С.

10.5.6 Ширина просеки для прокладки газопроводов параллельно линии электропередачи 6, 10 кВ при прохождении по территории государственного лесного фонда принимается как для стесненных участков трассы в соответствии с требованиями ПУЭ [7].

10.5.7 При параллельной прокладке проектируемых газопроводов с существующими стальными подземными инженерными сооружениями учитывают расположение средств электрохимической защиты этих трубопроводов и при необходимости предусматривают их реконструкцию.

11 Надземная прокладка газопроводов

11.1 Надземная прокладка газопроводов или их отдельных участков допускается в пустынных и горных районах, болотистых местностях, районах горных выработок, оползней и районах распространения многолетнемерзлых грунтов, на неустойчивых грунтах, а также на переходах через естественные и искусственные препятствия с учетом требований 5.2.

В каждом конкретном случае надземная прокладка газопроводов должна быть обоснована технико-экономическими расчетами, подтверждающими экономическую эффективность, техническую целесообразность и надежность газопровода.

11.2 При прокладке газопроводов и их переходов через естественные и искусственные препятствия следует использовать несущую способность самого газопровода. В этом случае могут применяться следующие конструкции надземной прокладки:

- балочные однопролетные;

- балочные многопролетные;

- шпренгельные;

- вантовые;

- висячие;

- арочные;

- мостовые фермы.

11.3 В отдельных случаях при соответствующем обосновании в проекте допускается предусматривать для прокладки газопроводов специальные мостовые конструкции (в виде балок и ферм).

11.4 Надземные переходы газопроводов могут проектироваться, как правило, с компенсацией продольных деформаций. Прямолинейные балочные переходы допускается проектировать без компенсации продольных деформаций. Возможность прокладки без компенсации продольных деформаций, а также размеры необходимых компенсационных участков определяются по результатам расчетов на прочность и устойчивость в соответствии с требованиями главы 13.

11.5 Величины пролетов надземного газопровода следует назначать в зависимости от принятой схемы и конструкции прокладки в соответствии с требованиями главы 13.

11.6 При всех способах компенсации продольных деформаций газопроводов следует применять отводы, допускающие проход внутритрубных ВТУ.

11.7 В местах установки на газопроводе арматуры необходимо предусматривать стационарные площадки для ее обслуживания. Площадки должны быть несгораемыми и иметь конструкцию, исключающую скопление на них мусора и снега.

На начальном и конечном участках перехода газопровода от подземной к надземной прокладке необходимо предусматривать постоянные ограждения из металлической сетки высотой не менее 2,2 м.

11.8 При проектировании надземных переходов необходимо учитывать продольные перемещения газопроводов в местах их выхода из грунта. Для уменьшения величины продольных перемещений в местах выхода газопроводов из грунта допускается применение подземных компенсирующих устройств или устройство поворотов вблизи перехода (компенсатора-упора) с целью восприятия продольных перемещений подземного газопровода на участке, примыкающем к переходу.

В балочных системах газопроводов в местах их выхода из грунта опоры допускается не предусматривать. В местах выхода газопровода из слабосвязанных грунтов следует предусматривать мероприятия по обеспечению проектного положения (искусственное упрочнение грунта, укладку железобетонных плит и др.).

11.9 Опоры балочных систем газопроводов следует проектировать из несгораемых материалов. При проектировании надземных газопроводов электроизоляцию трубопровода от опор следует предусматривать при наличии на трубопроводе потенциала электрохимической защиты.

11.10 Высоту от уровня земли или верха покрытия дорог до низа трубы следует принимать в соответствии с требованиями СНиП II-89-80* [21], но не менее 0,5 м. Высоту от верха покрытия проезжей части дорог до низа трубы следует принимать в соответствии с требованиями СНиП II-89-80* [21].

Высота прокладки газопроводов над землей на участках, где предусматривается использование многолетне мерзлых грунтов в качестве основания, должна назначаться из условия обеспечения естественного состояния грунтов под опорами и газопроводом.

При проектировании газопроводов для районов массового перегона животных или их естественной миграции минимальные расстояния от уровня земли до газопроводов следует принимать по согласованию с заинтересованными организациями.

11.11 При прокладке газопроводов через препятствия, в том числе овраги и балки, расстояние от низа трубы или пролетного строения следует принимать при пересечении:

оврагов и балок - не менее 0,5 м до уровня воды при 5 %-ной обеспеченности;

несудоходных, несплавных рек и больших оврагов, "где возможен ледоход, - не менее 0,2 м до уровня воды при 1 %-ной обеспеченности и от наивысшего горизонта ледохода;

судоходных и сплавных рек - не менее величины, установленной нормами проектирования подмостовых габаритов на судоходных реках и основными требованиями к расположению мостов.

Возвышение низа трубы или пролетных строений при наличии на несудоходных и несплавных реках заломов или корчехода устанавливается особо в каждом конкретном случае, но должно быть не менее 1 м над горизонтом высоких вод (по году 1 %-ной обеспеченности).

11.12 При прокладке газопроводов через железные дороги обшей сети расстояние от низа трубы или пролетного строения до головки рельсов следует принимать в соответствии с требованиями габарита С по ГОСТ 9238.

Расстояние в плане от крайней опоры надземного газопровода, м, должно быть не менее:

- до подошвы откоса насыпи - 5;

- бровки откоса выемки - 3;

- крайнего рельса железной дороги - 10.

11.13 В местах надземных переходов газопроводов через ручьи, овраги и другие препятствия следует предусматривать конструктивные решения, обеспечивающие надежную защиту от тепловых и механических воздействий соседних трубопроводов при возможном разрыве на одном из них.

11.14 Газопроводы надземной прокладки должны быть обеспечены защитным покрытием от атмосферной коррозии материалами, разрешенными к применению в ОАО «Газпром».

12 Нагрузки и воздействия

12.1 Общие требования

12.1.1 Нагрузки и воздействия, которые необходимо учитывать при проверке прочности газопровода, классифицируются следующим образом:

- функциональные;

- природные;

- строительные;

- случайные.

12.2 Функциональные нагрузки

12.2.1 Функциональные нагрузки - это нагрузки, обусловленные процессом эксплуатации газопровода. При определении функциональных нагрузок следует учитывать следующие факторы:

- внутреннее давление;

- температурные воздействия;

- весовые нагрузки;

- упругий изгиб газопровода.

12.2.2 Внутреннее давление

12.2.2.1 Принятый в настоящем Стандарте термин «рабочее давление» (см. пункт 3.27) соответствует ГОСТ 14249.

12.2.2.2 Под расчетным давлением для элементов магистрального газопровода следует понимать давление, на которое проводится их расчет на прочность.

12.2.2.3 В качестве расчетного давления в газопроводе следует принимать давление Pd, МПа, вычисляемое по формуле

                                                                                                                   (12.1)

где kр - коэффициент надежности по внутреннему давлению;

р - рабочее давление, МПа.

Значение коэффициента надежности по внутреннему давлению kр зависит от системы регулирования внутреннего давления. При отсутствии соответствующих обоснований при проектировании газопровода значение коэффициента надежности по внутреннему давлению следует принимать равным kр - 1,10.

12.2.2.4 Обвязочные трубопроводы КС следует дополнительно рассчитывать на динамические нагрузки от пульсации давления.

12.2.3 Температурные воздействия

12.2.3.1 Температурные воздействия обусловливаются разностью между максимальной (минимальной) температурой стенки газопровода во время эксплуатации и минимальной (максимальной) температурой газопровода при его укладке и засыпке.

12.2.3.2 Температурный перепад в металле стенок труб следует принимать равным разнице между максимально или минимально возможной температурой стенок в процессе эксплуатации и наименьшей или наибольшей температурой, при которой фиксируется расчетная схема газопровода (свариваются захлесты, привариваются компенсаторы, производится засыпка газопровода и т.п., то есть когда фиксируется положение статически неопределимой системы). При этом допустимый температурный перепад для расчета балластировки и температуры замыкания должен определяться раздельно для участков различных категорий.

12.2.3.3 Максимальную или минимальную температуру стенок труб в процессе эксплуатации газопровода следует определять в зависимости от температуры транспортируемого газа, грунта, наружного воздуха, а также скорости ветра, солнечной радиации и теплового взаимодействия газопровода с окружающей средой.

Принятые в расчете максимальная и минимальная температуры, при которых фиксируется расчетная схема газопровода, максимально и минимально допустимая температура газа на выходе из КС, должны указываться в проекте.

12.2.3.4 При расчете газопровода на прочность и устойчивость и выборе типа изоляции следует учитывать температуру газа, поступающего в газопровод, и ее изменение по длине газопровода в процессе транспортировки газа.

12.2.4 Весовые нагрузки

12.2.4.1 Весовые нагрузки определяются с учетом веса труб, транспортируемого продукта, противокоррозионного, теплоизоляционного и утяжеляющего покрытий, а также веса грунта засыпки.

12.2.4.2 Погонная весовая нагрузка, МН/м, вычисляется следующими формулами:

- для собственного веса трубы:

                                                                                               (12.2)

где А - площадь поперечного сечения трубы (стали), м2;

g - ускорение свободного падения, м/с2;

- веса изоляционного (противокоррозионного) покрытия:

                                                                                  (12.3)

где Dins - диаметр газопровода с учетом слоя изоляционного (противокоррозионного) покрытия, м, вычисляют по формуле

                                                                                                           (12.4)

где D - диаметр газопровода наружный, м;

γins - плотность изоляционного покрытия, кг/м3;

tins - толщина слоя изоляционного покрытия, м;

- веса теплоизоляционного слоя:

                                                                                       (12.5)

где Dtр - диаметр газопровода с учетом слоев изоляционного покрытия и теплоизоляции, м, вычисляют по формуле

                                                                                              (12.6)

где γt.r - плотность теплоизоляционного материала, кг/м3;

- веса перекачиваемого газа:

                                                                                                  (12.7)

где Rd - расчетное давление, Н/м2;

Rg - газовая постоянная, Дж/(кг·К);

Z - коэффициент сжимаемости газа;

Тg - температура (абсолютная) газа, К;

Di - внутренний диаметр газопровода, м, вычисляемый по формуле

                                                                                                         (12.8)

где tnom - толщина стенки газопровода, номинальная, м;

- допускается вычислять погонный вес природного газа qgas, МН/м, по приближенной формуле

                                                                                                         (12.7а)

- вес заполняющего газопровод конденсата qсоnd МН/м (при возможном его образовании):

                                                                                             (12.9)

где γcond - плотность конденсата, кг/м3;

- выталкивающей силы воды qw, МН/м, для полностью погруженого в воду газопровода при отсутствии течения воды

                                                                                                       (12.10)

где Dlin - наружный диаметр трубы с учетом изоляционного покрытия и футеровки, м;

γw - плотность воды с учетом растворенных в ней солей, кг/м3.

12.2.5 Упругий изгиб газопровода

12.2.5.1 Напряжения от упругого изгиба учитываются при проверке прочности газопровода.

12.2.5.2 Нагрузки, возникающие при пропуске ВТУ по надземным газопроводам, следует также относить к функциональным. Для надземных газопроводов, подвергающихся пропуску ВТУ, следует дополнительно производить расчет на динамические воздействия от ВТУ.

12.3 Природные нагрузки

12.3.1 К природным (и техногенным) относятся нагрузки, обусловленные внешними факторами, за исключением случаев, когда нагрузки должны быть отнесены к функциональным или случайным ввиду малой вероятности их возникновения:

- грунтовые, вызванные пучением и просадками грунта или неравномерной осадкой, оползнями и др.;

- нагрузки от ветра, снега или обледенения (для надземных трубопроводов);

- нагрузки от автомобильного и железнодорожного транспорта;

- нагрузки от возможного смещения конструкций трубопровода.

12.3.2 Ветровую нагрузку на надземные газопроводы qHsta, МН/м, вычисляют как горизонтальную погонную нагрузку от статического действия ветра:

                                                                                             (12.11)

где wm и wp - нормативные значения соответственно средней и пульсационной составляющей ветровой нагрузки, Н/м2, определяются согласно пунктам 6.3 и 6.7 СНиП 2.01.07-85* [22], используемое при этом нормативное значение ветрового давления w0 следует принимать по таблице 5 этих же норм в зависимости от ветрового района;

Dl.p - диаметр газопровода с учетом слоев изоляционного покрытия и теплоизоляции, м, определяемый по формуле (12.6).

12.3.3 Погонную вертикальную нагрузку на надземный газопровод от веса снега или обледенения qs.i, МН/м, вычисляют по формуле

                                                                                                 (12.12)

где qs - погонная нагрузка от снега, МН/м;

qi - погонная нагрузка от обледенения, МН/м.

Нагрузку от снега qs, МН/м, вычисляют по формуле

                                                                                                  (12.13)

где Сс - коэффициент перехода от веса снегового покрова на единицу поверхности земли к снеговой нагрузке на единицу поверхности трубопровода, который принимается равным 0,4 для одиночно прокладываемого трубопровода;

s0 - нормативное значение распределенного веса снегового покрова, принимаемое согласно таблице 4 СНиП 2.01.07-85* [22] в зависимости от снегового района, МН/м2;

Dt.p - диаметр газопровода с учетом слоев изоляционного покрытия и теплоизоляции, м.

Нагрузка от возможного обледенения газопровода qi МН/м, вычисляется по формуле

                                                                                               (12.14)

где b - толщина слоя гололеда, принимаемая согласно таблице 12 СНиП 2.01.07-85* [22] в зависимости от района гололедности, м;

Dt.p - диаметр газопровода с учетом слоев изоляционного покрытия и теплоизоляции, м.

12.4 Строительные нагрузки

12.4.1 Строительные нагрузки - нагрузки, возникающие при строительно-монтажных работах и испытаниях трубопроводной системы, в т.ч. собственный вес испытательной среды. К строительным следует относить также нагрузки при хранении и транспортировке труб и трубных плетей.

Примечание - К строительным нагрузкам следует также относить возможное образование вакуума при вакуумной осушке газопровода.

12.5 Случайные нагрузки

12.5.1 Случайная нагрузка - нагрузка, возникающая с частотой менее 10-4 в год на километр газопровода. Причинами случайных нагрузок могут быть:

- сейсмическое воздействие;

- взрыв;

- внезапная разгерметизация;

- пожар;

- нестационарный режим эксплуатации;

- механические повреждения.

При учете случайных нагрузок следует учитывать как вероятность их возникновения, так и возможные последствия случайных нагрузок.

12.5.2 Для газопроводов, прокладываемых в сейсмических районах, интенсивность возможных землетрясений для различных участков газопроводов определяется согласно СНиП II-7-81* [23], по картам сейсмического районирования и списку населенных пунктов, расположенных в сейсмических районах, с учетом данных сейсмомикрорайонирования.

12.5.3 При проведении сейсмического микрорайонирования необходимо уточнить данные о тектонике района вдоль всего опасного участка трассы в коридоре, границы которого отстоят от газопровода не менее чем на 15 км.

12.5.4 Расчетная интенсивность землетрясения для наземных и надземных газопроводов назначается согласно СНиП II-7-81* [23].

Расчетная сейсмичность подземных магистральных газопроводов и параметры сейсмических колебаний грунта назначаются без учета заглубления газопровода как для сооружений, расположенных на поверхности земли.

12.6 Сочетания нагрузок

12.6.1 При расчетах на прочность и устойчивость должно быть учтено наиболее неблагоприятное сочетание функциональных, природных, строительных и случайных нагрузок, которые могут возникнуть одновременно.

12.6.2 Нагрузки и воздействия, связанные с осадками и пучениями грунта, оползнями, перемещением опор и т.д., должны определяться на основании анализа грунтовых условий и их возможного изменения в процессе строительства и эксплуатации газопровода.

13 Расчет газопроводов на прочность и устойчивость

13.1 Нормативные характеристики материала труб и соединительных деталей

13.1.1 При определении напряжений и в расчетах газопровода на прочность и устойчивость необходимо принимать следующие значения физических характеристик трубной стали (в упругой области работы материала труб):

- модуль упругости Е0 = 206000 МПа;

- коэффициент Пуассона μ0 = 0,3;

- коэффициент линейного расширения α - 1,2·10-5 (°С)-1.

13.1.2 При анализе напряженно-деформированного состояния газопровода в процессе его укладки и эксплуатации следует учитывать упруго-пластические свойства материала труб. В этом случае модуль деформации и коэффициент поперечной деформации следует определять в соответствии с диаграммой деформирования стали, в зависимости от уровня эквивалентных напряжений (интенсивности напряжений).

13.1.3 Значения нормативного предела текучести и нормативного предела прочности (временного сопротивления) стали следует принимать по принятым в проекте техническим условиям или стандартам на поставку труб и соединительных деталей.

13.2 Определение толщины стенки труб и соединительных деталей

13.2.1 Расчетную толщину стенки трубы магистрального газопровода td, мм, для сталей с отношением σуu ≤ 0,80 вычисляют по формуле

                                                                                                       (13.1)

где Рd - расчетное внутреннее давление, МПа;

D - наружный диаметр трубы, мм;

σу - нормативный предел текучести материала труб, МПа;

Fy - расчетный коэффициент по пределу текучести;

ky - поправочный коэффициент, зависящий от отношения нормативных характеристик стали σуu.

13.2.2 Расчетная толщина стенки трубы магистрального газопровода td для сталей с отношением σуu > 0,80 определяется как большее из двух значений, каждое из которых зависит от нормативных значений, соответственно предела текучести tу, мм, и предела прочности tu, мм, (временного сопротивления) материала труб:

                                                                                                       (13.2)

Толщина стенки, определяемая по пределу текучести, tу, мм, вычисляется по формуле

                                                                                                             (13.3)

а толщина стенки, определяемая по пределу прочности, tu, мм, вычисляется по формуле

                                                                                                             (13.4)

где кроме обозначений, приведенных в 13.2.1, использованы следующие:

σu - нормативный предел прочности (временное сопротивление) материала труб, МПа;

Fu - расчетный коэффициент по пределу прочности.

13.2.3 Значения расчетных коэффициентов Fy в формулах (13.1), (13.3) и Fu в (13.4) следует принимать в зависимости от категории участка газопровода по таблице 9.

13.2.4 Коэффициент ky в формуле (13.1) определяют по следующим условиям:

- при σуu ≤ 0,60 - по таблице 10;

- 0,60 < σуu ≤ 0,80 - по формуле

                                                                                                           (13.5)

значения коэффициентов a, b в которой следует принимать в зависимости от категории участка газопровода по таблице 10.

Таблица 9 - Значения расчетных коэффициентов в зависимости от категории участка газопровода

Категория участка газопровода

Расчетные коэффициенты

Fy

Fu

Н

0,72

0,63

С

0,60

0,52

В

0,50

0,43

Таблица 10 - Значения коэффициентов ky, a, b

Категория участка газопровода

σуu ≤0,60

0,60 < σуu ≤ 0,80

ky

а

b

Н

1,250

2,000

1,250

С

1,333

2,333

1,667

В

1,400

2,600

2,000

13.2.5 Кроме того, расчетная толщина стенки трубы должна удовлетворять условиям таблицы 17 в части назначения уровней испытательного давления в верхней и нижней точках испытываемого участка газопровода.

13.2.6 Расчетное значение толщины стенки трубы округляется в большую сторону с точностью 0,1 мм. В качестве номинальной толщины стенки трубы следует взять ближайшее большее значение толщины стенки по используемым в проекте техническим условиям или стандартам на трубы.

Номинальную толщину стенки труб следует принимать равной не менее 1/100 наружного диаметра трубы, но не менее 3 мм для труб Ду до 200 мм включительно и не менее 4 мм для труб Ду свыше 200 мм.

Номинальную толщину стенки трубопроводов импульсного и топливного газа следует принимать равной не менее 6 мм для труб с наружным диаметром 159 мм и не менее 5 мм - для труб с наружным диаметром 57 мм.

13.2.7 Увеличение толщины стенки трубы по сравнению с расчетным значением из-за конструктивной схемы прокладки с целью защиты от коррозии и т.п. должно быть обосновано технико-экономическим расчетом.

13.2.8 Расчетную толщину стенки соединительных деталей Tfit мм, следует определять:

- для тройниковых соединений:

- по приложению А - для штампованных и штампосварных тройников (ТШС);

- приложению Б - для сварных тройников без усиливающих элементов (ТС);

- отводов (кроме отводов холодногнутых и вставок кривых, изготовленных из бесшовных или электросварных труб в заводских условиях или на трассе строительства газопровода), конических переходов, переходных колец и заглушек - по формуле

                                                                                                                 (13.6)

где η - коэффициент несущей способности соединительной детали;

td - расчетная толщина стенки условной трубы, имеющей диаметр и материал соединительной детали, мм.

Расчетную толщину стенки отводов холодногнутых и вставок кривых, изготовленных из бесшовных или электросварных труб в заводских условиях или на трассе строительства газопровода, следует принимать как для прямых труб, из которых изготовлены данные отводы.

Примечание - Толщину стенки переходов следует рассчитывать по большему диаметру.

13.2.9 Значения коэффициента несущей способности следует принимать равным:

- для отводов - по таблице 11 в зависимости от кривизны отвода;

- заглушек, переходных колец и конических переходов с утлом наклона образующей менее 12°: η = 1.

Таблица 11 - Значения коэффициента несущей способности отводов

Отношение радиуса кривизны отвода к его наружному диаметру R/D

1,0

1,5

2,0 и более

Коэффициент несущей способности отвода η

1,30

1,15

1,00

13.2.10 Толщина стенки соединительной детали, кроме отводов холодногнутых и вставок кривых, изготовленных из бесшовных или электросварных труб в заводских условиях или на трассе строительства газопровода, должна быть не менее расчетной.

Номинальная толщина стенки детали устанавливается изготовителем с учетом технологического утонения толщины стенки в процессе изготовления детали и допускаемых минусовых отклонений на толщину стенки исходной трубы или листового проката с округлением до ближайшей большей толщины по соответствующим стандартам или техническим условиям.

Номинальная толщина стенки отводов холодногнутых и вставок кривых, изготовленных из бесшовных и электросварных труб в заводских условиях или на трассе строительства газопровода, принимается равной номинальной толщине прямых труб, из которых изготовлены данные отводы. Минимальная толщина стенки отводов холодногнутых и вставок кривых, изготовленных из бесшовных и электросварных труб в заводских условиях или на трассе строительства газопровода, должна быть в пределах минусового допуска на трубы, из которых они изготовлены.

Примечание - Номинальная толщина стенки соединительной детали должна быть не менее 4 мм.

13.2.11 Толщина кромки под сварку соединительной детали должна удовлетворять условиям 13.2.1-13.2.5, в которых используются присоединяемый диаметр и нормативные свойства материала детали.

13.3 Проверка условий прочности

13.3.1 Расчет газопровода на прочность состоит в выполнении следующих проверок:

- кольцевых напряжений;

- продольных напряжений;

- эквивалентных напряжений.

13.3.2 Поверочный расчет газопровода на прочность следует производить после выбора его основных размеров с учетом всех нагрузок и воздействий для всех расчетных случаев.

13.3.3 Определение усилий от нагрузок и воздействий, возникающих в отдельных элементах газопроводов, необходимо производить методами строительной механики расчета статически неопределимых стержневых систем.

13.3.4 Расчетная схема газопровода должна отражать действительные условия его работы, а метод расчета - учитывать возможность использования компьютерных программ.

13.3.5 В качестве расчетной схемы газопровода следует рассматривать статически неопределимые плоские или пространственные, простые или разветвленные стержневые системы переменной жесткости с учетом взаимодействия газопровода с опорными устройствами и окружающей средой (при укладке непосредственно в грунт). При этом коэффициенты повышения гибкости отводов и тройниковых соединений определяются согласно разделу 13.4.

Примечание - В расчетной схеме газопровода электроизолирующие вставки следует рассматривать как неравнопрочные элементы.

13.3.6 Арматуру, расположенную на трубопроводе (краны, обратные клапаны и т.д.), следует рассматривать в расчетной схеме как твердое недеформируемое тело.

13.3.7 Расчет газопровода на прочность следует выполнять по методу допускаемых напряжений, которые определяются как произведение нормативного минимального предела текучести и нормативного минимального предела прочности материала труб на соответствующие расчетные коэффициенты. Значения расчетных коэффициентов зависят от вида проверки напряжений и регламентируются настоящим стандартом.

13.3.8 Условие прочности для кольцевых напряжений выполняется, если кольцевые напряжения от расчетного давления σh, МПа, вычисляются по формуле

                                                                                                                 (13.7)

и удовлетворяют условию

                                                                                     (13.8)

где σh - кольцевое напряжение от внутреннего давления;

Рd - расчетное внутреннее давление, МПа;

D - наружный диаметр трубы, мм;

tп - толщина стенки трубы номинальная, мм;

σу - нормативный предел текучести материала труб, МПа;

σu - нормативный предел прочности материала труб, МПа;

Fy - расчетный коэффициент по пределу текучести, принимаемый по таблице 9 в зависимости от категории участка газопровода;

Fu - расчетный коэффициент по пределу прочности, принимаемый по таблице 9 в зависимости от категории участка газопровода.

13.3.9 Проверка условий прочности для продольных и эквивалентных напряжений следует выполнять по формулам

                                                                                     (13.9)

                                                                                   (13.10)

где σl - продольное напряжение, МПа;

σeq - эквивалентное напряжение по теории Мизеса, МПа;

σy - нормативный предел текучести материала труб, МПа;

Feq - расчетный коэффициент для продольных и эквивалентных напряжений, принимаемый в зависимости от стадии «жизни» газопровода в соответствии с таблицей 12.

Таблица 12 - Значения расчетного коэффициента для проверки продольных и эквивалентных напряжений

Расчетный коэффициент Feq

Строительство

Гидростатические испытания

Эксплуатация

0,96

1,00

0,90

13.3.10 Эквивалентное напряжение, соответствующее теории Мизеса, σeq, МПа, вычисляется по формуле

                                                                                    (13.11)

где σh - кольцевое напряжение от внутреннего давления, Па, определяемое по формуле (13.7);

σl - продольное напряжение, МПа;

τ - касательное напряжение (напряжение сдвига), МПа.

13.3.11 Продольные напряжения в подземных и наземных (в насыпи) газопроводах следует определять с учетом упругопластической работы материала труб. Расчетная схема участка газопровода должна отражать условия работы газопровода и взаимодействие его с фунтом.

13.3.12 Продольное и касательное напряжения определяются из выражений;

- продольные напряжения;

- для полностью защемленного подземного газопровода:

                                                                                       (13.12)

- полностью свободного (надземного) газопровода:

                                                                                                         (13.13)

- касательные напряжения:

                                                                                                               (13.14)

где μ - коэффициент поперечной деформации материала труб (переменный);

Е- модуль деформации материала труб (переменный), МПа;

D - наружный диаметр трубы, номинальный, м;

R - радиус упругого изгиба, м;

α - линейный коэффициент температурного расширения, °С-1;

ΔТ - температурный перепад, °С;

Мb - изгибающий момент в сечении трубопровода (при надземной прокладке), МН·м;

Мτ - крутящий момент, МН·м;

W - момент сопротивления сечения трубопровода, м3;

Q - поперечная сила, МН;

A - площадь поперечного сечения трубы (стали), м2.

13.3.13 Модуль деформации Е и коэффициент поперечной деформации ц материала труб следует определять в зависимости от действующих в конкретной элементарной площадке сечения трубопровода эквивалентных напряжений и деформаций с учетом диаграммы деформирования материала труб.

13.3.14 Момент сопротивления W, м3, вычисляют по формуле

                                                                                                                        (13.15)

где I - момент инерции сечения трубы, м4;

D - наружный диаметр трубы, номинальный, м.

13.3.15 Момент инерции I, м4, вычисляют по формуле

                                                                                                         (13.16)

                                                                                                           (13.17)

13.3.16 Изгибающий момент в сечении газопровода (при надземной прокладке) Мb определяется в плоскости наибольшей кривизны оси газопровода, то есть как равнодействующая моментов, приложенных в двух взаимно перпендикулярных плоскостях.

13.3.17 При проверке продольных и эквивалентных напряжений следует учитывать функциональные и природные нагрузки. Для стадии строительства учитываются также строительные нагрузки, при этом из функциональных следует учитывать только весовые нагрузки.

13.3.18 Для газопроводов, прокладываемых в районах горных выработок, дополнительные продольные осевые растягивающие напряжения σlm.w, МПа, вызываемые горизонтальными деформациями грунта от горных выработок, вычисляются по формуле

                                                                                                     (13.18)

где Е0 - модуль упругости материала труб, МПа;

λ0 - максимальные перемещения газопровода на участке, вызываемые сдвижением грунта, м, вычисляются по формуле

                                                                     (13.19)

где ψ - параметр перемещения, который определяется выражением

                                                                          (13.20)

lm - длина участка деформации газопровода с учетом его работы за пределами мульды сдвижения, м;

τs* - предельное сопротивление грунта продольным перемещениям газопровода, МПа;

l - длина участка однозначных деформаций земной поверхности в полумульде сдвижения, пересекаемого газопроводом, м, вычисляется по формуле

                                                                               (13.21)

ξ0 - максимальное сдвижение земной поверхности в полумульде, пересекаемой газопроводом, м;

tпom - толщина стенки газопровода, номинальная, м;

umax - перемещение, соответствующее наступлению предельного значения τs*, м.

13.3.19 Газопроводы, прокладываемые в многолетнемерзлых грунтах при использовании их по II принципу, необходимо рассчитывать на просадки и пучения.

13.4 Прочность и жесткость отводов и тройниковых соединений

13.4.1 При проверке прочности отводов газопроводов необходимо учитывать продольные напряжения от действия внутреннего давления, а также от изменения длины газопровода под действием внутреннего давления продукта и от изменения температуры стенок труб и изгиба при компенсации продольных деформаций.

13.4.2 При определении жесткости и напряженного состояния отводов следует учитывать условия его сопряжения с трубой и влияние внутреннего давления.

13.4.3 При расчете газопровода жесткость участков на длине отводов вычисляется по формуле

                                                                                                       (13.22)

где E0I - изгибная жесткость сечения отвода, МН·м2;

kp - коэффициент повышения гибкости отвода.

13.4.4 Значения коэффициента повышения гибкости отводов kp следует определять в зависимости от центрального угла отвода φ и коэффициента гибкости длинных отводов kp*:

                                                                           (13.23)

                                                                                                   (13.24)

13.4.5 Коэффициент гибкости длинных отводов kp* вычисляют с учетом действия внутреннего давления по формуле

                                                                                                              (13.25)

где f2 - параметр перемещений срединной поверхности отвода.

13.4.6 Входящий в формулу (13.25) параметр перемещений f2, а также другие параметры перемещений fп, необходимые для определения коэффициента увеличения напряжений в отводах, находятся на основании следующих рекуррентных формул:

                                                                          (13.26)

13.4.7 В формулы (13.26) входят вспомогательные коэффициенты, которые вычисляются зависимостями:

                                                                                                                                                                                                (13.27)

                                                                     (13.27)

в которые входит параметр кривизны отвода λ и параметр внутреннего давления р*:

                                                                                                            (13.28)

где R - радиус кривизны отвода, м;

tпоm - номинальная толщина стенки отвода, м;

r - радиус средней линии сечения отвода, м, вычисляемый по формуле

                                                                                                             (13.29)

где D - диаметр отвода наружный, м;

                                                                                   (13.30)

где μ0 - коэффициент Пуассона материала отвода;

Рd - давление расчетное, МПа;

Е0 - модуль упругости материала отвода, МПа.

13.4.8 Коэффициент гибкости тройниковых соединений следует принимать равным единице.

13.4.9 При расчете на прочность отводов расчетный момент М (МН·м) определяется зависимости от изгибающих моментов в двух взаимно перпендикулярных плоскостях и < коэффициента увеличения продольных напряжений по формуле

                                                                                              (13.31)

где ms - коэффициент увеличения напряжений;

Mi - изгибающий момент, действующий в плоскости отвода, МН·м;

М0 - изгибающий момент, действующий из плоскости отвода, МН·м.

13.4.10 Коэффициент увеличения напряжений в отводах ms вычисляют по формулам:

                                                                     (13.32)

                                                                                                       (13.33)

13.4.11 Коэффициент увеличения напряжений в длинных отводах m* s следует определять с учетом действия внутреннего давления по формуле

                                                                   (13.34)

в которой значение коэффициента гибкости k*p принимается по формуле (13.25), а значения параметров перемещений fn - по формулам (13.26).

13.4.12 Результирующий изгибающий момент, действующий на ответвление тройника, вычисляют по формуле

                                                                                     (13.35)

где Mi - изгибающий момент на ответвление тройника, действующий в плоскости тройника, МН·м;

Мo - изгибающий момент на ответвление тройника, действующий из плоскости тройника, МН·м;

mi, mo - коэффициенты увеличения напряжений при изгибе соответственно в плоскости и из плоскости тройника, вычисляемые по формулам:

                                                                                     (13.36)

                                                                                                   (13.37)

где d, D - соответственно диаметры наружные ответвления и магистрали тройника, м.

13.4.13 Входящий в формулу (13.36) безразмерный параметр тройника h вычисляют по формулам:

- для сварных тройников без усиливающих элементов:

                                                                                                               (13.38)

- штампованных и штампосварных тройников:

                                                                                                           (13.39)

r - радиус средней линии сечения отвода, м, вычисляющийся по формуле

                                                                                                      (13.40)

где D - диаметр наружный основной трубы (магистрали) тройника, м;

(Th)n - номинальная толщина стенки магистрали тройника, м.

13.5 Проверка общей устойчивости подземных газопроводов

13.5.1 Общую устойчивость участка магистрального газопровода следует проверять в плоскости наименьшей жесткости системы. Общая устойчивость участка магистрального газопровода выполняется в случае, если удовлетворяется условие:

                                                                                                            (13.41)

где S - эквивалентное продольное усилие в сечении газопровода, МН;

Ncr - критическое продольное усилие, которое определяется с учетом радиуса кривизны оси, высоты засыпки, свойств грунта, балластировки и закрепления анкерами, возможного обводнения, МН;

kub - коэффициент запаса общей устойчивости, принимаемый равным:

- 1,10 - для участков газопроводов категории Н;

- 1,30 - для участков газопроводов категорий С и В.

13.5.2 Общую устойчивость следует проверять для криволинейных участков в плоскости изгиба газопровода. Общую устойчивость на прямолинейных участках подземных участков следует проверять в вертикальной плоскости с радиусом начальной кривизны 5000 м.

13.5.3 Эквивалентное продольное осевое усилие в сечении газопровода S следует определять с учетом нагрузок и воздействий, продольных и поперечных перемещений газопровода в соответствии с правилами строительной механики.

В частности, для прямолинейных участков газопроводов и участков, выполненных упругим изгибом, при отсутствии компенсации продольных деформаций, просадок и пучения грунта эквивалентное продольное усилие в сечении газопровода S, МН, вычисляется по формуле

                                                                                 (13.42)

где α - коэффициент линейного расширения материала труб, °С-1

Е0 - модуль упругости материала труб, МПа;

ΔT - температурный перепад, °С;

μ0 - коэффициент Пуассона материала труб;

Аs - площадь поперечного сечения трубы (стали), м2;

Аi - площадь поперечного сечения трубопровода «в свету», м2;

Pd - расчетное внутреннее давление, МПа.

13.5.4 Для приближенной оценки общей устойчивости участка магистрального газопровода может быть использован порядок расчета, приведенный в 13.5.5-13.5.9.

13.5.5 Значение критического продольного усилия вычисляют по формуле

                                                                                                   (13.43)

где q* - предельное погонное сопротивление перемещениям газопровода вверх, МН/м;

ρ0 - расчетный радиус кривизны оси газопровода, м.

13.5.6 Предельное сопротивление перемещениям газопровода вверх q* определяется как сумма погонного веса газопровода w и предельной несущей способности грунта при выпучивании газопровода q*s

                                                                                                             (13.44)

где q* - предельное сопротивление перемещениям газопровода вверх, МН/м;

w - погонный вес газопровода, МН/м;

q*s - предельная несущая способность грунта при выпучивании газопровода, МН/м.

Предельная несущая способность грунта при выпучивании газопровода q*s вычисляется по формулам:

- для песчаных и других несвязных грунтов:

                                                                                           (13.45)

- глинистых и других связных грунтов:

                                                                                                             (13.46)

                                                                                               (13.47)

где γ - расчетный удельный вес грунта засыпки, МН/м3;

Н - глубина засыпки от поверхности грунта до верха трубы, м;

D - диаметр наружный газопровода, м;

kHs - коэффициент учета высоты засыпки для песчаных грунтов, определяется экспериментальным способом, если отсутствуют надежные данные, то его следует принимать равным 0,5 для плотных грунтов и 0,1 - для слабонесущих грунтов;

kHc - коэффициент учета высоты засыпки для глинистых грунтов;

с - сцепление грунта засыпки (репрезентативное, характерное), МПа.

13.5.7 Для вертикальных углов поворота выпуклостью вверх, образованных в результате упругого изгиба с радиусом кривизны r, расчетный радиус кривизны r0 принимается равным

                                                                                                                         (13.48)

при этом допускается упругий изгиб, удовлетворяющий условию

                                                                                                               (13.49)

где D - диаметр наружный газопровода, м.

При более крутых поворотах трассы следует использовать вставки холодного гнутья и заводские отводы с радиусом кривизны оси R ≥ 5D.

13.5.8 Прямолинейные участки газопровода рассматриваются как изогнутые (выпуклостью вверх), для них расчетный радиус изгиба принимается равным ρ0 = 5000 м.

13.5.9 Для вертикальных углов поворота трассы, образованных с помощью вставок холодного гнутья и заводских отводов, расчетный радиус кривизны ρ0 подземного газопровода определяется в зависимости от конструктивной схемы угла поворота трассы в соответствии с рекомендуемым приложением Б.

13.5.10 В случае когда условие общей устойчивости участка газопровода (13.41) не соблюдается, необходимо выполнить одно или несколько следующих мероприятий:

- увеличить глубину засыпки грунтом;

- изменить схему выполнения угла поворота трассы;

- применить балластировку участка газопровода грузами;

- применить закрепление участка газопровода анкерными устройствами.

13.6 Проверка овальности сечений подземного газопровода после укладки и засыпки

13.6.1 После укладки и засыпки подземного газопровода под действием веса грунта засыпки происходит нарушение первоначально правильной кольцевой формы сечений газопровода. Отклонение формы поперечного сечения трубы от кольцевой характеризуется так называемой овальностью, которая вычисляется по формуле

                                                                                               (13.50)

где Θ - овальность сечения, %;

Dmax, Dmin - соответственно максимальный и минимальный диаметры в рассматриваемом сечении трубопровода, м.

13.6.2 Овальность сечения подземного газопровода после его засыпки вычисляют по формуле

                                                                                                            (13.51)

где q - вертикальная равномерно распределенная поперек оси трубопровода нагрузка от веса грунта засыпки, действующая на уровне верхней образующей трубопровода, МН/м;

r - радиус средней линии поперечного сечения трубы, м, вычисляемая по формуле

                                                                                                             (13.52)

D - диаметр газопровода наружный, м;

tn - толщина стенки трубы номинальная, м;

L* - единичная длина трубопровода, L* = 1 м;

 - цилиндрическая жесткость оболочки, МН·м, вычисляемая по формуле

                                                                                                             (13.53)

где Е0 - модуль упругости материала трубы, МПа;

μ0 - коэффициент Пуассона материала трубы.

13.6.3 Вертикальную равномерно распределенную нагрузку q от веса фунта засыпки вычисляют по формуле

                                                                                                (13.54)

где g - ускорение свободного падения м/с2;

γ0 - плотность грунта ненарушенной структуры, кг/м3;

H - высота засыпки от поверхности земли до верхней образующей трубы, м;

kbf - коэффициент, учитывающий уменьшение плотности грунта засыпки по сравнению с грунтом ненарушенной структуры;

ktr - коэффициент вертикального давления грунта в траншее.

13.6.4 Коэффициент вертикального давления грунта в траншее ktr вычисляют в зависимости от размеров траншеи по формулам:

- для песчаных и супесчаных грунтов засыпки:

                                                                                          (13.55)

- глинистых грунтов засыпки:

                                                                                  (13.56)

где b - средняя ширина траншеи, м;

Н - высота засыпки от поверхности земли до верхней образующей трубы, м.

Средняя ширина траншеи вычисляется по приближенной формуле

                                                                                                              (13.57)

где Н - высота засыпки от поверхности земли до верхней образующей трубы, м;

D - диаметр трубы наружный, м;

α - угол между основанием и откосом траншеи, град.

13.6.5 Полученное по формуле (13.51) значение овальности должно удовлетворять условию:

                                                                                                 (13.58)

где ΘCOD - овальность, %, допускаемая из условия прохождения ВТУ.

13.6.6 В случае если условие (13.58) не удовлетворяется, следует назначить меньшую глубину засыпки или применить трубы с более толстой стенкой.

13.7 Устойчивость формы поперечных сечений газопровода

13.7.1 Условие местной устойчивости стенки трубы газопровода может быть выполнено за счет назначения соответствующей толщины стенки при известных изгибных деформациях и начальной овальности сечений труб.

13.7.2 При совместном действии изгибающего момента и продольной растягивающей силы местная устойчивость стенки газопровода обеспечивается при выполнении условия:

                                                                                                               (13.59)

где εb - предельно допустимая изгибная деформация, %;

εr - критическая продольная деформация только при изгибе газопровода, %;

Θ* - параметр овальности сечений труб.

В формуле (13.59) все деформации сжатия условно считаются положительными.

13.7.3 Предельно допустимая изгибная деформация εb задается в проекте. Она не должна превосходить значения 0,40 %.

13.7.4 Критическая продольная деформация при изгибе газопровода принимается из получивших достаточное экспериментальное подтверждение теоретических разработок теории устойчивости цилиндрических оболочек в виде

                                                                                                                 (13.60)

13.7.5 Правая часть формулы (13.59) представляет собой параметр овальности, вычисляемый зависимостью:

                                                                                                   (13.61)

                                                                                         (13.62)

13.7.6 В формуле (13.62) используется расчетная начальная овальность сечений труб 00, которая определяется по формуле, аналогичной (13.50), при этом максимальный и минимальный диаметры сечения трубы принимаются для трубы после ее изготовления на заводе.

13.7.7 Расчетную начальную овальность при отсутствии фактических данных измерения диаметров трубы следует принять равной 2,0 %.

13.7.8 Параметр критического напряжения в формуле (13.61) вычисляется следующим образом:

                                                                                                          (13.63)

                                                                                                (13.64)

В формулах (13.63), (13.64) применены следующие обозначения:

σсr - критическое напряжение в цилиндрической оболочке при действии наружного давления (напряжение коллапса), МПа;

Е0 - модуль упругости материала труб, МПа;

μ0 - коэффициент Пуассона стали;

ψN - понижающий коэффициент, учитывающий влияние продольной силы;

σy - нормативный предел текучести материала труб, МПа.

13.7.9 Понижающий коэффициент ψN вычисляют по формуле

                                                                                  (13.65)

где σN - осевые сжимающие продольные напряжения, МПа, условно считающиеся положительными.

13.8 Устойчивость положения газопровода

13.8.1 Под устойчивостью положения (против всплытия) подразумевается обеспечение проектного положения участков газопроводов, прокладываемых на обводненных отрезках трассы и подверженных воздействию выталкивающих сил. Устойчивость положения газопровода обеспечивается в случае соблюдения неравенства:

                                                                                                               (13.66)

где Qact - суммарная расчетная нагрузка на единицу длины газопровода, действующая вверх, включая упругий отпор при прокладке свободным изгибом, МН;

Qpas - суммарная расчетная нагрузка, действующая вниз, включая собственный вес газопровода, МН;

Кn.f - коэффициент запаса устойчивости положения газопровода, принимаемый равным для участков прокладки газопровода (по отношению к русловой части рек и водоемов):

- через болота, поймы, водоемы при отсутствия течения, обводненные и заливаемые участки в пределах ГГВ 1 %-ной обеспеченности - 1,05;

- русловых через реки шириной до 200 м по среднему меженному уровню, включая прибрежные участки в границах производства подводно-технических работ - 1,10;

- реки и водохранилища шириной свыше 200 м, а также горные реки - 1,15.

13.8.2 Для определения интенсивности балластировки (вес на воздухе qnbal) при обеспечении устойчивости положения в частном случае укладки газопровода свободным изгибом и его равномерной по длине пригрузке следует использовать зависимость

                                                   (13.67)

где nbal - коэффициент запаса по нагрузке, принимаемый равным:

0,9 - для железобетонных грузов;

1,0 - для чугунных грузов;

qw - погонная выталкивающая сила воды, действующая на газопровод, МН/м;

qb - интенсивность нагрузки от упругого отпора при свободном изгибе, МН/м;

qpip - погонная нагрузка от веса трубы МН/м;

gtiq - погонная нагрузка от веса продукта, МН/м;

γbal - плотность материала балласта, кг/м3;

γw - плотность воды, принимаемая поданным изысканий, кг/м3.

13.8.3 При определении расчетной интенсивности нагрузки от упругого отпора при свободном изгибе следует учитывать знак кривизны оси изогнутого участка - выпуклость или вогнутость:

для выпуклых кривых:

                                                                                                           (13.68)

- вогнутых кривых:

                                                                                                          (13.69)

где E0 - модуль упругости материала трубы, МПа;

I - момент инерции сечения трубопровода на рассматриваемом участке, м4;

β - угол поворота оси газопровода, радиан;

ρ - радиус кривизны упругого изгиба, м.

13.8.4 Для случая применения обетонированнных труб при отсутствии нагрузки от упругого отпора при свободном изгибе толщину слоя обетонирования tс, м, вычисляют, используя следующую формулу:

                                                                                                  (13.70)

где Dc - диаметр наружный обетонированной трубы (с учетом толщины слоя обетонирования), м, и вычисляется по формуле

                                                                      (13.71)

где D - диаметр наружный трубы, м;

Di - диаметр внутренний трубы вычисляется по формуле

                                                                                                            (13.72)

где tnom - толщина стенки трубы номинальная, м;

γst; γc; γins; γw - плотности соответственно стали, бетона, материала изоляционного слоя, воды, кг/м3;

                                                                                                            (13.73)

где Dins - диаметр наружный трубы с учетом изоляционного слоя, м, вычисляется по формуле

                                                                                                           (13.74)

где tins - толщина изоляционного слоя, м;

knf - коэффициент запаса устойчивости положения газопровода, принимаемый по 13.8.1.

13.8.5 Вес фунта засыпки при расчете балластировки газопроводов на русловых участках переходов через реки и водохранилища не учитывается. При проверке общей устойчивости газопровода как сжатого стержня допускается учитывать вес фунта засыпки толщиной 1,0 м при обязательном соблюдении требований в части заглубления газопровода в дно не менее 1 м.

13.8.6 Расчетная несущая способность анкерного устройства Баnс, МН, вычисляется по формуле

                                                                                                     (13.75)

где z - количество анкеров в одном анкерном устройстве;

тanс - коэффициент, зависящий от количества анкеров в устройстве и относительного размера анкера, принимаемый равным:

 

                                           (13.76)

где Рanc - расчетная несущая способность анкера, МН, по грунту основания, вычисляемая по формуле

                                                                                                             (13.77)

где D - наружный диаметр газопровода, м;

Danc - максимальный линейный размер габарита проекции одного анкера на горизонтальную плоскость, м;

Фanc - несущая способность анкера, МН, определяемая расчетом или по результатам полевых испытаний;

kanc - коэффициент запаса по несущей способности анкера, принимаемый равным:

- 1,40 - если несущая способность анкера определена расчетом;

- 1,25 - если несущая способность анкера определена по результатам полевых испытаний статической нагрузкой.

13.9 Расчет надземных участков газопроводов

13.9.1 Надземные газопроводы могут представлять собой следующие конструкции:

- балочные;

- шпренгельные;

- арочные;

- висячие;

- вантовые;

- мостовые фермы.

13.9.2 Надземные (открытые) газопроводы следует проверять на прочность, общую устойчивость и выносливость (при колебаниях в ветровом потоке).

13.9.3 Надземные газопроводы должны проектироваться с учетом возможного пропуска по ним ВТУ, а также заполнения водой при гидравлических испытаниях.

13.9.4 Продольные усилия, изгибающие и крутящие моменты в надземных газопроводах различных систем прокладки (балочных, шпренгельных, вантовых, висячих, арочных и др.) следует определять в соответствии с общими правилами строительной механики. При этом трубопровод рассматривается как стержень (прямолинейный или криволинейный).

При наличии изгибающих моментов в вертикальной и горизонтальной плоскостях расчет следует производить по их равнодействующей. В расчетах необходимо учитывать геометрическую нелинейность системы.

13.9.5 При определении продольных усилий и изгибающих моментов в надземных газопроводах следует учитывать изменения расчетной схемы в зависимости от метода монтажа газопровода. Изгибающие моменты в бескомпенсаторных переходах газопроводов необходимо определять с учетом продольно-поперечного изгиба. Расчет надземных газопроводов должен производиться с учетом перемещений примыкающих подземных участков газопроводов.

13.9.6 Балочные системы надземных газопроводов должны рассчитываться с учетом трения на опорах, при этом принимается меньшее или большее из возможных значений коэффициента трения в зависимости от того, что опаснее для данного расчетного случая.

13.9.7 Газопроводы балочных, шпренгельных, арочных и висячих систем с воспринимаемым распором должны быть рассчитаны на общую устойчивость в плоскости наименьшей жесткости системы.

13.9.8 Расчетные величины продольных перемещений надземных участков газопровода следует определять от максимального повышения температуры стенок труб (положительного расчетного температурного перепада) и внутреннего давления (удлинение трубопровода), а также от наибольшего понижения температуры стенок труб (отрицательного температурного перепада) при отсутствии внутреннего давления в трубопроводе (укорочение трубопровода).

13.9.9 С целью уменьшения размеров компенсаторов рекомендуется применять предварительную их растяжку или сжатие, при этом на чертежах должны указываться величины растяжки или сжатия в зависимости от температуры воздуха, при которой производится сварка замыкающих стыков.

13.9.10 Оценку общей устойчивости надземных участков газопроводов следует выполнять в соответствии с правилами строительной механики для стержневых систем.

13.9.11 Пролет надземного балочного многопролетного участка газопровода должен удовлетворять условиям статической прочности и аэродинамической устойчивости (условию отсутствия резонансных колебаний газопровода в ветровом потоке).

13.9.12 Пролет надземного газопровода следует определять для стадии его эксплуатации. В случае гидростатических испытаний газопровода необходимо определить пролет для стадии испытаний или предусмотреть монтаж дополнительных временных опор на период испытаний.

13.9.13 Пролет надземного балочного многопролетного участка газопровода L должен приниматься как меньшее из двух значений пролета:

- из условия статической прочности Lsta;

- условия аэродинамической устойчивости Ldyn:

                                                                                                     (13.78)

13.9.14 Пролет из условия статической прочности должен приниматься как меньшее из двух значений пролета, определяемых для растянутой (L+sta) и сжатой (L-sta) зон поперечного сечения, в котором действует максимальный изгибающий момент

                                                                                               (13.79)

13.9.15 Значения пролетов из условия статической прочности для растянутой L+sta, м, и сжатой L-sta, м, зон вычисляют соответственно по формулам:

                                                                                 (13.80)

                                                                                 (13.81)

где [σ1+] - допускаемое продольное фибровое напряжение в растянутой зоне сечения трубопровода, МПа;

l-] - то же, в сжатой зоне, МПа;

σh - кольцевое напряжение от внутреннего давления, определяемое по формуле (13.7), МПа;

W - момент сопротивления сечения трубопровода, определяемый по формуле (13.15), м3;

qsta - погонный вес трубопровода в расчете на статические нагрузки и воздействия, МН/м.

13.9.16 Допускаемые продольные фибровые напряжения (продольные напряжения в крайних волокнах сечения трубопровода) в растянутой и сжатой зонах сечения трубопровода вычисляют по формулам:

                                                                                                       (13.82)

                                                                                                       (13.83)

где ψ - понижающий коэффициент, учитывающий сложное напряженное состояние в соответствии с теорией Мизеса и вычисляющийся по формуле

                                                                                     (13.84)

                                                                                                             (13.85)

где σy - нормативный предел текучести материала труб, МПа;

Feq - расчетный коэффициент для продольных и эквивалентных напряжений, принимаемый в соответствии с таблицей 12 равным 0,72 для стадии эксплуатации газопровода.

13.9.17 Погонная нагрузка на трубопровод в расчете на статические нагрузки и воздействия определяется как равнодействующая вертикальной qVsta, МН/м, и горизонтальной qHsta, МН/м, составляющих

                                                                                                     (13.86)

13.9.18 Вертикальная составляющая погонной нагрузки qVsta, МН/м, вычисляется как сумма погонных весов:

                                                                 (13.87)

где qwgt, qins, qt.p., qs.i., qgas - погонный вес трубы, изоляционного (противокоррозионного) покрытия, теплоизоляционного слоя, снега или обледенения, перекачиваемого газа, МН/м.

13.9.19 Формулы для определения нагрузок, входящих в выражения (13.86) и (13.87), приведены в главе 12.

13.9.20 Пролет из условий аэродинамической устойчивости Ldyn, м, вычисляют по формуле

                                                                                     (13.88)

где к - коэффициент учета числа пролетов (для много пролетной системы с числом пролетов более трех равен π);

δ - конструкционный декремент колебаний (может принимать значения примерно от 0,1 до 0,001);

Kδ - коэффициент запаса по декременту колебаний (> 1);

с - аэродинамический коэффициент (≈ 1,15);

ρ - плотность ветрового потока (≈ 1,25 кг/м3);

Dt.p. -диаметр газопровода с учетом слоев изоляционного покрытия и теплоизоляции, м, определяемый по формуле (13.70);

v0 - скорость ветра нормативная, м/с;

Е0I - изгибная жесткость сечения трубопровода, МН·м2, момент инерции I следует определять по формуле (13.16);

m - погонная масса газопровода, кг/м.

13.9.21 Значения конструкционного декремента колебаний δ и коэффициента Запаса по декременту колебаний Kδ следует определять на основании экспериментальных данных для конструктивных решений надземного газопровода, идентичных с проектируемым. При отсутствии экспериментальных данных эти значения рекомендуется принимать равными δ = 0;007, Kδ = 1,33.

13.9.22 Нормативную скорость ветра вычисляют по формуле

                                                                                                      (13.89)

где v0 - нормативная скорость ветра, м/с;

K - поправочный коэффициент, принимаемый равным K = 0,75, если ось трубопровода находится на высоте над поверхностью земли ≤ 5 м, и K = 1 при большей высоте;

w0 - нормативное значение ветрового давления, МПа, которое следует принимать по таблице 5 СНиП 2.01.07-85* [22] в зависимости от ветрового района;

ρ - плотность ветрового потока (≈ 1,25 кг/м3).

13.9.23 Погонную массу газопровода вычисляют для опорожненного газопровода по формуле

                                                                                       (13.90)

где qwgt, qins, qt.p. - погонный вес трубы, изоляционного (противокоррозионного) покрытия теплоизоляционного слоя, МН/м.

13.9.24 Расчет оснований, фундаментов и самих опор следует производить по потере несущей способности (прочности и устойчивости положения) или непригодности к нормальной эксплуатации, связанной с разрушением их элементов или недопустимо большими деформациями опор, опорных частей, элементов пролетных строений или газопровода.

13.9.25 Опоры (включая основания и фундаменты) и опорные части следует рассчитывать на передаваемые трубопроводом и вспомогательными конструкциями вертикальные и горизонтальные (продольные и поперечные) усилия и изгибающие моменты, определяемые от нагрузок и воздействий в наиболее невыгодных их сочетаниях с учетом возможных смещений опор и опорных частей в процессе эксплуатации.

При расчете опор следует учитывать глубину промерзания или оттаивания грунта, деформации грунта (пучение и просадка), а также возможные изменения свойств грунта (в пределах восприятия нагрузок) в зависимости от времени года, температурного режима, осушения или обводнения участков, прилегающих к трассе, и других условий.

13.9.26 Нагрузки на опоры, возникающие от воздействия ветра и от изменений длины трубопроводов под влиянием внутреннего давления и изменения температуры стенок труб, должны определяться в зависимости от принятой системы прокладки и компенсации продольных деформаций трубопроводов с учетом сопротивлений перемещениям трубопровода на опорах.

13.9.27 Нагрузки на неподвижные (мертвые) опоры надземных балочных систем газопроводов следует принимать равными сумме усилий, передающихся на опору от примыкающих участков газопровода, если эти усилия направлены в одну сторону, и разности усилий, если эти усилия направлены в разные стороны. В последнем случае меньшая из нагрузок принимается с коэффициентом, равным 0,8.

13.9.28 Продольно подвижные и свободно подвижные опоры балочных надземных систем газопроводов следует рассчитывать на совместное действие вертикальной нагрузки и горизонтальных сил или расчетных перемещений (при неподвижном закреплении трубопроводов к опоре, когда его перемещение происходит за счет изгиба стойки). При определении горизонтальных усилий на подвижные опоры необходимо принимать максимальное значение коэффициента трения.

В прямолинейных балочных системах без компенсации продольных деформаций необходимо учитывать возможное отклонение трубопровода от прямой. Возникающее в результате этого расчетное горизонтальное усилие от воздействия температуры и внутреннего давления, действующее на промежуточную опору перпендикулярно оси трубопровода, следует принимать равным 0,01 величины максимального эквивалентного продольного усилия в трубопроводе.

13.9.29 При расчете опор арочных систем, анкерных опор висячих и других систем следует производить расчет на возможность опрокидывания и сдвиг этих систем.

13.10 Проверка расчетом прочности и работоспособности газопроводов при сейсмических воздействиях

13.10.1 Общие требования

13.10.1.1 Участки газопроводов, прокладываемые в сейсмических районах, указанных в 9.4.1, должны быть проверены расчетом на прочность и работоспособность в соответствии с требованиями настоящего раздела и с учетом сейсмических воздействий согласно СНиП II-7-81* [23].

13.10.1.2 Сейсмическая опасность зоны прокладки газопровода предварительно оценивается по картам сейсмического районирования территории Российской Федерации ОСР-97 [24]. Интенсивность возможного землетрясения следует оценивать по международной сейсмической шкале MSK-64 [17]. Окончательная оценка сейсмической опасности зоны прокладки газопровода должна быть выполнена на основании сейсмического микрорайонирования зоны прокладки газопровода.

13.10.1.3 Участки подземных газопроводов, прокладываемые в сейсмических районах, делятся на две категории:

- участки повышенной сейсмической опасности - участки с сейсмичностью свыше 8 баллов до 9 баллов включительно;

- участки особой сейсмической опасности - участки с сейсмичностью свыше 9 баллов, а также участки пересечения активных тектонических разломов.

13.10.2 Участки повышенной сейсмической опасности

13.10.2.1 Для каждого элемента рассчитываемого подземного участка газопровода вычисляют продольные напряжения σN.sei, МПа, от действия сейсмических сил, направленных вдоль продольной оси трубопровода по формуле

                                                                           (13.91)

где m0 - коэффициент защемления трубопровода в грунте;

k0 - коэффициент, учитывающий ответственность трубопровода;

kn - коэффициент повторяемости землетрясения;

ас - сейсмическое ускорение, м/с2;

Е0 - модуль упругости материала труб, МПа;

Т0 - преобладающий период сейсмических колебаний грунтового массива, определяемый при изысканиях, с;

ср - скорость распространения в грунтовом массиве продольной сейсмической волны вдоль продольной оси трубопровода, м/с.

13.10.2.2 Коэффициент защемления трубопровода в грунте т0 следует определять на основании материалов изысканий. Для предварительных расчетов допускается принимать по таблице 13.

При выборе значения коэффициента т0 необходимо учитывать изменения состояния окружающего трубопровод грунта в процессе эксплуатации.

13.10.2.3 Скорость распространения в грунтовом массиве продольной сейсмической волны вдоль продольной оси трубопровода ср следует определять при изысканиях. На стадии разработки проекта допускается принимать согласно таблице 13.

13.10.2.4 Коэффициент k0, учитывающий степень ответственности газопровода, зависит от характеристики газопровода и определяется по таблице 14.

13.10.2.5 Повторяемость сейсмических воздействий следует принимать по картам сейсмического районирования территории согласно СНиП II-7-81* [23]. Значения коэффициентов повторяемости землетрясений kn следует принимать по таблице 15.

Таблица 13 - Характеристики грунтов при расчете газопроводов на сейсмические воздействия

Грунты

Скорость распространения продольной сейсмической волны сp, м/с

Коэффициент защемления трубопровода в грунте т0

Насыпные, рыхлые пески, супеси, суглинки и другие, кроме водонасыщенных

120

0,50

Песчаные маловлажные

150

0,50

Песчаные средней влажности

250

0,45

Песчаные водонасыщенные

350

0,45

Супеси и суглинки

300

0,60

Глинистые влажные, пластичные

500

0,35

Глинистые, полутвердые и твердые

2000

0,70

Лесс и лессовидные

400

0,50

Торф

100

0,20

Низкотемпературные мерзлые (песчаные, глинистые, насыпные)

2200

1,00

Высокотемпературные мерзлые (песчаные, глинистые, насыпные)

1500

1,00

Гравий, щебень и галечник

1100

См. примечание 2

Известняки, сланцы, песчаники (слабовыветренные, выветренные и сильно выветренные)

1500

 

Скальные породы (монолитные)

2200

Примечания - 1 В таблице приведены наименьшие значения ср, которые следует уточнять при изысканиях.

2 Значения коэффициентов защемления трубопровода следует принимать по грунту засыпки.

Таблица 14 - Значения коэффициента k0, учитывающего степень ответственности газопровода

Характеристика газопровода

Значение коэффициента k0

Газопроводы при рабочем давлении свыше 10,0 МПа

2,0

Газопроводы при рабочем давлении от 2,5 до 10,0 МПа включительно

Газопроводы независимо от величины рабочего давления, обеспечивающие

функционирование особо ответственных объектов

Переходы газопроводов через водные преграды с шириной по зеркалу в межень 25 м и более

1,5

Газопроводы при рабочем давлении от 1,2 до 2,5 МПа

1,2

Примечание - При сейсмичности площадки 9 баллов и выше коэффициент k0 для газопроводов, указанных в позициях 1 и 2, умножается дополнительно на коэффициент 1,5.

Таблица 15 - Значения коэффициента повторяемости землетрясений kn

Повторяемость землетрясений, один раз в...

100 лет

1000 лет

10000 лет

Коэффициент повторяемости kn

1,15

1,0

0,9

13.10.2.6 Сейсмическое ускорение ас следует определять по данным сейсмического районирования и микрорайонирования, получаемым на основании анализа записей сейсмометрических станций ранее имевших место землетрясений в районе строительства или в аналогичных по сейсмическим условиям местностях. Величины принимаемых максимальных расчетных ускорений по акселерограммам должны быть не менее указанных в таблице 16.

Таблица 16 - Значения сейсмического ускорения ас

Сила землетрясения, баллы

7

8

9

10

Сейсмическое ускорение ас, м/с2

1

2

4

8

13.10.2.7 Полученные продольные напряжения от действия сейсмических сил (13.91) в сумме с продольными осевыми напряжениями для НУЭ должны удовлетворять условию:

                                                                           (13.92)

где σN.sei - продольные осевые напряжения, вызванные сейсмическими воздействиями и определяемые по формуле (13.91), МПа;

v - коэффициент поперечной деформации материала труб (переменный);

Е - модуль деформации материала труб (переменный), МПа;

α - линейный коэффициент температурного расширения, °С-1;

ΔT - температурный перепад, °С.

13.10.3 Участки особой сейсмической опасности

13.10.3.1 Расчет с учетом сейсмических воздействий состоит из двух последовательных этапов. На первом этапе выполняется расчет и все проверки для состояния НУЭ в соответствии с требованиями разделов 13.3 и 13.5. В случае если рассчитываемый участок не удовлетворяет каким-либо требованиям для НУЭ, вводятся поправки в конструктивную схему участка газопровода или изменяются условия его нагружения.

13.10.3.2 Если рассчитываемый участок газопровода удовлетворяет всем критериям прочности и устойчивости для НУЭ, выполняется второй этап расчета - на сейсмические воздействия. Данный расчет должен выполняться на основе двухуровневого подхода, который характеризуется следующими требованиями:

- газопровод должен выдерживать воздействие так называемого ПЗ при минимальных повреждениях или полном отсутствии таковых. В этом случае трубопровод должен продолжать работать при минимальных перерывах в нормальной эксплуатации без необходимости в ремонтных работах значительного объема;

- газопровод должен выдерживать воздействие МРЗ без разрывов; в этом случае трубопроводу могут быть нанесены значительные повреждения, в результате которых будет прервана эксплуатация и для устранения которых потребуется провести ремонтные работы в одном или нескольких местах.

13.10.3.3 Полученные по формуле (13.91) осевые напряжения суммируются (поочередно с разными знаками) с наибольшими и наименьшими (в алгебраическом смысле) продольными напряжениями (13.12), полученными для каждого расчетного элемента участка газопровода на стадии НУЭ. Затем определяются соответствующие эквивалентные напряжения и далее (с учетом диаграммы деформирования материала труб) находятся продольные деформации в тех же точках сечений, в которых были определены наибольшие и наименьшие продольные напряжения.

13.10.3.4 Полученные в 13.10.3.3 значения продольных деформаций следует проверить на соответствие допускаемому уровню. При отсутствии других нормативных требований эти значения деформаций должны соответствовать критериям сейсмостойкого проектирования, регламентированным в рекомендуемом приложении Г.

13.10.3.5 Кроме проверок продольных деформаций также должны быть выполнены проверки других критериев сейсмостойкого проектирования участка газопровода в соответствии с приложением Г:

- разрыв газопровода;

- местная потеря устойчивости стенки газопровода;

- гофрообразование по телу трубы;

- образование трещин в кольцевых и продольных сварных швах, зонах термического влияния, по телу трубы;

- общая потеря устойчивости газопровода.

13.10.3.6 При проверке условия общей устойчивости участка газопровода при продольном изгибе в вертикальной плоскости (для проектного землетрясения) в соответствии с требованиями приложения Г необходимо учитывать нелинейное поведение материала трубы, недостатки геометрии профиля трубопровода в фактическом состоянии укладки и сопротивление засыпки над трубой вертикальному перемещению трубопровода вверх.

13.10.3.7 Расчет подземных и наземных (в насыпи) газопроводов на действие сейсмических нагрузок, направленных по нормали к продольной оси трубопровода, не производится.

13.10.3.8 Расчет надземных газопроводов на сейсмические воздействия следует производить согласно СНиП II-7-81* [23].

13.10.3.9 Расчет надземных газопроводов на опорах следует производить на действие сейсмических сил, направленных:

- вдоль оси трубопровода, при этом определяются величины напряжений в трубопроводе, а также производится проверка конструкций опор на действие горизонтальных сейсмических нагрузок;

- по нормали к продольной оси трубопровода (в вертикальной и горизонтальной плоскостях), при этом следует определять величины смешений трубопровода и достаточность длины ригелей, при которой не произойдет сброса трубопровода с опоры, дополнительные напряжения в трубопроводе, а также проверять конструкции опор на действие горизонтальных и вертикальных сейсмических нагрузок.

Дополнительно необходимо проводить поверочный расчет газопровода на нагрузки, возникающие при взаимном смещении опор.

14 Требования к испытаниям газопроводов внутренним давлением

14.1 Газопроводы должны испытываться на прочность в соответствии с проектом гидравлическим (водой, незамерзающими жидкостями, кроме солевых растворов) или пневматическим (воздухом) способом.

Гидравлические испытания газопроводов повышенным давлением (методом стресс-теста) следует производить по согласованию с ОАО «Газпром».

Применение природного газа для испытания магистральных газопроводов допускается только в исключительных случаях по согласованию генподрядчика с ОАО «Газпром».

14.2 В проектах следует предусматривать технические решения, обеспечивающие очистку в соответствии с ВСН-011-88 [25] и СП 111-34-96 [26], калибровку, испытание, удаление воды, осушку и заполнение инертным газом (азотом) полости газопроводов после строительства, реконструкции, включая:

- полный цикл технологических процедур по испытаниям, очистке, удалению воды, осушке и заполнению газопроводов инертным газом (азотом);

- штатные узлы для подключения внешнего оборудования к газопроводам (опрессовочные агрегаты, установки осушки, временные камеры приема-пуска, временные технологические трубопроводы);

- водосборные продувочные линии на перемычках между действующими и строящимися газопроводами и в нижних точках профиля трубопроводов технологических обвязок производственных объектов (КС, ГРС, УКПГ, ГИС, СОГ, СПХГ);

- конструкции монтажных узлов и перемычек должны обеспечивать возможность удаления жидкости после гидравлических испытаний.

14.3 Испытание газопроводов на прочность и проверку на герметичность следует производить после полной готовности участка или всего трубопровода (полной засыпки, очистки полости, установки арматуры и приборов, катодных выводов и представления исполнительной документации на испытываемый объект).

14.4 При проведении калибровки обнаруженные нарушения исходной геометрии газопровода должны быть устранены до проведения испытаний.

14.5 Типы, этапы и параметры испытаний газопроводов на прочность (кроме испытаний методом стресс-теста) должны соответствовать требованиям, приведенным в таблице 17 в зависимости от характеристик участков газопроводов.

14.6 Для отдельных участков газопроводов, в зависимости от их ответственности, предусматриваются испытания в три и два этапа.

14.7 Обязательное применение гидравлического способа предусматривается только для испытаний:

- трубопроводов внутри зданий и в пределах территорий КС, ГРС, ГИС, ПРГ, СОГ, СПХГ, трубопроводов узлов подключения к КС, совмещенных с камерами пуска-приема ВТУ и расположенных непосредственно возле границ КС, ГРС, ГИС, СОГ, СПХГ, а также трубопроводов топливного и пускового газа;

- первого этапа отдельных участков газопровода, которые должны проходить в три этапа.

14.8 Второй этап при испытании в три этапа и первый этап при испытании в два этапа могут проводиться как гидравлическим, так и пневматическим способом. При этом оба способа считаются равноценными при условии выполнения требований таблицы 17.

14.9 Третий этап при испытании в три этапа и второй этап при испытании в два этапа проводится одновременно с испытанием газопровода.

14.10 Протяженность испытываемых участков не ограничивается, за исключением случаев гидравлического испытания, когда протяженность участков назначается с учетом гидростатического давления.

14.11 Проверку на герметичность участка или газопровода в целом следует выполнять после испытания на прочность и снижения испытательного давления до рабочего р. Продолжительность проверки на герметичность должна быть достаточной для осмотра трассы, но составлять не менее 12 ч.

14.12 Газопровод считается выдержавшим испытание на прочность и проверку на герметичность, если за время испытания газопровода на прочность труба не разрушилась, а при проверке на герметичность давление осталось неизменным, и не были обнаружены утечки. В течение проверки на герметичность должны быть учтены колебания давления, вызванные изменением температуры.

Таблица 17 - Требования к испытаниям на прочность участков газопроводов

Тип испытания, характеристика этапов испытания

Давление испытательное в верхней точке

Продолжит., ч

Кат. учас­тка

Характеристика участка

способ испытаний

способ испытаний

гидравл.

пневмат.

гидравл.

пневмат.

1 Испытание в один этап гидравлическим способом

После укладки и засыпки или крепления на опорах (при технической возможности с подключенными агрегатами и аппаратами)

1,25р

Не приме­няется

24

-

В

Трубопроводы внутри зданий и в пределах территории КС, ПРГ, ГРС, ГИС, СОГ, СПХГ, трубопроводы узлов подключения к КС, располагаемые на территории КС, а также трубопроводы топливного и пускового газа

2 Испытание в три этапа

 

 

 

 

B, С

 

1-й этап:

- для подводных переходов: после сварки на стапеле или на площадке, но до изоляции;

1,5р

Не приме­няется

6

-

 

Переходы через водные преграды шириной зеркала воды в межень более 10 и, укладываемые с помощью подводно-технических средств или ГНБ, и прилегающие прибрежные

- для переходов через железные и автомобильные дороги: после укладки на проектные отметки

 

 

 

 

В

Участки переходов через железные и автомобильные дороги

2-й этап:

- для подводных переходов: после укладки, но до засыпки;

- для переходов через железные и автомобильные дороги: одновременно с примыкающими участками категории С, указанными в позиции 3 таблицы 1

1,25р

1,25р

12

12

 

 

3-й этап:

одновременно с газопроводом

1,1p

1,1p

24

12

 

 

3 Испытание в два этапа

 

 

 

 

В

Участки газопровода (в обе стороны) на пересечениях с воздушными линиями электропередач напряжением 500 кВ и более в пределах расстояний R, указанных в 6.3

1-й этап: после укладки и засыпки или крепления на опорах

1,5p

1,25р

12

12

 

в

Участки газопроводов в зонах активных тектонических разломов и прилегающие участки на расстоянии 100 м от грани разлома

2-й этап: одновременно с газопроводом

1,1p

1,1p

24

12

В, С

Участки сближения согласно 7.2.1.5

 

 

 

 

 

С

Участки переходов через подъездные железные дороги промышленных предприятий

 

 

 

 

 

С

Переходы через водные преграды шириной зеркала воды в межень более 10 м, укладываемые без помощи подводно-технических средств, и прилегающие прибрежные участки длиной не менее 25 м каждый

 

 

 

 

 

В, С

Надземные переходы через водные преграды согласно позиции I таблицы 2 (предварительный этап только гидравлическим способом)

 

 

 

 

 

с

Газопроводы в горной местности при укладке в тоннелях

 

 

 

 

 

с

Пересечения с подземными коммуникациями (канализационными коллекторами, водоводами, нефтепроводами, нефтепродуктопроводами, газопроводами, силовыми кабелями, кабелями связи и т.п.) на длине 100 м в каждую сторону от пересекаемой коммуникации (предварительный этап только гидравлическим способом)

 

 

 

 

 

с

Участки газопровода между территорией КС, ГРС, УКПГ и охранными кранами, а также участки за охранными кранами на длине R, указанной в 6.3

 

 

 

 

 

с

Участки газопровода на расстоянии R от территории ГИС, указанном в 6.3

 

 

 

 

 

с

Участки газопровода на длине R, указанной в 6.3, от линейной запорной арматуры

 

 

 

 

 

С

Узлы пуска-приема ВТУ и узлы подключения КС, располагаемые вне КС, а также примыкающие к ним участки газопровода длиной R, указанной в 6.3

4 Испытание в один этап одновременно с газопроводом

1,1p

1,1p

24

12

С, Н

Участки газопровода, кроме указанных выше

Примечания

1 р - рабочее давление, устанавливаемое проектом.

2 На всех этапах испытаний, в любой точке испытываемого участка газопровода испытательное давление на прочность не должно превышать наименьшего из гарантированных заводами испытательных давлений на трубы, арматуру, фитинги, узлы и оборудование, установленные на испытываемом участке.

3 Временные трубопроводы для подключения опрессовочных агрегатов и компрессоров должны быть предварительно подвергнуты гидравлическому испытанию на давление, составляющее 125 % от испытательного давления испытываемых газопроводов.

4 Напряжения в надземных участках газопровода при воздействии испытательного давления должны быть проверены расчетом и соответствовать требованиям 13.3.9.

5 Давление испытания должно быть указано в проекте испытаний.

6 Переходы через водные преграды глубиной менее 1,5 м допускается испытывать в один этап одновременно с газопроводом.

7 Участки категории С, приведенные в позиции 4, могут по усмотрению проектной организации (в зависимости от конкретных условий) подвергаться испытаниям в два этапа, что должно быть отражено в проекте.

8 Второй этап испытаний в три этапа и первый этап испытаний в два этапа допускается проводить пневматическим способом для газопроводов с рабочим давлением до 11,8 МПа (120 кгс/см2) включительно.

9 Участок газопровода категории С, включающий отдельные участки, подлежащие испытаниям в два этапа, допускается испытывать в один этап на давление, соответствующее давлению испытаний первого этапа, с продолжительностью испытаний 12 часов. Такой способ испытания в один этап отражают в проекте.

14.13 После завершения проверки на герметичность при гидравлическом способе испытаний из газопровода должна быть удалена вода, после чего газопровод должен быть осушен до температуры точки росы (минус 20 °С) или глубже.

14.14 Газопровод, не введенный в эксплуатацию в течение шести месяцев после его испытания, подлежит повторному испытанию на прочность и проверке на герметичность.

14.15 При разрыве, обнаружении утечек участок газопровода подлежит ремонту и повторному испытанию на прочность и проверке на герметичность.

15 Материалы и изделия

15.1 Трубы и соединительные детали трубопроводов

15.1.1 Трубы и соединительные детали трубопроводов (СДТ), применяемые при строительстве магистральных газопроводов для транспортировки газа, не оказывающего коррозионного воздействия на металл труб и СДТ, должны отвечать требованиям технических условий, национальных и международных стандартов, применение которых на объектах ОАО «Газпром» согласовано в установленном порядке.

15.1.2 Заводы - изготовители труб и СДТ обязаны поставлять трубы и СДТ в соответствии с техническими условиями, согласованными в установленном порядке на основании результатов квалификационных испытаний на соответствие требованиям ОАО «Газпром».

15.1.3 Для строительства газопроводов должны применяться:

- трубы стальные бесшовные;

- трубы электросварные прямошовные с одним продольным швом или спирально-шовные, сваренные двусторонней дуговой сваркой под флюсом по сплошному технологическому шву, условным диаметром до 1400 мм включительно;

- трубы электросварные прямошовные, сваренные токами высокой частоты.

Примечание - Допускается для МГ условным диаметром от 1000 до 1400 мм включительно применение электросварных прямошовных двухшовных труб, сваренных двусторонней дуговой сваркой под флюсом.

15.1.4 Трубы бесшовные должны изготавливаться из непрерывнолитой, кованой или катаной заготовки углеродистых и низколегированных спокойных сталей и подвергаться 100 %-ному контролю неразрушающими методами.

15.1.5 Трубы электросварные должны изготавливаться из листового или рулонного проката углеродистых и низколегированных спокойных сталей.

15.1.6 Трубы электросварные, сваренные токами высокой частоты, подвергаются объемной или локальной термической обработке сварного соединения.

15.1.7 Толщина стенки труб и соединительных деталей определяется в разделе 13.2.

15.1.8 Отклонение от номинальных размеров наружных диаметров труб не должно превышать:

- для электросварных труб по телу трубы - 3,0 мм, на торцах на длине не менее 200 мм - 1,6 мм. Разница наружных диаметров торцов трубы не должна превышать 2,4 мм;

- бесшовных труб на торцах, на длине не менее 200 мм для труб условным диаметром до 200 мм - 0,8 %, а свыше 200 мм - 1 % номинального наружного диаметра.

15.1.9 Овальность концов труб (отношение разности между наибольшим и наименьшим диаметром в одном сечении к номинальному диаметру) не должна превышать 1 % для труб с толщиной стенки до 20 мм и 0,8 % для труб с толщиной стенки 20 мм и более.

15.1.10 Кривизна труб не должна превышать 1,5 мм на 1 м длины, а общая кривизна - не более 0,2 % длины трубы.

15.1.11 Минусовый допуск на толщину стенки (определяемый от номинальной толщины стенки) составляет для труб:

- электросварных, изготовленных из листового или рулонного проката, - не более 5 %;

- бесшовных труб - не более 12,5 %.

15.1.12 Длина труб должна быть в пределах 10,5-12,4 мили 16,5-18,3 м. Максимальная длина труб указывается в заказе. Допускается поставка двухтрубных секций.

15.1.13 Концы труб должны быть обрезаны под прямым углом и иметь разделку кромок под сварку Форма разделки кромок определяется техническими условиями, утвержденными в установленном порядке.

Косина реза торцов труб не должна превышать 1,6 мм.

15.1.14 Для магистральных газопроводов применяются трубы и СДТ классов прочности К42-К65 (таблица 18). Свойства труб класса прочности свыше К65 устанавливаются специальными техническими требованиями к трубам.

15.1.15 Временное сопротивление сварных соединений труб электросварных и СДТ должно быть не ниже норм, установленных для основного металла.

15.1.16 Требование к эквиваленту углерода определяется характеристиками CEHW и СЕРсm по формулам:

                                                                           (15.1)

                                                         (15.2)

где С, Mn, Cr, Mo, V, Ni, Cu, Si, В - массовые доли, %, углерода, марганца, хрома, молибдена, ванадия, никеля, меди, кремния, бора в основном металле труб и СДТ. Эквивалент углерода СЕРсm определяется при содержании углерода в основном металле не более 0,12 %.

Таблица 18 - Механические свойства основного металла труб и СДТ

Класс прочности труб

Временное сопротивление, не менее, МПа

Предел текучести, не менее, МПа

Отношение предела текучести к временному сопротивлению, не более

Относительное удлинение, 85, %, не менее

К65 (L555)

640 (625)

555

0,92

18,0

К60 (L485)

590 (570)

485

0,90

20,0

К56 (L450)

550 (535)

450

0,90

20,0

К54 (L415)

530 (520)

415

- 0,90

20,0

К52 (L390)

510(490)

390

0,90

20,0

К50 (L360)

490 (460)

360

0,90

20,0

К48 (L290)

470 (415)

290

0,85

21,0

К42 (L245)

415(415)

245

0,85

21,0

Примечания

1 Допускается снижение временного сопротивления основного металла электросварных труб, изготовленных из листа (рулона) после контролируемой прокатки (контролируемой прокатки с ускоренным охлаждением), в продольном направлении на 5 %, а для труб класса прочности К65 также допускается снижение предела текучести в продольном направлении до 10 % от их нормативных значений. Величина снижения уточняется в технических требованиях и технических условиях на трубы.

2 Допускается применение труб и СДТ с иными нормативными значениями временного сопротивления и предела текучести. Нормативные значения временного сопротивления и предела текучести устанавливаются в технических условиях, применение которых на объектах ОАО «Газпром» согласовано в установленном порядке.

3 В скобках представлены соответствующие обозначения классов труб (столбец 1) и нормативные значения временного сопротивления (столбец 2), предусмотренные международным стандартом ISO 3183 [27].

Если содержание бора меньше 0,0005 %, то в расчете по формуле (15.2) бор не учитывается.

Нормативные (максимальные) значения эквивалента углерода указываются в технических условиях, национальных и международных стандартах, применение которых на объектах ОАО «Газпром» согласовано в установленном порядке, и не должны превышать значений, приведенных в таблице 19.

Для труб класса прочности К65 и выше и СДТ в технических условиях после квалификационных испытаний могут быть установлены другие требования по величине эквивалента углерода.

15.1.17 Трубы и СДТ изготавливают в двух климатических исполнениях в соответствии с ГОСТ 15150:

- У - для макроклиматических районов с умеренным климатом;

- УХЛ - для макроклиматических районов с умеренным и холодным климатом. Минимальная температура стенки газопровода при эксплуатации не должна быть ниже

для труб и СДТ исполнения:

- У - минус 5 °С;

- УХЛ - минус 20 °С.

Таблица 19 - Требования к эквиваленту углерода основного металла труб и СДТ

Класс прочности труб

CEHW не более

СЕРсm, не более

К65

0,45

0,23

К60

0,43 для труб

0,45 для СДТ

0,23

К56

0,43

0,23

К54

0,43

0,21

К52

0,43

0,21

К50

0,41

0,21

К48

0,41

0,21

К42

0,41

0,21

Минимальная температура строительства для труб и СДТ исполнения:

- У - минус 40 °С;

- УХЛ - минус 60 °С.

Границы макроклиматических районов с холодным климатом на территории Российской Федерации следует принимать в соответствии с приложением 2 и картой (приложение 6) ГОСТ 15150.

В проектных решениях при соответствующем обосновании могут быть установлены значения минимальной температуры стенки трубопровода при эксплуатации ниже минус 20 °С, в том числе для газопроводов надземной прокладки. В этом случае трубы и СДТ изготавливаются в специальном исполнении.

15.1.18 Для обеспечения стойкости металла труб и СДТ с толщиной стенки свыше 6 мм к зарождению и развитию трещин в технических условиях должны предъявляться требования к ударной вязкости. При этом температура испытания должна быть не выше указанной в таблице 20, а величина ударной вязкости должна быть не менее значений, приведенных в таблице 21.

15.1.19 Для предотвращения протяженных вязких разрушений устанавливаются требования по ударной вязкости KCV и количеству вязкой составляющей в изломе образца ИПГ основного металла труб.

Нормативная температура испытаний при этом устанавливается не выше минимальной температуры стенки газопровода при эксплуатации и должна составлять не выше:

- минус 5 °С для климатического исполнения У;

- минус 20 °С для климатического исполнения УХЛ.

15.1.20 Требования по ударной вязкости и количеству вязкой составляющей в изломе образца ИПГ основного металла устанавливаются в технических требованиях и технических условиях на трубы с учетом условий эксплуатации газопровода. Минимальные требования по ударной вязкости КСУ и количеству вязкой составляющей в изломе образца ИПГ для труб класса прочности до К60 включительно на рабочее давление до 9,8 МПа включительно при подземной прокладке газопровода приведены в таблице 22.

Таблица 20 - Температура испытаний на ударный изгиб при определении ударной вязкости KCV и КСU для обеспечения стойкости к зарождению и развитию трещин

Климатическое исполнение

Нормативная температура испытаний, не выше, °С

труб

СДТ

У

-20 (KCV)

-5 (KCV)

-40 (KCU)

УХЛ

-40 (KCV)

-20 (KCV)

-60 (KCU)

Примечание - Требования по температуре испытаний устанавливаются в технических требованиях, технических условиях с учетом условий эксплуатации газопровода и результатов квалификационных испытаний.

Таблица 21 - Требования к ударной вязкости KCV и KCU металла труб и СДТ для обеспечения стойкости к зарождению и развитию трещин

Класс прочности

Ударная вязкость основного металла, не менее, Дж/см2

Ударная вязкость сварного соединения, не менее, Дж/см2

трубы (KCV)

СДТ

трубы (KCV)

СДТ

К65

70

50 (KCV)

59 (KCU)

60

49 (KCV)

49 (KCU)

К60

55

50 (KCV)

50 (KCU)

50

49 (KCV)

49 (KCU)

К56

50

50 (KCV)

50 (KCU)

35

35 (KCV)

35 (KCU)

К50-К54

45

45 (KCV)

45 (KCU)

35

35 (KCV)

35 (KCU)

К42-К48

35

35 (KCV)

35 (KCU)

35

35 (KCV)

35 (KCU)

Примечание - Требования к ударной вязкости устанавливаются в технических требованиях, технических условиях с учетом условий эксплуатации газопровода и результатов квалификационных испытаний. Эти требования могут быть установлены более жесткими по сравнению с требованиями таблицы 21.

15.1.21 ИПГ проводятся на образцах толщиной не более 19 мм. В случае когда ИПГ полнотолщинных образцов с толщиной стенки более 19 мм не удовлетворяют требованиям таблицы 22, допускается ИПГ образцов толщиной 19 мм с симметрично отфрезерованными сторонами с соответствующим понижением температуры испытания.

15.1.22 Для труб подземных газопроводов класса прочности К60 при рабочем давлении свыше 9,8 МПа, для труб подземных трубопроводов класса прочности свыше К60, а также для МГ надземной прокладки требования по ударной вязкости KCV, количеству вязкой составляющей в изломе образца ИПГ, температуре испытаний должны определяться в технических требованиях, технических условиях на трубы после проведения исследовательских квалификационных испытаний по методикам, утвержденным ОАО «Газпром» в установленном порядке.

Таблица 22 - Требования к ударной вязкости KCV и доле вязкой составляющей в изломе образцов ИПГ основного металла труб

Условный диаметр труб, мм (класс прочности)

Ударная вязкость основного металла труб, не менее, Дж/см2

Количество вязкой составляющей в изломе образцов ИПГ основного металла труб, не менее, %

1400 (К60)

100

85

1200 (К56)

90

85

1000 (К52)

60

85

700 (К50)

50

85

500 (К42)

50

85

Примечание - Для труб с промежуточными значениями условного диаметра принимаются требования для труб с ближайшим большим значением условного диаметра из приведенных в таблице 22.

15.1.23 Пластическая деформация металла при экспандировании электросварных труб не должна превышать 1,2 % (для труб класса прочности до К60 включительно). Данное требование, в том числе для труб класса прочности свыше К60, может уточняться в технических требованиях и технических условиях на трубы.

15.1.24 Каждая труба должна проходить на заводе-изготовителе испытание гидростатическим давлением. Испытательное давление Pt МПа, без учета осевого подпора вычисляют по формуле

                                                                                                                 (15.3)

где tn - номинальная толщина стенки трубы, мм;

Н - допускаемое напряжение в стенке трубы при испытании, МПа;

D - диаметр трубы наружный, мм.

В случае если в нормативных документах на применение и изготовление труб отсутствуют другие указания по величине допускаемого напряжения при испытании труб, величина R должна быть принята равной не менее 90 % нормативного предела текучести металла трубы.

15.1.25 Для газопроводов должны применяться следующие соединительные детали:

- тройники штампованные;

- тройники штампосварные;

- тройники сварные (без усиливающих элементов);

- отводы крутоизогнутые штампованные или штампосварные;

- отводы горячегнутые, изготовленные гибкой труб с использованием индукционного нагрева;

- отводы холодногнутые и вставки кривые;

- переходы, концентрические и эксцентрические штампованные из труб или штампосварные из листового проката;

- днища (заглушки) штампованные эллиптические;

- кольца переходные.

15.1.26 Технические условия на все СДТ разрабатываются с учетом технических требований, утвержденных в ОАО «Газпром» в установленном порядке.

15.1.27 Толщина стенки СДТ определяется в разделе 13.2 и приложениях А и Б.

15.1.28 Строительные размеры и допуски на СДТ указываются в технических условиях заводов-изготовителей.

15.1.29 Толщины стенок переходов концентрических-с углом наклона до 12° определяются в соответствии с требованиями раздела 13.2. Толщины стенок переходов концентрических с углом наклона 12° и более, переходов эксцентрических должны соответствовать требованиям технической документации, разработанной в установленном порядке.

15.1.30 Для обеспечения требуемых механических и вязкопластических свойств СДТ (кроме отводов гнутых, изготовленных способом индукционного нагрева, отводов холодногнутых и колец переходных) должны подвергаться термообработке.

15.1.31 Предел текучести основного металла СДТ может отличаться от значений таблицы 18 и устанавливаться техническими условиями завода-изготовителя.

15.1.32 СДТ и присоединяемые трубы соединяются между собой кольцевыми стыковыми сварными соединениями.

15.1.33 Свариваемые кромки соединительной детали должны быть механически обработаны на за воде-изготовителе и соответствовать толщине стенки присоединяемой трубы. Формы свариваемых кромок соединительных деталей должны указываться в соответствующих технических требованиях и технических условиях.

15.1.34 Толщина свариваемой кромки соединительной детали должна удовлетворять условиям (13.1) - (13.5), в которых используются присоединяемый диаметр и нормативные свойства материала детали.

15.1.35 Классы прочности присоединяемых труб и СДТ не должны отличаться по временному сопротивлению более чем на 130 МПа.

15.1.36 В тех случаях, когда основной металл соединяемых трубы и детали имеет разные значения временного сопротивления, для обеспечения равнопрочности монтажных соединений необходимо соблюдать условие:

                                                                                                    (15.4)

где tfit, tp - толщина кромки стенки соединительной детали и толщина стенки присоединяемой трубы соответственно, мм;

σu_fit, σu - нормативный предел прочности (временное сопротивление) соединительной детали и присоединяемой трубы соответственно, МПа.

15.1.37 При толщинах стенок присоединяемых концов детали и трубы, отличающихся более чем в 1,5 раза, необходимо предусматривать переходные кольца. Переходные кольца должны привариваться на заводе-изготовителе или в трассовых условиях.

15.1.38 Соединительные детали (кроме гнутых отводов радиусом 5Ду и выше) должны испытываться на заводе гидравлическим давлением не ниже 1,3 рабочего давления для деталей, монтируемых участках категорий Н и С, и не ниже 1,5 рабочего давления - для деталей участков категории В.

15.1.39 При разности классов прочности СДТ и присоединяемых труб более чем в 80 МПа должна выполняться термообработка сварного соединения.

15.2 Сварные соединения и сварочные материалы при строительстве

15.2.1 Сварка при строительстве магистральных газопроводов должна выполняться в соответствии с требованиями нормативных документов ОАО «Газпром».

15.2.2 Сварку труб протяженных участков газопровода рекомендуется выполнять преимущественно автоматическими, механизированными способами. Ручную дуговую сварку рекомендуется применять в случаях технической невозможности применения автоматических и механизированных способов сварки, при выполнении специальных сварных соединений и ремонте.

15.2.3 Применение автоматических, механизированных, ручных способов сварки и их комбинаций должно устанавливаться нормативными документами ОАО «Газпром», регламентирующими технологии сварки газопроводов.

15.2.4 Требования к механическим испытаниям и свойствам сварных соединений газопроводов должны устанавливаться нормативными документами ОАО «Газпром», регламентирующими технологии сварки и контроль качества сварных соединений газопроводов.

15.2.4 Механические свойства* кольцевых стыковых сварных соединений газопроводов, при отсутствии специальных требований, должны соответствовать следующим требованиям при испытаниях:

- на статическое растяжение плоских образцов по ГОСТ 6996 временное сопротивление разрыву должно быть не ниже нормативного значения временного сопротивления разрыву основного металла в продольном направлении;

____________

* Требования к механическим свойствам сварных соединений труб с классом прочности свыше К65 устанавливаются в специальных технических условиях

- статический изгиб образцов сварных соединений с классом прочности основного металла до К60 включительно по ГОСТ 6996 среднее арифметическое значение угла изгиба должно быть не менее 120°, при этом минимальное значение угла изгиба должно быть не менее 100°, с классом прочности основного металла К65 угол изгиба должен быть 180°;

- ударный изгиб образцов Шарпи по ГОСТ 6996 среднее арифметическое значение ударной вязкости металла шва и ЗТВ определяется при температуре не выше минус 20 °С и не ниже минус 40 °С и должно быть не менее:

- 50 Дж/см2 для электросварных труб на рабочее давление среды от 8,3 до 11,8 МПа с классом прочности основного металла до К65 включительно наружным диаметром от 1020 до 1420 мм, при этом минимальное значение для одного образца - 37,5 Дж/см2;

- 34,4 Дж/см2 для электросварных труб на рабочее давление среды от 1,2 до 8,3 МПа, изготовленных с применением дуговых способов сварки, с классом прочности основного металла до К60 включительно наружным диаметром до 1420 мм включительно, при этом минимальное значение для одного образца - 29,4 Дж/см2;

- значений, установленных требованиями ГОСТ, ТУ к основному металлу для бесшовных и электросварных труб, сваренных токами высокой частоты, но не менее 24,5 Дж/см2 (минимальное значение для одного образца 19,6 ж/см2), при этом если требования к ударной вязкости основного металла труб выше 50 Дж/см2, то среднее арифметическое значение ударной вязкости металла шва и ЗТВ должно быть не менее 34,4 Дж/см2 (минимальное значение для одного образца 29,4 Дж/см2);

- измерении твердости образцов по ГОСТ 2999 твердость металла шва и ЗТВ (HV10) не должна превышать значений, приведенных в таблице 23.

15.2.6 Механические свойства угловых и нахлесточных сварных соединений газопроводов при отсутствии специальных требований должны соответствовать следующим требованиям: а) отсутствие недопустимых внутренних дефектов при испытаниях на ударный излом;

Таблица 23 - Максимально допустимые значения твердости (HV10) металла шва и ЗТВ сварных соединений

Место определения

Твердость (HV10)

до К55 включительно

свыше К55 до К60 включительно

свыше К60 до К65 включительно

Металл шва

≤ 280

≤ 280

≤ 300 (≤ 325*)

ЗТВ

≤ 300

≤ 325

≤ 325 (≤ 350**) .

* Для сварных соединений, выполненных ручной дуговой сваркой, включая специальные сварные соединения и участки сварных соединений, отремонтированных ручной дуговой сваркой.

**Для облицовочного слоя шва и участков корневого слоя шва, выполненных с подваркой.

б) твердость металла шва и ЗТВ должна соответствовать требованиям, предъявляемым для стыковых сварных соединений.

15.2.7 Все сварные соединения магистральных газопроводов должны быть проконтролированы визуальным, измерительным и неразрушающими физическими методами.

15.2.8 Объемы, методы, нормы оценки и уровни качества сварных соединений должны устанавливаться нормативными документами ОАО «Газпром», регламентирующими контроль качества сварных соединений газопроводов, в зависимости от категорий участков магистрального газопровода: Н - Нормальная, С - Средняя, В - Высокая.

15.2.9 Для сварки магистральных газопроводов могут применяться:

проволоки сплошного сечения, порошковые проволоки, самозащитные порошковые проволоки для автоматической и механизированной сварки;

флюсы для автоматической сварки;

защитные газы и их смеси для автоматической, механизированной и ручной сварки;

покрытые электроды для ручной сварки.

15.2.10 Сварочные материалы (проволоки, флюсы, защитные газы и их смеси) должны изготавливаться в соответствии с требованиями ГОСТ, ТУ и иметь разрешительные документы на их применение.

15.2.11 Классификация сварочных материалов приведена в приложении Д.

15.3 Изделия для балластировки и закрепления магистральных газопроводов на проектных отметках

15.3.1 Для закрепления (балластировки) газопроводов, прокладываемых через водные преграды, на заболоченных и обводненных участках должны предусматриваться сплошные утяжеляющие покрытия, утяжеляющие навесные и кольцевые одиночные грузы, балластирующие устройства с использованием грунта. В особо сложных условиях Западной Сибири и Крайнего Севера при соответствующем обосновании для балластировки подводных переходов газопроводов диаметром 1020 мм и более в русловой части, а также в болотах допускается применять чугунные кольцевые грузы.

15.3.2 Анкерные устройства для закрепления магистральных газопроводов на проектных отметках следует использовать в проектах с надлежащей осторожностью, поскольку удерживающая способность анкерных устройств определяется физико-механическими свойствами грунтов, в которые погружены анкерные устройства. Применение вмораживаемых анкерных устройств допускается на ограниченное время до обеспечения требуемых параметров охлаждения транспортируемого газа.

15.3.3 Все изделия, применяемые для закрепления газопроводов, должны обладать химической и механической стойкостью по отношению к воздействиям среды, в которой они устанавливаются.

15.3.4 Навесные утяжеляющие одиночные грузы должны изготавливаться в виде изделий из бетона, особо тяжелых бетона и железобетона и других материалов с плотностью не менее 2200 кг/м3 (для особо тяжелых бетонов не менее 2900 кг/м3).

Каждый груз подлежит маркировке масляной краской с указанием массы и объема груза, а грузы, предназначенные для укладки в агрессивную среду, маркируются дополнительным индексом.

Примечание - Агрессивность среды и требования к защите бетонных грузов и сплошного обетонирования трубы определяются в соответствии с требованиями СНиП 2.03.11-85 [28].

15.3.5 Шаг утяжеляющих бетонных грузов и грунтонаполняемых балластирующих устройств (полимерноконтейнерных с каркасом и без него) устанавливается проектом.

15.3.6 Кольцевые одиночные утяжеляющие грузы должны изготавливаться из чугуна (с учетом требований 15.3.1), железобетона или других материалов в виде двух половин с плотностью согласно 15.3.3.

Каждый полугруз подлежит маркировке масляной краской с указанием массы и наружного диаметра газопровода, для которого предназначен этот груз.

15.3.7 Анкерные устройства изготавливаются из чугуна или стали, обеспечивающих механическую прочность и возможность соединения их между собой.

15.3.8 Допускается балластировка газопроводов комбинированными методами, включающими закрепление газопроводов грунтом в сочетании с утяжеляющими одиночными грузами, сплошным обетонированием, а также с геотекстильными материалами.

15.4 Теплоизоляционные покрытия

15.4.1 Материал и толщина теплоизоляционного покрытия должны назначаться на основе теплотехнических расчетов из условий обеспечения необходимой температуры транспортирования газа. Проектирование тепловой изоляции газопроводов должно соответствовать основным требованиям СП 41-103-2000 [29].

15.4.2 Теплоизоляционное покрытие газопровода, транспортирующего газ при отрицательных температурах и укладываемого в траншею в пучинистых грунтах, должно быть рассчитано исходя из условия недопущения промерзания окружающего талого грунта вблизи газопровода.

15.4.3 В качестве теплоизоляционного покрытия рекомендуется применять материалы, обладающие при низкой плотности и малой теплопроводности высокой прочностью на сжатие, что позволяет устанавливать покрытие под кольцевые утяжелители без дополнительного усиления. Диапазон рабочих температур указанных материалов составляет от минус 50 °С до 75 °С.

15.4.4 Материалы на основе экструдированного пенополистирола имеют низкое водопоглощение, устойчивы к многократным циклам промерзания/оттаивания. Материалы могут выпускаться в виде плит, а также кольцевых сегментов заданной толщины.

15.5 Внутренние гладкостные покрытия труб

15.5.1 Внутреннее гладкостное покрытие предназначено для снижения гидравлического сопротивления газопроводов, а также для защиты внутренней поверхности труб от атмосферной коррозии на время их транспортировки, хранения и выполнения строительно-монтажных работ.

15.5.2 Технические требования к внутренним гладкостным покрытиям газопроводов для использования при проектировании и строительстве новых газопроводов определены в СТО Газпром 2-2.2-180.

15.6 Геотекстильные материалы

Геотекстильные материалы рекомендуются к применению в конструкциях балластировки подземных газопроводов, противоэрозионных конструкциях и конструкциях притрассовых дорог и технологических проездов, и насыпей.

Нетканые синтетические материалы применяются на участках слабых грунтов для снижения неравномерности осадок насыпей, возводимых на сжимаемых основаниях.

Для армирования грунтов следует применять материалы из полимеров и стекловолокна (геосетки и геокомпозиты).

Материалы с относительным удлинением более 15 % возможно использовать только в качестве разделительной или дренирующей прослойки.

Требования к физико-механическим показателям геосинтетических материалов приведены в таблице 24.

Таблица 24 - Физико-механические показатели геосинтетических материалов

Область применения

Прочность, кН/м

Удлинение при разрыве, %

Допустимая потеря прочности на растяжение после 25 циклов промораживания - оттаивания, не более, %

Армирование

Не менее 30

До 15

10

Разделение

Не менее 15

-

10

Противоэрозионная защита

Не менее 0,5

-

10

Скальный лист предназначен для зашиты изоляционного слоя трубы при укладке газопроводов в скальных и многолетнемерзлых грунтах.

Допускается использование геотекстильных материалов, прошедших соответствующие испытания в установленном порядке и рекомендованных ОАО «Газпром» к применению. Требования к применяемым геотестильным материалам при проектировании МГ должны соответствовать СТО Газпром 2-2.2-076.

15.7 Термостабилизаторы

Двухфазные термосифоны - термостабилизаторы - необходимо применять при прокладке магистральных газопроводов в условиях криолитозоны для обеспечения несущей способности грунтовых и свайных оснований фундаментов зданий КС, крановых узлов, узлов пуска и приема ВТУ, вдольтрассовых ЛЭП, опор мостов, а также при сооружении и эксплуатации притрассовых дорог, для создания «мерзлотных стенок» и противофильтрационных завес, дамб, ледовых островов, дорог и переправ.

16 Защита газопроводов от коррозии

16.1 Защитные покрытия подземных газопроводов

16.1.1 Защита газопроводов от подземной коррозии, независимо от коррозионной агрессивности грунта и района их прокладки, должна осуществляться комплексно: защитными покрытиями и средствами электрохимической защиты.

16.1.2 В зависимости от конкретных условий прокладки и эксплуатации газопроводов следует применять тот тип защитных покрытий, который указан в разрешительной нормативной документации, согласованной ОАО «Газпром».

16.1.3 Покрытия труб должны отвечать требованиям СТО Газпром 2-2.3-130 и СТО Газпром 2-2.2-178.

16.1.4 Трубы с покрытиями могут использоваться для строительства газопроводов надземной прокладки при условии дополнительной защиты покрытия от воздействия солнечной радиации.

16.1.5 Противокоррозионная защита зоны сварных монтажных стыков изолированных труб, монтажных и крановых узлов выполняется материалами, уровень показателей свойств которых максимально приближены к свойствам основного покрытия и допущенных к применению на объектах ОАО «Газпром».

16.1.6 Для защиты от коррозии при строительстве и реконструкции узлов газопроводов сложной конфигурации и подключающих шлейфов КС (ДКС) должны применяться материалы заводского или трассового нанесения, отвечающие Техническим требованиям [30].

16.1.7 Термореактивные материалы для получения покрытий в заводских или трассовых условиях нанесения должны обеспечивать выполнение показателей свойств покрытия, приведенных в таблице 25.

Таблица 25 - Технические требования к термореактивным покрытиям

Наименование показателя

Значение

Метод испытания

1 Внешний вид покрытия

Однородная поверхность без пузырей, трещин, отслоений, пропусков и других дефектов, ухудшающих качество покрытия

Визуальный осмотр

2 Диэлектрическая сплошность покрытия. Отсутствие пробоя при электрическом напряжении, кВ/мм

5

Искровой дефектоскоп

3 Прочность при ударе, Дж/мм, не менее, при температурах:

- минус (30±3) °С;

- (20±5) °С;

- (40±3) °С

5(3)*

ГОСТ Р 51164,

приложение А

4 Адгезия к стати методом отрыва, МПа, для всех типов покрытий, не менее, при температуре (20±5) °С

7

ИСО 4624:2002 [31], ГОСТ 14760

5 Снижение адгезии к стали после выдержки в воде в течение 1000 ч, % от исходной величины, не более,

при температурах:

 

ИСО 4624:2002 [31],

- (40±3) °С (для Пк-40);

30

ГОСТ 14760

- (60±3) °С (для Пк-60);

40

 

- (80±3) °С (для Пк-80);

50

 

- (95±3) °С (дляПк-100)

50

 

6 Площадь отслаивания покрытия при поляризации, см2, не более:

 

 

- (20±5) °С 30 суток (Пк-40, Пк-60, Пк-80, Пк-100);

8

ГОСТ Р 51164,

- (60±3) °С 7 суток (для Пк-40);

10

приложение В

- (80±3) °С 7 суток (для Пк-60);

10

(схема В.4.2)

- (95±3) °С 7 суток (для Пк-80);

10

 

- (95±3) °С 15 суток (для Пк-100)

10

 

7 Переходное сопротивление покрытия, Ом·м2, не менее:

 

ГОСТ Р 51164,

приложение Г

- исходное (для всех типов);

108

- после 100 суток выдержки в 3 %-м растворе NaCl при температуре (60±3) °С (для Пк-40, Пк-60);

107

- после 100 суток выдержки в 3 %-м растворе NaCl при температуре (80±3) °С (для Пк-80);

107

- после 100 суток выдержки в 3 %-м растворе NaCl при температуре (95±3) °С (для Пк-100);

107

- после 100 суток термостарения при (80±3) °С и последующей выдержки в 3 %-м растворе NaCl в течение 10 суток при температуре (60±3) °С (для Пк-80);

106

ГОСТ Р 51164,

приложение Г

- после 100 суток термостарения при (100±3) °С и последующей выдержки в 3 %-м растворе NaCl в течение 10 суток при температуре (60±3) °С (для Пк-100)

106

8 Сопротивление пенетрации (вдавливанию):

 

 

- при температуре 20 °С, мм, не более (все типы) в % от исходной толщины:

0,3

 

- при температуре (40±3) °С (для Пк-40);

20

ГОСТ Р 51164, приложение Е

- при температуре (60±3) °С (для Пк-60);

20

 

- при температуре (80±3) °С (для Пк-80);

25

 

- при температуре (100±3) °С (для Пк-100)

30

 

9 Влагопоглощение (водопоглощение) через 1000 часов, %, не более:

 

 

- при температуре (40±3) °С (для Пк-40);

5

 

- при температуре (60±3) °С (для Пк-60);

5

ГОСТ 4650

- при температуре (80±3) °С (для Пк-80);

8

 

- при температуре (90±3) °С (для Пк-100)

8

 

10 Прочность при разрыве, МПа, не менее, при температуре (20±5) °С

8 (12)*

ГОСТ 11262

11 Относительное удлинение при разрыве, %, не менее, при температуре (20±5) °С

20 (5)*

ГОСТ 11262

12 Стойкость покрытия к отслаиванию при термоциклировании для всех типов, количество циклов без отслаивания и растрескивания покрытия, не менее, в интервале температур от минус (60±5) °С до плюс (20±5) °С

10**

СТО Газпром 2-2.3-130-2007,

пункт 12.10

13 Поры на срезе покрытия, проведенном под углом (35±5)° при 3-5-кратном увеличении

Отсутствие пор на границе между металлом и покрытием

ГОСТ Р 51164

* Без скобок приведено значение показателя для покрытий на полиуретановой основе, в скобках - для  покрытий на эпоксидной основе.

** Только для условий заводского (базового) и трассового нанесения в районах Крайнего Севера.

16.1.8 В зависимости от температурных условий эксплуатации газопровода наружные термореактивные покрытия делятся на четыре типа:

- тип Пк-40 предназначен для строительства, реконструкции и капитального ремонта линейной части магистральных газопроводов и других объектов газовой промышленности с максимальной температурой эксплуатации 40 °С;

- тип Пк-60 предназначен для строительства, реконструкции и капитального ремонта КС и ДКС, магистральных газопроводов и других объектов газовой промышленности с максимальной температурой эксплуатации 60 °С;

- тип Пк-80 предназначен для строительства, реконструкции и капитального ремонта КС, ДКС, ПХГ и других объектов газовой промышленности с максимальной температурой эксплуатации 80 °С;

- тип Пк-100 предназначен для строительства, реконструкции и капитального ремонта КС, ДКС, ПХГ и других объектов газовой промышленности с максимальной температурой эксплуатации 100 °С.

16.1.9 Основные положения по применению противокоррозионных покрытий определяются условиями строительства и эксплуатации объекта газопровода, которые включают:

- диаметр газопровода;

- проектную эксплуатационную температуру газопровода;

- условия прохождения газопровода;

- сезонный график проведения строительно-монтажных работ;

- условия транспортировки и хранения монтажных изделий для строительства газопровода;

- нормативный срок службы газопровода.

16.1.10 При проектировании объектов ОАО «Газпром» и организации конкурсов на поставку трубных изделий с покрытием, проведения работ по нанесению защитных покрытий в трассовых условиях и/или поставку противокоррозионных материалов должны учитываться существующие в ОАО «Газпром» технические требования или отраслевые стандарты на данные виды продукции и организации проведения работ.

16.1.11 Трубная продукция с противокоррозионным покрытием, противокоррозионные материалы и технологические процессы их применения должны пройти соответствующую сертификацию на соответствие существующим техническим требованиям и отраслевым стандартам ОАО «Газпром» и иметь соответствующие разрешительные документы. ТУ на трубы и трубную продукцию должны быть согласованы с ОАО «Газпром».

16.2 Электрохимическая зашита подземных газопроводов

16.2.1 Общие требования

16.2.1.1 Система ЭХЗ - составная часть линейной части газопровода, выполняющая следующие основные технологические функции:

- обеспечение эффективной защиты газопровода от подземной коррозии;

- контроль эффективности противокоррозионной защиты.

16.2.1.2 Система ЭХЗ может включать:

- установки катодной защиты (в т.ч. преобразователи катодной защиты, анодные заземления, кабельные и воздушные линии к точкам дренажа и анодным заземлениям);

- установки протекторной защиты;

- установки дренажной защиты;

- контрольно-измерительные пункты и диагностические пункты;

- изолирующие вставки;

- электроперемычки;

- устройства регулирования защитного тока;

- автономные источники электроэнергии для катодной защиты;

- средства телеконтроля и телеуправления УКЗ и средства коррозионного мониторинга.

В зависимости от конкретных условий эксплуатации МГ система ЭХЗ может включать все или некоторые из этих элементов.

16.2.1.3 Решение следующих вопросов по ЭХЗ должно соответствовать требованиям СТО Газпром 2-3.5-051:

- необходимость устройства катодной защиты;

- степень защиты (поляризации), соответствующую коррозионной агрессивности грунтов, температуре газопровода и влиянию блуждающих токов;

- необходимость устройства временной электрохимической защиты в случае, если по проекту основные средства ЭХЗ вводятся позднее завершения строительства газопровода.

16.2.1.4 Все проектируемые элементы ЭХЗ газопровода конструктивно и технологически должны обеспечивать минимальный объем монтажных и пусконаладочных работ на трассе газопровода.

16.2.1.5 При проектировании ЭХЗ газопроводов следует учитывать положения ГОСТ Р 51164, СТО Газпром 2-3.5-047 и СТО Газпром 2-3.5-051.

16.2.1.6 При расчете параметров ЭХЗ следует учитывать температуру транспортируемого газа (газопровода). На участках с температурой ниже 278 К (+5 °С) величина минимального защитного поляризационного потенциала составляет 0,80 В по МСЭ.

16.2.1.7 В интервале температур газопровода 278 К (+5 °С) - 303 К (+30 °С) величину минимального защитного потенциала Uминt вычисляют по формуле

                                                                                           (16.1)

                                                                                                                  (16.2)

где Uминt18 - минимальный защитный потенциал при температуре грунта 18 °С (при отсутствии опасности бактериальной коррозии Uминt18 = -0,85 В по медно-сульфатному электроду сравнения);

tr - температура грунта непосредственно около стенок газопровода, °С;

рu - температурный коэффициент потенциала, °С-1 (для температуры грунта 0-18 °С βu = 0,003; для температуры грунта 18-30 °С βu = 0,01).

16.2.1.8 При строительстве газопровода до ввода в строй основных средств ЭХЗ в качестве временной защиты следует использовать системы защиты на основе протекторов или от систем ЭХЗ, находящихся вблизи подземных сооружений.

16.2.2 Установки катодной защиты

16.2.2.1 Места монтажа УКЗ следует предусматривать рядом с линейными кранами газопровода. УКЗ должны быть блочно-комплектного исполнения и предусматривать минимум строительно-монтажных и пусконаладочных работ.

16.2.2.2 Преобразователи катодной защиты должны монтироваться в индивидуальных блок-боксах, защищающих преобразователи от воздействия низких температур, обледенения, заноса снегом для районов с арктическим климатом. Блок-боксы с преобразователями и другими элементами ЭХЗ по возможности следует устанавливать в одном ограждении с крановой площадкой. В остальных случаях преобразователи можно монтировать в блочных устройствах. Допускается проектировать монтаж преобразователей на специальных фундаментах, анкерных опорах анодных линий и линий электроснабжения. Конструкции для размещения преобразователей в районах с густой и умеренной заселенностью должны быть вандалозащишенными. Электроснабжение УКЗ должно соответствовать 2-й категории надежности.

16.2.2.3 При проектном обосновании должно быть обеспечено резервирование преобразователей УКЗ (установка резервного преобразователя).

16.2.2.4 В блок-боксы должны заводиться контрольные провода от электродов сравнения и датчиков коррозионного мониторинга, установленных на трубе. Применяемые преобразователи должны иметь возможность регулирования выходного напряжения не менее 48 В.

16.2.2.5 Электроснабжение УКЗ может осуществляться от вдольтрассовых ЛЭП или автономных источников.

16.2.2.6 Резервирование электроснабжения УКЗ, установленных на трассе газопровода, может осуществляться от автономных источников тока.

16.2.2.7 Расчет длины защитной зоны, необходимой силы тока преобразователя и количества необходимых УКЗ следует выполнять в соответствии с СТО Газпром 2-3.5-047.

16.2.2.8 Расчет параметров ЭХЗ необходимо выполнять с учетом старения изоляции. При этом сопротивление изоляции на 30-й год следует принимать равным 12150 Ом·м2.

16.2.2.9 При расчете параметров УКЗ следует учитывать необходимую дополнительную силу тока, расходуемую на защитные заземления, датчики коррозии и вспомогательные электроды датчиков поляризационного потенциала.

16.2.3 Анодные заземления

16.2.3.1 Анодные заземления в установках катодной защиты могут быть как глубинные, так и поверхностные (поверхностно распределенные). В глубинных заземлениях, состоящих из нескольких заземлителей расстояние между скважинами с глубинными заземлителями должно быть 0,3L, (L - глубина скважины).

16.2.3.2 Глубину скважины для заземлителей следует определять с учетом анализа геологического разреза; электроды анодных заземлений должны монтироваться в пластах с минимальным удельным электрическим сопротивлением.

16.2.3.3 Расчет количества элементов анодных заземлений должен выполняться в соотвествии с СТО Газпром 2-3.5-047.

Расчетный срок службы анодных заземлений следует принимать в соответствии с СТО Газпром 2-3.5-051.

16.2.3.4 При проектировании анодных заземлений в скальных грунтах необходимо использовать результаты вертикальных электрических зондирований и результаты исследований кернов из параметрических скважин.

16.2.3.5 Материалы анодных заземлений следует выбирать с учетом почвенно-грунтовых условий, в которых будут эксплуатироваться заземления.

16.2.3.6 Анодные линии следует проектировать, как правило, кабелем с медной токоведущей жилой и двойной изоляцией, допускается применение воздушных линий из сталеалюминевого изолированного провода. При проектировании анодных ВЛ учитывают ветровые нагрузки.

16.2.3.7 Коммутация кабелей к элементам глубинных анодных заземлений должна обеспечиваться с помощью КИП, смонтированных над каждым элементом. Места монтажа глубинных анодных заземлений следует обозначать специальными знаками поверх снега.

На горных участках, участках со скальным грунтом и в условиях вечной мерзлоты возможно применение протяженных анодных заземлений.

16.2.4 Протекторы

16.2.4.1 В проекте ЭХЗ газопровода протекторы следует предусматривать:

- для основной защиты кожухов (патронов) на переходах под авто- и железными дорогами;

- временной защиты от коррозии строящегося газопровода.

16.2.4.2 В качестве протекторов следует использовать магниевые протекторы ПМ 10У и ПМ 20У.

16.2.4.3 Необходимое количество протекторов определяют расчетом в соответствии с СТО Газпром 2-3.5-047.

16.2.5 Дренажная защита

16.2.5.1 Необходимость дренажной защиты следует определять по результатам изысканий.

16.2.5.2 Установку УДЗ следует проектировать в районах тяговых подстанций и местах пересечения газопровода с электрифицированной железной дорогой. При удалении ЛЧ МГ от электрифицированной железной дороги на расстояние более 2 км для защиты от коррозии блуждающими токами следует проектировать УКЗ с автоматическим поддержанием потенциала.

16.2.6 Контрольно-измерительные пункты

16.2.6.1 Контрольно-измерительные пункты располагаются в соответствии с требованиями СТО Газпром 2-3.5-051.

КИП для измерения силы тока в газопроводе должны быть смонтированы через 3-5 км ЛЧ МГ и с обеих сторон ВЭИ.

Электроды сравнения в КИП должны быть долгодействующими, срок службы в условиях эксплуатации - не менее 10 лет.

Контрольно-измерительные пункты подключаются к газопроводу медным двужильным кабелем с двойной изоляцией. Кабель присоединяется на одну отдельную клемму на клеммном щитке КИП.

16.2.7 Особенности ЭХЗ технологических трубопроводов компрессорных станций

16.2.7.1 Подземные технологические коммуникации промплощадок КС должны быть обеспечены катодной защитой. Защита трубопроводов КС обеспечивается с помощью УКЗ с сетевыми преобразователями катодной защиты. Катодные и анодные линии проектируются в кабельном исполнении, допускается их монтаж на эстакадах.

При расчете параметров ЭХЗ следует руководствоваться разделом 12 СТО Газпром 2-3.5-047.

16.2.7.2 В качестве анодных заземлений системы катодной защиты должна предусматриваться, как правило, комбинированная система глубинных анодов в сочетании с протяженными (или распределенными) анодными заземлителями.

Место строительства анодных заземлений следует выбирать с учетом перспективного строительства КС на следующих очередях (нитках) газопроводов.

16.2.8 Коррозионный мониторинг

16.2.8.1 Для КС с подземной прокладкой газопроводов необходимо предусмотреть коррозионный мониторинг.

16.2.8.2 Состав системы коррозионного мониторинга газопровода должен соответствовать требованиям СТО Газпром 2-3.5-051.

16.2.8.3 Система телеконтроля должна позволять оперативно получать информацию о работе УКЗ и дистанционно управлять режимами их работы. Телеконтроль УКЗ должен предусматривать оперативную передачу следующих данных:

- величины напряжения на входе преобразователя;

- величины напряжения на выходе преобразователя;

- силы тока УКЗ;

- величины поляризационного потенциала в точке дренажа;

- величины потенциала с омической составляющей в точке дренажа;

- показания счетчика наработки преобразователей;

- идентификационной метки работающего преобразователя (основной/резервный);

- сигнала о несанкционированном доступе в блок-бокс с преобразователем;

- параметров датчиков коррозионного состояния.

16.2.8.4 Места монтажа КДП следует проектировать в соответствии с требованиями СТО Газпром 2-3.5-051.

16.2.8.5 КДП должен иметь щиток с клеммами для подключения двух контрольных проводов, идущих от магистрального газопровода для измерения силы тока в трубе и датчиков коррозионного мониторинга. В состав КДП могут быть включены следующие устройства, монтируемые на различных глубинах, соответствующих средней и нижней образующим газопровода:

- стационарные электроды сравнения;

- устройства для измерения поляризационного потенциала;

- вспомогательные электроды - имитаторы дефекта изоляции;

- датчики (индикаторы) коррозии для определения скорости коррозии, подключенные и неподключенные к трубе;

- другие датчики, контролирующие коррозионные процессы на газопроводе.

16.2.8.6 Установку датчиков коррозии, потенциала и температуры на подземных газопроводах следует предусматривать в бесколодезном исполнении.

В месте монтажа КДП на трубе должен быть запроектирован маркер для привязки данных внутритрубной дефектоскопии.

По требованиям заказчика данные датчиков КДП могут заводиться в систему дистанционного контроля и передаваться на соответствующий диспетчерский пункт.

16.2.8.7 Систему ЭХЗ необходимо проектировать в соответствии с требованиями СТО Газпром 2-3.5-051 по учету действующих систем ЭХЗ эксплуатируемых соседних газопроводов и перспективного строительства подземных металлических сооружений вдоль трассы проектируемого газопровода.

16.3 Защита надземных газопроводов от атмосферной коррозии

16.3.1 Газопроводы при надземной прокладке должны защищаться от атмосферной коррозии лакокрасочными, стеклоэмалевыми, металлическими покрытиями или покрытиями из консистентных смазок.

16.3.2 Лакокрасочные покрытия должны иметь общую толщину не менее 0,2 мм и сплошность - не менее 1 кВ на толщину покрытия.

16.3.3 Толщина стеклоэмалевых покрытий должна быть не менее 0,5 мм, сплошность - не менее 2 кВ на толщину.

16.3.4 Консистентные смазки следует применять в районах с температурой воздуха не ниже минус 60 °С на участках с температурой эксплуатации газопроводов не выше плюс 40 °С.

Покрытие из консистентной смазки должно содержать 20 % (весовых) алюминиевой пудры ПАК-3 или ПАК-4 и иметь толщину в пределах 0,2-0,5 мм.

16.3.5 Противокоррозионную защиту опор и других металлических конструкций надземных газопроводов следует выполнять в соответствии с требованиями СНиП 11-23-81 [32].

17 Технологическая связь газопроводов

17.1 Магистральные газопроводы должны быть оборудованы линиями технологической связи, обеспечивающими все требования систем управления технологическими процессами трубопроводного комплекса.

17.2 Технологическая связь газопроводов должна обеспечивать:

- магистральную связь ЦПДД ОАО «Газпром» с диспетчерскими пунктами объединений (управлений) по добыче и транспортированию газа и газового конденсата;

- магистральную диспетчерскую телефонную связь диспетчерских пунктов объединений (управлений) по добыче и транспортированию газа и газового конденсата с диспетчерскими пунктами линейных производственных управлений магистральных газопроводов, КС, ГРС и ПХГ;

- диспетчерскую телефонную связь диспетчерских пунктов линейно-производственных управлений магистральных газопроводов с подчиненными им КС, ГРС, ремонтно-восстановительными и эксплуатационными службами газопровода, пунктами замера транспортируемого продукта, линейными ремонтерами (обходчиками), а также с ПХГ и головными сооружениями промыслов;

- линейную связь диспетчерских пунктов линейно-производственных управлений магистральных газопроводов со специальными транспортными средствами и ремонтными бригадами, работающими на трассе газопровода;

- оперативно-производственную телефонную связь ОАО «Газпром» с управлениями магистральных газопроводов и объединениями (управлениями) по добыче и транспортированию газа и газового конденсата, объединений (управлений) с подчиненными им службами, а также смежных объединений (управлений) между собой;

- телефонную связь сетевых совещаний ОАО «Газпром» с объединениями (управлениями) по добыче и транспортированию газа и газового конденсата, управлениями магистральных газопроводов, основными эксплуатационными службами газопровода, промыслами, ПХГ;

- местную связь промышленных площадок и жилых поселков с возможностью выхода на каналы Минсвязи РФ и других министерств и ведомств для организации обслуживания вызовов экстренных оперативных служб;

- каналы связи для центральной и линейной телемеханики;

- каналы связи для автоматизированной системы управления.

Примечания

1 Связь ГРС с потребителем газа осуществляется средствами местной телефонной связи, строительство которой выполняет потребитель газа. В состав строительства технологической связи газопровода средства местной телефонной связи не входят.

2 Для организации оперативно-производственной телеграфной связи используются, как правило, устройства, входящие в автоматизированную систему управления газопроводом.

17.3 Проектирование линий технологической связи газопроводов необходимо осуществлять в соответствии с требованиями нормативных документов по проектированию линий связи, утвержденных в установленном порядке ОАО «Газпром» и Минсвязи РФ.

17.4 Магистральные линии технологической связи газопроводов следует предусматривать в виде кабельных или радиорелейных линий, проходящих вдоль газопровода на всем его протяжении, с отводами к местам расположения трубопроводной арматуры и оборудования.

Соединительные линии связи следует предусматривать в виде кабельных и радиорелейных линий.

Сеть местной связи промышленных площадок и жилых поселков надлежит предусматривать в виде кабельных или воздушных линий.

Выбор типа линий связи должен быть обоснован технико-экономическим расчетом. Воздушные линии связи допускается предусматривать только в исключительных случаях.

17.5 Технологическая связь газопроводов состоит из линейных и станционных сооружений.

К линейным сооружениям следует относить магистральные и соединительные кабели, воздушные линии связи и линии местных сетей промышленных площадок и жилых поселков, а также необслуживаемые усилительные пункты (НУП).

К станционным сооружениям следует относить обслуживаемые узлы связи, радиорелейные станции с антенно-фидерными системами и энергосооружениями.

17.6 Узлы связи газопроводов следует размещать, как правило, на территории служб газопровода в помещениях административно-технических зданий, отдельных зданиях или блок-боксах. Мачты радиорелейной технологической связи газопровода с обслуживаемыми и необслуживаемыми станциями допускается располагать на территории КС.

17.7 На газопроводах и КС, которые строят в несколько очередей, проектом магистральной кабельной линии технологической связи должны предусматриваться строительство и ввод станционных сооружений технологической связи также в несколько очередей по мере готовности помещений для узлов связи и энергоснабжения.

17.8 НУП кабельной линии и промежуточные станции радиорелейной линии технологической связи следует размещать вдоль газопровода в местах, обеспечивающих нормальную работу аппаратуры связи, удобство строительства и эксплуатации линии связи, и по возможности приблизив их к линейным сооружениям (к запорной арматуре) газопровода в пределах допустимого отклонения длины усилительного участка от номинальной длины, обусловленной техническими параметрами применяемой аппаратуры.

17.9 Кабельные линии технологической связи следует предусматривать, как правило, с левой стороны газопровода но ходу продукта на расстоянии не менее 8 м от оси газопровода диаметром до. 500 мм и не менее 9 м - диаметром свыше 500 мм.

Переход кабеля связи на правую сторону от газопровода должен быть обоснован проектом.

На участках государственного лесного фонда допускается приближать кабель связи на расстояние до 6 м независимо от диаметра газопровода.

При прокладке в горных районах кабель связи следует предусматривать, как правило, с нагорной стороны в отдельной траншее на расстоянии не менее 3 м от оси газопровода независимо от диаметра.

При переоборудовании однокабельной технологической магистрали в двухкабельную второй кабель, как правило, прокладывается на расстоянии 3 м от существующего кабеля, при этом допускается приближать кабель на расстояние до 6 м от оси газопровода.

17.10 При удалении кабельной линии технологической связи от газопровода на расстояние свыше 10 м надлежит предусматривать устройство специальной грозозащиты кабеля,

17.11 При одновременном строительстве кабели линейной телемеханики следует прокладывать, как правило, в одной траншее с кабельной линией технологической связи и на расстоянии до 3 м от кабеля связи существующей кабельной линии. При этом допускается приближать кабель на расстояние до 6 м от оси газопровода.

17.12 Защиту кабельной линии технологической связи от электрохимической коррозии следует предусматривать совместно с защитой газопровода.

При удалении кабельной линии от газопровода на расстояние свыше 40 м необходимо применять самостоятельную защиту.

17.13 Типы кабелей следует применять в зависимости от типа грунта и условий прокладки.

17.14 Глубина прокладки кабеля связи в грунтах должна быть не менее:

- I-IV группы - 0,9 м;

- V группы и выше при выходе скалы на поверхность, а также в грунтах IV группы, разрабатываемых взрывным способом или отбойными молотками, - 0,4 м при глубине траншеи 0,5 м с устройством постели из песчаных грунтов толщиной не менее 10 см и присыпки сверху кабеля на. толщину 10 см;

- V группы и выше при наличии над скальной породой поверхностного растительного слоя различной мощности, а также в грунтах IV группы, разрабатываемых взрывным способом или отбойными молотками, при тех же условиях - 0,6 м при глубине траншеи 0,7 м с устройством постели из песчаных грунтов толщиной не менее 10 см и присыпки сверху кабеля толщиной 10 см. При этом заглубление в скальную породу не должно превышать 0,4 м при глубине траншеи 0,5 м.

Примечание - Глубина прокладки кабеля связи на поливных и пахотных землях, виноградниках и подвижных песках должна устанавливаться с учетом обеспечения сохранности кабеля при проведении сельскохозяйственных работ и эрозии почвы.

17.15 Кабельная линия технологической связи должна быть зафиксирована на местности указательными столбиками, которые следует устанавливать:

- у всех подземных муфт кабеля;

- в местах отхода кабеля от газопровода к усилительным пунктам и на углах поворота трассы кабеля;

- при пересечении кабелем железных и автомобильных дорог, водных преград, продуктопроводов и водопроводов, воздушных и кабельных линий электропередачи и связи с обеих сторон от этих препятствий.

Указательные столбики не устанавливают в местах размещения КИП.

17.16 КИП, по возможности, следует предусматривать совмещенными для кабеля связи и газопровода.

НУП кабельной технологической линии связи следует предусматривать на расстоянии не менее 10 м от оси газопровода.

Дверь в наземную часть НУП надлежит предусматривать со стороны, противоположной газопроводу.

17.17 Кабель связи при автономном пересечении с железнодорожными путями и автомобильными дорогами следует прокладывать на глубине не менее 0,8 м ниже дна кювета. В случае дополнительной защиты кабеля от механических повреждений в кювете (плиты и т.д.) это расстояние допускается уменьшать до 0,5-0,4 м.

Угол пересечения кабеля с железными и автомобильными дорогами должен быть, как правило, 90°, но не менее 60°.

Кабель связи при пересечении с инженерными коммуникациями следует прокладывать в асбестоцементных трубах на расстоянии между ними по вертикали в свету не менее:

- с газопроводами, нефтепроводами и нефтепродуктопроводами - 0,15 м;

- выше водопроводных и канализационных труб - 0,15 м;

- ниже тепловодных сетей - 0,15 м;

- с силовыми кабелями - 0,15 м;

- с другими кабелями связи - 0,1 м.

17.18 Границы подводного перехода кабеля определяются в соответствии с требованиями 10.2.1.3.

На подводных переходах газопроводов в одну нитку укладку кабеля связи следует предусматривать на расстоянии от оси газопровода в зависимости от инженерно-геологических и гидрологических условий, диаметра газопровода, а также принятой технологии производства работ по устройству подводной траншеи и укладке кабеля связи с учетом безопасности ведения работ, но не менее 10 м.

На подводных переходах в две нитки и более, а также на особо сложных однониточных переходах, где газопроводы укладываются в предварительно разработанные подводные траншеи, основной кабель связи следует прокладывать в траншее основной нитки газопровода, а резервный кабель - в траншее резервной нитки газопровода на расстоянии не менее 0,5 м от газопровода ниже по течению реки.

17.19 На пересечении автомобильных и железных дорог, где проектом предусмотрено устройство защитного кожуха газопровода, укладку кабеля следует предусматривать в стальных трубах (кожухах), размещенных внутри или приваренных снаружи защитного кожуха газопровода.

Для существующих газопроводов допускается прокладка кабеля связи в асбестоцементных трубах или полиэтиленовых трубах диаметром от 63 мм и более, размещенных на расстоянии 8-9 м от защитного кожуха газопровода, с выводом концов труб по обе стороны от подошвы насыпи или полевой бровки кювета на длину не менее 1 м.

17.20 На пересечении кабелем связи автомобильных дорог, где проектом предусмотрен переход газопровода без защитного кожуха, прокладку кабеля связи следует предусматривать в асбестоцементных или полиэтиленовых трубах диаметром от 63 мм и более, размещенных на расстоянии 8-9 м от оси газопровода, с выводом концов труб по обе стороны от подошвы насыпи или полевой бровки кювета на длину не менее 1 м.

17.21 На надземных переходах газопроводов через искусственные и естественные преграды прокладку кабеля связи следует предусматривать в стальных трубах, закрепленных хомутами на боковой поверхности газопровода, или подвешивать к несущему тросу, закрепленному на опорах газопровода.

17.22 Радиорелейные линии связи следует предусматривать для районов, где строительство кабельной линии связи затруднено и экономически нецелесообразно. Аппаратура РРЛ должна быть, как правило, автоматизированная, контейнерного типа, исключающая строительство специальных зданий.

17.23 Система РРЛ газопроводов должна быть организована в комплексе с ультракоротковолновой радиосвязью, обеспечивающей устойчивую двустороннюю связь с линейными объектами газопровода и обслуживающим персоналом, находящимся на линии.

17.24 При проектировании РРЛ необходимо предусматривать полное использование источников питания, создаваемых для нужд газопровода, и существующих линий электропередачи.

17.25 Воздушные линии технологической связи следует размещать, как правило, с левой стороны газопровода по ходу газа на расстоянии не менее 4,5 м от оси газопровода любого диаметра.

17.26 Проектирование волоконно-оптических линий связи газопроводов следует выполнять в соответствии с ВСН 51-1.15-004-97 [33] и ВРД 39-1.15-009-2000 [34].

17.27 Электроснабжение оборудования технологической связи, обслуживающей газопровод, должно соответствовать СТО 2-6.2-149.

17.28 Помещения для оборудования технологической связи должны быть оборудованы установками пожарной сигнализации и пожаротушения в соответствии с требованиями документов [35] и [36].

17.29 Площадки размещения необслуживаемых пунктов РРЛ связи должны быть оборудованы периметральной охранной сигнализацией.

17.30 Переходы кабелей связи через реки, автомобильные дороги и коммуникации могут осуществляться с применением технологии горизонтально направленного бурения. При этом кабели прокладываются в кожухах из полиэтиленовых труб.

При пересечении магистральных газопроводов кабелями связи, прокладываемыми с применением ГНБ, необходимо выполнять следующие требования:

- зазор «в свету» по вертикали между нижней образующей газопровода и верхней образующей скважины перехода кабеля должен составлять не менее 3 м;

- расстояния в плане от края кожуха до оси газопровода (в обе стороны) должны быть не менее 25 м;

- запрещается применение способа ГНБ на участках пересечения кабелей с газопроводами в зонах активных тектонических разломов, оползней, пучения грунта и селевых потоков.

17.31 Проектирование помещений для размещения оборудования технологической связи и соответствующих зданий, а также средств и систем местной связи на промплощадках необходимо осуществлять в соответствии с требованиями раздела 11 ВРД 39-1.8-055-2002 [37].

18 Охрана окружающей среды

18.1 В проектах на строительство газопроводов необходимо предусматривать решения по охране окружающей среды при сооружении газопроводов и последующей их эксплуатации.

18.2 Требования по охране окружающей среды следует включать в проект отдельным разделом, а в сметах предусматривать необходимые затраты.

18.3 Проектирование газопроводной системы должно выполняться в соответствии с требованиями российских стандартов, правил, нормативных актов в области охраны окружающей среды.

18.4 При подземной прокладке газопроводов необходимо предусматривать рекультивацию плодородного слоя почвы.

18.5 Требования к гидравлическим испытаниям и рекультивации должны регламентироваться в проекте в виде самостоятельных подразделов.

18.6 Для газопроводов, прокладываемых в районах Крайнего Севера и морских районах, прилегающих к северному побережью РФ, в проекте должны предусматриваться дополнительные мероприятия по охране природы в этих районах согласно действующему законодательству РФ.

18.7 Требованиям к проектированию производственного экологического мониторинга должны соответствовать ВРД 39-1.13-081-2003 [38].

19 Вывод из эксплуатации и ликвидация

19.1 Для вывода газопровода из эксплуатации необходимо разработать документы по выводу трубопровода из эксплуатации и его ликвидации.

19.2 Трубопроводные системы, которые планируется вывести из эксплуатации, должны быть остановлены и отсоединены от других частей трубопроводной системы, остающихся в эксплуатации.

19.3 Предварительно должны быть выполнены следующие операции:

- отключение (перекрытие) газопровода;

- опорожнение газопровода;

- продувка.

19.4 Выведенные из эксплуатации газопроводы, за исключением подлежащих ликвидации, должны обслуживаться, и на них должна поддерживаться катодная защита.

19.5 Выведенные из эксплуатации участки газопровода должны быть оставлены в безопасном состоянии до полной утилизации или использования по другому назначению.

Приложение А
(рекомендуемое)

Методика определения толщин стенок штампованных и штампосварных тройников

А.1 Условные обозначения

Все приведенные условные обозначения (рисунок А.1) относятся только к данному приложению А.

D - наружный диаметр основной (магистральной) трубы тройника;

D0 - внутренний диаметр ответвления тройника, измеряемый в продольной плоскости симметрии на уровне образующей наружной поверхности основной трубы;

d - наружный диаметр ответвления тройника;

H1 - высота расчетной зоны усиления тройника;

th - расчетная толщина стенки условной трубы, имеющей диаметр присоединяемой трубы к магистрали тройника и материал тройника, определяется в соответствии с требованиями 13.2.1, 13.2.2;

tb - расчетная толщина стенки условной трубы, имеющей диаметр присоединяемой трубы к ответвлению тройника и материал тройника, определяется в соответствии с требованиями 13.2.1, 13.2.2;

Th - расчетная толщина стенки основной трубы тройника;

Тb - то же, ответвления;

Т0 - толщина стенки ответвления, измеряемая в продольной плоскости симметрии на расстоянии r0 от образующей наружной поверхности основной трубы;

r0 - радиус закругления наружной поверхности сечения тройника в продольной плоскости симметрии;

L1 - полудлина расчетной зоны усиления тройника.

А.2 Исходное условие прочности тройника

Условие прочности тройника, которое соответствует принципу замещения площадей, представляется в виде

                                                                                                      (А.1)

Входящие в неравенство (А.1) составляющие расчетной площади усиления тройника определяются на основании геометрических размеров рисунка А.1 по формулам:

                                                                                                              (A.2)

                                                                                                (A.3)

                                                                                                      (A.4)

                                                                                                      (А.5)

в которых коэффициент К и геометрические размеры находятся из выражений:

                                                                                (А.6)

                                                                                                                      (А.7)

                                                                                                            (А.8)

                                                                                                              (A.9)

                                                                                                                     (A.10)

                                                                                                                  (A.11)

                                                                                                                  (А.12)

где η - коэффициент несущей способности тройника;

к, ξ - коэффициенты, значения которых следует принимать в зависимости от конкретной технологии изготовления тройников.

Для предварительных расчетов допускается принимать значения коэффициентов к, ξ, равными к = 0,8, ξ = 0,7.

Значения радиуса закругления r0 могут находиться в следующих пределах:

                                                                              (А.13)

                                                                                            (А.14)

Для предварительных расчетов величина r0 может быть принята равной:

                                                                                              (А.15)

А.3 Определение коэффициента несущей способности тройника

Коэффициент несущей способности тройника η определяется из приближенного равенства, полученного на основании выражений (А.1) - (А.15), и допущения о том, что расчетные толщины стенок tb и th пропорциональны соответствующим диаметрам:

Рисунок A.1 - Сечение тройника продольной плоскостью симметрии (фрагмент):

а - при Тb > Тb; б - при Тb = Тb = кTh

                                                                                                                        (a.16)

                  (А.17)

Равенство (А.17) является нелинейным относительно искомого неизвестного η. Решение следует выполнять методом последовательных приближений, задаваясь каким-либо значением η > 1 и проверяя выполнение условия (А.17). В качестве конечного значения т| следует принять минимальное значение (при заданной точности вычислений), при котором удовлетворяется условие (А.17).

А.4 Расчетные и номинальные толщины магистрали и ответвления тройника

Расчетная толщина магистрали Th тройника находится по формуле (А.10), а расчетная толщина ответвления Тb - по формуле (А.12).

Номинальные толщины стенок магистрали и ответвления тройника устанавливаются в соответствии с 13.2.10.

Примечания

1 Допускается выполнять расчет по уравнению (А.17) при конкретных значениях радиуса закругления r0, полудлины L1 и высоты H1, указанных в технических условиях предприятия-изготовителя. При этом принятые в расчете значения L1 и H1, не должны превышать значений, получаемых из выражений (А.7) и (А.8) соответственно.

2 Допускается конструкция тройника без удлинительного кольца при условии, что высота H1 удовлетворяет требованиям прочности тройника.

3 При решении уравнения (А.17) в качестве расчетных диаметров тройника следует принимать диаметры присоединяемых труб к магистрали и ответвлению тройника соответственно.

4 Высота выдавленной части ответвления тройника должна быть не менее величины r0 + Тb.

5 Фактическая длина тройника не должна быть менее величины d + 2r0.

Приложение Б
(рекомендуемое)

Определение толщин стенок сварных тройников без усиливающих элементов

Б.1 Условные обозначения

Все приведенные условные обозначения (рисунок Б.1) относятся только к данному приложению Б.

D - наружный диаметр основной трубы (магистрали) тройника;

d - наружный диаметр ответвления тройника;

di - - внутренний диаметр ответвления тройника;

L - высота расчетной зоны усиления тройника в направлении ответвления;

th - расчетная толщина стенки условной трубы, имеющей диаметр и материал магистрали тройника;

tb - расчетная толщина стенки условной трубы, имеющей диаметр и материал ответвления тройника;

Th - расчетная толщина стенки магистрали тройника;

Тb - то же, ответвления;

σy.h - нормативный предел текучести материала магистрали тройника;

σy.b - то же, ответвления тройника.

Б.2 Исходное условие прочности тройника:

                                                                                                            (Б.1)

Расчетная площадь усиления тройника А и входящие в неравенство (Б.1) составляющие А1 и А2 показаны на рисунке Б.1 и определяются по формулам:

                                                                                                                       (Б.2)

                                                                                                         (Б.3)

                                                                                                         (Б.4)

                                                                                                             (Б.5)

                                                                                                                    (Б.6)

где T*h, T*b - предварительные значения расчетных толщин стенок, магистрали и ответвления тройника соответственно.

Б.3 Основные допущения при решении неравенства (Б.1):

                                                                                                                   (Б.7)

                                                                                                       (Б.8)

где η - коэффициент несущей способности тройника.

Б.4 Определение коэффициента несущей способности тройника

Коэффициент несущей способности тройника η находится из решения квадратного уравнения относительно η, получаемого при подстановке в равенство (Б.1) выражений для составляющих (Б.2)-(Б.4) при учете зависимостей (Б.5)-(Б.8):

                                                                                                       (Б.9)

                                                                                                                   (Б.10)

                                                                                                     (Б.11)

                                                                                                                     (Б.12)

Расчетная толщина th магистрали тройника определяется для условной прямой трубы, имеющей диаметр и материал магистрали тройника, в соответствии с требованиями 13.2.1-13.2.4.

Расчетная толщина tb ответвления тройника определяется для условной прямой трубы, имеющей диаметр и материал ответвления тройника, в соответствии с требованиями 13.2.1-13.2.4.

Рисунок Б.1 - Схема для расчета сварного тройника

(сечение продольной плоскостью симметрии - фрагмент)

Примечание - Расчетная толщина стенки ответвления тройника должна составлять не менее 6 мм.

В результате получается решение для коэффициента несущей способности тройника в виде

                                                                                               (Б.13)

Б.5 Расчетные и номинальные толщины стенок магистрали и ответвления тройника Расчетные толщины стенок магистрали и ответвления тройника получаются из выражений:

                                                                                                                 (Б.14)

                                                                                                                     (Б.15)

Номинальные толщины стенок магистрали и ответвления тройника устанавливаются в соответствии с 13.2.10.

Приложение В
(рекомендуемое)

Определение расчетного радиуса кривизны участка подземного газопровода

В.1 Данная методика определения расчетного радиуса кривизны подземного газопровода предназначена для применения при оценке общей устойчивости участка магистрального газопровода с выпуклыми углами поворота трассы в вертикальной плоскости.

В.2 Расчетный радиус кривизны ρ0 является характеристикой начального изгиба заглубленного в грунт газопровода. Под расчетным радиусом ρ0 понимается минимальный радиус кривизны оси трубы, если изгиб имеет место на всей длине волны выпучивания, что обычно наблюдается при свободном (упругом) изгибе газопровода. Таким образом, если длина хорды кривой больше или равна критической длине волны выпучивания, то в качестве расчетного радиуса принимается фактический радиус кривизны оси трубы, т.е.

при

                                                                                                (В.1)

где Lст - критическая длина волны выпучивания, м;

ρ - минимальный радиус кривизны оси газопровода, м;

α - угол поворота оси трассы газопровода, град.

В.3 Поворот газопроводов может выполняться с применением отводов (колен) машинного гнутья или заводских отводов с радиусом кривизны оси не менее 5D (рисунок В.1). В этом случае обычно условие (В.1) не соблюдается, т.е. перемещение газопровода происходит на длине, включающей и примыкающие к отводам первоначально прямолинейные участки. Зная длину волны выпучивания, расчетный радиус определяют как радиус кривой, проходящей через начало и конец волны выпучивания и вершину угла поворота.

В.4 Так как длина волны выпучивания зависит от расчетного радиуса кривизны оси, то решение выполняется методом последовательных приближений. Вначале задаются возможной длиной волны выпучивания примерно (40-70) D

В.5 В зависимости от схемы угла поворота трассы (см. рисунок В.1) в первом приближении определяется расчетный радиус ρ0.

В.5.1 Рисунок В.1а

Считается, что угол поворота трассы α ≤ 9°, длина хорды кривой L0 менее длины волны выпучивания и длина каждого из прямолинейных примыкающих участков Ls.l такова, что выполняется неравенство

                                                                                                            (В.2)

Рисунок В.1 - Расчетная схема вертикальных выпуклых углов поворота

Расчетный радиус кривизны вычисляют по формуле

                                                                      (В.3)

где Lсr - расчетная (критическая) длина волны выпучивания, м;

α - угол поворота газопровода в вертикальной плоскости, град.;

ρ - радиус кривизны оси (кривой), м.

В.5.2 Рисунок В.1б

Расчетный участок состоит из двух кривых вставок с углами поворота α1 и α2 и прямолинейного участка между ними, причем каждый из углов менее 9°. Также выполняется неравенство:

                                                                                (В.4)

Расчетный радиус кривизны определяется по формуле

                                                                                                                                     (В.5)

В.5.3 Рисунок В.1в

Расчетный участок состоит из одного угла поворота, выполненного с помощью колен радиусом не менее 5D. Расчетный радиус кривизны определяется по формуле

                                                                                                            (В.6)

В.5.4 Рисунок В.1г

Расчетный участок состоит из двух углов поворота, выполненных с помощью колен (ρk ≥ 5D). Расчетный радиус кривизны определяется по формуле

          (В.7)

В.5.5 Рисунок В.1д

Расчетный участок представляет собой кривую угла поворота, замененную ломаной

линией с одинаковыми углами, образованными коленами с радиусом кривизны ρk  5D и углами α = (3-6)°, и с равными расстояниями между ними. Расчетный радиус кривизны определяется по формуле

                                            (В.8)

8.6 Определив расчетный радиус кривизны для выбранной рассматриваемой схемы поворота оси газопровода по одной из приведенных формул (В.3), (В.5)-(В.8), далее определяется расчетная длина волны выпучивания Lкр по формуле

                                                                                                      (В.9)

где EI - изгибная жесткость сечения газопровода, Н·м2;

q* - предельное погонное сопротивление перемещениям газопровода вверх, Н/м;

ρ0 - расчетный радиус кривизны оси газопровода.

8.7 Во втором приближении длина волны выпучивания принимается как среднее значение между предшествующим и вычисленным значениями.

Таким образом, в результате нескольких приближений определяется расчетный радиус кривизны ρ0.

Приложение Г
(рекомендуемое)

Критерии сейсмостойкого проектирования газопроводов

Г.1 Периоды повторяемости в соответствии со СНиП II-7-81* [23] проектного и максимального расчетного землетрясений следует принять следующими:

- для ПЗ - 200 лет;

- МРЗ - 1000 лет.

Г.2 Для оценки сейсмостойкости газопровода должны быть проведены расчеты, аналогичные расчетам при НУЭ с учетом сейсмических воздействий, а также выполнены проверки в соответствии критериальными требованиями, соответствующими различным видам отказов газопровода при землетрясениях.

Г.3 Рассматриваются следующие виды предельных состояний газопровода:

- разрыв газопровода;

- местная потеря устойчивости стенки газопровода;

- гофрообразование по телу трубы;

- образование трещин в кольцевых и продольных сварных швах, зонах термического влияния, по телу трубы;

- общая потеря устойчивости газопровода.

Г.4 Разрыв газопровода связан, как правило, с действием внутреннего давления, когда происходит раскрытие стенки трубопровода под действием кольцевых напряжений.

Г.5 Для исключения разрывов необходимо ограничивать уровень кольцевых напряжений по отношению как к пределу текучести, так и пределу прочности материала труб (указанные ограничения выполняются требованиями раздела 13.3). Увеличивать толщину стенки трубы следует лишь в случае, если невозможны другие пути снижения напряжений до уровня допустимых.

Г.6 Местная потеря устойчивости стенки газопровода (местное смятие) происходит при общем изгибе газопровода в зоне действия сжимающих продольных напряжений.

Г.7 Для предотвращения местного смятия необходимо ограничивать уровень изгибных деформаций в сечении газопровода. Должны выполняться следующие условия ограничения как относительных, так и абсолютных значений изгибных деформаций:

- на стадии ПЗ:

                                                                                                     (Г.1)

- стадии МРЗ:

                                                                                                 (Г.2)

где εизг - общая изгибная деформация;

εMmax - Деформация, соответствующая максимуму на диаграмме «изгибающий момент - изгибная деформация».

Г.8 Гофрообразование происходит при высоких уровнях осевых деформаций сжатия.

Г.9 Для предотвращения гофрообразования необходимо нормировать уровни осевых деформаций сжатия в газопроводе:

                                                                                                     (г.3)

где  - осевая деформация сжатия;

εгофр - осевая деформация сжатия, при которой начинается гофрообразование;

[kгофр] - относительная допустимая осевая деформация сжатия, которая принимается равной:

- 0,80 - для стадии ПЗ;

- 1,00 - для стадии МРЗ.

Г.10 Осевая деформация сжатия εгофр, при которой начинается гофрообразование, представляет собой деформацию, соответствующую точке начала потери устойчивости (точке максимума диаграммы «продольная сжимающая сила - осевая деформация»). Эту диаграмму необходимо рассчитывать с учетом нелинейного поведения материала трубы и при учете всех нагрузок (осевых, изгибных, внутреннего давления), действующих на газопровод в рассматриваемом варианте расчета,

Г.11 Образование трещин в кольцевых сварных швах происходит при высоких уровнях осевых деформаций растяжения.

Г.12 Для исключения данного вида отказа требуется обеспечение достаточно высокого относительного (в сравнении с основным материалом труб) уровня предела текучести материала сварного шва (условие является одинаковым как для стадии ПЗ, так и для стадии МРЗ), а также ограничение абсолютных продольных деформаций растяжения в газопроводе:

                                                                                                           (Г.4)

                                                                                                             (Г.5)

где RH2 - минимальный нормативный предел текучести основного металла трубы;

(RH2)св - минимальный предел текучести материала сварного шва/зоны термического влияния (ЗТВ);

ε+пр - деформация растяжения в сечении газопровода;

+пр] - то же, допустимая, принимается равной:

- 0,02 (2 %) - для стадии ПЗ;

- 0,04 (4 %) - для стадии МРЗ.

Г.14 Общая потеря устойчивости газопровода в вертикальной плоскости происходит при действии значительных сжимающих осевых усилий и недостаточной балластировке.

Г.15 Для обеспечения общей устойчивости газопровода при сейсмических воздействиях необходимо нормировать величину заглубления газопровода с достаточным запасом по отношению к глубине, рассчитанной при НУЭ. Данное условие должно соблюдаться только для стадии ПЗ:

                                                                                                                   (Г.6)

где Н - требуемая величина заглубления (засыпки) газопровода (от поверхности земли до верха газопровода);

Ннуэ - расчетная величина заглубления, обеспечивающая общую устойчивость газопровода на стадии НУЭ.

Г.16 Расчетную величину заглубления Ннуэ, обеспечивающую общую устойчивость газопровода на стадии НУЭ, необходимо рассчитывать с учетом диаграмм взаимодействия трубопровода с фунтом, физической нелинейности материала труб и возможной выпуклости участков газопровода в вертикальной плоскости.

Г.17 Методы определения общей изгибной деформации, осевой деформации сжатия, деформаций растяжения в сечении газопровода должны базироваться на применении моделей МКЭ, учитывающих упругопластические деформации материала труб (физическую нелинейность), а также геометрическую нелинейность в поведении системы «трубопровод-грунт» при сейсмических воздействиях.

Приложение Д
(рекомендуемое)

Классификация сварочных материалов различного назначения в зависимости от класса прочности металла труб

Таблица Д.1 - Покрытые электроды для ручной дуговой сварки

Назначение

Класс прочности металла труб

Классификация электродов

по ГОСТ 9467

по AWS A.5.1 [39]

AWS A.5.5 [40]

Для сварки корневого слоя шва кольцевых стыковых соединений труб

До К60 включ.

Э46А-Ц, Э50А-Ц

Е 6010,

Е 7010

Св. К60 до К65 включ.

Э50А-Ц

Е 7010

Для сварки «горячего прохода» кольцевых стыковых соединений труб

До К54 включ.

Э46А-Ц, 50А-Ц

Е 6010,

Е 7010

Св. К54 до К60

Э50А-Ц

Е 7010

Св. К60 до К65 включ.

Э55-Ц

Е 8010

Для сварки корневого, подварочного слоев шва кольцевых стыковых соединений труб

До К60 включ.

Э50А-Б

Е 7016

Св. К60 до К65 включ.

Э55-Б, Э60

Е 8018,

Е 9016

Для сварки заполняющих и облицовочного слоев шва кольцевых и продольных стыковых, угловых, нахлесточных соединений труб

До К54 включ.

Э50А-Б, Э55-Б

Е 7016,

Е 7018,

Е 8018

Св. К54до К60 включ.

Э60-Б

Е 8018,

Е 9018

Св. К60 до К65 включ.

Э70-Б

Е 9018,

Е 10018

Таблица Д.2 - Сварочные проволоки и флюсы для автоматической сварки под флюсом

Назначение

Класс прочности металла труб

Классификация проволок

по ГОСТ 2246

по AWS A.5.23 [41]

Для сварки поворотных кольцевых и продольных стыковых соединений труб

До К54 включ.

Легированная

F8 A0E 12,

F7 A4EM 12K

Св. К54 до К60 включ.

Легированная

F8 A0E A1,

F8 A6E N15,

F8 A5-EG,

F9 A2E A2

Св. К60 до К65 включ.

Легированная

F10 A4E A3,

F10 A4E M2

Таблица Д.3 - Сварочные проволоки сплошного сечения для сварки в защитных газах

Назначение

Класс прочности металла труб

Классификация проволок

по ГОСТ 2246

по AWS A.5.18 [42]

AWS A.5.28 [43]

Для автоматической сварки технологического продольного шва труб; механизированной сварки корневого слоя шва и автоматической сварки «горячего прохода» неповоротных кольцевых стыковых соединений газопроводов в углекислом газе

До К65 включ.

Легированная

ER 70 S-6,

ER 70 S-X

Для автоматической сварки всех слоев шва неповоротных кольцевых стыковых соединений газопроводов в смесях защитных газов

До К54 включ.

Легированная

ER 70 S-6,

ER 70S-G

Св. К54 до К60 включ.

Легированная

ER 70 S-6,

ER 70 S-G,

ER 80 S-G

Св. К60 до К65 включ.

Легированная

ER 70 S-G,

ER 90 S-G,

ER 100 S-G

Таблица Д.4 - Порошковые проволоки для сварки в защитных газах

Назначение

Класс прочности металла труб

Классификация проволок по:

ГОСТ 26271

AWS A5.20 [44],

AWS A5.29 [45]

Для сварки заполняющих и облицовочного слоев шва неповоротных кольцевых стыковых соединений газопроводов в смесях защитных газов

До К54 включ.

ПГ 44-А2В

Е71ТХ-ХМ

Св. К54 до К60 включ.

ПГ 49-А4У

ПГ 49-А2В;

ПГ 54-А5В

Е 71ТХ-ХМ,

Е 81ТХ-ХМ

Св. К60 до К65 включ.

ПГ 59-А5В

Е 91ТХ-ХМ,

E 101TX-XM

Таблица Д.5 - Самозащитные порошковые проволоки

Назначение

Класс прочности металла труб

Типы (классификация) проволок

по ГОСТ 26271

по AWS A5.29 [45]

Для сварки заполняющих и облицовочного слоев шва неповоротных кольцевых стыковых соединений газопроводов

До К54 включ.

ПС 44-2В

Е 71Т

Св. К54 до К60 включ.

ПС 49-2В, ПС 54-А5В

Е 71Т, Е81Т

Св. К60 до К65 включ.

ПС 59-5В

Е 91Т, Е101Т

Таблица Д.6 - Сварочные проволоки для аргонодуговой сварки

Назначение

Класс прочности металлатруб

Классификация проволок по ГОСТ 2246

Для сварки неповоротных кольцевых стыковых соединений газопроводов

До К54 включ.

Легированная

Для сварки угловых соединений газопроводов

До К54 включ. с трубами до К65 включ.

Таблица Д.7 - Сварочные проволоки для газовой сварки

Назначение

Класс прочности металла труб

Классификация проволок по ГОСТ 2246

Для сварки неповоротных кольцевых стыковых и угловых соединений газопроводов

До К54 включ.

Низкоуглеродистая, легированная

Библиография

[1]

Строительные нормы и правила Российской Федерации СНиП 2.05.06-85*

Магистральные трубопроводы

[2]

Строительные нормы и правила Российской Федерации СНиП 42-01-2002

Газораспределительные системы

[3]

Правила охраны магистральных трубопроводов (утверждены Министерством топлива и энергетики России 29 апреля 1992 г. и постановлением Госгортехнадзора России от 22 апреля 1992 г. № 9)

[4]

Строительные нормы и правила Российской Федерации СНиП 2.05.02-85*

Автомобильные дороги

[5]

Строительные нормы и правила Российской Федерации СНиП 2.05.07-91*

Промышленный транспорт

[6]

Строительные нормы и правила Российской Федерации СНиП III-42-80*

Магистральные трубопроводы. Правила производства и приемки работ

[7]

Правила устройства электроустановок ПУЭ (утверждены Министерством энергетики РФ, приказ от 8 июля 2002 г. № 204)

[8]

Земельный кодекс Российской Федерации

[9]

Федеральный закон от 31 марта 1999 «О газоснабжении в Российской Федерации» г. № 69-ФЗ

[10]

Ведомственный руководящий документ ОАО «Газпром» ВРД 39-1.10-006-2000*

Правила технической эксплуатации магистральных газопроводов

[11]

Ведомственные строительные нормы ОАО «Газпром» ВСН 39-1.8-008-2002

Указания по проектированию вставок электроизолирующих на магистральных и промысловых трубопроводах

[12]

Ведомственные строительные нормы ДАО «Оргэнергогаз» ВСН 39-1.22-007-2002

Указания по применению вставок электроизолирующих для газопровода

[13]

Стандарт национальной ассоциации специалистов по коррозии NACE RP 0286-971

Electrical Isolation of Cathodically Protected Pipelines

Электрическая изоляция трубопроводов с катодной защитой

[14]

Строительные нормы и правила Российской Федерации СНиП 2.02.01-83*

Основания зданий и сооружений

[15]

Строительные нормы и правила Российской Федерации СНиП 22-02-2003

Инженерная защита территорий, зданий и сооружений от опасных геологических процессов. Основные положения

[16]

Строительные нормы и правила Российской Федерации СНиП 2.01.09-91

Здания и сооружения на подрабатываемых территориях и просадочных грунтах

[17]

Шкала сейсмической интенсивности MSK-64, 1964 г.

[18]

Строительные нормы и правила Российской Федерации СНиП 2.02.04-88

Основания и фундаменты на вечномерзлых грунтах

[19]

Строительные нормы и правила Российской Федерации СНиП 11-02-96

Инженерные изыскания для строительства. Основные положения

[20]

Правила плавания по внутренним водным путям Российской Федерации (утверждены приказом Министерства транспорта Российской Федерации от 14 октября 2002 г. № 129)

[21]

Строительные нормы и правила Российской Федерации СНиП II-89-80*

Генеральные планы промышленных предприятий

[22]

Строительные нормы и правила Российской Федерации СНиП 2.01.07-85*

Нагрузки и воздействия

[23]

Строительные нормы и правила Российской Федерации СНиП II-7-81*

Строительство в сейсмических районах

[24]

Комплект карт общего сейсмического районирования территории Российской Федерации ОСР-97, Институт физики Земли имени О.Ю. Шмидта РАН, 1991-1997 г.

[25]

Ведомственные строительные нормы Миннефтегазстрой ВСН-011-88

Строительство магистральных и промысловых трубопроводов. Очистка полости и испытание

[26]

Свод правил СП 111-34-96

Очистка полости и испытание газопроводов

[27]

Стандарт ISO 3183-20071

Petroleum and natural gas industries - Stee! pipe for pipeline transportation systems Нефтяная и газовая промышленность - стальные трубы для систем трубопроводного транспорта. - 2-е изд.

[28]

Строительные нормы и правила Российской Федерации СНиП 2.03.11-85

Защита строительных конструкций от коррозии

[29]

Свод правил СП 41-103-2000

Проектирование тепловой изоляции оборудования и трубопроводов

[30]

Технические требования к наружным покрытиям на основе термореактивных материалов для противокоррозионной защиты труб, соединительных деталей, запорной арматуры и монтажных узлов трубопроводов с температурой эксплуатации от минус 20 °С до плюс 100 °С (утверждены ОАО «Газпром» 02.08.2005 г.)

[31]

Стандарт Международной организации по стандартизации ИСО 4624:20022

Лаки и краски. Определение адгезии методом отрыва

[32]

Строительные нормы и правила Российской Федерации СНиП II-23-81*

Стальные конструкции

[33]

Ведомственные строительные нормы ОАО «Газпром» ВСН 51-1.15-004-97

Инструкция по проектированию и строительству волоконно-оптических линий связи (ВОЛС) газопроводов

[34]

Ведомственный руководящий документ ОАО «Газпром» ВРД 39-1.15-009-2000

Инструкция по эксплуатации, диагностике и ремонту волоконно-оптических линий связи (ВОЛС) газопроводов

[35]

Нормы пожарной безопасности Министерства Российской Федерации по делам гражданской обороны, чрезвычайным ситуациям и ликвидации последствий стихийных бедствий НПБ 110-03

Перечень зданий, сооружений, помещений и оборудования, подлежащих защите автоматическими установками пожаротушения и автоматической пожарной сигнализацией

[36]

Перечень производственных зданий, помещений, сооружений и оборудования объектов Единой системы газоснабжения ОАО «Газпром», подлежащих защите автоматическими установками пожаротушения и пожарной сигнализацией (утвержден ОАО «Газпром» от 26.01.2000 г.)

[37]

Ведомственный руководящий документ ОАО «Газпром» ВРД 39-1.8-055-2002

Типовые технические требования на проектирование КС, ДКС и КС ПХГ

[38]

Ведомственный руководящий документ ОАО «Газпром» ВРД 39-1.13-081-2003

Система производственного экологического мониторинга на объектах газовой промышленности. Правила проектирования

[39]

Стандарт американского общества по сварке

AWS A.5.1-911

Specification for carbon steel electrodes for shielded metal arc welding

Спецификация для электродов из углеродистой стали с газозащитным покрытием для дуговой сварки

[40]

Стандарт американского общества по сварке AWS A.5.5-961

Specification for low alloy steel covered arc welding electrodes

Спецификация для электродов из низколегированной стали с обмазкой для дуговой сварки

[41]

Стандарт американского общества по сварке

AWS A.5.23-891

Electrodes from low-alloyed steel and fluxes for submerged arc welding

Электрод из низколегированной стали для дуговой сварки в защитных газах

[42]

Стандарт американского общества по сварке

AWS A.5.18-791

Electrodes from carbon steel for gas-shielded arc welding

Электроды из низколегированной стали и флюсы для дуговой сварки под флюсом

[43]

Стандарт американского общества по сварке

AWS A.5.28-911

Electrodes and rods from low-alloyed steel for gas-shielded arc welding

Электроды и прутки из низколегированной стали для дуговой сварки в среде защитного газа

[44]

Стандарт американского общества по сварке

AWS A5.20-951

Specification for Carbon Steel Electrodes for Flux Cored Arc Welding - American Welding Society / 01-Jan-1995

Спецификация для электродов из углеродистой стали для дуговой сварки порошковой проволокой. - Американское общество сварщиков. 1 января 1995 г.

[45]

Стандарт американского общества по сварке

AWS A.5.29-801

Electrodes from low-alloyed steel for arc welding by flux-cored wire

Электроды из низколегированной стали для дуговой сварки порошковой проволокой

___________

1 Оригиналы стандартов находятся в ФГУП «Стандартинформ».

2 Официальный перевод стандарта находится в ФГУП «Стандартинформ».

Ключевые слова: магистральный газопровод, нагрузка, воздействие, давление, прочность, труба, толщина стенки, соединительные детали

 

 




ГОСТЫ, СТРОИТЕЛЬНЫЕ и ТЕХНИЧЕСКИЕ НОРМАТИВЫ.
Некоммерческая онлайн система, содержащая все Российские Госты, национальные Стандарты и нормативы.
В Системе содержится более 150000 файлов нормативно-технической документации, действующей на территории РФ.
Система предназначена для широкого круга инженерно-технических специалистов.

Рейтинг@Mail.ru Яндекс цитирования

Copyright © www.gostrf.com, 2008 - 2026