|
|
|
ОТКРЫТОЕ АКЦИОНЕРНОЕ ОБЩЕСТВО «ГАЗПРОМ» СТАНДАРТ ОРГАНИЗАЦИИ МЕТОДИКА ОЦЕНКИ ТЕХНИЧЕСКОГО СОСТОЯНИЯ И ЦЕЛОСТНОСТИ ГАЗОПРОВОДОВ СТО Газпром 2-2.3-253-2009 ОТКРЫТОЕ АКЦИОНЕРНОЕ ОБЩЕСТВО «ГАЗПРОМ» Общество с ограниченной ответственностью Общество с ограниченной ответственностью «Газпром экспо» Москва 2009 Предисловие 1 РАЗРАБОТАН Обществом с ограниченной ответственностью «Научно-исследовательский институт природных газов и газовых технологий - Газпром ВНИИ ГАЗ» с участием специалистов организаций и дочерних обществ ОАО «Газпром» 2 ВНЕСЕН Управлением по транспортировке газа и газового конденсата Департамента по транспортировке, подземному хранению и использованию газа ОАО «Газпром» 3 УТВЕРЖДЕН И ВВЕДЕН В ДЕЙСТВИЕ распоряжением ОАО «Газпром» от 15 декабря 2008 г. № 496 4 ВВЕДЕН ВПЕРВЫЕ Содержание ВведениеНастоящий стандарт разработан в рамках Программы научно-исследовательских и опытно-конструкторских работ ОАО «Газпром» на 2006 г., утвержденной Председателем Правления ОАО «Газпром» 10.02.2006 № 01-20, и Перечня приоритетных научно-технических проблем ОАО «Газпром» на 2006-2010 гг., утвержденного Председателем Правления ОАО «Газпром» 11.10.2005 № 01-106: п. 4.2 «Развитие технологий и совершенствование оборудования для обеспечения надежного функционирования ЕСГ, включая методы и средства диагностики и ремонта». Настоящий стандарт разработан ООО «Газпром ВНИИГАЗ» в соответствии с договором № 0208-06-16 от 27.11.2006 на выполнение научно-исследовательских работ по теме «Объединенная методика оценки технического состояния и целостности газопроводов». Настоящий стандарт разработан с целью совершенствования методов оценки текущего и прогнозируемого технического состояния магистральных газопроводов, повышения объективности и достоверности результатов, используемых при планировании технического обслуживания линейной части магистральных газопроводов на основе совместного использования вероятностно-статистических и детерминистических методов анализа. Настоящий стандарт разработан Обществом с ограниченной ответственностью «Научно-исследовательский институт природных газов и газовых технологий - Газпром ВНИИГАЗ» (д-р техн. наук В.В. Харионовский, канд. техн. наук СВ. Нефедов, канд. техн. наук И.Н. Курганова, канд. техн. наук В.М. Силкин, канд. техн. наук В.М. Ковех, канд. техн. наук М.Ю. Панов, канд. техн. наук В.М. Ботов, Е.Н. Овсянников) с участием Управления по транспортировке газа и газового конденсата Департамента по транспортировке, подземному хранению и использованию газа ОАО «Газпром» (д-р техн. наук В.В. Салюков, канд. техн. наук М.Ю. Митрохин, А.В. Молоканов), ООО «Газпром газнадзор» (В.Н. Медведев, д-р техн. наук Ф.Г. Тухбатуллин, канд. техн. наук М.И. Королев).
СТАНДАРТ ОТКРЫТОГО АКЦИОНЕРНОГО ОБЩЕСТВА «ГАЗПРОМ» МЕТОДИКА ОЦЕНКИ
ТЕХНИЧЕСКОГО СОСТОЯНИЯ Дата введения - 2009-09-30 1 Область применения1.1 Настоящий стандарт устанавливает порядок проведения комплексной оценки технического состояния магистральных газопроводов ОАО «Газпром» на этапе эксплуатации на основе применения объединенного подхода, предусматривающего совместное применение детерминистических и вероятностных методов анализа. 1.2 Действие настоящего стандарта распространяется на объекты линейной части магистральных газопроводов. 1.3 Применительно к настоящему стандарту под линейной частью магистрального газопровода следует понимать часть магистрального газопровода (от места выхода с промысла подготовленного к дальнему транспорту газа) с ответвлениями и лупингами, запорной арматурой, переходами через естественные и искусственные препятствия, узлами подключения компрессорных станций, узлами замера расхода газа, узлами пуска и приема очистных устройств. 1.4 Положения настоящего стандарта предназначены для использования структурными подразделениями, дочерними обществами и организациями ОАО «Газпром», эксплуатирующими и обслуживающими магистральные газопроводы, а также организациями, занимающимися проектированием, обследованием и контролем технического состояния линейной части магистральных газопроводов ОАО «Газпром» в соответствии с заключенными договорами. 2 Нормативные ссылкиВ настоящем стандарте использованы нормативные ссылки на следующие стандарты: ГОСТ 8.283-78 Государственная система обеспечения единства измерений. Дефектоскопы электромагнитные. Методы и средства поверки ГОСТ 9.602-2005 Единая система защиты от коррозии и старения. Сооружения подземные. Общие требования к защите от коррозии ГОСТ 27.002-89 Надежность в технике. Основные понятия. Термины и определения ГОСТ 27.003-90 Надежность в технике. Состав и общие правила задания требований по надежности ГОСТ 27.301-95 Надежность в технике. Расчет надежности. Основные положения ГОСТ 27.310-95 Надежность в технике. Анализ видов, последствий и критичности отказов. Основные положения ГОСТ 3242-79 Соединения сварные. Методы контроля качества ГОСТ 5272-68 Коррозия металлов. Термины ГОСТ 7512-82 Контроль неразрушающий. Соединения сварные. Радиографический метод ГОСТ 12248-96 Грунты. Методы лабораторного определения характеристик прочности и деформируемости ГОСТ 12503-75 Сталь. Методы ультразвукового контроля. Общие требования ГОСТ 14782-86 Контроль неразрушающий. Соединения сварные. Методы ультразвуковые ГОСТ 15467-79 Управление качеством продукции. Основные понятия. Термины и определения ГОСТ 18442-80 Контроль неразрушающий. Капиллярные методы. Общие требования ГОСТ 20276-99 Грунты. Методы полевого определения характеристик прочности и деформируемости ГОСТ 21105-87 Контроль неразрушающий. Магнитопорошковый метод ГОСТ 21878-76 Случайные процессы и динамические системы. Термины и определения ГОСТ 23049-84 Контроль неразрушающий. Дефектоскопы ультразвуковые. Общие технические требования ГОСТ 23667-85 Контроль неразрушающий. Дефектоскопы ультразвуковые. Методы измерения основных параметров ГОСТ 24289-80 Контроль неразрушающий вихретоковый. Термины и определения ГОСТ 26697-85 Контроль неразрушающий. Дефектоскопы магнитные и вихретоковые. Общие технические требования ГОСТ 28702-90 Контроль неразрушающий. Толщиномеры ультразвуковые. Общие технические требования ГОСТ Р 50779.10-2000 Статистические методы. Вероятность и основы статистики. Термины и определения ГОСТ Р 51164-98 Трубопроводы стальные магистральные. Общие требования к защите от коррозии ГОСТ Р 51901.5-2005 Менеджмент риска. Руководство по применению методов анализа надежности ГОСТ Р 51901.14-2005 Менеджмент риска. Метод структурной схемы надежности ГОСТ Р 52330-2005 Контроль неразрушающий. Контроль напряженно-деформированного состояния объектов промышленности и транспорта. Общие требования СТО РД Газпром 39-1.10-088-2004 Регламент электрометрической диагностики линейной части магистральных газопроводов СТО Газпром 2-3.5-034-2005 Документы нормативные для проектирования, строительства и эксплуатации объектов ОАО «Газпром». Типовая инструкция выполнения работ по пропуску очистных устройств и средств внутритрубной дефектоскопии с использованием временных узлов пуска и приема СТО Газпром 2-2.4-083-2006 Документы нормативные для проектирования, строительства и эксплуатации объектов ОАО «Газпром». Инструкция по неразрушающим методам контроля качества сварных соединений при строительстве и ремонте промысловых и магистральных газопроводов СТО Газпром 2-2.3-095-2007 Документы нормативные для проектирования, строительства и эксплуатации объектов ОАО «Газпром». Методические указания по диагностическому обследованию линейной части магистральных газопроводов СТО Газпром 2-2.3-112-2007 Документы нормативные для проектирования, строительства и эксплуатации объектов ОАО «Газпром». Методические указания по оценке работоспособности участков магистральных газопроводов с коррозионными дефектами СТО Газпром 2-2.3-184-2007 Документы нормативные для проектирования, строительства и эксплуатации объектов ОАО «Газпром». Методика по расчету и обоснованию коэффициентов запаса прочности и устойчивости на стадии эксплуатации и технического обслуживания Примечание - При пользовании настоящим стандартом целесообразно проверить действие ссылочных стандартов по соответствующему указателю, составленному на 1 января текущего года, и информационным указателям, опубликованным в текущем году. Если ссылочный документ заменен (изменен), то при пользовании настоящим стандартом следует руководствоваться замененным (измененным) документом. Если ссылочный документ отменен без замены, то положение, в котором дана ссылка на него, применяется в части, не затрагивающей эту ссылку. 3 Термины и определенияВ настоящем стандарте применены термины по ГОСТ 5272, ГОСТ 15467, ГОСТ 27.002, ГОСТ 21878, ГОСТ Р 50779.10, а также следующие термины с соответствующими определениями: 3.1 жизненный цикл объекта: Последовательность создания, функционирования и ликвидации объекта, включающая стадии проектирования, строительства, эксплуатации (с учетом технического обслуживания), продления ресурса, консервации (хранения) и ликвидации после наступления предельного состояния. 3.2 нагруженность: Совокупность количественных характеристик разнородных процессов и явлений, определяющих напряженно-деформированное состояние в пределах рассматриваемого участка газопровода. 3.3 надежность газопровода: Свойство газопровода сохранять во времени в установленных пределах значения всех параметров, характеризующих способность поставки товарного газа требуемого качества при заданных режимах эксплуатации, требованиях к безопасности и условиях применения, технического обслуживания, хранения и транспортирования элементов газопроводной конструкции. 3.4 остаточный ресурс газопровода (срок службы): Наработка газопровода (календарная продолжительность эксплуатации) от момента инициации процедуры оценки и продления ресурса до перехода в предельное состояние. 3.5 показатель надежности: Количественная характеристика одного или нескольких свойств, составляющих надежность объекта. [ГОСТ 27.002-89, пункт 6.1] 3.6 потенциально опасный участок: Элемент ЛЧМГ, который в силу своих конструктивных особенностей, природных условий эксплуатации или близости по отношению к внешним техногенным воздействиям подвержен проявлению критических отказов с ожидаемой частотой потока отказов существенно большей среднего значения по всему рассматриваемому газопроводу Примечание - Допускается расширительное толкование понятия потенциально опасного участка, при котором к таковым относят еще и участки с вероятными тяжкими последствиями аварий, возникающими вследствие близости участка к источникам техногенных воздействий или к объектам с повышенной транспортной, промышленной или строительной активностью, а также участки, на которых в соответствии с действующей нормативной документацией были выявлены опасные дефекты или отклонения от проектного состояния. 3.7 предельное состояние газопровода: Состояние, при котором дальнейшая эксплуатация газопровода недопустима или нецелесообразна либо восстановление его работоспособного состояния недопустимо или нецелесообразно. 3.8 разрушение: Событие, заключающееся в деформировании, изменении геометрических размеров конструкций или отдельных элементов технологической системы (с возможным разделением их на части) в результате силовых, термических или иных воздействий, сопровождающееся нарушением работоспособности объекта. 3.9 риск: Мера опасности, характеризующаяся как возможностью (ожидаемой частотой) возникновения аварий, так и тяжестью их последствий. В зависимости от целей анализа риск может оцениваться как в качественных, так и в количественных показателях. Риск измеряется в тех же единицах, что и последствия (ущерб) от аварии за рассматриваемый интервал времени. Показателями техногенного риска для людей являются: потенциальный риск, индивидуальный риск, коллективный риск, социальный риск. 3.10 система: Совокупность элементов, объединенных конструкционно и/или функционально для выполнения некоторых требуемых функций. [ГОСТ 27.310-95, пункт 3.2] 3.11 срок службы газопровода (ресурс): Календарный срок эксплуатации газопровода (наработка) до перехода в предельное состояние. Примечание - Следует различать предельные состояния конструктивных элементов, локальных участков газопровода и протяженной трубопроводной трассы (между компрессорными станциями, между крановыми узлами и т.п.). 3.12 техническое обслуживание: Совокупность мероприятий (управляющих воздействий на объект), целью которых является поддержание на заданном уровне параметров технического состояния, функциональной (системной, технологической) надежности и/или конструктивной надежности (надежности элементов), безопасности объекта. 3.13 технический объект (объект): Любое изделие (устройство, подсистема, функциональная единица или система), которое можно рассматривать в отдельности. [ГОСТ 27.310-95, пункт 3.12] 3.14 целостность (конструкционная целостность): Обобщенное понятие, используемое для идентификации состояния объекта транспорта газа, при котором обеспечена его герметичность, рассматриваемая как необходимое условие обеспечения промышленной безопасности. Оценка целостности - совокупность расчетных, экспериментальных и организационных мероприятий, направленных на оценку соответствия фактического или прогнозируемого состояния объекта требованиям прочности, устойчивости и трещиностойкости, приведенным в нормативной документации. Примечание - В ряде случаев в международной практике словосочетание «обеспечение (поддержание) целостности» используется в качестве смыслового аналога более широкого понятия «поддержание технического состояния», используемого в нормативной документации ОАО «Газпром». 3.15 элемент: Составная часть технического объекта, рассматриваемая в рамках выполняемого анализа как единое целое, не подлежащее дальнейшему разукрупнению. [ГОСТ 27.310-95, пункт 3.1] 4 Методы и алгоритмы комплексной оценки технического состояния и целостности линейных частей магистральных газопроводов4.1 Общий алгоритм оценки технического состояния и целостности4.1.1 Оценку технического состояния и целостности линейных частей магистральных газопроводов проводят в рамках специализированного комплекса инженерно-технических работ, включающего получение, обработку и анализ совокупности разнородных данных. Указанные работы выполняют для оценки соответствия технических характеристик рассматриваемого объекта требованиям нормативных документов, регламентирующих порядок применения объекта по назначению. 4.1.2 Соответствие объекта установленным требованиям оценивают на основе системы показателей технического состояния, характеризующих способность объекта выполнять заданные функции, путем сопоставления фактических и нормативно закрепленных значений показателей технического состояния.
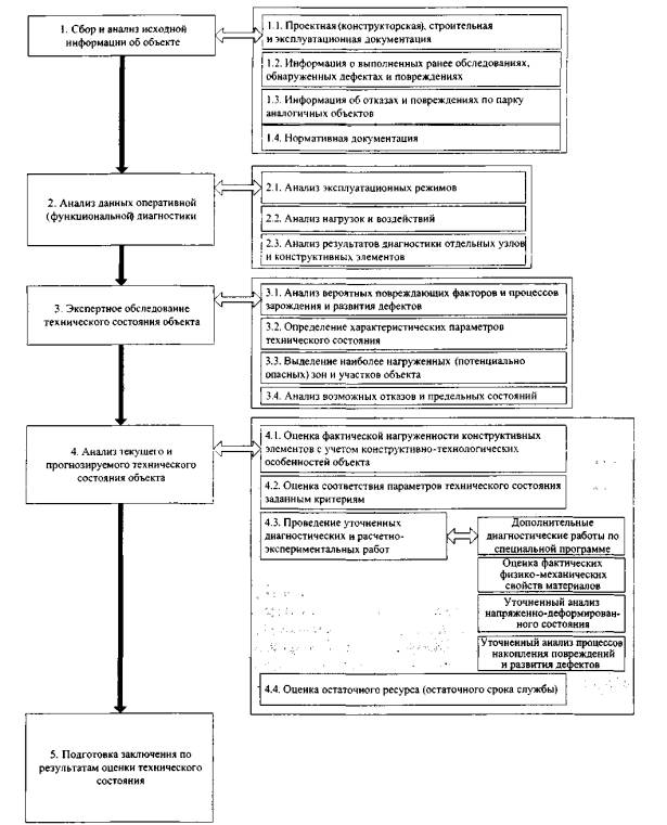
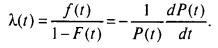
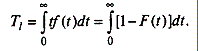
4.1.4 Различают оценки текущего и прогнозируемого технического состояний, определяемых, соответственно, на момент проведения анализа и на любой предстоящий момент времени. 4.1.5 Общий алгоритм оценки технического состояния газопроводов предусматривает последовательную реализацию следующих этапов: - сбор и анализ исходной технической информации об объекте; - проведение оперативной (функциональной) диагностики; - экспертное обследование технического состояния объекта; - анализ повреждений, установление их механизма и определяющих параметров технического состояния объекта; - установление закономерностей изменения определяющих параметров технического состояния, предельных состояний и их критериев; - анализ отказов и предельных состояний, оценку последствий и критичности отказов в соответствии с ГОСТ 27.310; - обработку полученных данных и прогнозирования ресурса; - обоснование вариантов решений о возможности дальнейшей эксплуатации объекта. 4.1.6 Оценку технического состояния объекта осуществляют по параметрам технического состояния, обеспечивающим его надежную и безопасную эксплуатацию согласно нормативной и (или) конструкторской (проектной) документации, а остаточный ресурс - по определяющим параметрам технического состояния. В качестве параметров технического состояния принимают параметры, изменение которых (в отдельности или в некоторой совокупности) может привести объект в неработоспособное или предельное состояние. 4.1.7 С учетом принятых критериев предельного состояния и условий эксплуатации объекта в качестве параметров технического состояния могут быть использованы: - физико-механические характеристики конструкционных материалов (предел текучести, предел прочности, твердость, характеристики трещиностойкости, пределы выносливости, длительной прочности, характеристики микроструктуры материала и другие; - фактические располагаемые коэффициенты запасов прочности (по пределам текучести, прочности, длительной прочности, ползучести, трещиностойкости, устойчивости, по числу циклов или напряжениям при расчетах на циклическую прочность) в соответствии с СТО Газпром 2-2.3-184; - технологические показатели (температура, давление, параметры вибрации, режимы работы и т.д.). 4.1.8 Оценку параметров технического состояния и выбор определяющих параметров проводят по результатам анализа проектно-конструкторской документации (чертежи, схемы, планы и т.п.), технической документации (технический паспорт, инструкции по использованию и т.п.), данных оперативной (функциональной) диагностики, экспертного обследования объекта. 4.1.9 При оценке ресурса по результатам предварительного анализа допускается использование дополнительных критериев предельных состояний, определяющих ресурсные характеристики объекта, не предусмотренных исходной нормативной, проектной и эксплуатационной документацией. 4.1.10 Оценку остаточного ресурса проводят на основе установленных закономерностей изменения определяющих параметров, полученных при анализе механизмов накопления повреждений, зарождения и развития дефектов и (или) по результатам измерения функциональных показателей. 4.1.11 Структурная схема комплексной оценки технического состояния газопроводов приведена на рисунке 1.
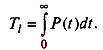
Рисунок 1 - Общий алгоритм комплексной оценки технического состояния 4.2 Детерминистический, вероятностный и объединенный подходы к оценке надежности4.2.1 Общие требования к выбору показателей надежности, выбору системы критериев отказов и предельных состояний, процедуре расчета надежности приведены в ГОСТ 27.003, ГОСТ 27.301, ГОСТ Р 51901.5. 4.2.2 Анализ надежности системы базируется на выборе определенных расчетных моделей или расчетных схем. Выбор моделей и расчетных схем предполагает проведение предварительного анализа с целью выделения существенных факторов влияния в соответствии с РД 51-4.2-003-97 [1] и [2], [3]. Различают два подхода к анализу надежности: детерминистический и стохастический (вероятностный, статистический). 4.2.3 При детерминистическом подходе все
факторы, влияющие на поведение модели, т.е. параметры модели и параметры
окружающей среды, начальные условия и т.п. считают вполне определенными,
детерминированными. Решение корректно поставленной детерми 4.2.4 В отличие от детерминистического подхода стохастический подход к анализу явлений учитывает случайные факторы и позволяет получить прогноз, содержащий вероятностные оценки. Неоднозначность оценок поведения систем обусловлена тем, что есть факторы, которые сознательно игнорируют при анализе либо о которых не имеется достаточной информации. Примечание - В рамках оценки технического состояния может быть применен подход, предусматривающий совместное использование детерминистических и вероятностных методов анализа. Реализация объединенного подхода включает оценку несущей способности и ресурса участка газопровода в рамках традиционных детерминистических методов и получение оценок вероятностей возникновения аварийных ситуаций на участках газопроводов, вызванных различными факторами. Совместное использование детерминистических и вероятностных расчетных моделей повышает достоверность оценок, способствует обоснованности принимаемых по результатам анализа решений. Варианты использования объединенного подхода рассмотрены в настоящем стандарте. 4.2.5 Теория вероятностей базируется на статистическом истолковании понятия вероятности, применимом в классическом варианте к массовым событиям и массовым объектам, для которых могут быть получены представительные, статистически значимые выборки. В связи с этим применение вероятностно-статистических методов для анализа единичных и уникальных объектов сопряжено с объективными трудностями, вызванными тем, что приемлемые значения риска для этих объектов весьма малы, и, как следствие, при проведении анализа требуется экстраполяция результатов в область редких значений. Примечание - В теории надежности различают два направления - системную и физическую надежность. Объектом системной (статистической, математической) теории надежности служат системы из элементов, взаимодействующих между собой в смысле сохранения работоспособности по логическим схемам: графам, деревьям отказов и т.п. Исходную информацию в системной теории надежности, как правило, образуют показатели надежности элементов, определяемые путем статистической обработки результатов испытаний и (или) эксплуатационных данных. Задачи системной теории надежности решают в рамках теории вероятностей и математической статистики, т.е. без привлечения физических моделей отказов и тех физических явлений, которые вызывают и сопровождают возникновение отказов. Порядок работы со структурными моделями регламентирует ГОСТ Р 51901.14. Отличие физической теории надежности состоит в том, что возможность возникновения в системе отказов рассматривают как результат взаимодействия между системой и внешними воздействиями (эксплуатационными нагрузками, условиями среды и т.п.), а также механическими, физическими и иными процессами, которые происходят в компонентах системы в процессе ее эксплуатации. 4.2.6 В рамках параметрического
определения надежности способность технического объекта выполнять требуемые функции
описывают при помощи некоторой совокупности Примечание - К контролируемым параметрам могут быть отнесены значения напряжений и деформаций, размеры дефектов, показатели конструкционной прочности, динамические характеристики и другие параметры. С течением времени значения этих параметров изменяются, достигая некоторых предельно допустимых значений. 4.2.7 Надежность является комплексным свойством, которое в зависимости от назначения объекта и условий его применения может включать безотказность, долговечность, ремонтопригодность и сохраняемость, определяемые по ГОСТ 27.002. Структура показателей надежности рассмотрена в приложении А. Математические модели, используемые для опенки показателей надежности, рассмотрены в приложении Б. 4.2.8 В случаях, когда объекты являются потенциальным источником опасности, важными понятиями в терминологии по надежности согласно ГОСТ 27.002 являются «безопасность» и «живучесть». Примечания1 Безопасность, как свойство объекта не создавать угрозу для населения и (или) для окружающей среды при изготовлении и эксплуатации и в случае нарушения работоспособного состояния, обычно не включают в понятие надежности. Однако при определенных условиях безопасность тесно связана с этим понятием, например если отказы могут привести к условиям, вредным для людей и (или) окружающей среды сверх установленных норм. 2 Понятие «живучесть» занимает пограничное место между понятиями «надежность» и «безопасность». Под живучестью понимают свойство объекта, состоящее в его способности противостоять развитию критических и существенных отказов из дефектов, повреждений и несущественных отказов при установленной системе технического обслуживания и ремонта. Понятием «живучесть» определяют свойство объекта сохранять ограниченную работоспособность при воздействиях, не предусмотренных условиями эксплуатации, или как свойство объекта сохранять ограниченную работоспособность при наличии дефектов или повреждений определенного вида, а также при отказе некоторых компонентов. 4.3 Структурирование линейной части газопровода4.3.1 Для выполнения комплексной опенки и прогноза технического состояния линейной части газопроводов выделяют следующие элементы: - трубы; - соединительные детали трубопроводов (СДТ); - технические устройства (запорная арматура, камеры запуска-приема внутритрубных устройств и т.п.). В качестве элементарных участков принимают трубы и СДТ. При отсутствии данных, достаточных для выделения в качестве элементарных участков отдельных труб и СДТ, элементарные участки выделяют по имеющимся данным. При этом основные исходные параметры в пределах каждого элементарного участка должны иметь одинаковые или близкие значения. Технические устройства рассматривают отдельно в соответствии с требованиями нормативов, регламентирующих оценку состояния технических устройств. 4.3.2 Элементарные участки (трубы и СДТ) характеризуются набором параметров, определяемых по проектной, исполнительной и эксплуатационной документации (исходные параметры), а также вычисляемых при выполнении комплексной оценки технического состояния газопровода (расчетные параметры). 4.3.3 К исходным параметрам элементарных участков относят: - конструкцию трубы или СДТ; - диаметр; - толщину стенки; - марку стали; - характеристики металла трубы или СДТ (временное сопротивление; предел текучести; относительное удлинение; ударная вязкость; эквивалент углерода); - конструкцию и тип изоляционного покрытия; - характеристики изоляционного покрытия; - защитный потенциал; - наименование обнаруженных дефектов (коррозионный дефект, стресс-коррозионный дефект, вмятина, гофр, задир и т.п.); - характеристики обнаруженных дефектов (длина, глубина и т.п.); - характеристики окружающей среды (тип и характеристики грунтов, воздействие водотоков, уровень грунтовых вод и т.п.); - другие параметры, используемые для анализа и расчетов. 4.3.4 К расчетным параметрам элементарных участков относят: - текущее (на момент обследования) значение предельного разрушающего давления (ПРД); - текущее значение максимально допустимого рабочего давления (МРД); - прогнозируемое (на заданный предстоящий момент) значение ПРД; - прогнозируемое значение МРД; - срок безопасной эксплуатации; - вероятность перехода в предельное состояние; - другие параметры, используемые для разработки рекомендаций.
Правила объединения элементарных участков определяют в соответствии с требованиями используемой расчетно-аналитической процедуры. 4.4 Показатели технического состояния и целостности линейной части магистральных газопроводов в рамках объединенного подхода к оценке технического состоянияВ рамках объединенного подхода к оценке технического состояния и целостности линейной части магистральных газопроводов рекомендованы к применению следующие показатели: - текущее (на момент обследования) и прогнозируемое (на заданный предстоящий момент времени распределение максимального допустимого рабочего давления (МРД) и предельного разрушающего давления (ПРД) по длине рассматриваемого участка линейной части магистрального газопровода, определяемое значениями МРД и ПРД элементарных участков; - срок безопасной эксплуатации каждого элементарного участка, рассчитанный в рамках детерминистического подхода; - вероятность перехода в предельное состояние (нарушения расчетного условия прочности) по каждому элементарному участку, определенная по состоянию на момент обследования и на заданный предстоящий момент; - количество труб, подлежащих ремонту или замене для обеспечения установленного значения МРД участка газопровода, а также предельные сроки проведения их замены или ремонта; - протяженность и расположение локальных дефектных участков газопровода и отдельных дефектных труб, подлежащих ремонту, а также предельные сроки их ремонта. 5 Комплексный анализ данных при оценке технического состояния линейной части магистральных газопроводов5.1 Предварительная характеристика объекта5.1.1 На этапе предварительного анализа должны быть собраны и проанализированы следующие группы данных о газопроводе: - общая характеристика газопровода; - данные о конструктивном и технологическом исполнении; - данные о регионе прокладки; - данные о произошедших ранее авариях и отказах; - данные о выполненных ремонтных работах; - результаты выполненных ранее диагностических обследований и испытаний. Примечание - По результатам предварительного анализа должны быть подготовлены данные об особенностях конструктивного исполнения газопровода, природно-климатических условиях вдоль трассы, результатах выполненных обследований, выявленных дефектах и повреждениях. 5.1.2 К группе общих характеристик газопровода, которые должны быть приведены в отчетной документации, отнесены: - наименование газопровода; - сведения об организации, выполнившей проект; - сведения об организациях, осуществивших строительство; - год завершения строительства газопровода и ввода его в эксплуатацию; - рабочее давление, максимальное давление при испытаниях (согласно проектным условиям). 5.1.3 К группе данных, характеризующих конструктивное и технологическое исполнение газопровода отнесены: - технологическая схема газопровода; - характеристики труб и СДТ (конструкция, диаметр, толщина стенки, марка стали, завод-изготовитель, ТУ); - характеристики технологического оборудования; - раскладка труб в газопроводе. 5.1.4 К группе данных о регионе прокладки газопровода отнесены: - географические данные о регионе (расположение региона, характеристики климата, рельеф местности вдоль газопровода); - координаты газопровода на местности; - расположение газопровода относительно населенных пунктов, жилых, административных и промышленных зданий и сооружений; - расположение газопровода относительно других коммуникаций (газонефтепроводы и продуктопроводы, электрические сети, железные и автомобильные дороги и т.п.). 5.1.5 К группе данных, характеризующих техническое состояние газопровода, относят: - данные об авариях и отказах, произошедших в предшествующий период эксплуатации; - данные о выполненных ремонтных работах; - результаты диагностических обследований, выполненных ранее на газопроводе; - результаты специализированных диагностических обследований и текущего эксплуатационного мониторинга. Примечание - Необходимая информация может быть получена на основе сведений, представленных в актах расследований аварий. В актах приводят данные о месте и времени возникновения аварии, причине возникновения, масштабах повреждений, принятых первоочередных мерах по локализации аварии и выполненных ремонтно-восстановительных работах. Данные о выполненных на газопроводе ремонтно-восстановительных работах представлены в актах, составляемых по итогам выполнения работ. 5.1.6 В зависимости от программы и степени полноты выполненных ранее исследований в качестве исходных данных используют результаты: - внутритрубных инспекций, выполненных в соответствии с СТО Газпром 2-3.5-034, СТО Газпром 2-3.5-095 и РД 51-2-97 [4]; - электрометрических измерений (защитный потенциал «труба-земля», значения поперечного градиента потенциала, удельное электрическое сопротивление грунта вдоль трассы) в соответствии с СТО РД Газпром 39-1.10-088; - визуально-измерительного контроля качества изоляционного покрытия, определения глубины заложения и пространственного положения газопровода, а также степени защищенности металла катодной защитой в соответствии с ВРД 39-1.10-026-2001 [5]; - визуально-измерительного контроля основного металла труб и сварных соединений в соответствии с РД 03-606-03 [6]; - приборно-инструментального контроля состояния металла в шурфах (толщинометрия, твердометрия поверхностных слоев металла, ультразвуковой и рентгеновский контроль состояния сварных швов и основного металла) по СТО Газпром 2-2.3-095 и СТО Газпром 2-2.4-083; - оценки дефектности труб и соединительных деталей при ремонте и диагностировании магистральных трубопроводов в соответствии с Инструкцией [7]; - тензометрирования при различных режимах нагружения согласно Методическим рекомендациям [8]; - акустоэмиссионного контроля состояния металла на участках, прилегающих к шурфу; - непосредственного измерения параметров нагрузок и воздействий на газопровод; - грунтово-геологических изысканий вдоль трассы (распределение типов грунтов, водонасыщенность, уровень грунтовых вод); - физико-химических измерений параметров грунта и почвенных электролитов вдоль трассы газопровода; - топографической съемки фактического положения оси газопровода; - испытаний отдельных участков газопровода и/или вырезанных ранее отрезков трубы (катушек) с дефектами и повреждениями; - физико-механических испытаний образцов, вырезанных из металла катушек и труб аварийного запаса. 5.1.7 Полученные данные должны быть обработаны с целью выявления следующих параметров и групп данных о газопроводе: - характерные типы повреждений и механизмы деградации свойств объекта; - характерные и максимальные размеры повреждений; - данные о кинетике развития дефектов и повреждений; - значения фактических (располагаемых) физико-механических свойств металла труб в сравнении с исходными показателями, зафиксированными на момент поставки; - перечень потенциально опасных участков. 5.1.8 Исходные данные и результаты анализа должны быть приведены в табличной и/или графической форме с привязкой к географическим координатам. Примечание - С целью хранения и обеспечения компьютерного анализа текущего и прогнозируемого технического состояния объекта все исходные данные рекомендовано заносить в базу данных, сформированную с учетом Р Газпром 2-2.1-160-2007 [9]. 5.2 Анализ проектной и исполнительной документации5.2.1 В перечень подлежащих рассмотрению проектных и исполнительных документов включают: - технический паспорт газопровода; - технологическую схему газопровода; - географический план местности, выполненный в различных масштабах; - схемы газопровода, выполненные с привязкой к местности; - планы отдельных участков газопровода; - чертежи с профилем оси газопровода с привязкой к местности; - планы и профили переходов газопровода через отдельные естественные и искусственные препятствия (планы перехода через реку, ручей, овраг, железную дорогу, автомобильную дорогу и т.п.); - ведомости согласованных отклонений от проекта; - документы качества (сертификаты, паспорта) труб и СДТ; - другие документы и материалы по усмотрению специалистов, выполняющих анализ материалов.
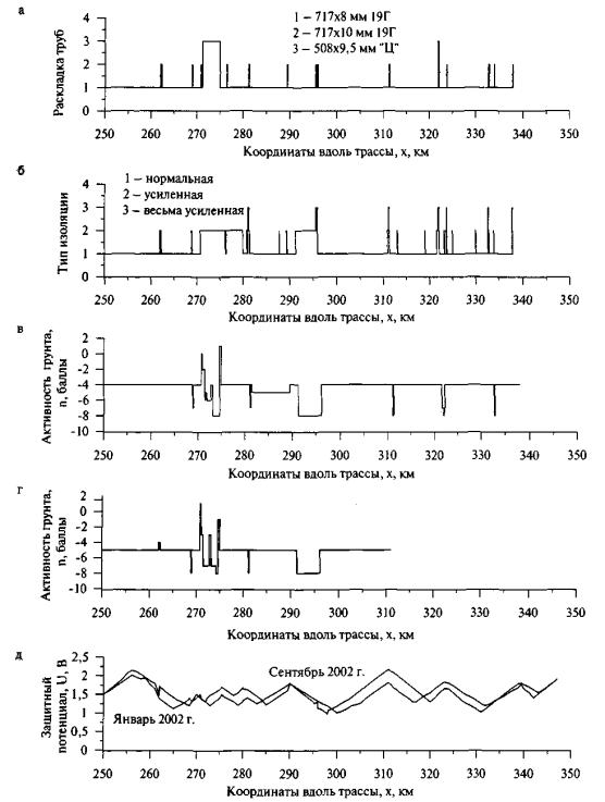
местности, предусматривающая определение географических координат газопровода по всей протяженности рассматриваемого участка. Примечание - При использовании исключительно архивных данных, относящихся к этапу строительства газопровода, привязка газопровода на местности может быть выполнена на основе данных геодезической съемки и строительных планов посредством совмещения имеющихся данных о расположении объектов газопровода с физическими планами региона прокладки. Уточненные данные о физических координатах в настоящее время могут быть получены по результатам повторной геодезической съемки с использованием систем спутниковой навигации и определения координат. 5.2.3 По результатам привязки газопровода на местности наносят зоны минимально допустимых состояний газопровода, нахождение в которых жилых или промышленных зданий и сооружений недопустимо. 5.2.4 На основе имеющихся данных рассматривают раскладку труб по трассе. 5.2.5 На основе проектно-конструкторской документации формируют таблицу с координатами сечений газопровода, соответствующих изменению хотя бы одного из перечисленных ниже параметров: - диаметр трубы; - толщина стенки; - марка стали; - тип изоляции. Примечание - Для большей наглядности полученные данные могут быть представлены графически в виде функции, зависящей от продольной координаты. 5.2.6 При необходимости на основе проектной и строительной документации, специализированных измерений, проведенных с использованием технических средств, формируют данные о пространственном положении оси газопровода. Примечание - Для получения уточненных данных о пространственном положении оси газопровода могут быть использованы крупномасштабные планы исполнения газопровода на крутоизогнутых участках и переходах через естественные и искусственные препятствия. 5.2.7 Для восстановления данных о грунтово-геологических условиях вдоль трассы в объеме, достаточном для предварительного анализа, следует использовать данные, приведенные на строительных чертежах и полученные в процессе эксплуатации по результатам дополнительных исследований. 5.2.8 Дополнительные характеристики грунта могут быть получены по результатам специализированных лабораторных исследований физико-химических свойств грунта. Пример анализа потенциально опасных участков с повышенной коррозионной агрессивностью приведен в приложении В. 5.2.9 Для оценки несущей способности грунта и сопротивления грунта приложенным нагрузкам могут быть проведены исследования с целью определения параметров, характеризующих механическую прочность и деформативность грунта при различных условиях в соответствии с ГОСТ 12248, ГОСТ 20276. 5.3 Анализ условий эксплуатации газопровода5.3.1 Для оценки уровня повреждений, уже накопленных конструкцией газопровода, и получения прогнозных оценок должны быть использованы данные о нагруженное™ участка газопровода, учитываемые в течение предшествующего и прогнозируемого периода эксплуатации. 5.3.2 Перечень необходимых показателей нагруженности зависит от конструктивной схемы, реальных условий эксплуатации газопровода, а также применяемых при анализе расчетных схем и должен быть дополнительно уточнен для каждого объекта. 5.3.3 Данные о нагруженности представляют в форме функциональных зависимостей или в виде соответствующих числовых последовательностей. Примечание - При отсутствии данных о нагруженности конкретного объекта или участка газопровода за предшествующий период могут быть использованы данные, относящиеся к аналогичным объектам. 5.3.4 Данные о нагруженности объекта должны быть проанализированы с целью выявления частотных и временных закономерностей. Анализ проводят с целью выделения постоянных и переменных составляющих нагрузок и воздействий, оценки их максимальных и минимальных значений. 5.3.5 Степень защищенности газопровода средствами электрохимической защиты оценивают в соответствии с положениями ГОСТ Р 51164. Нарушение требований ГОСТ Р 51164 по значениям защитного потенциала и/или продолжительности временной неработоспособности систем электрохимической защиты на отдельных участках может служить основанием для проведения дополнительных исследований технического состояния газопровода на этих участках. 5.3.6 Уточненную оценку коррозионной агрессивности грунтов вдоль трассы газопровода выполняют в следующей последовательности. 5.3.6.1 На основе данных, приведенных в проектной документации и полученных по результатам дополнительных исследований, составляют таблицы распределения типов грунтов вдоль трассы газопровода. 5.3.6.2 По результатам комплексного анализа рельефа местности, расположения водных потоков и иных факторов на экспертном уровне оценивают гидрогеологические условия на отдельных участках.
- тип грунта; - пересечение газопровода с водотоками; - наличие грунтовой воды на уровне сооружения; - влажность грунта; - удельное электрическое сопротивление грунта. 5.3.6.4 По результатам анализа полученных данных получают интегральную оценку коррозионной агрессивности. 5.3.7 С целью непосредственной оценки технического состояния и работоспособности и выявления основных повреждающих факторов и механизмов деградации свойств объекта в процессе эксплуатации выполняют анализ текущей дефектности участка газопровода. Примечание - Фактические данные о действующих механизмах накопления повреждений, зарождении и развитии дефектов необходимы для правильного выбора типа кинетических уравнений на этапе опенки ресурса объекта. 5.3.8 Фактические данные о текущей дефектности на отдельных участках могут быть получены по результатам внутритрубных инспекций, визуального и инструментального обследования участка газопровода. 5.3.9 Косвенные данные о вероятной дефектности участка газопровода могут быть получены на основе данных об имевших место ранее отказах и повреждениях на других участках газопровода с аналогичными или близкими условиями эксплуатации. Примечание - Критерии идентичности, на основе которых допускается использование данных, полученных на другом объекте, должны быть сформулированы экспертами, выполняющими оценку технического состояния конкретного участка газопровода. 5.3.10 Распространение косвенных данных об ожидаемой дефектности на необследованные участки газопровода допустимо, если до этого было проведено комплексное обследование инструментальными методами участков с более жесткими условиями эксплуатации по рассматриваемой группе показателей. Примечание - Положение, изложенное в 5.3.10, применяют только по отношению к повреждениям, вызванным локальной или общей внешней коррозией, и только в том случае, если при максимальной ожидаемой скорости коррозии на обследованном участке, рассматриваемом в качестве участка-аналога, обеспечен остаточный ресурс участка газопровода не менее трех лет. 5.3.11 Если в процессе эксплуатации или в результате инструментального обследования одного или нескольких участков газопровода были выявлены дефекты и повреждения, вызванные коррозионным растрескиванием под напряжением или коррозионной усталостью, то необходимо провести расширенный анализ технического состояния газопровода с привлечением инструментальных средств, обеспечивающих выявление дефектов. 5.3.12 При проведении предварительного анализа повреждающих факторов следует исходить из того, что в общем случае для газопроводов характерны следующие четыре группы повреждающих факторов: - коррозионные процессы, связанные выраженной потерей материала, типа общей и локальной коррозии труб; - комбинированные коррозионно-механические явления, прежде всего коррозионное растрескивание под напряжением; - накопление усталостных повреждений и развитие дефектов в наиболее нагруженных элементах конструкции газопровода под действием комплекса повторно-переменных нагрузок и воздействий механической природы; - изменение свойств металла труб и сварных соединений в процессе эксплуатации под действием факторов внешней среды и эксплуатационных нагрузок. 5.3.13 На основе результатов предварительного анализа определяют один или нескольких механизмов накопления повреждений, лимитирующих прочностные и ресурсные показатели газопровода. 5.3.14 Значимость уже накопленных и прогнозируемых в будущем усталостных повреждений должна быть оценена по результатам расчета на основе соответствующих расчетно-экспериментальных моделей. 5.3.15 При оценке технического состояния и ресурса рассматривают следующие виды коррозионных повреждений: - общая и локальная коррозия; - коррозионное растрескивание под напряжением; - коррозионная усталость; - коррозия, вызванная действием блуждающих токов. 5.3.16 Должны быть проанализированы условия и причины возникновения коррозионных повреждений в процессе жизненного цикла газопровода как при обеспечении проектных условий эксплуатации, так и с учетом изменения эксплуатационных режимов, в том числе вызванных возможным снижением эффективности противокоррозионной защиты газопровода. 5.3.17 Необходимость учета коррозионных
повреждений при анализе технического состояния и ресурса участка газопровода
оценивают по результатам внутритрубных инспекций, детального комплексного
обследования, коррозионного мониторинга, инструменталь 5.3.18 Значимость выявленных и прогнозируемых коррозионных дефектов и повреждений необходимо оценивать на основе расчетно-экспериментальных моделей в соответствии с действующими нормативными документами. 5.3.19 При оценке технического состояния газопроводов в процессе эксплуатации должен быть рассмотрен комплекс вопросов, связанных с анализом состояний, характеризуемых нарушением проектного положения газопровода, происходящих под действием комплекса эксплуатационных и природно-климатических нагрузок вследствие их неполного или недостаточно точного учета. Примечание - Нарушение проектного положения является частным случаем реализации непроектных состояний газопровода. 5.3.20 Признаками нарушения проектного положения являются: - просадки или выпучивание отдельных конструктивных элементов; - образование свободно провисших участков (арок) в вертикальной или горизонтальной плоскости; - избыточные продольные перемещения, в том числе на крутоизогнутых участках; - изменение конструктивной схемы газопровода, вызванное повреждением или разрушением отдельных конструктивных элементов (опоры, анкерные закрепления, сброс пригрузов и др.). Примечание - Перечень признаков непроектных положений является открытым и может быть дополнен решением эксперта, выполняющего оценку технического состояния. 5.3.21 В рамках анализа непроектных положений газопровода выявляют причины, условия реализации, механизмы развития и вероятные последствия, вызванные нарушением проектного положения. 5.3.22 В зависимости от конкретных условий событие, состоящее в нарушении проектного положения участка газопровода, может быть классифицировано как повреждение или отказ, а состояние объекта, соответственно, как неисправное или неработоспособное в соответствии с ГОСТ 27.002. 5.3.23 Классификацию событий и состояний, ассоциируемых с нарушением проектного положения, выполняют на основе заданной системы критериев. 5.3.24 Анализ непроектных состояний может быть выполнен на основе экспертного подхода, базирующегося на комплексной оценке технических решений, условий эксплуатации, опыте проектирования, строительства и эксплуатации аналогичных объектов. 5.3.25 По результатам экспертного анализа в соответствии с РД 51-4.2-003-97 [1], [2], [3], [10] проводят расчетный анализ с целью получения прогнозной оценки показателей технического состояния объекта и их эволюции во времени. 5.4 Выбор потенциально опасных участков5.4.1 На основе результатов предварительного анализа может быть сформирован перечень потенциально опасных участков, на которых должны быть проведены дополнительные диагностические и расчетно-аналитические работы. 5.4.2 В соответствии с ВРД 39-1.10-006-2000 [11] к группе потенциально опасных отнесены следующие участки газопровода с наиболее сложными мерзлотными, инженерно-геологическими и технологическими условиями: - участки, сложенные сильнольдистыми (суммарной льдистостью более 0,4), пучинистыми грунтами и подземными льдами; - участки, расположенные на границе между талыми и вечномерзлыми грунтами; - косогоры с льдонасыщенными грунтами; - оползневые участки; - пересечения селевых потоков; - участки с наиболее высокими эксплуатационными нагрузками и воздействиями на газопровод; - участки на подрабатываемых территориях; - всплывшие участки и арки; - воздушные и подводные переходы; - пересечение газопроводов между собой и с другими трубопроводами; - переходы под железными и автомобильными дорогами; - конструктивные узлы-перемычки, крановые узлы, компенсаторы, отводы; - участки газопровода, эксплуатируемые в условиях фактического нарушения размеров охранных зон. 5.4.3 К потенциально опасным могут быть отнесены участки, на которых по результатам инспекций или диагностических работ инструментальными методами или визуально в соответствии с действующей нормативной документацией были выявлены опасные дефекты или отклонения от проектного состояния. 5.4.4 К потенциально опасным участкам, требующим дополнительного обследования, могут быть отнесены участки, на которых согласно мнению экспертов, основанному на косвенных данных и опыте эксплуатации, возможно наличие дефектов и повреждений или условий для их ускоренного развития, в том числе:
- участки газопровода, отнесенные по результатам коррозионного анализа к участкам высокой и повышенной коррозионной опасности согласно ГОСТ Р 51164, ВРД 39-1.10-006-2000 [11]; - участки газопровода, проложенные по территориям с интенсивной хозяйственной деятельностью, создающей потенциальную опасность несанкционированного воздействия на газопровод представителей «третьей стороны», не причастной к сооружению и эксплуатации газопровода. 5.5 Составные части программы дополнительного обследования5.5.1 В перечень работ по дополнительному обследованию на потенциально опасных участках газопровода могут быть включены работы по следующим направлениям: - рекогносцировочное обследование трассы газопровода; - определение действительного положения газопровода и величин перемещения труб в плане и по глубине согласно положениям ВРД 39-1.10-026-2001 [5]; - определение состояния изоляционного покрытия и основных характеристик защищенности газопровода по ВРД 39-1.10-026-2001 [5]; - определение фактического напряженного состояния газопровода в различных сечениях в соответствии с Рекомендациями [12]; - определение соответствующих ГОСТ 12248 и ГОСТ 20276 физико-механических характеристик грунтов, окружающих газопровод; - определение внешних силовых воздействий на трубопровод на участках различных категорий в соответствии с Методикой [13]; - определение внутреннего давления и температуры стенок труб в контролируемых сечениях; - оценка технического состояния по результатам обследования в шурфах. Контроль значений параметров следует проводить, как правило, в одних и тех же сечениях. 5.5.2 Техническое диагностирование потенциально опасных участков газопроводов, основного металла труб и сварных соединений выполняют в соответствии с СТО Газпром 2-2.3-095, СТО Газпром 2-2.4-083, Инструкцией [7], а также: - при проведении визуального и измерительного контроля - РД 03-606-03 [6]; - проведении ультразвукового контроля - ГОСТ 12503, ГОСТ 14782, ГОСТ 23049, ГОСТ 23667, ГОСТ 28702; - проведении радиографического контроля - ГОСТ 3242, ГОСТ 7512; - проведении вихретокового контроля - ГОСТ 24289, ГОСТ 8.283, ГОСТ 26697; - проведении магнитного контроля - ГОСТ 21105; - проведении капиллярного контроля - ГОСТ 18442. 5.5.3 Для определения показателей напряженно-деформированного состояния участка газопровода может быть проведено тензометрирование при различных режимах эксплуатации. Допускается применение магнитометрического метода, а также других методов исследования, предусмотренных нормативной документацией. 5.5.4 Приближенная оценка скорости коррозии на коррозионно-опасных участках может быть получена по результатам сравнения размеров коррозионных повреждений, зафиксированных в одной и той же области наблюдения в различные последовательные моменты времени. 5.5.5 Оценка скорости коррозии может быть получена с помощью датчиков и индикаторов скорости коррозии, размещенных вдоль трассы. В качестве расчетной следует принять наиболее неблагоприятную оценку скорости коррозии, полученную в процессе наблюдений. 5.5.6. При отсутствии прямых данных, полученных в соответствии с 5.5.4 и 5.5.5, в качестве расчетной оценки скорости локальной или общей коррозии могут быть приняты значения скорости коррозии, определенные для грунтов с идентичным показателем коррозионной агрессивности. 6 Оценка работоспособности и ресурса расчетного участка газопровода в рамках детерминистического подхода6.1 Общая характеристика расчетной процедуры6.1.1 Оценке работоспособности и ресурса расчетного участка должно предшествовать выполнение вспомогательных этапов, по результатам выполнения которых должна быть сформирована информационная и методическая основа для получения расчетных и экспертных оценок, включающая следующие информационные и методические материалы, результаты предварительного анализа исходной информации: - данные о сертификационных и текущих физико-механических характеристиках основного металла и сварных соединений труб и соединительных деталей;
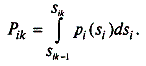
- фактические данные о нагруженности участка газопровода за предшествующий и прогнозируемый периоды; - характеристики кинетических уравнений накопления повреждений, зарождения и развития дефектов; - характеристики расчетного участка. 6.1.2 Расчетно-экспериментальная оценка работоспособности и ресурса должна включать последовательное выполнение следующих действий, регламентированных Методикой [13]: - оценку параметров напряженно-деформированного состояния расчетного участка; - оценку предельных (разрушающих) напряжений и/или деформаций, действующих в пределах расчетного участка, при фиксированном уровне дефектности; - оценку критических параметров дефектности, оцениваемых при заданном уровне нагрузок или соответствующих им характеристик напряженно-деформируемого состояния; - оценку текущего уровня накопленных повреждений, показателей дефектности, выполняемую на основе выбранной системы кинетических уравнений; - расчетно-экспериментальную оценку суммарной наработки или календарного времени с момента ввода участка в эксплуатацию или момента проведения текущих оценок до момента его перехода в предельное состояние. Примечание - Действия, перечисленные в 6.1.2, выполняют для всех расчетных участков или однотипных групп расчетных участков по всем типам расчетных состояний. 6.2 Анализ напряженно-деформированного состояния6.2.1 Оценку напряженно-деформированного состояния элементов газопроводной конструкции в пределах расчетного участка выполняют на основе совокупности имеющихся данных о физико-механических свойствах материалов, конструктивных особенностях, нагрузках и воздействиях на газопровод. По результатам выполненных исследований должны быть получены и заданы в численной или аналитической форме значения компонент напряжений и деформаций при всех выбранных для анализа сочетаниях нагрузок и воздействий в объеме, достаточном для определения этих показателей на всем рассматриваемом временном интервале. 6.2.2 Оценку напряженно-деформированного состояния выполняют на основе расчетных схем, сформированных в соответствии с общими правилами строительной механики и с учетом результатов частотного и временного анализа нагрузок и воздействий. 6.2.3 Значения компонент напряжений и деформаций могут быть получены по результатам неразрушающего контроля в соответствии с ГОСТ Р 52330 или по результатам натурных наблюдений и измерений, проведенных непосредственно на конструктивном элементе газопровода. 6.2.4 Для получения расчетной оценки работоспособности и ресурса рекомендована система расчетных критериев, отражающая множественность механизмов деградации свойств газопроводной конструкции в процессе строительства и эксплуатации, в которую в соответствии с Методикой [13] включены критерии прочности, устойчивости и долговечности. 6.2.5 Форму записи расчетного критерия в каждом конкретном случае определяют с учетом типа связанной с критерием прочностной, динамической или статической задачи, выбранной расчетной схемы и способа представления нагрузок и воздействий. 6.2.6 Рекомендации по применению расчетных критериев оценки работоспособности и ресурса газопроводов приведены в справочнике [14]. 6.3 Оценка предельных (разрушающих) значений напряжений и предельных (разрушающих) уровней дефектности6.3.1 В соответствии с принятой процедурой оценки работоспособности и ресурса должна быть получена расчетная оценка предельных (разрушающих) значений напряжений и/или деформаций, соответствующих заданному уровню текущей дефектности расчетного участка. 6.3.2 Значения предельных напряжений должны быть определены на основе принятой системы расчетных критериев. 6.3.3 Значения предельных напряжений и/или деформаций должны быть определены для фиксированного состояния конструкции, идентифицируемого набором характеристических параметров, номенклатура которых является достаточной для получения расчетных оценок предельных напряжений и/или деформаций на основе выбранных расчетных схем и критериев. В перечень параметров, идентифицирующих данное фиксированное состояние конструкции, должны быть включены физико-механические характеристики конструкционных материалов и характеристики дефектности. 6.3.4 Значения физико-механических характеристик конструкционных материалов, входящих в перечень параметров, идентифицирующих конкретное состояние конструкции, должны быть определены с учетом их возможного изменения в процессе эксплуатации, вызванного влиянием внешней среды и/или эксплуатационных факторов. 6.3.5 В соответствии с принятой структурой расчетных критериев и с учетом результатов предварительного анализа повреждающих факторов и механизмов деградации свойств объекта должна быть получена расчетная оценка предельных (разрушающих) уровней дефектности, соответствующих заданной совокупности параметров, расчетного участка. 6.3.6 Получение расчетных оценок предельных (разрушающих) характеристик дефектности эквивалентно определению в численной или аналитической форме зависимости между характеристиками реализуемого в пределах расчетного участка напряженно-деформированного состояния и значениями показателей дефектности, при которых впервые происходит нарушение соответствующих критериев прочности и трещиностойкости. 6.3.7 Перечень параметров, характеризующих дефектность расчетного участка, должен быть согласован с типом используемого расчетного критерия. 6.4 Оценка показателей ресурса расчетного участка по отношению к заданной системе нагрузок и воздействий6.4.1 Оценка показателей ресурса расчетного участка состоит в расчетно-экспериментальном определении наработки объекта от момента ввода в эксплуатацию или момента проведения соответствующих оценок до момента перехода в предельное состояние. 6.4.1.1 Если отсчет наработки ведется от момента ввода участка в эксплуатацию, то подлежит определению полный ресурс расчетного участка. 6.4.1.2 Если отсчет наработки объекта ведется от момента проведения соответствующих оценок, то подлежит определению остаточный ресурс расчетного участка. 6.4.2 Если расчеты выполняются в календарном времени, то подлежит определению срок службы расчетного участка. В частном случае срок службы может совпадать с ресурсом расчетного участка. 6.4.3 Переход расчетного участка в предельное состояние оценивают на основе соответствующего критерия предельного состояния. 6.4.4 Несущая способность расчетного участка зависит от уровня накопленных повреждений и текущей дефектности конструкции. 6.4.5 Расчетная оценка уровня накопленных повреждений и текущей дефектности выполняется на основе кинетических уравнений, устанавливающих связь между фактическими значениями накопленных мер повреждений или скоростью их накопления, с показателями нагруженности и наработки (или срока службы) расчетного участка. 6.4.6 Практические рекомендации по оценке уровня накопленных повреждений, расчета роста дефектов приведены в Методике [13]. 6.4.7 Расчетную оценку прочности и остаточного ресурса участка газопровода с коррозионными дефектами следует выполнять в соответствии с СТО Газпром 2-2.3-112 или другими нормативными документами ОАО «Газпром» или согласованными ОАО «Газпром». 6.4.8 Оценку работоспособности отводов, имеющих утонение стенки из-за эрозионного износа, проводят согласно Р 51-31323949-42-99 [15] во взаимосвязи с оценкой прочности, определяемой величиной кольцевых напряжений от действия внутреннего давления. 6.4.9 Оценку работоспособности труб с дефектами формы поперечного сечения выполняют в соответствии с Инструкцией [7] и Рекомендациями [16]. 6.4.10 Расчетно-экспериментальную оценку работоспособности и ресурса участков газопроводов с трещинами и трещиноподобными дефектами выполняют в соответствии с Инструкцией [7] и Методикой [13]. 6.4.11 Если физическому участку газопровода на этапе формирования был поставлен в соответствие один расчетный участок, то в качестве остаточного (полного) ресурса участка газопровода принимают остаточный (полный) ресурс расчетного участка. 6.4.12 Если одному и тому же физическому элементу в исходной анализируемой конструкции на этапе формирования расчетных участков было поставлено в соответствие более одного расчетного участка, каждый из которых соответствует определенному типу дефектности или механизму накопления повреждений, то в качестве окончательной расчетной оценки ресурса принимают минимальное из полученных значений. 6.5 Интерпретация результатов расчета и обоснование остаточного срока службы (остаточного ресурса) объекта6.5.1 Для каждого расчетного участка должна быть получена оценка остаточного срока службы (остаточного ресурса) в соответствии с выбранным вариантом сочетания повреждающих факторов. 6.5.2 Продолжительность остаточного срока службы рассматриваемого участка газопровода должна быть принята равной минимальному значению из совокупности значений остаточного срока службы, определенных для элементарных участков. 6.5.3 По совокупности данных, полученных для всех участков, может быть построена фактическая функция распределения остаточного срока службы для трассы газопровода в целом с учетом протяженности каждого расчетного участка. Для этого по оси абсцисс должно быть отложено значение остаточного срока службы, а по оси ординат - отношение суммарной протяженности участков, остаточный срок службы которых превышает заданное значение, к общей протяженности трассы. 6.5.4 Полученная в соответствии 6.5.3 функция распределения может быть использована для оценки суммарной протяженности ремонтируемых или заменяемых участков (количества ремонтируемых и/или заменяемых труб) в пределах газопровода, необходимых для обеспечения заданной продолжительности остаточного срока службы. 7 Оценка показателей надежности и ресурса линейных частей магистральных газопроводов как протяженных систем в рамках вероятностного подхода7.1 Структурирование объекта с целью выделения расчетных участков7.1.1 Выделение совокупности расчетных участков в пределах принятого к рассмотрению участка магистрального газопровода должно выполняться в соответствии с выбранными расчетными методами оценки технического состояния и ресурса и согласованными с ними расчетными схемами и моделями. Примечание - Выбор расчетного метода анализа должен быть основан на анализе исходной информации о конструктивных особенностях объекта, действующих нагрузках и воздействиях, данных о вероятных механизмах накопления повреждений, зарождения и развития дефектов в соответствии с действующей нормативной документацией. Положение 7.1.1 о необходимости выделения расчетных участков с учетом выбранных для анализа расчетных методов и согласованных с ними расчетных схем и моделей означает, что формирование перечня расчетных участков должно выполняться с учетом обеспечения корректного применения выбранных расчетных методов. 7.1.2 Разбиение на расчетные участки следует проводить после уточненного анализа нагрузок и воздействий, текущей и прогнозируемой дефектности, особенностей физико-механических характеристик материала в пределах рассматриваемого участка. 7.1.3 Различают два уровня формирования расчетных участков. 7.1.4 Первый уровень предполагает выделение расчетных участков таким образом, чтобы их характеристики были максимально согласованы с расчетными схемами, используемыми при анализе напряженно-деформированного состояния. 7.1.5 В качестве типичных целесообразно рассматривать следующие варианты расчетных участков, выделяемых в газопроводе на первом уровне разбиения: - участок трубопровода длиной L - выделяют при использовании балочных моделей при анализе напряженно-деформированного состояния; - оболочечный элемент (цилиндрическая оболочка длиной L или цилиндрический сегмент с характерными размерами Lx и Lу, соответственно в продольном и окружном направлениях); - цилиндрический сегмент с характерными размерами Lx и Lу ≥ Lxt + Lxw, содержащий продольный сварной шов с характерным поперечным размером Lxw и характерным размером зоны термического влияния продольного сварного шва Lxt; - оболочечный элемент длиной Lx ≥ 2Lуt + Lyw, содержащий кольцевой сварной шов с характерным размером зоны термического влияния Lуt и характерным поперечным размером сварного шва Lyw. 7.1.6 Вариант разбиения на расчетные участки должен быть согласован с используемыми при анализе расчетно-экспериментальными моделями и методами расчета в соответствии с требованиями 7.1.1. Примечание - Такого рода дробление объекта необходимо и целесообразно при выделении наиболее нагруженных участков с целью получения оценок прочности, трещиностойкости, устойчивости, долговечности, других характеристик объекта на основе, как правило, детерминистических моделей и методов. Требование корректного применения расчетно-экспериментальных методов означает выполнение ограничений, исходных гипотез, условий применения, ассоциированных с данным методом анализа. Примером являются ограничения, накладываемые на условия применения методов линейной и нелинейной механики разрушения, связанные с характеристиками пластичности конструкционных материалов. Другой пример связан с условиями применения стержневых, оболочечных и трехмерных моделей при расчете оболочек трубопроводов. Кроме того, корректное применение расчетного метода означает оценку ожидаемых погрешностей, вызванных различными вычислительными факторами, относительной достоверностью исходных данных и других факторов. 7.1.7 Второй уровень разбиения состоит в выделении участков, обладающих однородными характеристиками по заданной группе параметров. Перечень параметров, учитываемых при разбиении, зависит от характеристик конструкции, типа возможных отказов и предельных состояний, реализуемых на выделенном расчетном участке. Примечание - Требование однородности условий означает, что значения всех включенных в перечень контролируемых параметров постоянны в пределах данного участка и не зависят от координаты. 7.1.8 Выявление участков с однородными условиями по заданной группе параметров может быть проведено на основе следующего алгоритма. 7.1.8.1 Следует сформировать перечень параметров, по которым должна быть обеспечена однородность. В перечень должны быть включены параметры и группы данных, используемые при расчетной оценке показателей надежности. 7.1.8.2 Должны быть сформированы электронные таблицы или построены графики, характеризующие изменение каждого из параметров, включенных в перечень, в зависимости от координаты вдоль трассы. 7.1.8.3 Значения каждого из параметров должны быть аппроксимированы ступенчатой функцией. Координаты точек изменения значений каждого из параметров, аппроксимированных ступенчатыми функциями, определяют координаты начала и конца участков, в пределах которых значения указанных параметров постоянны. Примечание - В качестве способа обеспечения однородности условий по выбранному параметру следует принять уменьшение протяженности расчетного участка в такой степени, чтобы минимизировать погрешность, вызванную аппроксимацией значений параметра постоянным значением. 7.1.8.4 Поскольку координаты участков с фиксированными значениями учитываемых параметров, выделенные в процессе разбиения, могут не совпадать между собой, для обеспечения однородности по всем учитываемым параметрам координаты всех участков, соответствующих границам участков однородности по каждому из параметров, должны быть снесены на общую ось координат. После этого точки, определяющие границы исходных интервалов, обезличиваются. 7.1.8.5 В качестве расчетных участков следует принять участки, расположенные между любыми двумя обезличенными граничными точками. 7.1.8.6 Если среди множества всех расчетных участков есть несмежные участки с одинаковыми совокупностями характеристических параметров, то они могут быть объединены в группы. Оценки ресурса, полученные для произвольного участка из группы, распространяются на остальные участки, включенные в группу. 7.1.8.7 Суммарная протяженность всех расчетных участков равна протяженности трассы газопровода. 7.1.8.8 Иллюстрация алгоритма выделения расчетных участков приведена в приложении Г. 7.2 Формирование классов состояний объекта7.2.1 При формировании пространства состояний рассматривается система, объединяющая непосредственно магистральный газопровод и совокупность нагрузок и воздействий. 7.2.2 Формируется набор r параметров si (i = 1,..., r), которые с достаточной полнотой характеризуют свойства системы в пределах выделенного участка. Среди параметров si могут быть как детерминистические и случайные величины, так и детерминистические и случайные функции, зависящие от времени. Для случайных величин, входящих в число параметров si, должны быть заданы соответствующие плотности распределения вероятности. Для стационарных случайных функций, входящих в число параметров si должны быть заданы корреляционные функции. Примечание - Форма представления исходной информации о нестационарных функциях, входящих в число параметров si, зависит от вида функции и должна быть в каждом конкретном случае определена дополнительно. 7.2.3 Идентифицирующим признаком отдельного состояния или класса состояния следует считать совокупность конкретных значений параметров si. При этом ограничиваются случаем конечного числа возможных состояний. Переход к конечному числу возможных состояний осуществляют путем замены параметров si имеющих непрерывное распределение дискретной аппроксимацией. Пространство состояний, искусственно ограниченное конечным числом элементов, должно обладать свойством полноты. 7.2.4 Среди параметров si могут быть зависимые параметры. В этом случае все параметры разбиваются на группы по признаку взаимного влияния. К первой группе относятся независимые параметры, ко второй - параметры, зависящие от одного или нескольких параметров из первой группы, к третьей - параметры, зависящие от элементов первой и второй или только второй группы. Перегруппировка параметров заканчивается после исчерпания списка параметров. Внутри каждой группы параметры считаются независимыми. Учет обратной связи между параметрами не производится. 7.2.5 В пределах группы множество возможных значений произвольного зависимого параметра si представляется в виде объединения Мi независимых подгрупп, каждая из которых содержит Ki элементов. Параметр Мi равен числу возможных комбинаций параметров, влияющих на величину параметра si. В результате любое из возможных состояний трубопровода представимо в виде последовательного соединения элементов, принадлежащих различным группам, по одному из каждого вертикального слоя, соответствующего множеству возможных значений параметра si. В дальнейшем общее число классов Фj возможных состояний обозначается Nf. 7.3 Оценка вероятностей реализации классов состояний7.3.1 Оценку вероятностей выбросов за пределы расчетной области с переменными границами производят на основе метода, нормативно регламентируемого в РД 51-4.2-003-97 [1] и теоретически обоснованного в [17]. 7.3.2 Изначально предполагают, что состояние рассматриваемого газопровода может быть с достаточной полнотой описано при помощи г параметров si (i = 1,».., r), среди которых могут быть как детерминистические, так и случайные величины. Указанный в 7.3.1 метод предполагает: - проведение расчетов при различных фиксированных сочетаниях значений параметров si; - определение условной безопасности по отношению к каждому фиксированному состоянию трубопровода; - последовательный перебор возможных состояний и определение суммарного риска (надежности). 7.3.3 Признаком, идентифицирующим каждое конкретное состояние системы, считают детерминистическую совокупность конкретных значений параметров si, характеризующих свойства, тип и способ взаимодействия конструкции газопровода с окружающей средой, а также режимы его эксплуатации. 7.3.4 Каждому рассматриваемому состоянию присваивают номер а, называемый классом состояния. Номер α принимает значения от единицы до m, равного общему числу возможных состояний. Примечание - В общем случае при наличии среди набора параметров, имеющих непрерывное вероятностное распределение в пределах некоторого конечного и неограниченного интервала, число возможных состояний трубопровода бесконечно велико. Как правило, рассматривают только случай конечного числа возможных состояний, что возможно, если непрерывно распределенные параметры заменить их дискретной аппроксимацией. Механизм перехода будет рассмотрен ниже. 7.3.5 Принимают, что поток элементарных событий (например, возникновение дефекта в стенке газопровода, переход в непроектное состояние и т.п.), реализуемый на фоне состояний класса α, образует множество элементарных событий Фα, а парциальная вероятность Нα (α = 1,..., m) представляет собой вероятность того, что среди множества возможных состояний трубопровода на практике будет реализовано состояние, принадлежащее классу α. 7.3.6 Требование полноты сформированного пространства состояний системы обеспечивается выполнением условия, выражаемого формулой Примечание - Условие (7.1) означает, что с вероятностью, равной единице, трубопровод будет находиться в одном из m рассмотренных состояний, входящих в общее пространство состояний системы. 7.3.7 Если значения параметров заданы функцией совместной плотности вероятности р (s1,..., sr), то парциальные вероятности Нα определяют по формуле (7.2), интегрируя эту функцию по r-мерной области Wα (s1,..., sr): Примечание - Область Wα (s1,..., sr) выделяет в области W (s1,..., sr) возможных значений параметров si подобласть, соответствующую возможным значениям параметров при реализации состояния класса Фα. 7.3.8 Подобласть может быть задана различными способами, например, при помощи неравенств, выражаемых формулой
где Примечание - В качестве расчетных значений si при построении области допустимых значений, как правило, принимают либо среднее из представленного интервала, либо одно из граничных значений, соответствующее наиболее неблагоприятным условиям работы газопровода. 7.3.9 Для упрощения построения совместной плотности распределения р (s1,..., sr) при большом числе определяющих параметров, как правило, используют предположение о независимости этих параметров. Если среди параметров есть заведомо зависящие от некоторых других параметров, то область возможных значений разбивают на подобласти, в каждой из которых параметры можно приближенно считать независимыми, с соответствующей коррекцией плотности распределения вероятности для зависимых параметров. 7.3.10 Для определения парциальных вероятностей Нα необходимо определить вероятности Рik осуществления каждого из Kn возможных значений параметров si. Примечание - Индекс k (k = 1,..., Kn) соответствует числу интервалов разбиения области возможных значений параметра si 7.3.11 Для независимого параметра si вероятность Pik, может быть определена по известной плотности распределения вероятности pi(si) параметра si. В этом случае вероятность появления при эксплуатации газопровода значения параметра si принадлежащего интервалу [sik-1, sik], определяют по формуле
Примечание - Например, значение s10 соответствует левой, а s1k1 - правой границе области возможных значений параметра s1. 7.3.12 Вероятности Рik удовлетворяют условию полноты, записываемому в виде формулы 7.3.13 Если среди параметров есть зависимые, то плотность распределения вероятности зависимого параметра должна быть записана как условная плотность вероятности при некоторых фиксированных значениях независимых параметров, являющихся аргументами зависимого параметра. Вычисление вероятностей Pik проводят требуемое число раз до полного перебора всех возможных комбинаций значений независимых параметров, влияющих на величину зависимого параметра. 7.3.14 Если в последовательности (цепочке) исходных событий нет механических состояний, требующих применения физических моделей отказов либо вероятностных моделей типа теории выбросов случайных процессов за пределы допускаемой области, то расчет вероятностей реализации классов состояний проводят методами статистической теории надежности на основе статистических оценок исходных эксплуатационных данных. Примечание - Примеры формирования пространства состояний, выбора перечня и числа характеристических параметров, вычисления парциальных вероятностей и вероятностей реализации классов состояний применительно к надземным и подземным газопроводам, проложенным в статистически неоднородных фунтах, приведены в РД 51-4.2-003-97 [1]. 7.3.15 Если условия, приведенные в 7.3.12, не выполнены, используют методы, приведенные в 7.4, или другие методы теории надежности машин и конструкций. Примечание - Теоретическое обоснование и примеры применения методов теории надежности машин и конструкций приведены в [17]. 7.4 Оценка показателей ресурса по вероятностной модели7.4.1 В случае постепенных отказов, обусловленных нарушениями конструкционной целостности и герметичности газопровода из-за подрастания дефектов под действием коррозионных и механических нагрузок и воздействий, для вычисления показателей надежности может быть применен подход, который основан на теории выбросов случайных процессов за пределы допустимой области в предположении, что поток событий, приводящих к появлению отказа, подчиняется вероятностному распределению Пуассона. Примечание - Без ограничения общности при дальнейшем изложении настоящего стандарта в качестве единичного события рассматривается появление дефекта с определенными размерами в оболочке газопровода. 7.4.2 Вероятность безотказной работы Рi для i-го участка газопровода с учетом совокупности критериев, установленных для каждого из Nf расчетных состояний, определяют по формуле
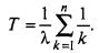
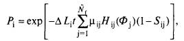
где t - временной параметр, равный продолжительности эксплуатации; miy - интенсивность реализации рассматриваемых событий (в данном случае - интенсивность возникновения дефектов) на фоне реализации состояния класса Фj на i-м участке газопровода; Нiy - вероятность реализации из совокупности возможных состояний именно Фj-го состояния объекта; Siy - условная (парциальная) вероятность невозникновения отказа системы при условии реализации события (возникновения дефекта) на фоне состояния системы, принадлежащего классу Фj; Nf - количество классов состояний Фj. 7.4.3 В качестве показателя в формуле (7.6) допускается рассматривать дополнение до единицы Qij = 1-Sij вероятности Sij, имеющее смысл вероятности возникновения отказа (при реализации события на фоне состояния класса Фj) Примечание - В технической литературе по теории надежности машин и конструкций величину Qij, как правило, называют условным, или парциальным, риском. 7.4.4 Для трубопровода общей
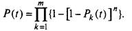
протяженностью
7.4.5 Оценку гамма-процентного ресурса tγ и средней наработки до первого отказа Tc проводят по формулам (7.8) и (7.9) соответственно:
7.4.6 Для определения вероятностей возникновения отказов Qij(t), вычисляемых индивидуально для каждого отдельного класса Фj, необходимо знать соответствующие функции распределения или плотности распределения вероятностей. Если необходимых формализованных соотношений для таких функций нет, то применяют приближенные методы статистического моделирования (Монте-Карло), которые могут быть реализованы на основе информации о потоке исходных событий. 7.4.7 При известной функции для плотности распределения исходных событий и сравнительно сложных (например, полуэмпирических или эмпирических) зависимостях предельных поверхностей, ограничивающих область допустимых состояний, могут быть использованы применяемые в теории вероятностей и математической статистике приближенные вычислительные процедуры методов FORM-SORM, статистической линеаризации, статистического моделирования. Примечание - Пример расчетной оценки показателей надежности надземных (на опорах) и подземных газопроводов, проложенных в статистически неоднородных мерзлых грунтах, подробно рассмотрен в РД 51-4.2-003-97 [1]. 7.4.8 Пример оценки вероятности отказа участка газопровода по комплексным критериям в рамках расчетной модели физической теории надежности рассмотрен в приложении Д. Приложение А
|
||||||||||||||||||||||||||||||||||||||||||||||||||||||||||||||||||||||||||||||||||||||||||||||||||||||||||||||||||||||||||||||||||||||||||||||||||||||||||||||||||||||||||||||||||||||||||||||||||||||||||||||||||||||||||||||||||||||||||||||||||||||||||||||||||||||||||||||||||||||||||||||||||||||||||||||||||||||||||||||||||||||||||||||||||||||||||||||||||||||||||||||||||||||||||||||||||||||||||||||||||||||||||||||||||||||||||||||||||||||||||||||||||||||||||||||||||||||||||||||||||||||||||||||||||||||||||||||||||||||||||||||||||||||||||||||||||||||||
|
Исходные данные о прочностных и деформационных свойствах сталей |
Параметры аппроксимации по Рамбергу-Осгуду |
||||
|
Марка стали |
Условный предел текучести, МПа |
Временное сопротивление, МПа |
Предельная деформация |
σу, МПа |
п |
|
17Г1С |
340 |
470 |
0,2 |
14,186 |
314,935 |
Таблица В.2 - Характеристики трещиностойкости стали 17Г1С
|
Марка стали |
KIС, МПа·м1/2 |
JIC, МДж/м2 |
δc, мм |
KjС, МПа·м1/2 |
|
17Г1С |
46 |
0,12 |
0,115 |
150 |
В.7 На рисунке В.4 показаны области допустимых размеров дефектов, рассчитанные по критерию трещиностойкости на основе методики, приведенной в [13], для участка газопровода диаметром D = 820 мм, толщиной стенки t = 9 мм, изготовленного из стали 17Г1С с проектным давлением Р = 5,5 МПа.
Кривая 1 построена при кольцевых напряжениях σ1 = 250 МПа, соответствующих проектному рабочему давлению Р = 5,5 МПа, а кривая 2-при напряжениях σ1k = 1,6 σ1 = 400 МПа.
В.8 Согласно расчету дефекты, расположенные выше кривой 1, приведут к разрушению газопровода при напряжениях, не превышающих рабочее значение. При этом для всех дефектов, образы которых расположены ниже кривой 2, разрушающие напряжения не менее чем в 1,6 раза будут больше рабочих.

Рисунок В.4 - Оценка остаточного ресурса участка газопровода
Таким образом, кривая 2 является условной границей области допустимых расчетных дефектов, обеспечивающей требуемый коэффициент запаса по разрушающим нагрузкам.
Кривая 3 ограничивает область размеров начальных дефектов.
Прерывистой линией (маркер 4) показана толщина стенки трубы.
В.9 Круговыми маркерами с индексами 1 и 2 показаны начальные и конечные размеры характерных дефектов.
Примечание - Подрастание дефекта А в процессе эксплуатации, характеризуемое переходом дефекта из состояния А1 в состояние А2, соответствует нарушению расчетного условия прочности. Подрастание дефекта В и переход из состояния В1 в состояние В2 эквивалентно фактическому разрушению газопровода.
В.10 В рамках принятых исходных предположений на основе результатов выполненного анализа сделан вывод о том, что расчетная оценка остаточного ресурса участка газопровода, определяемая продолжительностью подрастания дефекта А из состояния А1 в состояние А2, составит семь лет.
Г.1 На рисунке Г.1 проиллюстрирована последовательность формирования совокупности расчетных участков (РУ) при учете двух характеристических параметров R1 и R2. На рисунках Г.1а и Г.1б показаны графики исходных функций R1(х) и R2(x) и ступенчатых функций, использованных для аппроксимации исходных функций. Значения характеристического параметра R1 аппроксимированы ступенчатой функцией с тремя интервалами значений, а характеристического параметра R2 - ступенчатой функцией с двумя интервалами.
Г.2 После переноса на ось координат точек, соответствующих скачкообразному изменению значений характеристических параметров R1, и R2, могут быть выделены четыре расчетных участка с однородными условиями по параметрам R1 и R2 с соответствующими значениями параметров (рисунок Г.1в). Значения характеристических параметров и в пределах выделенных расчетных участков приведены в таблице Г.1.
Таблица Г.1 - Значения характеристических параметров в пределах расчетных участков
|
Расчетный участок |
Значение характеристических параметров |
|
|
R1 |
R2 |
|
|
РУ 1 |
R11 |
R21 |
|
РУ 2 |
R12 |
R21 |
|
РУ 3 |
R12 |
R22 |
|
РУ 4 |
R13 |
R22 |
В общем случае не только значения, но и перечень учитываемых характеристических параметров могут не совпадать для различных расчетных участков.
Г.3 Общий перечень характеристических параметров должен быть сформирован таким образом, чтобы совокупность приведенных в нем групп данных обеспечивала возможность оценки ресурса в рамках предусмотренных настоящим документом моделей.

Рисунок Г.1 - Формирование расчетных участков с однородными условиями
Д.1 В приложении приведен пример, иллюстрирующий реализацию процедуры расчетной оценки вероятности отказа на участке газопровода, представленной в разделе 7 настоящего стандарта.
В соответствии с базовым алгоритмом этой процедуры предусматривается последовательная реализация следующих действий:
- определение перечня характеристических параметров, определяющих техническое состояние рассматриваемого объекта;
- формирование участков, в пределах которых обеспечена однородность по базовым характеристическим параметрам;
- определение параметров статистических распределений, описывающих случайный разброс значений характеристических параметров;
- формирование пространства состояний для каждого характеристического параметра;
- расчет парциальных (условных) вероятностей реализации расчетных состояний;
- расчет конфигурации и размеров допускаемых областей по выбранным критериям для каждой расчетной совокупности значений характеристических параметров, соответствующих рассчитанным значениям парциальных вероятностей;
- последовательный перебор расчетных ситуаций с целью выделения расчетных ситуаций, ассоциируемых с наступлением отказа;
- суммирование парциальных вероятностей расчетных ситуаций, соответствующих нарушению выбранного критериального условия.
Д.2 Имеются следующие исходные данные по газопроводу для оценки:
- материал . . . . . . . . . . . . . . . . . . . . . . . . . . . . . . . . . . . . . . . . . . . . . . . . . . . сталь Х70;
- рабочее давление . . . . . . . . . . . . . . . . . . . . . . . . . . . . . . . . . . . . . . . . . . . .ρ = 6,3 МПа;
- толщина стенки . . . . . . . . . . . . . . . . . . . . . . . . . . . . . . . . . . . . . . . . . . . . . t = 12 мм;
- внешний диаметр трубы . . . . . . . . . . . . . . . . . . . . . . . . . . . . . . . . . . . . . . D = 1420 мм.
Д.3 В качестве расчетного участка принимается отдельная труба с допущением, что в ее пределах обеспечена однородность по выбранным характеристическим параметрам.
Д.4 Оценка прочности расчетного участка проводится по формуле (Д.1), полученной на основе критерия трешиностойкости интерполяционного типа, приведенного в Методике [13]:
(Д.1)
где К1 - максимальное значение коэффициента интенсивности напряжений на фронте трещины;
εn - номинальная деформация в трубе, определенная без учета концентрации напряжений и деформаций, вызываемых наличием дефекта;
εf - предельное значение номинальной растягивающей деформации в трубе;
s - параметр интерполяции, значение которого в качестве первого приближения может быть принято равным 2;
Kс - критическое значение коэффициента интенсивности напряжений (трещиностойкость), в качестве которого может быть принято значение KjС, определяемое через известное в механике разрушения критическое значение j-интеграла J1C по формуле
(Д.2)
где Е - модуль Юнга;
v - коэффициент Пуассона.
В соответствии с выбранным в Д.4 расчетным критерием в качестве характеристических параметров принимаются:
- условный предел текучести σ02;
- предел прочности σв;
- критический коэффициент интенсивности напряжений KJC, рассчитанный по формуле (Д.2).
Примечание - Выбранные характеристические параметры обладают статистическим разбросом, который может быть оценен по результатам обработки экспериментальных данных. По результатам обработки экспериментальных данных могут быть определены параметры статистических распределений.
Д.5 В рассматриваемом примере для оценки параметров статистических распределений используются результаты стандартных лабораторных испытаний 36 образцов на растяжение. На рисунках Д.1 и Д.2 приведены фактические распределения значений предела текучести по результатам испытаний, аппроксимированные нормальным распределением с математическим ожиданием <σ02> = 519,6 МПа и средним квадратическим отклонением {D(σ02)}1/2 = 18,3 МПа. На рисунках Д.3 и Д.4 показаны аналогичные распределения для предела прочности (математическое ожидание <σв> = 602,3 МПа, среднее квадратическое отклонение {D(σв)}1/2 = 12,65 МПа).

Рисунок Д.1 - Распределение значений предела текучести по результатам стандартных испытаний на растяжение (аналог плотности распределения)

Рисунок Д.2 - Распределение значений предела текучести по результатам стандартных испытаний на растяжение (интегральная форма - аналог функции распределения)

Рисунок Д.3 - Распределение значений предела прочности по результатам стандартных испытаний на растяжение (аналог плотности распределения)

Рисунок Д.4 - Распределение значений предела прочности по результатам стандартных испытаний на растяжение (интегральная форма - аналог функции распределения)
Д.6 Отсутствие прямых экспериментальных данных, касающихся статистического разброса значений трещиностойкости, KJС приводит к невозможности определения параметров вероятностных распределений по результатам статистической обработки экспериментальных данных. В рассматриваемом примере для выбора типа и параметров вероятностного распределения используются косвенные данные, полученные в рамках других экспериментов, и с учетом совокупности данных в качестве аппроксимирующего принимается трехпараметрическое распределение Вейбулла, которое определяется по формуле
(Д.3)
где а, b, K0jC - параметры распределения.
Д.7 Параметр K0jC определяет сдвиг распределения, соответствуя крайнему левому (наименьшему) значению из области всех возможных значений. Из формулы (Д.3) следует, что вероятность появления значения меньшего, чем K0jC равна нулю.
Д.8 В рассматриваемом примере в качестве расчетных принимаются следующие значения параметров заданного в Д.6 распределения Вейбулла: а = 1,2·10-7 (МПа)4·м2, b = 4, K0jC = МПа·м1/2.
Д.9 На следующем этапе область возможных значений характеристических параметров разбивается на интервалы и определяются вероятности попадания значений характеристических параметров в данный интервал. Расчеты выполняются на основе формул (7.2) - (7.5). На рисунке Д.5 показана функция распределения предела текучести и границы интервалов разбиения. В таблице Д.1 приведены границы интервалов разбиения, расчетные значения предела текучести, ассоциированные с каждым интервалом, а также значения вероятностей попадания предела текучести в соответствующие интервалы.
Таблица Д.1 - Границы интервалов разбиения
|
Номер интервала |
Интервал изменения, МПа |
Расчетное значение предела текучести, МПа |
Вероятность реализации |
|
1 |
400-430 (30) |
400 |
4,42016Е-07 |
|
2 |
430-450 (20) |
430 |
6,66418Е-05 |
|
3 |
450-500 (50) |
450 |
0,140938399 |
|
4 |
500-540 (40) |
500 |
0,727313686 |
|
5 |
540-580 (40) |
540 |
0,131218955 |
|
6 |
580-630 (50) |
580 |
0,000461876 |
|
|
|
|
0,999999999 |
Д.10 Сформированное пространство состояний по каждому параметру должно обладать свойством полноты. Математическая формализация этого требования представлена формулой (7.1). Для контроля за выполнением этого требования в нижней строке столбца вероятностей приведена сумма парциальных вероятностей, удовлетворяющая требованию полноты с точностью до Р = 10-10.
Д.11 Аналогичные вычисления были выполнены для предела прочности. Функция распределения и границы интервалов показаны на рисунке Д.6, границы интервалов, расчетные значения предела прочности и вероятности попадания в каждый из интервалов приведены в таблице Д.2. Для контроля полноты пространства состояний в нижней строке этой таблицы приведена сумма парциальных вероятностей.
Таблица Д.2 - Границы интервалов разбиения
|
Номер интервала |
Интервал изменения, МПа |
Расчетное значение предела прочности, МПа |
Вероятность реализации |
|
1 |
500-530 |
500 |
5,37487Е-09 |
|
2 |
530-550 |
530 |
1,75644Е-05 |
|
3 |
550-600 |
550 |
0,426807275 |
|
4 |
600-670 |
600 |
0,573175112 |
|
|
|
|
0,999999956 |

Рисунок Д.5 - Формирование дискретного набора значений предела текучести и определение соответствующих вероятностей попадания в каждый из интервалов

Рисунок Д.6 - Формирование дискретного набора значений предела прочности и определение соответствующих вероятностей попадания в каждый из интервалов
Д.12 В таблице Д.3 и на рисунке Д.7 приведены результаты построения дискретного набора значений для критического коэффициента интенсивности напряжений. Базовая функция распределения вероятностей имеет индекс 1. Индексами 2 и 3 на рисунке Д.7 отмечены варианты функций распределения, которые рассматривались в процессе анализа.
Таблица Д.3 - Границы интервалов разбиения
|
Номер интервала |
Интервал изменения, МПа·м1/2 |
Расчетное значение, МПа·м1/2 |
Вероятность реализации |
|
1 |
100-120 |
100 |
0,01901685 |
|
2 |
120-140 |
120 |
0,24547966 |
|
3 |
140-160 |
140 |
0,52435634 |
|
4 |
160-200 |
160 |
0,21114100 |
|
|
|
|
0,99999386 |

Рисунок Д.7 - Формирование дискретного набора значений критического коэффициента интенсивности напряжений (предела трещиностойкости) и определение соответствующих вероятностей попадания в каждый из интервалов
Д.13 В таблице Д.4 приведены сводные значения характеристических параметров для всех выделенных расчетных состояний. Каждое расчетное состояние идентифицируется трехзначным номером «ijk». В данной кодировке числа, стоящие в каждом из трех разрядов, обозначают номер варианта расчета, определенный для каждого из трех учитываемых характеристических параметров. Двузначные числа в первом столбце таблицы Д.4 обозначают варианты комбинаций значений предела текучести и предела прочности. В следующих четырех столбцах приведены варианты сочетаний по трем параметрам с учетом четырех интервалов значений предела трещиностойкости.
Таблица Д.4 - Сводные характеристики расчетных состояний
|
Варианты комбинаций значений предела текучести и предела прочности |
Расчетные значения физико-механических характеристик стали для рассматриваемых вариантов |
|||
|
Интервал 1 |
Интервал 2 |
Интервал 3 |
Интервал 4 |
|
|
13 |
400/550/100 |
400/550/120 |
400/550/140 |
400/550/160 |
|
14 |
400/600/100 |
400/600/120 |
400/600/140 |
400/600/160 |
|
23 |
430/550/100 |
430/550/120 |
430/550/140 |
430/550/160 |
|
24 |
430/600/100 |
430/600/120 |
430/600/140 |
430/600/160 |
|
32 |
450/530/100 |
450/530/120 |
450/530/140 |
450/530/160 |
|
33 |
450/550/100 |
450/550/120 |
450/550/140 |
450/550/160 |
|
34 |
450/600/100 |
450/600/120 |
450/600/140 |
450/600/160 |
|
42 |
500/530/100 |
500/530/120 |
500/530/140 |
500/530/160 |
|
43 |
500/550/100 |
500/550/120 |
500/550/140 |
500/550/160 |
|
44 |
500/600/100 |
500/600/120 |
500/600/140 |
500/600/160 |
|
54 |
540/600/100 |
540/600/120 |
540/600/140 |
540/600/160 |
|
64 |
580/600/100 |
580/600/120 |
580/600/140 |
580/600/160 |
В таблице Д.5 приведены значения парциальных вероятностей, соответствующих каждому из рассмотренных вариантов сочетаний характеристических параметров.
Таблица Д.5 - Вероятности реализации расчетных состояний
|
Варианты комбинаций значений предела текучести и предела прочности |
Вероятности реализации расчетных состояний |
|||
Интервал 1 |
Интервал 2 |
Интервал 3 |
Интервал 4 |
|
|
13 |
3,58764Е-09 |
4,63111Е-08 |
9,89228Е-08 |
3,98329Е-08 |
|
14 |
4,81797Е-09 |
6,21929Е-08 |
1,32847Е-07 |
5,34931Е-08 |
|
23 |
5,409Е-07 |
6,98223Е-06 |
1,49144Е-05 |
6,00553Е-06 |
|
24 |
7,26395Е-07 |
9,37669Е-06 |
2,00291Е-05 |
8,06504Е-06 |
|
32 |
4,70761Е-08 |
6,07683Е-07 |
1,29804Е-06 |
5,22678Е-07 |
|
33 |
0,001143931 |
0,014766469 |
0,031541887 |
0,012700878 |
|
34 |
0,001536227 |
0,019830432 |
0,042358754 |
0,017056473 |
|
42 |
2,86921Е-07 |
3,70372E-06 |
7,91133Е-06 |
3,18563Е-06 |
|
43 |
0,006972056 |
0,089999007 |
0,192242199 |
0,077409594 |
|
44 |
0,00792771 |
0,102335095 |
0,218592675 |
0,088020062 |
|
54 |
0,001430285 |
0,018462879 |
0,039437595 |
0,015880219 |
|
64 |
5,03445Е-06 |
6,49873Е-05 |
0,000138816 |
5,58966Е-05 |
Д.14 С целью снижения объема вычислений из рассмотрения исключаются варианты, вероятность реализации которых менее значения Рij ≤ 10-9. Тогда полнота пространства событий, оцениваемая по общей (суммарной) вероятности реализации событий, принятых к рассмотрению, обеспечивается с абсолютной погрешностью ΔРΣ = 5,94839Е-08, что на порядок меньше любой из оставленных в перечне парциальных вероятностей.
Д.15 Выделяются и исключаются из рассмотрения варианты, которые не могут быть реализованы исходя из физических ограничений, поскольку предел текучести не должен превышать предел прочности материала. Такая коррекция эквивалентна объединению граничного и соседнего с ним интервала с коррекцией парциальных вероятностей. В таблице Д.6 принятые к дальнейшему анализу варианты обозначены символом «х», исключенные из физических соображений - символом «-», исключенные в силу малости парциальных вероятностей - символом Ä.
![]()
Таблица Д.6 - Перечень расчетных вариантов
|
|
Значения предела прочности |
|||||
|
500-530 (500) |
530-550 (530) |
550-600 (550) |
600-670 (600) |
|||
|
Значение предела текучести |
1 |
400-430 (400) |
Ä |
Ä |
х |
х |
|
2 |
430-450 (430) |
Ä |
Ä |
х |
х |
|
|
3 |
450-500 (450) |
Ä |
х |
х |
х |
|
|
4 |
500-540 (500) |
- |
х |
х |
х |
|
|
5 |
540-580 (540) |
- |
- |
- |
х |
|
|
6 |
580-630 (580) |
- |
- |
- |
х |
|
Д.16 На следующем этапе анализа по результатам расчета должны быть построены области допустимых состояний, в данном случае на плоскости размеров дефектов, на основе выбранного расчетного критерия при всех заданных вариантах сочетания значений характеристических параметров.
На рисунках Д.8-Д.17 показаны граничные кривые, построенные при значениях σw1 = 320 МПа (верхняя кривая) и σw2 МПа (нижняя кривая). Чтобы не загромождать текст, приведены результаты расчета только при минимальных значениях критического коэффициента интенсивности напряжений (KJC = 100 МПа·м1/2).
Д.17 Оценка суммарной вероятности отказа может быть получена по результатам анализа приведенных выше результатов расчета допустимых размеров дефектов при различных сочетаниях значений физико-механических характеристик материала. Наступление отказа, рассматриваемое как событие, приводящее к нарушению работоспособного состояния объекта, может быть ассоциировано с двумя типами расчетных состояний. Первое состояние определяется расчетным условием прочности (нижняя граница на графиках). Нарушение этого условия приводит к снижению располагаемого коэффициента запаса по разрушаемому давлению. При увеличении размеров дефектов в стенке трубы происходит снижение располагаемого коэффициента запаса вплоть до полного его исчерпания, наступающего при значениях этого коэффициента меньших либо равных единице. Верхняя граница области допустимых размеров дефектов рассчитана при коэффициенте запаса, равном единице, т.е. из условия фактического нарушения прочности. В этом случае попадание дефекта непосредственно на граничную линию или в область, расположенную выше граничной линии, приведет к возникновению разрушения объекта.

Рисунок Д.8 - Область допустимых размеров поверхностных полуэллиптических трещин, соответствующих расчетному варианту «131»

Рисунок Д.9 - Область допустимых размеров поверхностных полуэллиптических трещин, соответствующих расчетному варианту «141»

Рисунок Д.10 - Область допустимых размеров поверхностных полуэллиптических трещин, соответствующих расчетному варианту «231»

Рисунок Д.11 - Область допустимых размеров поверхностных полуэллиптических трещин, соответствующих расчетному варианту «241»

Рисунок Д.12 - Область допустимых размеров поверхностных полуэллиптических трещин, соответствующих расчетному варианту «321»

Рисунок Д.13 - Область допустимых размеров поверхностных полуэллиптических трещин, соответствующих расчетному варианту «331»

Рисунок Д.14 - Область допустимых размеров поверхностных полуэллиптических трещин, соответствующих расчетному варианту «341»

Рисунок Д.15 - Область допустимых размеров поверхностных полуэллиптических трещин, соответствующих расчетному варианту «431»

Рисунок Д.16 - Область допустимых размеров поверхностных полуэллиптических трещин, соответствующих расчетному варианту «441»

Рисунок Д.17 - Область допустимых размеров поверхностных полуэллиптических трещин, соответствующих расчетному варианту «541»
Д.18 На всех графиках, приведенных на рисунках Д.8-Д.17, показано расположение двух дефектов с номерами 1 и 2. Для дефекта с номером 2 пунктиром показана предполагаемая траектория развития от момента обследования на период десять и более лет. Круговыми маркерами показаны размеры дефекта на момент диагностики, через пять и десять лет (индексы 2.1, 2.2 и 2.3 соответственно).
Д.19 Реализация алгоритма оценки вероятности нарушения расчетного условия прочности (нижняя граничная кривая) применительно к дефекту с номером 1 проиллюстрирована в таблице Д.7.
Таблица Д.7 - Вероятности реализации расчетных состояний
|
|
Вероятности реализации расчетных состояний |
|||
|
Интервал 1 |
Интервал 2 |
Интервал 3 |
Интервал 4 |
|
|
13 |
3,58764Е-09 |
4,63111Е-08 |
9,89228Е-08 |
3,98329Е-08 |
|
14 |
4,81797Е-09 |
6,21929Е-08 |
1,32847Е-07 |
5,34931Е-08 |
|
23 |
5,409Е-07 * |
6,98223Е-06 |
1,49144Е-05 |
6,00553Е-06 |
|
24 |
7,26395Е-07 |
9,37669Е-06 |
2,00291Е-05 |
8,06504Е-06 |
|
32 |
4,70761Е-08 * |
6,07683Е-07 |
1,29804Е-06 |
5,22678Е-07 |
|
33 |
0,001143931 * |
0,014766469 |
0,031541887 |
0,012700878 |
|
34 |
0,001536227 |
0,019830432 |
0,042358754 |
0,017056473 |
|
42 |
2,86921Е-07 |
3,70372Е-06 |
7,91133Е-06 |
3,18563Е-06 |
|
43 |
0,006972056 * |
0,089999007 |
0,192242199 |
0,077409594 |
|
44 |
0,00792771 |
0,102335095 |
0,218592675 |
0,088020062 |
|
54 |
0,001430285 |
0,018462879 |
0,039437595 |
0,015880219 |
|
64 |
5,03445Е-06 |
6,49873Е-05 |
0,000138816 |
5,58966Е-05 |
|
PΣ |
P1Σ = 0,008116575 |
|
|
|
|
* Варианты, при которых нарушено условие прочности. |
||||
В нижней строке первого столбца таблицы Д.7 приведено значение вероятности PlΣ, полученной путем суммирования значений парциальных вероятностей P23l, P321, P331 и P431, соответствующих расчетным состояниям, при которых нарушено условие прочности.
Аналогичные расчеты должны быть выполнены для оставшихся комбинаций значений характеристических параметров, вероятности которых приведены в столбцах 2-4 таблицы Д.7.
Д.20 Изменение значения вероятности отказа на рассматриваемом участке может быть оценено на основе данных о прогнозируемом изменении размеров дефектов. На графиках, приведенных на рисунках Д.8 - Д.17, показана эволюция дефекта с номером 2. На момент обнаружения дефекта его размеры таковы, что расчетное условие прочности не нарушено ни при одном из рассмотренных сочетаний параметров. Следовательно, оцененная вероятность отказа оказывается равной нулю. Однако с учетом состояний, исключенных из рассмотрения в силу малости вероятностей реализации, следует присвоить рассмотренному состоянию значение вероятности, равной погрешности, вызванной исключением этих состояний.
В соответствии с прогнозными оценками развития данного дефекта через пять лет расчетное условие прочности будет нарушено по всем рассмотренным расчетным состояниям.
Таблица Д.8 - Вероятности реализации расчетных состояний
|
|
Вероятности реализации расчетных состояний |
|||
|
Интервал 1 |
Интервал 2 |
Интервал 3 |
Интервал 4 |
|
|
13 |
3,58764Е-09 |
4,63111Е-08 |
9,89228Е-08 |
3,98329Е-08 |
|
14 |
4,81797Е-09 |
6,21929Е-08 |
1,32847Е-07 |
5,34931Е-08 |
|
23 |
5,409Е-07 |
6,98223Е-06 |
1,49144Е-05 |
6,00553Е-06 |
|
24 |
7,26395Е-07 |
9,37669Е-06 |
2,00291Е-05 |
8,06504Е-06 |
|
32 |
470761E-08* |
6,07683Е-07 |
1,29804Е-06 |
5,22678Е-07 |
|
33 |
0,001143931 |
0,014766469 |
0,031541887 |
0,012700878 |
|
34 |
0,001536227 |
0,019830432 |
0,042358754 |
0,017056473 |
|
42 |
2,86921Е-07 |
3,70372Е-06 |
7,91133Е-06 |
3,18563E-06 |
|
43 |
0,006972056* |
0,089999007 |
0,192242199 |
0,077409594 |
|
44 |
0,00792771* |
0,102335095 |
0,218592675 |
0,088020062 |
|
54 |
0,001430285* |
0,018462879 |
0,039437595 |
0,015880219 |
|
64 |
5,03445Е-06 |
6,49873Е-05 |
0,000138816 |
5,58966Е-05 |
|
PΣ |
P1Σ = 0,016330098 |
|
|
|
|
* Варианты, при которых нарушено условие прочности. |
||||
Д.21 Расчеты показывают, что в пределах прогнозируемого пятилетнего срока эксплуатации существует вероятность нарушения фактического условия прочности. В таблице Д.8 знаком «*» выделены расчетные состояния, при которых имеет место нарушение фактического условия прочности, поскольку дефект располагается выше или непосредственно на верхней кривой. Общая вероятность нарушения фактического условия прочности по рассмотренным расчетным состояниям приведена в нижней строке первого столбца таблицы Д.8.
Д.22 Приведенный в данном приложении алгоритм оценки вероятностей отказа носит универсальный характер. Расчеты по предложенной схеме могут быть выполнены на основе большинства расчетных критериев, используемых для оценки несущей способности газопроводов с дефектами различных типов.
Несмотря на внешнюю громоздкость, структура выполняемых расчетов достаточно проста, используемые алгоритмы позволяют легко автоматизировать расчеты.
На основе предложенного подхода в рамках физической теории надежности может быть определен целый спектр показателей надежности, в том числе полная номенклатура показателей, рассмотренных в 4.4.
|
Руководящий документ ОАО «Газпром» |
Методические рекомендации по расчетам конструктивной надежности магистральных газопроводов |
|
|
Безопасность России. Правовые, социально-экономические и научно-технические аспекты. Безопасность трубопроводного транспорта. - М.: МГФ «Знание», 2002 |
||
|
Харионовский В.В. Надежность и ресурс конструкций газопроводов. - М.: Недра, 2000 |
||
|
Руководящий документ ОАО «Газпром» РД 51-2-97 |
Инструкция по внутритрубной инспекции трубопроводных систем |
|
|
Ведомственный руководящий документ ОАО «Газпром» |
Методика оценки фактического положения и состояния подземных трубопроводов |
|
|
Руководящий документ Госгортехнадзора России |
Инструкция по визуальному и измерительному контролю |
|
|
Инструкция по оценке дефектов труб и соединительных деталей при ремонте и диагностировании магистральных газопроводов (утверждена ОАО «Газпром» 28 декабря 2006 г.) |
||
|
Методические рекомендации по натурным измерениям напряженного состояния магистральных газопроводов (утверждены Мингазпром СССР 27 июня 1984 г.) |
||
|
Рекомендации ОАО «Газпром» Р Газпром 2-2.1-160-2007 |
Открытая стандартная модель данных по трубопроводным системам |
|
|
Мазур И.И., Иванцов О.М. Безопасность трубопроводных систем. - М.: Елима, 2004 |
||
|
Ведомственный руководящий документ ОАО «Газпром» ВРД 39-1.10-006-2000* |
Правила технической эксплуатации магистральных газопроводов |
|
|
Рекомендации по контролю напряженного состояния магистральных газопроводов (утверждены Мингазпром СССР 4 апреля 1989 г.) |
||
|
Методика о порядке продления срока безопасной эксплуатации магистральных газопроводов ОАО «Газпром» (утверждена ОАО «Газпром» 18 февраля 2003 г.) |
||
Надежность и эффективность в технике: Справ, в 10 т./Ред. совет: B.C. Авдуевский (пред.) и др. Т. 2. Математические методы в теории надежности и эффективности. - М.: Машиностроение, 1987 |
||
Рекомендации ОАО «Газпром»Р 51-31323949-42-99 |
Рекомендации по оценке работоспособности дефектных участков газопроводов |
|
Рекомендации по оценке прочности и устойчивости эксплуатируемых МГ и трубопроводов КС (утверждены ОАО «Газпром» 24 ноября 2004 г.) |
||
Болотин В.В. Ресурс машин и конструкций. - М.: Машиностроение, 1990 |
||
Боровков А.А. Теория вероятностей. - М.: Наука, 1986 |
||
Вентцель Е.С., Овчаров Л.А. Теория вероятностей и ее инженерные приложения. М.: Наука, 1988 |
||
Вентцель Е.С., Овчаров Л.А. Теория случайных процессов и ее инженерные приложения. - М.: Наука, 1991 |
||
Справочник по прикладной статистике. В 2 т.: Пер. с англ. / Под ред. Э. Ллойда, У. Ледермана, Ю.Н. Тюрина. - М: Финансы и статистика, Т. 1, 1989, Т. 2, 1990 |
||
Байхельт Ф., Франкен П. Надежность и техническое обслуживание. - М.: Радио и связь, 1988 |
||
Гнеденко Б.В., Беляев Ю.К., Соловьев А.Д. Математические методы в теории надежности. - М.: Наука, 1965 |
||
Гнеденко Б.В., Коваленко И.Н. Введение в теорию массового обслуживания. - М.: Наука, 1987 |
||
Надежность технических систем: Справ. / Под ред. И.А. Ушакова. - М.: Радио и связь, 1985 |
||
Барлоу Р., Прошан Ф. Статистическая теория надежности и испытания на безотказность. - М.: Наука, 1984 |
||
Диллан Б., Сингх Ч. Инженерные методы обеспечения надежности систем: Пер. с англ. - М.: Мир, 1984 |
||
Ключевые слова: газопровод, техническое состояние, целостность, нагрузка, надежность, вероятность, показатель надежности, ресурс, детерминистический метод, вероятностный метод
|
ГОСТЫ, СТРОИТЕЛЬНЫЕ и ТЕХНИЧЕСКИЕ НОРМАТИВЫ. Некоммерческая онлайн система, содержащая все Российские Госты, национальные Стандарты и нормативы. В Системе содержится более 150000 файлов нормативно-технической документации, действующей на территории РФ. Система предназначена для широкого круга инженерно-технических специалистов. Copyright © www.gostrf.com, 2008 - 2026 |