Крупнейшая бесплатная информационно-справочная система онлайн доступа к полному собранию технических нормативно-правовых актов РФ. Огромная база технических нормативов (более 150 тысяч документов) и полное собрание национальных стандартов, аутентичное официальной базе Госстандарта. GOSTRF.com - это более 1 Терабайта бесплатной технической информации для всех пользователей интернета. Все электронные копии представленных здесь документов могут распространяться без каких-либо ограничений. Поощряется распространение информации с этого сайта на любых других ресурсах. Каждый человек имеет право на неограниченный доступ к этим документам! Каждый человек имеет право на знание требований, изложенных в данных нормативно-правовых актах!

  


 

Приказ Федеральной службы по тарифам от 30 ноября 2010 г. N 365-э/5

Об утверждении Методических указаний по определению размера платы за технологическое присоединение к электрическим сетям

В соответствии с Федеральным законом от 26 марта 2003 г. N 35-ФЗ "Об электроэнергетике" (Собрание законодательства Российской Федерации, 2003, N 13, ст. 1177; 2004, N 35, ст. 3607; 2005, N 1 (часть 1), ст. 37; 2006, N 52 (часть 1), ст. 5498; 2007, N 45, ст. 5427; 2008, N 29 (часть 1), ст. 3418; N 52 (часть 1), ст. 6236; 2009, N 48, ст. 5711; 2010, N 11, ст. 1175; N 31, ст. 4156, ст. 4157, ст. 4158, ст. 4160), Положением о Федеральной службе по тарифам, утвержденным постановлением Правительства Российской Федерации от 30 июня 2004 г. N 332 (Собрание законодательства Российской Федерации, 2004, N 29, ст. 3049; 2006, N 3, ст. 301; N 23, ст. 2522; N 48, ст. 5032; N 50, ст. 5354; 2007, N 16, ст. 1912; N 25, ст. 3039; N 32, ст. 4145; 2008, N 7, ст. 597; N 17, ст. 1897; N 23, ст. 2719; N 38, ст. 4309; N 46, ст. 5337; 2009, N 1, ст. 142; N 3, ст. 378; N 6, ст. 738; N 9, ст. 1119; N 18 (часть 2), ст. 2249; N 33, ст. 4086; 2010, N 9, ст. 960; N 13, ст. 1514; N 25, ст. 3169; N 26, ст. 3350; N 30, ст. 4096; N 45, ст. 5851), постановлением Правительства Российской Федерации от 26 февраля 2004 г. N 109 "О ценообразовании в отношении электрической и тепловой энергии в Российской Федерации" (Собрание законодательства Российской Федерации, 2004, N 9, ст. 791; 2005, N 1 (часть 2), ст. 130; N 43, ст. 4401; N 47, ст. 4930; N 51, ст. 5526; 2006, N 23, ст. 2522; N 36, ст. 3835; N 37, ст. 3876; 2007, N 1 (часть 2), ст. 282; N 14, ст. 1687; N 16, ст. 1909; 2008, N 2, ст. 84, N 25, ст. 2989, N 27, ст. 3285; 2009, N 8, ст. 980; N 8, ст. 981; N 8, ст. 982; N 12, ст. 1429; N 25, ст. 3073; N 26, ст. 3188; N 32, ст. 4040; N 38, ст. 4479, ст. 4494; N 52 (часть 1), ст. 6575; 2010, N 12, ст. 1333; N 15, ст. 1808; N 21, ст. 2610; N 23, ст. 2837; N 37, ст. 4708; N 40, ст. 5102), Правилами технологического присоединения энергопринимающих устройств потребителей электрической энергии, объектов по производству электрической энергии, а также объектов электросетевого хозяйства, принадлежащих сетевым организациям и иным лицам, к электрическим сетям, утвержденными постановлением Правительства Российской Федерации от 27 декабря 2004 г. N 861 (Собрание законодательства Российской Федерации, 2004, N 52 (часть 2), ст. 5525; 2006, N 37, ст. 3876; 2007, N 14, ст. 1687, N 31, ст. 4100; 2009, N 8, ст. 979; N 9, ст. 1103; N 17, ст. 2088; N 25, ст. 3073; N 41, ст. 4771; 2010, N 12, ст. 1333; N 21, ст. 2607; N 25, ст. 3175; N 40, ст. 5086), а также учитывая итоги рассмотрения данного вопроса на Правлении ФСТ России (протокол от 30 ноября 2010 г. N 83-э), приказываю:

1. Утвердить Методические указания по определению размера платы за технологическое присоединение к электрическим сетям согласно приложению к настоящему приказу.

2. Признать утратившим силу приказ Федеральной службы по тарифам от 21 августа 2009 г. N 201-э/1 "Об утверждении Методических указаний по определению размера платы за технологическое присоединение к электрическим сетям" (зарегистрировано Минюстом России 07 октября 2009 г., регистрационный N 14985).

3. Настоящий приказ вступает в силу в установленном порядке.

Руководитель Федеральной
службы по тарифам

С. Новиков

Зарегистрировано в Минюсте РФ 22 декабря 2010 г.

Регистрационный N 19341

Приложение

Методические указания
по определению размера платы за технологическое присоединение к электрическим сетям

Содержание

I. Общие положения

II. Расчет размера платы за технологическое присоединение к электрическим сетям на уровне напряжения не ниже 35 кВ и мощности не менее 10000 кВА

III. Расчет ставок и размера платы за технологическое присоединение к электрическим сетям на уровне напряжения ниже 35 кВ и присоединенной мощности менее 10000 кВА

IV. Расчет платы за технологическое присоединение посредством применения стандартизированных тарифных ставок

V. Определение состава расходов на строительство объектов электросетевого хозяйства - от существующих объектов электросетевого хозяйства до присоединяемых энергопринимающих устройств и (или) объектов электроэнергетики, включаемых в состав платы за технологическое присоединение к электрическим сетям

Приложение 1 Расчет необходимой валовой выручки по технологическому присоединению

Приложение 2 Калькуляция стоимости мероприятий, осуществляемых при технологическом присоединении единицы мощности (1 кВт)

Приложение 3 Информация для расчета платы за технологическое присоединение генерирующих объектов и энергоустановок потребителя с применением стандартизированных ставок

Приложение 4 Граничные значения присоединяемой мощности и постоянная часть стоимости подготовки ТУ и проверки их выполнения, и переменные параметры цены в рублях за кВА присоединяемой мощности

Приложение 5 Состав расходов на строительство объектов электросетевого хозяйства от существующих объектов электросетевого хозяйства до присоединяемых энергопринимающих устройств и (или) объектов электроэнергетики, включаемых в состав платы за технологическое присоединение к электрическим сетям в зависимости от способа технологического присоединения

I. Общие положения

1. Настоящие Методические указания по определению размера платы за технологическое присоединение к электрическим сетям (далее - Методические указания) разработаны в соответствии с Федеральным законом от 26 марта 2003 г. N 35-ФЗ "Об электроэнергетике" (Собрание законодательства Российской Федерации, 2003, N 13, ст. 1177; 2004, N 35, ст. 3607; 2005, N 1 (часть 1), ст. 37; 2006, N 52 (часть 1), ст. 5498; 2007, N 45, ст. 5427; 2008, N 29 (часть 1), ст. 3418; N 52 (часть 1), ст. 6236; 2009, N 48, ст. 5711; 2010, N 11, ст. 1175; N 31, ст. 4156, ст. 4157, ст. 4160), Основами ценообразования в отношении электрической и тепловой энергии в Российской Федерации, утвержденными постановлением Правительства Российской Федерации от 26 февраля 2004 г. N 109 (Собрание законодательства Российской Федерации, 2004, N 9, ст. 791; 2005, N 1 (часть 2), ст. 130; N 43, ст. 4401; N 47, ст. 4930; N 51, ст. 5526; 2006, N 23, ст. 2522; N 36, ст. 3835; N 37, ст. 3876; 2007, N 1 (часть 2), ст. 282; N 14, ст. 1687; N 16, ст. 1909; 2008, N 2, ст. 84, N 25, ст. 2989, N 27, ст. 3285; 2009, N 8, ст. 980; N 8, ст. 981; N 8, ст. 982; N 12, ст. 1429; N 25, ст. 3073; N 26, ст. 3188; N 32, ст. 4040; N 38, ст. 4479, ст. 4494; N 52 (часть 1), ст. 6575; 2010, N 12, ст. 1333; N 15, ст. 1808; N 21, ст. 2610; N 23, ст. 2837; N 37, ст. 4708, ст. 4685; N 40, ст. 5102) (далее - Основы ценообразования) и Правилами технологического присоединения энергопринимающих устройств потребителей электрической энергии, объектов по производству электрической энергии, а также объектов электросетевого хозяйства, принадлежащих сетевым организациям и иным лицам, к электрическим сетям (далее - Правила), утвержденными постановлением Правительства Российской Федерации от 27 декабря 2004 г. N 861 (Собрание законодательства Российской Федерации, 2004, N 52 (часть 2), ст. 5525; 2006, N 37, ст. 3876; 2007, N 14, ст. 1687, N 31, ст. 4100; 2009, N 8, ст. 979; N 9, ст. 1103; N 17, ст. 2088; N 25, ст. 3073; N 41, ст. 4771; 2010, N 12, ст. 1333; N 21, ст. 2607; N 25, ст. 3175; N 40, ст. 5086).

2. Методические указания определяют основные положения по расчету размера платы за технологическое присоединение энергопринимающих устройств потребителей электрической энергии, объектов по производству электрической энергии, а также объектов электросетевого хозяйства, принадлежащих сетевым организациям и иным лицам, (далее - Устройства) к объектам электросетевого хозяйства (далее - плата за технологическое присоединение) сетевых организаций, и предназначены для использования Федеральной службой по тарифам (далее - Служба), органами исполнительной власти субъектов Российской Федерации в области государственного регулирования тарифов, сетевыми организациями, а также лицами, обратившимися к сетевым организациям с заявками на технологическое присоединение Устройств к объектам электросетевого хозяйства сетевых организаций (далее - Заявители).

3. Понятия, используемые в Методических указаниях, соответствуют определениям, данным в Федеральном законе от 26 марта 2003 г. N 35-ФЗ "Об электроэнергетике", Основах ценообразования и в постановлении Правительства Российской Федерации от 27 декабря 2004 г. N 861 "Об утверждении Правил недискриминационного доступа к услугам по передаче электрической энергии и оказания этих услуг, Правил недискриминационного доступа к услугам по оперативно-диспетчерскому управлению в электроэнергетике и оказания этих услуг, Правил недискриминационного доступа к услугам администратора торговой системы оптового рынка и оказания этих услуг и Правил технологического присоединения энергопринимающих устройств потребителей электрической энергии, объектов по производству электрической энергии, а также объектов электросетевого хозяйства, принадлежащих сетевым организациям и иным лицам, к электрическим сетям" (Собрание законодательства Российской Федерации, 2004, N 52 (часть 2), ст. 5525; 2006, N 37, ст. 3876; 2007, N 14, ст. 1687, N 31, ст. 4100; 2009, N 8, ст. 979; N 9, ст. 1103; N 17, ст. 2088; N 25, ст. 3073; N 41, ст. 4771; 2010, N 12, ст. 1333; N 21, ст. 2607; N 25, ст. 3175; N 40, ст. 5086) (далее - Правила технологического присоединения).

4. Плата за технологическое присоединение взимается в случаях присоединения впервые вводимых в эксплуатацию, ранее присоединенных реконструируемых Устройств, присоединенная мощность которых увеличивается, а также в случаях, при которых в отношении ранее присоединенных Устройств изменяются категория надежности электроснабжения, точки присоединения, виды производственной деятельности, не влекущие пересмотр величины присоединенной мощности, но изменяющие схему внешнего электроснабжения таких Устройств.

5. Плата за технологическое присоединение взимается однократно.

Изменение формы собственности, собственника или иного законного владельца (Заявителя или сетевой организации) не влечет за собой повторную оплату за технологическое присоединение.

6. Размер платы за технологическое присоединение к электрическим сетям, относимым к Единой национальной (общероссийской) электрической сети (далее - ЕНЭС), устанавливается Службой в соответствии с разделами II и IV Методических указаний.

7. Размер платы за технологическое присоединение к территориальным распределительным сетям устанавливается органами исполнительной власти субъектов Российской Федерации в области государственного регулирования тарифов в соответствии с разделами II, III и IV Методических указаний.

8. Размер платы за технологическое присоединение должен компенсировать плановые экономически обоснованные расходы на проведение мероприятий по технологическому присоединению объекта к электрическим сетям и рассчитывается в соответствии с разделами II и II Методических указаний или определяется посредством применения стандартизированных тарифных ставок в соответствии с разделом IV Методических указаний.

При выборе Заявителем метода по определению размера платы посредством применения стандартизированных тарифных ставок, Заявитель направляет в сетевую организацию информацию для расчета платы за технологическое присоединение в соответствии с Приложением 3.

9. Плановые экономически обоснованные расходы сетевой организации на выполнение мероприятий по технологическому присоединению к ее сетям Устройств юридических и физических лиц для целей определения размера платы за технологическое присоединение в соответствии с разделами II и II Методических указаний определяются путем расчета необходимой валовой выручки согласно Основ ценообразования в соответствии с Приложением 1.

В состав необходимой валовой выручки включаются расходы на строительство объектов электросетевого хозяйства - от существующих объектов электросетевого хозяйства до присоединяемых энергопринимающих устройств и (или) объектов электроэнергетики, определяемые в соответствии с Разделом V согласно Приложению 5 к Методическим указаниям.

10. Инвестиционная составляющая на покрытие расходов, связанных с развитием существующей инфраструктуры, в том числе связей между объектами территориальных сетевых организаций и объектами ЕНЭС, в целях присоединения новых и (или) увеличения мощности Устройств, присоединенных ранее, не учитываются при установлении платы за технологическое присоединение к электрическим сетям. Данные расходы учитываются при установлении тарифов на услуги по передаче электрической энергии.

11. При установлении платы за технологическое присоединение по индивидуальному проекту учитываются расходы сетевой организации по осуществлению технологического присоединения Заявителя, включающие:

- стоимость мероприятий, перечисленных в пункте 12 Методических указаний, кроме стоимости выполнения технических условий сетевой организации в части обоснованных требований к усилению существующей электрической сети в связи с присоединением новых мощностей.

11.1. Уполномоченный орган исполнительной власти в области государственного регулирования тарифов утверждает плату за технологическое присоединение по индивидуальному проекту с разбивкой стоимости по каждому мероприятию, необходимому для осуществления технологического присоединения по индивидуальному проекту, в течение 30 рабочих дней со дня поступления заявления об установлении платы.

При отсутствии документов и сведений, необходимых для расчета платы за технологическое присоединение по индивидуальному проекту, уполномоченный орган исполнительной власти в области государственного регулирования тарифов в течение 7 дней со дня поступления заявления об установлении платы уведомляет об этом сетевую организацию, а сетевая организация направляет в уполномоченный орган исполнительной власти в области государственного регулирования тарифов соответствующие документы и сведения в срок не позднее 5 дней со дня получения соответствующего уведомления. Уполномоченный орган исполнительной власти в области государственного регулирования тарифов утверждает плату за технологическое присоединение по индивидуальному проекту с разбивкой стоимости по каждому мероприятию, необходимому для осуществления технологического присоединения по индивидуальному проекту, в течение 30 рабочих дней со дня получения запрошенных документов и сведений.

При сложном характере технологического присоединения (при присоединении объектов по производству электрической энергии, максимальная мощность которых превышает 5 МВт, или энергопринимающих устройств, присоединяемая мощность которых превышает 750 кВА) срок утверждения платы за технологическое присоединение по индивидуальному проекту устанавливается уполномоченным органом исполнительной власти в области государственного регулирования тарифов. При этом указанный срок не может превышать 45 рабочих дней.

Сетевая организация направляет Заявителю проект договора, индивидуальные технические условия (в случае, если индивидуальные технические условия в соответствии с Правилами подлежат согласованию с системным оператором, - индивидуальные технические условия, согласованные с системным оператором), являющиеся неотъемлемым приложением к этому договору, а также решение уполномоченного органа исполнительной власти в области государственного регулирования тарифов об утверждении платы за технологическое присоединение по индивидуальному проекту не позднее 3 рабочих дней со дня вступления в силу указанного решения.

В случае если Заявитель выразит согласие осуществить расчеты за технологическое присоединение по индивидуальному проекту в размере, установленном уполномоченным органом исполнительной власти в области государственного регулирования тарифов, сетевая организация не вправе отказать в заключение договора.

Исполнение указанных в индивидуальных технических условиях мероприятий либо их части может быть осуществлено как сетевой организацией, так и заявителем (по выбору Заявителя).

В случае если мероприятия по технологическому присоединению по индивидуальному проекту либо их часть осуществляются заявителем, в договоре указываются конкретные мероприятия, выполняемые заявителем, при этом размер платы за технологическое присоединение для Заявителя уменьшается на стоимость выполняемых им мероприятий, указанную в решении уполномоченного органа исполнительной власти в области государственного регулирования тарифов.

В случае отказа заявителя от заключения договора заявитель в течение 30 дней на основании заключенного между Заявителем и сетевой организацией соглашения, указанного в пункте 30.1 Правил, оплачивает сетевой организации фактически понесенные ею расходы, связанные с расчетом платы за технологическое присоединение, в размере стоимости этого мероприятия, указанной в решении уполномоченного органа исполнительной власти в области государственного регулирования тарифов об установлении платы за технологическое присоединение по индивидуальному проекту.

В случае если для осуществления технологического присоединения энергопринимающего устройства Заявителя по индивидуальному проекту сетевой организации необходимо осуществление строительства (реконструкции) объекта электросетевого хозяйства, не включенного в инвестиционные программы на очередной период регулирования, и при этом сетевой организации необходимо подать заявку на осуществление технологического присоединения в вышестоящую сетевую организацию, срок направления сетевой организацией Заявителю проекта договора, индивидуальных технических условий, являющихся неотъемлемым приложением к договору, и расчета платы за технологическое присоединение по индивидуальному проекту продлевается на срок, установленный для заключения договора с вышестоящей сетевой организацией, и на срок расчета уполномоченным органом исполнительной власти в области государственного регулирования тарифов платы за технологическое присоединение по индивидуальному проекту, определяемой для вышестоящей сетевой организации в отношении объектов указанного Заявителя.

При этом уполномоченным органом исполнительной власти в области государственного регулирования тарифов при расчете платы за технологическое присоединение по индивидуальному проекту в составе указанной платы учитывается размер платы за технологическое присоединение, утвержденный (рассчитанный) для присоединения сетевой организации к вышестоящей сетевой организации в целях присоединения указанного Заявителя в запрошенных им объемах.

В случае если в целях осуществления технологического присоединения объектов Заявителя по индивидуальному проекту необходимо осуществить технологическое присоединение сетевой организации (к электрическим сетям которой непосредственно планируется присоединение заявителя) к сетям вышестоящей сетевой организации, плата за технологическое присоединение такого Заявителя по индивидуальному проекту утверждается уполномоченным органом исполнительной власти в области государственного регулирования тарифов при условии наличия утвержденной в установленном порядке платы за технологическое присоединение сетевой организации к электрическим сетям вышестоящей сетевой организации.

Для заявителей - юридических лиц или индивидуальных предпринимателей в целях технологического присоединения по одному источнику электроснабжения энергопринимающих устройств, максимальная мощность которых составляет до 100 кВт включительно (с учетом ранее присоединенной в данной точке присоединения мощности), а также для физических лиц в целях технологического присоединения энергопринимающих устройств, максимальная мощность которых составляет до 15 кВт включительно (с учетом ранее присоединенной в данной точке присоединения мощности), которые используются для бытовых и иных нужд, не связанных с осуществлением предпринимательской деятельности, и электроснабжение которых предусматривается по одному источнику, в случае осуществления технологического присоединения энергопринимающих устройств указанных заявителей к электрическим сетям классом напряжения до 20 кВ включительно, плата за технологическое присоединение по индивидуальному проекту не устанавливается.

11.2. Любое лицо, заинтересованное в перераспределении в свою пользу присоединенной мощности других лиц, предусмотренных пунктом 34 Правил, энергопринимающие устройства которых присоединены в установленном порядке к электрическим сетям, вправе при наличии согласия этих лиц обратиться в сетевую организацию, к сетям которой присоединены их энергопринимающие устройства, за расчетом стоимости технологического присоединения посредством перераспределения присоединенной мощности (далее - запрос расчета) по индивидуальному проекту.

При этом стоимость информации, предусмотренной пунктом 36 Правил, предоставляемой сетевой организацией по запросу лица, заинтересованного в перераспределении в свою пользу присоединенной мощности других лиц не входит в состав платы за технологическое присоединение и оплачивается отдельно в размере, не превышающем 550 рублей.

Размер платы за технологическое присоединение для заявителя, в пользу которого предполагается перераспределить присоединенную мощность, определяется по индивидуальному проекту исходя из расходов сетевой организации на осуществление мероприятий, связанных исключительно с мероприятиями по перераспределению присоединенной мощности конкретных энергопринимающих устройств (электрических сетей) и сооружением сетевой инфраструктуры от границ участка заявителя до электрической сети сетевой организации, и утверждается уполномоченным органом исполнительной власти в области государственного регулирования тарифов с разбивкой стоимости по каждому мероприятию.

12. Для расчета размера платы за технологическое присоединение к электрическим сетям учитываются расходы на выполнение сетевой организацией следующих мероприятий:

а) подготовку и выдачу сетевой организацией технических условий и их согласование с системным оператором (субъектом оперативно-диспетчерского управления в технологически изолированных территориальных электроэнергетических системах), а в случае выдачи технических условий электростанцией - согласование их с системным оператором (субъектом оперативно-диспетчерского управления в технологически изолированных территориальных электроэнергетических системах) и со смежными сетевыми организациями.

б) разработку сетевой организацией проектной документации согласно обязательствам, предусмотренным техническими условиями;

в) выполнение технических условий сетевой организацией, включая осуществление сетевой организацией мероприятий по подключению Устройств под действие аппаратуры противоаварийной и режимной автоматики в соответствии с техническими условиями;

г) проверку сетевой организацией выполнения заявителем технических условий;

д) осмотр (обследование) присоединяемых Устройств должностным лицом федерального органа исполнительной власти по технологическому надзору при участии сетевой организации и собственника таких устройств, а также соответствующего субъекта оперативно-диспетчерского управления в случае, если технические условия подлежат в соответствии с Правилами согласованию с таким субъектом оперативно-диспетчерского управления (для лиц, указанных в пунктах 12.1-14 Правил, осмотр присоединяемых энергопринимающих устройств должен осуществляться с участием сетевой организации и Заявителя).

е) осуществление сетевой организацией фактического присоединения объектов заявителя к электрическим сетям и включение коммутационного аппарата (фиксация коммутационного аппарата в положении "включено").

По указанным мероприятиям сетевая организация представляет калькуляцию согласно Приложению 2.

13. Плата за технологическое присоединение подлежит отдельному учету со стороны сетевой организации и не учитывается в необходимой валовой выручке сетевой организации по иным регулируемым видам деятельности.

14. Заявитель, подающий заявку в целях технологического присоединения энергопринимающих устройств максимальной мощностью, не превышающей 15 кВт включительно (с учетом ранее присоединенной в данной точке присоединения мощности), оплачивает работы, указанные в пункте 12 Методических указаний, в объеме, не превышающем 550 рублей, при условии, что расстояние от границ участка заявителя до объектов электросетевого хозяйства необходимого заявителю класса напряжения сетевой организации, в которую подана заявка, составляет не более 300 метров в городах и поселках городского типа и не более 500 метров в сельской местности.

Под расстоянием от границ участка заявителя до объектов электросетевого хозяйства сетевой организации понимается минимальное расстояние, измеряемое по прямой линии от границы участка (нахождения присоединяемых энергопринимающих устройств) заявителя до ближайшего объекта электрической сети (опора линий электропередачи, кабельная линия, распределительное устройство, подстанция), имеющего класс напряжения, указанный в заявке, существующего или планируемого к вводу в эксплуатацию в соответствии с инвестиционной программой сетевой организации, утвержденной в установленном порядке и реализуемой в сроки, предусмотренные подпунктом "б" пункта 16 Правил, начиная с даты подачи заявки в сетевую организацию.

В случае если с учетом последующего увеличения присоединяемой мощности ранее присоединенного Устройства присоединяемая мощность превысит 15 кВт и (или) превышены вышеуказанные расстояния, расчет платы за технологическое присоединение производится в соответствии с разделом III Методических указаний по ставке платы, утвержденной регулирующим органом в соответствии с принятой в субъекте Российской Федерации дифференциацией ставок платы за технологическое присоединение, пропорционально объему присоединяемой мощности.

Если Заявителем на технологическое присоединение выступает юридическое лицо - некоммерческая организация для поставки электроэнергии гражданам - членам этой организации, рассчитывающимся по общему счетчику на вводе, плата Заявителя сетевой организации не должна превышать 550 рублей, умноженных на количество членов (абонентов) этой организации, при условии присоединения каждым членом этой организации не более 15 кВт.

К юридическим лицам - некоммерческим организациям, на которых распространяется вышеуказанная плата, относятся:

- садоводческие, огороднические или дачные некоммерческие объединения граждан (садоводческое, огородническое или дачное некоммерческое товарищество, садоводческий, огороднический или дачный потребительский кооператив, садоводческое, огородническое или дачное некоммерческое партнерство) - некоммерческие организации, учрежденные гражданами на добровольных началах для содействия ее членам в решении общих социально-хозяйственных задач ведения садоводства, огородничества и дачного хозяйства (далее - садоводческое, огородническое или дачное некоммерческое объединение);

- содержащиеся за счет прихожан религиозные организации;

- объединенные хозяйственные постройки граждан (погреба, сараи и иные сооружения аналогичного назначения).

14.1. Заявитель, подающий заявку в целях временного (на срок не более 6 месяцев) технологического присоединения принадлежащих ему энергопринимающих устройств для обеспечения электрической энергией передвижных объектов с максимальной мощностью:

- до 15 кВт включительно (с учетом ранее присоединенной в данной точке присоединения мощности), оплачивает работы в соответствии с пунктом 14 Методических указаний;

- до 100 кВт включительно (с учетом ранее присоединенной в данной точке присоединения мощности), в том числе и Заявитель до 15 кВт, не удовлетворяющий требованиям, установленным п. 14 Методических указаний, оплачивает работы, указанные в пункте 12 Методических указаний в соответствии с разделом III Методических указаний, с учетом расходов на строительство объектов электросетевого хозяйства - от существующих объектов электросетевого хозяйства до присоединяемых энергопринимающих устройств и (или) объектов электроэнергетики, определяемых в соответствии с Разделом V согласно Приложению 5 к Методическим указаниям.

II. Расчет размера платы за технологическое присоединение к электрическим сетям на уровне напряжения не ниже 35 кВ и мощности не менее 10000 кВА

15. Размер платы за технологическое присоединение (ПТП) производится по формуле:

ПТП=Р+Ри, (руб.)                                                                                                        (1)

где:

Р - расходы на технологическое присоединение по мероприятиям, указанным в пункте 12 Методических указаний, не включающие в себя расходы на строительство объектов электросетевого хозяйства - от существующих объектов электросетевого хозяйства до присоединяемых энергопринимающих устройств и (или) объектов электроэнергетики (руб.).

Ри - расходы на строительство объектов электросетевого хозяйства - от существующих объектов электросетевого хозяйства до присоединяемых энергопринимающих устройств и (или) объектов электроэнергетики в соответствии с пунктом 9 Методических указаний (руб.), определяемые в соответствии с Разделом V согласно Приложению 5 к Методическим указаниям.

III. Расчет ставок и размера платы за технологическое присоединение к электрическим сетям на уровне напряжения ниже 35 кВ и присоединенной мощности менее 10000 кВА

16. Расчет размера платы исходя из ставок платы за технологическое присоединение к электрическим сетям на уровне напряжения ниже 35 кВ и мощности менее 10000 кВА производится раздельно для каждой сетевой организации.

Органы исполнительной власти субъекта Российской Федерации в области государственного регулирования тарифов могут ввести разбивку ставок платы за технологическое присоединение к электрическим сетям по уровням напряжения и (или) объему присоединяемой мощности.

Уровень напряжения определяется по границе балансовой принадлежности электрических сетей сетевой организации и Заявителя.

17. Органы исполнительной власти субъекта Российской Федерации могут дифференцировать плату за технологическое присоединение к распределительным электрическим сетям по муниципальным образованиям и по районам.

18. Расчет ставки за 1 кВт мощности технологического присоединения производится на основе представленных в уполномоченный орган исполнительной власти в области государственного регулирования тарифов сетевой организацией прогнозных данных о планируемых расходах за технологическое присоединение на календарный год с учетом стоимости каждого мероприятия в отдельности в соответствии с Приложением 2.

При этом указанные данные определяются сетевой организацией с учетом перспективного плана мероприятий по присоединению и прогнозируемого спроса на дополнительную мощность в зонах существующей и будущей застройки на основании утвержденных в установленном порядке инвестиционных программ.

В целях недопущения необоснованного роста размера платы за технологическое присоединение сетевая организация также представляет в уполномоченный орган исполнительной власти в области государственного регулирования тарифов фактические данные о количестве и стоимости технологических присоединений за предшествующий регулируемый период.

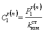
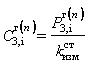
19. Ставка платы за технологическое присоединение (Сij) на напряжении i и (или) в диапазоне присоединяемой мощности j, включая заявителей, подающих заявку в целях временного (на срок не более 6 месяцев) технологического присоединения принадлежащих ему энергопринимающих устройств для обеспечения электрической энергией передвижных объектов с максимальной мощностью до 100 кВт включительно (с учетом ранее присоединенной в данной точке присоединения мощности), устанавливается уполномоченным органом исполнительной власти в области государственного регулирования тарифов на основании данных, представленных сетевой организацией в соответствии с Приложением 1 к Методическим указаниям по формуле:

, (руб./кВт)                                                                                             (2)

где:

Pij - расходы на технологические присоединения планируемого годового объема мощности на уровне напряжения i и (или) в диапазоне мощности j по мероприятиям, указанным в пункте 12 Методических указаний, не включающим в себя расходы на строительство объектов электросетевого хозяйства - от существующих объектов электросетевого хозяйства до присоединяемых энергопринимающих устройств и (или) объектов электроэнергетики (руб.);

SPИij - сумма расходов на строительство объектов электросетевого хозяйства - от существующих объектов электросетевого хозяйства до присоединяемых энергопринимающих устройств и (или) объектов электроэнергетики в соответствии с пунктом 9 Методических указаний при осуществлении технологического присоединения планируемого годового объема мощности на уровне напряжения i и (или) в диапазоне мощности j (руб.), определяемых по мероприятиям, утвержденным Приложением 5 к Методическим указаниям и рассчитанных для конкретного потребителя по форме Приложения 2;

Для каждого конкретного Заявителя при расчете платы применяются те ставки расходов (пункты 3.1-3.7 Приложения 2), которые согласно поданной заявке соответствуют способу технологического присоединения.

Nij - суммарная мощность всех технологических присоединений на уровне напряжения i и (или) в диапазоне присоединяемой мощности j (кВт).

При осуществлении расчета за технологическое присоединение перевод одного кВА в один кВт производится следующим образом: кВА * cos j = кВт, где cos j  = 0,85.".

20. Плата за технологическое присоединение (Tij) рассчитывается в отношении каждого случая присоединения для одного Заявителя на основании ставок платы за технологическое присоединение по следующей формуле:

Tij=Cij*Nij, (руб.)                                                                                                         (3)

где:

Cij - ставка платы за технологическое присоединение в классе напряжения i и (или) диапазоне мощности j (руб./кВт);

Nij - суммарная мощность технологического присоединения одного Заявителя в классе напряжения i и (или) диапазоне мощности j (кВт).

21. Расчет ставки платы за технологическое присоединение в классе напряжения i и (или) диапазоне мощности j производится по формуле (2) и применяется при условии, что количество присоединений, используемых в расчете, не менее 10.

В случае, если количество технологических присоединений менее 10, расчет платы за технологическое присоединение производится индивидуально для каждого технологического присоединения по формуле (1).

22. Размер платы за технологическое присоединение энергопринимающих устройств определяется с учетом запрашиваемой Заявителем категории надежности электроснабжения.

23. В случае, если Заявитель при технологическом присоединении запрашивает третью категорию надежности электроснабжения, что требует технологического присоединения к одному источнику энергоснабжения, размер платы за технологическое присоединение для него определяется по формуле (3).

24. В случае, если Заявитель при технологическом присоединении запрашивает вторую или первую категорию надежности электроснабжения, что требует технологического присоединения к двум независимым источникам энергоснабжения, то размер платы за технологическое присоединение (Pобщ.) определяется следующим образом:

Робщ=Рист 1+ Рист 2, (руб.)                                                                                             (4)

где:

Рист.1 - затраты на технологическое присоединение к первому независимому источнику энергоснабжения (руб.);

Рист.2 - затраты на технологическое присоединение ко второму независимому источнику энергоснабжения (руб.).

Затраты на технологическое присоединение ко второму независимому источнику энергоснабжения рассчитываются исходя из объема резервируемой от данного источника мощности.

При этом Рист.1 и Рист.2 рассчитываются по формуле (3).

IV. Расчет платы за технологическое присоединение посредством применения стандартизированных тарифных ставок

25. Перечень стандартизированных тарифных ставок.

Для расчета платы за технологическое присоединение утверждаются следующие стандартизированные тарифные ставки.

 - стандартизированная тарифная ставка на покрытие расходов на технологическое присоединение объектов по производству электрической энергии по мероприятиям, указанным в пункте 12 Методических указаний, не включающим в себя строительство и реконструкцию объектов электросетевого хозяйства, в расчете на 1 МВт присоединяемой мощности, (руб./МВт).

В указанную ставку включаются также расходы на разработку предварительных параметров выдачи мощности с учетом требований пункта 71 Основ ценообразования;

 - стандартизированная тарифная ставка на покрытие расходов на разработку и согласование схемы выдачи мощности электростанции, в случае если договором об осуществлении технологического присоединения объектов по производству электрической энергии к электрическим сетям предусмотрено обязательство сетевой организации осуществить разработку и согласование такой схемы выдачи мощности, в расчете на 1 МВт присоединяемой мощности, (руб./МВт);

 - стандартизированная тарифная ставка на покрытие расходов на технологическое присоединение энергопринимающих устройств потребителей электрической энергии, объектов электросетевого хозяйства, принадлежащих сетевым организациям и иным лицам, по мероприятиям, указанным в пункте 12 Методических указаний, не включающим в себя строительство и реконструкцию объектов электросетевого хозяйства, в расчете на 1 МВт присоединяемой мощности, (руб./МВт);

 - стандартизированная тарифная ставка на покрытие расходов на строительство и реконструкцию объектов электросетевого хозяйства при технологическом присоединении объектов по производству электрической энергии в части расходов на строительство и реконструкцию воздушных линий электропередачи на i-м классе напряжения, в расчете на 1 км линий, (руб./км);

 - стандартизированная тарифная ставка на покрытие расходов на строительство и реконструкцию объектов электросетевого хозяйства при технологическом присоединении объектов по производству электрической энергии в части расходов на строительство и реконструкцию кабельных линий электропередачи на i-м классе напряжения, в расчете на 1 км линий, (руб./км);

 - стандартизированная тарифная ставка на покрытие расходов на строительство и реконструкцию объектов электросетевого хозяйства при технологическом присоединении объектов по производству электрической энергии в части расходов на строительство и реконструкцию подстанций на i-м классе напряжения, в расчете на каждую линию, (руб.);

 - стандартизированная тарифная ставка на покрытие расходов на строительство и реконструкцию объектов электросетевого хозяйства при технологическом присоединении энергопринимающих устройств потребителей электрической энергии, объектов электросетевого хозяйства, принадлежащих сетевым организациям и иным лицам в части расходов на строительство и реконструкцию воздушных линий электропередачи на i-м классе напряжения, в расчете на 1 км линий, (руб./км);

 - стандартизированная тарифная ставка на покрытие расходов на строительство и реконструкцию объектов электросетевого хозяйства при технологическом присоединении энергопринимающих устройств потребителей электрической энергии, объектов электросетевого хозяйства, принадлежащих сетевым организациям и иным лицам, в части расходов на строительство и реконструкцию кабельных линий электропередачи на i-м классе напряжения, в расчете на 1 км линий, (руб./км);

 - стандартизированная тарифная ставка на покрытие расходов на строительство и реконструкцию объектов электросетевого хозяйства при технологическом присоединении энергопринимающих устройств потребителей электрической энергии, объектов электросетевого хозяйства, принадлежащих сетевым организациям и иным лицам, в части расходов на строительство и реконструкцию подстанций на i-м классе напряжения, в расчете на каждую линию, (руб.).

г - строящиеся (реконструируемые) генерирующие объекты;

n - потребители электрической энергии.

Стандартизированные тарифные ставки  устанавливаются либо раздельно для технологического присоединения объектов по производству электрической энергии и прочих Устройств, либо равными для всех Устройств, либо устанавливаются только для объектов по производству электрической энергии.

При осуществлении технологических присоединений к ЕНЭС стандартизированные тарифные ставки  определяются на основании приказа Службы.

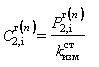
26. Расчет стандартизированных тарифных ставок:

Стандартизированная тарифная ставка  и  рассчитывается по следующей формуле:

, (руб./МВт)                                                                                        (5)

, (руб./МВт)                                                                                      (6)

где:

 - расходы на технологическое присоединение Устройств по мероприятиям, указанным в пункте 12 Методических указаний, не включающим в себя строительство и реконструкцию объектов электросетевого хозяйства, а также не включающим разработку и согласование схемы выдачи мощности объектов по производству электрической энергии, в расчете на 1 МВт присоединяемой мощности, в ценах того года и для того субъекта Российской Федерации, данные по которым используются для расчета, (руб./МВт).

Данные расходы распределяются с учетом ожидаемой величины присоединяемой мощности и с учетом укрупненных ресурсных расчетов трудозатрат на подготовку технических условий (далее - ТУ) и проверку их выполнения определяются граничные значения присоединяемой мощности (в границах от 0 до 1000 кВА, от 1000 до 10000 кВА, от 10000 до 50000 кВА, от 50000 и выше).

Для граничных значений присоединяемой мощности в соответствии с Приложением 4 определены постоянная часть стоимости подготовки ТУ и проверки их выполнения, учитывающая базовую величину затрат для обеспечения проведения указанных работ (Рпост) и переменные параметры цены в рублях за кВА присоединяемой мощности (Рперем) для перехода к следующему граничному значению, учитывающие рост расходов и трудозатрат связанный с увеличением сложности работ при увеличении присоединяемой мощности.

Для граничных значений присоединяемой мощности от 0 до 1000 кВА и от 1000 до 10000 кВА органы исполнительной власти субъекта Российской Федерации в области государственного регулирования тарифов могут произвести более детальную разбивку граничных значений присоединяемой мощности и определить для них постоянную и переменную часть расходов по данной стандартизированной ставке.

Расходы на технологическое присоединение Устройств по мероприятиям, указанным в пункте 12 Методических указаний, не включающим в себя строительство и реконструкцию объектов электросетевого хозяйства, а также не включающим разработку и согласование схемы выдачи мощности объектов по производству электрической энергии, определяются по формуле:

, (руб.)                                                                                        (7)

, (руб.)                                                                                                 (8)

где:

N - объем присоединяемой мощности (кВА);

Ц - цена единицы присоединяемой мощности (руб./кВА);

 - базовая величина затрат для обеспечения проведения указанных работ

 - расходы на разработку и согласование схемы выдачи мощности объектов по производству электрической энергии, в случае если договором об осуществлении технологического присоединения объектов по производству электрической энергии к электрическим сетям предусмотрено обязательство сетевой организации осуществить разработку и согласование такой схемы выдачи мощности, в расчете на 1 МВт присоединяемой мощности, в ценах того года и для того субъекта Российской Федерации, данные по которым используются для расчета, (руб./МВт);

 - индекс изменения сметной стоимости по строительно-монтажным работам для субъекта Российской Федерации на квартал, предшествующий кварталу, данные по которым используются для расчета, к федеральным единичным расценкам 2001 года, рекомендуемый Министерством регионального развития Российской Федерации в рамках реализации полномочий в области сметного нормирования и ценообразования в сфере градостроительной деятельности.

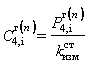
Стандартизированные тарифные ставки  рассчитываются по следующим формулам:

, (руб./км)                                                                                           (9)

, (руб./км)                                                                                           (10)

, (руб.)                                                                                                (11)

 - расходы на строительство и реконструкцию воздушных линий электропередачи на i-м классе напряжения, (с учетом для строительно-монтажных работ - сметных норм дополнительных затрат по температурным зонам по строительству электрических подстанций  установленные для температурной зоны субъекта Российской Федерации) в ценах того года и для того субъекта Российской Федерации, данные по которым используются для расчета, в расчете на 1 км линий, (руб./км);

 - расходы на строительство и реконструкцию кабельных линий электропередачи на i-м классе напряжения (с учетом для строительно-монтажных работ - сметных норм дополнительных затрат по температурным зонам по строительству электрических подстанций , установленные для температурной зоны субъекта Российской Федерации), в ценах того года и для того субъекта Российской Федерации, данные по которым используются для расчета, в расчете на 1 км линий, (руб./км);

 - расходы на строительство и реконструкцию подстанций на i-м классе напряжения (с учетом для строительно-монтажных работ - сметных норм дополнительных затрат по температурным зонам по строительству электрических подстанций , установленные для температурной зоны субъекта Российской Федерации), в ценах того года и для того субъекта Российской Федерации, данные по которым используются для расчета, в расчете на каждую линию, (руб).

27. Расчет платы за технологическое присоединение объектов по производству электрической энергии посредством применения стандартизированных тарифных ставок рассчитывается по следующей формуле:

, (руб.)                                                                 (12)

, (руб.)                                                          (13)

где:

 - индекс изменения сметной стоимости по строительно-монтажным работам для субъекта Российской Федерации, в котором располагаются существующие узловые подстанции, к которым предполагается технологическое присоединение Устройств, на квартал, предшествующий кварталу, в котором утверждается плата за технологическое присоединение, к федеральным единичным расценкам 2001 года, рекомендуемый Министерством регионального развития Российской Федерации в рамках реализации полномочий в области сметного нормирования и ценообразования в сфере градостроительной деятельности;

 - прогнозный индекс-дефлятор по подразделу "Строительство" на n-й год, публикуемый Министерством экономического развития Российской Федерации, (при отсутствии данного индекса используется индекс потребительских цен на n-й год), (%);

a - год, в котором утверждается плата за технологическое присоединение;

b - год планируемого ввода в эксплуатацию строящихся (реконструируемых) объектов электросетевого хозяйства (если b - величина не кратная 2, то в формулах (12)-(13) принимаем ;

 - присоединяемая мощность при технологическом присоединении Устройств - объектов по производству электрической энергии, энергопринимающих устройств потребителей электрической энергии, объектов электросетевого хозяйства, принадлежащих сетевым организациям и иным лицам, (МВт);

 - суммарная протяженность воздушных линий на i-том классе напряжения, входящая в предварительные параметры выдачи мощности строящихся (реконструируемых) объектов по производству электрической энергии (в отношении объекта, по которому рассчитывается плата) либо параметры согласно индивидуальному проекту для прочих Устройств (км);

 - суммарная протяженность кабельных линий на i-том классе напряжения, входящем в предварительные параметры выдачи мощности строящихся (реконструируемых) объектов по производству электрической энергии (в отношении объекта, по которому рассчитывается плата) либо параметры согласно индивидуальному проекту для прочих Устройств (км).

V. Определение состава расходов на строительство объектов электросетевого хозяйства - от существующих объектов электросетевого хозяйства до присоединяемых энергопринимающих устройств и (или) объектов электроэнергетики, включаемых в состав платы за технологическое присоединение к электрическим сетям

28. Состав расходов на строительство объектов электросетевого хозяйства от существующих объектов электросетевого хозяйства до присоединяемых энергопринимающих устройств и (или) объектов электроэнергетики, включаемых в состав платы за технологическое присоединение, определяется в соответствии с мероприятиями, определенными Приложением 5 к Методическим указаниям в зависимости от:

- присоединения объектов заявителя к ячейке трансформаторной подстанции (ТП), распределительной трансформаторной подстанции (РТП), распределительного пункта (РП), подстанции (ПС).

При этом предусмотрены 2 варианта технологического присоединения:

- класс напряжения указанный в заявке соответствует напряжению присоединения к существующему объекту электросетевого хозяйства (трансформация напряжения не требуется);

- класс напряжения указанный в заявке не соответствует напряжению присоединения к существующему объекту электросетевого хозяйства (трансформация напряжения требуется);

- присоединения объектов заявителя к линии электропередачи (ЛЭП)

При этом предусмотрены 2 варианта технологического присоединения:

- класс напряжения указанный в заявке соответствует напряжению присоединения к существующему объекту электросетевого хозяйства (трансформация напряжения не требуется);

- класс напряжения указанный в заявке не соответствует напряжению присоединения к существующему объекту электросетевого хозяйства (трансформация напряжения требуется).

Плата за технологическое присоединение конкретного Заявителя включает, в том числе, расходы, рассчитываемые на основании ставок, утвержденных в соответствии с Приложением 2 (пункты 3.1-3.7) только по мероприятиям, которые необходимо осуществить, в зависимости от присоединения энергопринимающих устройств и (или) объектов электроэнергетики на основании поданной заявки.

Приложение 1

Расчет необходимой валовой выручки по технологическому присоединению

тыс. руб.

N п.п.

Показатели

Ожидаемые данные за текущий период

Плановые показатели на следующий период

1

2

3

4

1.

Расходы по выполнению мероприятий по технологическому присоединению, всего

 

 

1.1.

Вспомогательные материалы

 

 

1.2.

Энергия на хозяйственные нужды

 

 

1.3.

Оплата труда ППП (без ЕСН)

 

 

1.4.

Отчисления на социальные нужды

 

 

1.5.

Прочие расходы, всего, в том числе:

 

 

1.5.1.

- работы и услуги производственного характера

 

 

1.5.2.

- налоги, всего

 

 

1.5.3.

- работы и услуги непроизводственного характера, в т.ч.:

 

 

1.5.3.1.

услуги связи

 

 

1.5.3.2.

расходы на охрану и пожарную безопасность

 

 

1.5.3.3.

расходы на информационное обслуживание, консультационные и юридические услуги

 

 

1.5.3.4.

плата за аренду имущества

 

 

1.5.3.5.

другие прочие расходы, связанные с производством и реализацией

 

 

1.6.

Внереализационные расходы, всего

 

 

1.6.1.

- расходы на услуги банков

 

 

1.6.2.

- % за пользование кредитом

 

 

1.6.3.

- налог на имущество

 

 

1.6.4.

- другие обоснованные расходы

 

 

1.6.5.

- денежные выплаты социального характера (по Коллективному договору)

 

 

1.6.6.

- другие расходы из прибыли

 

 

2.

Расходы на строительство объектов электросетевого хозяйства - от существующих объектов электросетевого хозяйства до присоединяемых энергопринимающих устройств и (или) объектов электроэнергетики

 

 

3.

Выпадающие доходы/экономия средств

 

 

4.

Необходимая валовая выручка (сумма п. 1 - 3)

 

 

 

 

 

 

 

 

 

 

Приложение 2

Калькуляция стоимости мероприятий, осуществляемых при технологическом присоединении единицы мощности (1 кВт)

руб/кВт

N

Наименование мероприятий

Утвержденная ставка платы

Ожидаемые данные за текущий период

Плановые показатели на следующий период

1

2

3

4

 

Итого ставка платы за технологическое присоединение

 

 

1

Подготовка и выдача сетевой организацией технических условий ТУ и их согласование, всего, в т.ч.)

 

 

1.1

 

 

 

1.2

 

 

 

1.3

 

 

 

2

Разработка сетевой организацией проектной документации, всего,

 

 

2.1

 

 

 

2.2

 

 

 

2.3

 

 

 

3

Выполнение ТУ сетевой организацией, всего

 

 

в т.ч.

расходы на строительство объектов электросетевого хозяйства до присоединяемых энергопринимающих устройств и (или) объектов электроэнергетики:

 

 

3.1

строительство воздушных и (или) кабельных линий

 

 

3.2

строительство пунктов секционирования

 

 

3.3

строительство комплектных трансформаторных подстанций (КТП), распределительных трансформаторных подстанций (РТП) с классом напряжения до 35 кВ

 

 

3.4

строительство центров питания, подстанций классом напряжения 35 кВ и выше (ПС)

 

 

3.5

организация автоматизированного учета электроэнергии

 

 

3.6

организация телемеханики (телеуправление, телеизмерение)

 

 

3.7

организация устройств релейной защиты и ПА, организация связи, компенсация емкостных токов

 

 

4

Проверка сетевой организацией выполнения заявителем ТУ, всего, в т.ч.

 

 

4.1

 

 

 

4.2

 

 

 

4.3

 

 

 

5

Участие в осмотре должностным лицом Ростехнадзора присоединяемых Устройств, всего, в т.ч. *

 

 

5.1

 

 

 

5.2

 

 

 

5.3

 

 

 

6

Фактические действия по присоединению и обеспечению работы Устройств в электрической сети, всего, в т.ч.

 

 

6.1

 

 

 

6.2

 

 

 

6.3

 

 

 

______________________________

* - данные расходы не учитываются при установлении платы за технологическое присоединение для заявителей - юридических лиц или индивидуальных предпринимателей в целях технологического присоединения по одному источнику электроснабжения энергопринимающих устройств, максимальная мощность которых составляет до 100 кВт включительно (с учетом ранее присоединенной в данной точке присоединения мощности); для заявителей в целях временного (на срок не более 6 месяцев) технологического присоединения принадлежащих ему энергопринимающих устройств для обеспечения электрической энергией передвижных объектов с максимальной мощностью до 100 кВт включительно (с учетом ранее присоединенной в данной точке присоединения мощности); для заявителей - физических лиц в целях технологического присоединения энергопринимающих устройств, максимальная мощность которых составляет до 15 кВт включительно (с учетом ранее присоединенной в данной точке присоединения мощности), которые используются для бытовых и иных нужд, не связанных с осуществлением предпринимательской деятельности, и электроснабжение которых предусматривается по одному источнику).

Примечание: При утверждении платы за технологическое присоединение по индивидуальному проекту уполномоченным органом исполнительной власти в области государственного регулирования тарифов плата утверждается с разбивкой стоимости по каждому мероприятию, необходимому для осуществления технологического присоединения по индивидуальному проекту.

Утверждаю
Руководитель уполномоченного
органа исполнительной власти
в области государственного
регулирования тарифов

подпись


Приложение 3

Информация для расчета платы за технологическое присоединение генерирующих объектов и энергоустановок потребителя с применением стандартизированных ставок

N п/п

Наименование оборудования

Класс напряжения, кВ

Субъект РФ, в котором располагается узловая подстанция

Параметры технического решения согласно порядку (км, штуки)

Стандартизированная ставка

Индекс изменения сметной стоимости

Год начала строительства

Год окончания строительства

1

Воздушные линии

 

 

 

 

 

 

 

2

Кабельные линии

 

 

 

 

 

 

 

3

Расходы на реконструкцию подстанции (в расчете на 1 линию)

 

 

 

 

 

 

 

4

Расходы на технологическое присоединение Устройств по мероприятиям, указанным в пункте 12 Методических указаний

X

X

X

 

 

 

 

5

Расходы на разработку и согласование схемы выдачи мощности*

X

X

X

 

 

 

 

______________________________

* при технологическом присоединении потребителей электрической энергии строка 5 не заполняется


Приложение 4

Граничные значения присоединяемой мощности и постоянная часть стоимости подготовки ТУ и проверки их выполнения, и переменные параметры цены в рублях за кВА присоединяемой мощности

Мощность, кВА

Постоянная часть, руб.

Цена, руб./кВА

0 - 1 000

 

 

1 000 - 10 000

 

 

10 000 - 50 000

 

 

50 000 и выше

 

 

Приложение 5

Состав расходов
на строительство объектов электросетевого хозяйства от существующих объектов электросетевого хозяйства до присоединяемых энергопринимающих устройств и (или) объектов электроэнергетики, включаемых в состав платы за технологическое присоединение к электрическим сетям в зависимости от способа технологического присоединения

Состав расходов по мероприятиям

 

Присоединение объектов заявителя к ячейке (ТП, РТП, РП, ПС)

Присоединение объектов заявителя к линии электропередачи (ЛЭП)

класс напряжения указанный в заявке соответствует напряжению присоединения к существующему объекту электросетевого хозяйства (трансформация напряжения не требуется)

класс напряжения указанный в заявке не соответствует напряжению присоединения к существующему объекту электросетевого хозяйства (трансформация напряжения требуется)

класс напряжения указанный в заявке соответствует напряжению присоединения к существующему объекту электросетевого хозяйства (трансформация напряжения не требуется)

класс напряжения указанный в заявке не соответствует напряжению присоединения к существующему объекту электросетевого хозяйства (трансформация напряжения требуется)

Расходы на:

 

 

 

 

1. Строительство воздушных и (или) кабельных линий

+

+

+

+

2. Строительство пунктов секционирования (1)

+

+

+

+

3. Строительство комплектных трансформаторных подстанций (КТП), распределительных трансформаторных подстанций (РТП) с классом напряжения до 35 кВ (2)

-

+

-

+

4. Строительство центров питания, подстанций классом напряжения 35 кВ и выше (ПС) (3)

-

+

-

+

5. Организацию автоматизированного учёта электроэнергии (4)

+

+

+

+

6. Организацию телемеханики (телеуправление, телеизмерение) (5)

+

+

+

+

7. Организацию устройств релейной защиты и ПА, организацию связи, компенсацию ёмкостных токов (6)

+

+

+

+

Примечание:

(1) - Строительство пунктов секционирования (реклоузеров, РП-распределительных пунктов, ПП-переключательных пунктов): выполняется для деления электрической сети и обеспечения селективности работы защит, обеспечения категории надёжности электроснабжения, а также обеспечения нескольких точек присоединения заявителю.

(2) - Строительство комплектных трансформаторных подстанций (КТП), распределительных трансформаторных подстанций (РТП) с классом напряжения до 35 кВ: требуется в случаи обеспечения заявителя уровнем напряжения равным указанному в заявке, а также при необходимости обеспечения нескольких точек присоединения.

(3) - Строительство центров питания, подстанций классом напряжения 35 кВ и выше (ПС): требуется в случаи обеспечения заявителя уровнем напряжения равным указанному в заявке, а также при необходимости обеспечения нескольких точек присоединения.

(4) - Организацию автоматизированного учёта электроэнергии: требуется в соответствии с СП-31-110-2003. Приборы устанавливаются в точке балансового разграничения.

(5) - Организацию телемеханики (телеуправление, телеизмерение): необходима для управления объектами электросетевого хозяйства.

(6) - Организацию устройств релейной защиты и ПА; организацию связи; компенсацию ёмкостных токов: необходима для безопасной работы объектов электросетевого хозяйства.

 

 




ГОСТЫ, СТРОИТЕЛЬНЫЕ и ТЕХНИЧЕСКИЕ НОРМАТИВЫ.
Некоммерческая онлайн система, содержащая все Российские Госты, национальные Стандарты и нормативы.
В Системе содержится более 150000 файлов нормативно-технической документации, действующей на территории РФ.
Система предназначена для широкого круга инженерно-технических специалистов.

Рейтинг@Mail.ru Яндекс цитирования

Copyright © www.gostrf.com, 2008 - 2026