|
|
|
Российское открытое акционерное общество энергетики и электрификации "ЕЭС России"
ГИДРОТЕХНИЧЕСКИЕ
СООРУЖЕНИЯ ГЭС И ГАЭС. Дата введения - 2008 - 04 - 15 ОАО РАО «ЕЭС России» 2008
РОССИЙСКОЕ ОТКРЫТОЕ АКЦИОНЕРНОЕ ОБЩЕСТВО ЭНЕРГЕТИКИ И ЭЛЕКТРИФИКАЦИИ «ЕЭС РОССИИ» ПРИКАЗ 14.03.2008 № 108 Об утверждении и вводе в действие Стандарта организации ОАО РАО «ЕЭС России» «Гидротехнические сооружения ГЭС и ГАЭС. Условия создания. Нормы и требования» В соответствии с решением Правления ОАО РАО «ЕЭС России» (протокол заседания от 22.11.2004 № 1106пр/2), НП «Гидроэнергетика России» разработан стандарт организации ОАО РАО «ЕЭС России» «Гидротехнические сооружения ГЭС и ГАЭС. Условия создания.. Нормы и требования». Проект стандарта прошел процедуры, предусмотренные «Положением о порядке разработки, рассмотрения и утверждения технических стандартов организации корпоративного уровня в ОАО РАО «ЕЭС России». Центральная комиссия ОАО РАО «ЕЭС России» по техническому регулированию приняла решение об утверждении Стандарта (протокол от 11.12. 2007 № 9). ПРИКАЗЫВАЮ: 1. Утвердить Стандарт ОАО РАО «ЕЭС России» СТО 17330282.27.140.002-2008 «Гидротехнические сооружения ГЭС и ГАЭС. Условия создания. Нормы и требования» (далее - Стандарт) согласно приложению 1. 2. Ввести Стандарт в действие с 15 апреля 2008 года. 3. Бизнес-единице «Гидрогенерация» (Синюгину В.Ю.), Бизнес-единице № 1 (Чикунову А.В.), Бизнес-единице «Сервис» (Воронину В.П.) обеспечить рассмотрение Советами директоров ДЗО ОАО РАО «ЕЭС России» (далее - ДЗО), а так же Советами директоров обществ дочерних и зависимых по отношению к ДЗО (далее - ВЗО) вопроса о присоединении указанных ДЗО/ВЗО к Стандарту. 4. Установить, что решение Совета директоров ДЗО/ВЗО по вопросу «О присоединении к Стандарту» должно содержать указание на присоединение ДЗО/ВЗО к Стандарту и положение о том, что Стандарт является локальным нормативным актом ДЗО/ВЗО. 5. Отменить действие в Холдинге нормативных документов согласно Приложению 2 и исключить их из Реестра действующих в электроэнергетике НТД, утвержденного приказом ОАО РАО «ЕЭС России» от 14.08.2003 г. № 422 «О пересмотре нормативно-технических документов (НТД) и порядке их действия в соответствии с ФЗ «О техническом регулировании». 6. Руководителям Бизнес-единицы «Гидрогенерация», Бизнес-единицы № 1, Бизнес-единице «Сервис» обеспечить до 30 апреля 2008 г. внесение изменений в действующую нормативную и техническую документацию с учетом требований Стандарта. 7. Некоммерческому партнерству «ИНВЭЛ» (Левцеву A.M.), Дирекции организации, методологии конкурсных закупок и стандартизации (Романову А.А.) обеспечить регистрацию и учет Стандарта в системе Информационного фонда по техническому регулированию и внести в реестр документов по техническому регулированию в электроэнергетике. 8 . Департаменту по взаимодействию со СМИ (Нагога М.Г.), Дирекции организации, методологии конкурсных закупок и стандартизации (Романову А.А.) обеспечить размещение на сайте ОАО РАО «ЕЭС России» уведомления об утверждении и вводе в действие Стандарта в соответствии с действующим порядком. 9. Контроль за исполнением настоящего приказа возложить на члена Правления, заместителя технического директора - главного технического инспектора ОАО РАО «ЕЭС России» Паули В.К. Заместитель Председателя Правления Я.М. Уринсон Приложение 1 к приказу от 14.03.2008 № 108 ПЕРЕЧЕНЬ нормативно-технических документов подлежащих отмене в связи с вступлением в действие стандарта организации «Гидротехнические сооружения ГЭС и ГАЭС. Условия создания. Нормы и требования»
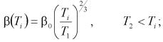
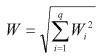
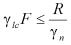
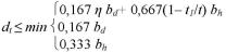
Предисловие Цели и принципы стандартизации в Российской Федерации установлены Федеральным законом от 27 декабря 2002 г. № 184-ФЗ "О техническом регулировании", а правила применения стандарта организации - ГОСТ Р 1.4-2004 "Стандартизация в Российской Федерации. Стандарты организаций. Общие положения". Сведения о стандарте 1. РАЗРАБОТАН НП «Гидроэнергетика России», ОАО «ВНИИГ им. Б.Е. Веденеева». 2. ВНЕСЕН НП «Гидроэнергетика России» 3. УТВЕРЖДЕН И ВВЕДЕН В ДЕЙСТВИЕ приказом ОАО РАО «ЕЭС России» от 14.03.08 № 108 4. ВВОДИТСЯ ВПЕРВЫЕ Содержание ВведениеСтандарт организации ОАО РАО «ЕЭС России» «Гидротехнические сооружения ГЭС и ГАЭС. Условия создания. Нормы и требования» (далее - Стандарт) разработан в соответствии с требованиями Федерального закона № 184-ФЗ «О техническом регулировании». Стандарт направлен на повышение безопасности эксплуатации гидротехнических сооружений ГЭС и ГАЭС. При разработке Стандарта использованы относящиеся к области его применения действовавшие в электроэнергетике нормативно-технические документы или отдельные разделы этих документов. В Стандарт включены апробированные, подтвержденные опытом эксплуатации технические нормы, методики и рекомендации по эксплуатации гидротехнических сооружений, уточнены применительно к гидроэлектростанциям действующие порядок и правила работы при осуществлении технического обслуживания ГТС. Требования Стандарта исходят из комплексной оценки элементов сооружений и их конструктивных узлов на работоспособность и безопасность гидроэнергообъекта в целом. Установленные Стандартом нормы и требования при техническом обслуживании гидротехнических сооружений учитывают подтвержденные опытом эксплуатации потенциальные опасности и сценарии развития опасных ситуаций с учетом требований безопасности. В Стандарте не рассмотрены требования и нормы технического обслуживания механического оборудования и контрольно-измерительной аппаратуры (КИА), которые сформулированы в других стандартах. Стандарт должен быть пересмотрен в случаях ввода в действие новых технических регламентов и национальных стандартов, содержащих не учтенные в Стандарте требования, а также при необходимости введения новых требований и рекомендаций, обусловленных развитием новой техники. СТАНДАРТ ОРГАНИЗАЦИИ ОАО РАО «ЕЭС РОССИИ»ГИДРОТЕХНИЧЕСКИЕ СООРУЖЕНИЯ ГЭС И ГАЭС. УСЛОВИЯ СОЗДАНИЯ. НОРМЫ И ТРЕБОВАНИЯ Дата введения - 15 апреля 2008 года 1 Область применения1.1 Объектами регулирования Стандарта являются гидротехнические сооружения и связанные с ними процессы их проектирования, строительства и ввода в эксплуатацию. Стандарт регулирует отношения, возникающие при применении и исполнении в процессе проектирования требований к гидротехническим сооружениям, обеспечивающих безопасность их эксплуатации, технического обслуживания, консервации и ликвидации. 1.2 Требования Стандарта распространяются на следующие виды гидротехнических сооружений: - водоподпорные речные сооружения (плотины, в том числе бетонные, грунтовые, смешанные и другие, дамбы), подпорные сооружения технологических водоемов, ограждающие дамбы бассейнов суточного регулирования и водохранилищ гидроаккумулирующих электростанций); - водозаборные сооружения (водозаборы); - водопропускные сооружения (водосбросы - в т.ч. водосбросные плотины, быстротоки, ступенчатые перепады, трубчатые и туннельные водосбросы; водоспуски и водовыпуски); - регулирующие сооружения (шлюзы-регуляторы, вододелители); - водоводы (подводящие и отводящие каналы, акведуки, дюкеры, туннели, трубопроводы); - сопрягающие сооружения; - защитные сооружения (ограждающие дамбы, дамбы обвалования, русловыправительные и берегоукрепительные сооружения, противоселевые и ледозащитные сооружения); - специальные сооружения (отстойные бассейны, шуго- и ледосбросы, сороудерживающие, рыбопропускные, рыбозащитные, рыбоспускные и др); - подпорные стены, береговые, сопрягающие и раздельные устои и стены. 1.3 Стандарт не распространяется на сооружения зданий ГЭС, ГАЭС и насосных станций, механическое оборудование гидротехнических сооружений, относящиеся к сфере действия иных стандартов организации ОАО РАО «ЕЭС России», а также на гидротехнические сооружения, не являющиеся имущественными объектами субъектов ОАО РАО «ЕЭС России» (причалы, судоходные шлюзы и судоподъемники, рыбоподъемники, лесосплавные и другие сооружения). 1.4 Субъектами, на которые распространяется действие Стандарта, являются все организации (общества, компании), входящие в структуру ОАО РАО «ЕЭС России», осуществляющие функции заказчика проектных, строительных, монтажных работ, при поставке оборудования, устройств и иной продукции для создания новых и реконструкции находящихся в эксплуатации гидротехнических сооружений, а также: - проектные, конструкторские, научно-исследовательские организации, разрабатывающие проекты, проводящие исследования по обоснованию проектных решений для нового строительства и реконструкции гидротехнических сооружений; - строительные, монтажные, промышленные и иные организации, в любой форме привлекаемые заказчиком к созданию новых или к реконструкции эксплуатируемых гидротехнических сооружений; - специализированные организации, осуществляющие экспертный анализ проектов гидротехнических сооружений и в установленном порядке участвующие в контроле безопасности строящихся и вводимых в эксплуатацию гидротехнических сооружений. 1.5 Требования Стандарта обязательны для применения организациями, в установленном порядке на добровольной основе присоединившимися к Стандарту; в иных случаях соблюдение требований Стандарта другими субъектами хозяйственной деятельности должно быть предусмотрено в договоре (контракте) между заказчиком - субъектом применения Стандарта и исполнителем заказываемых работ и услуг, изготовителем (поставщиком) продукции. 1.6 При выполнении требований Стандарта следует также учитывать требования следующих стандартов организации ОАО РАО «ЕЭС России»: - общие требования к созданию гидроэлектростанций установлены в нормах и требованиях [6]; - требования к созданию зданий ГЭС и ГАЭС установлены в нормах и требованиях [4]; - требования к созданию механического оборудования гидротехнических сооружений установлены в нормах и требованиях [7]; - требования к созданию контрольно-измерительных систем и аппаратуры гидротехнических сооружений установлены в нормах и требованиях [9]; - требования к организации эксплуатации и технического обслуживания гидротехнических сооружений ГЭС и ГАЭС установлены в нормах и требованиях [8]; - требования к организации эксплуатации и технического обслуживания контрольно-измерительных систем и аппаратуры гидротехнических сооружений установлены в нормах и требованиях [10]. 2 Нормативные ссылкиВ Стандарте использованы следующие законодательные акты, национальные стандарты и нормативные правовые документы: Федеральный закон от 27.12.2002 г. № 184-ФЗ «О техническом регулировании» Федеральный закон от 26.03.2003 г. № 35-ФЗ «Об электроэнергетике» Федеральный закон от 27.04.1993 г. № 4871-1 (ред. от 10.01.2003 г.) «Об обеспечении единства измерений» Водный кодекс Российской Федерации от 03.06.2006 г. № 74-ФЗ. Федеральный закон от 21.07.1997 г. № 117-ФЗ «О безопасности гидротехнических сооружений» Федеральный закон от 21.12.1994 г. № 68 «О защите населения и территорий от чрезвычайных ситуаций природного и техногенного характера» Федеральный Закон РФ «Об охране окружающей среды» от 10.01.2002 № 7-ФЗ (ред. от 05.02.2007) Федеральный Закон РФ «Градостроительный кодекс Российской Федерации» от 29.12.2004 № 190-ФЗ (ред. от 05.02.2007) Федеральный закон РФ «О внесении изменений в Градостроительный кодекс Российской Федерации и отдельные законодательные акты Российской Федерации» от 18.12.2006 г. № 232-ФЗ Постановление Правительства РФ от 11.07.2001 г. № 526 «О реформировании электроэнергетики Российской Федерации» Постановление Правительства РФ от 06.10.1998 г. № 1303 «Об утверждении Положения о декларировании гидротехнических сооружений» ГОСТ Р 1.0-2004 Стандартизация в Российской Федерации. Основные положения ГОСТ Р 1.4-2004 Стандартизация в Российской Федерации. Стандарты организации. Общие положения ГОСТ Р 1.5-2004 Стандартизация в Российской Федерации. Стандарты национальные Российской Федерации. Правила построения, изложения, оформления и обозначения ГОСТ Р 1.12-2004 Стандартизация в Российской Федерации. Термины и определения ГОСТ 5180-84 Грунты. Методы лабораторного определения физических характеристик ГОСТ 5781-82 Сталь горячекатаная для армирования железобетонных конструкций. Технические условия ГОСТ 6727-80 Проволока из низко углеродистой стали для армирования железобетонных конструкций ГОСТ 7473-94 Смеси бетонные. Технические условия ГОСТ 8267-93 Щебень и гравий из плотных горных пород для строительных работ. Технические условия ГОСТ 8736-93 Песок для строительных работ. Технические условия ГОСТ 8829-94 Изделия строительные железобетонные и бетонные заводского изготовления. Методы испытания нагружением. Правила оценки прочности, жесткости и трещиностойкости ГОСТ 10060-95 Бетоны. Методы определения морозостойкости ГОСТ 10178-85 Портландцемент и шлакопортландцемент. Технические условия ГОСТ 10180-90 Бетоны. Методы определения прочности по контрольным образцам ГОСТ 10181-2000 Смеси бетонные. Методы испытаний ГОСТ 10884-94 Сталь арматурная термомеханически упрочненная для железобетонных конструкций. Технические условия ГОСТ 10922-90 Арматурные и закладные изделия сварные, соединения сварные арматуры и закладных изделий железобетонных конструкций. Общие технические условия ГОСТ 12248-96 Грунты. Методы лабораторного определения характеристик прочности и деформируемости ГОСТ 12536-79 Грунты. Методы лабораторного определения гранулометрического (зернового) состава ГОСТ 12730.0-78 Бетоны. Общие требования к методам определения плотности, влажности, водопоглощения, пористости и водонепроницаемости ГОСТ 13015-83 Конструкции и изделия бетонные и железобетонные сборные. Общие технические требования. Приемка ГОСТ 13087-81 Бетоны. Методы определения истираемости ГОСТ 14098-91 Соединения сварные арматуры и закладных изделий железобетонных конструкций. Типы, конструкция и размеры ГОСТ 17623-87 Бетоны. Радиоизотопный метод определения средней плотности ГОСТ 17624-87 Бетоны. Ультразвуковой метод определения прочности ГОСТ 17625-83 Конструкции и изделия железобетонные. Радиационный метод определения толщины защитного слоя бетона, размеров и расположения арматуры ГОСТ 18105-86 Бетоны. Правила контроля прочности ГОСТ 20276-85 Грунты. Метод полевого определения характеристик деформируемости ГОСТ 20522-96 Грунты. Методы статистической обработки результатов испытаний ГОСТ 22266-94 Цементы сульфатостойкие. Технические условия ГОСТ 22690-88 Бетоны. Определение прочности механическими методами неразрушающего контроля ГОСТ 22783-77 Бетоны. Метод ускоренного определения прочности на сжатие ГОСТ 22904-93 Конструкции железобетонные. Магнитный метод определения толщины защитного слоя бетона и расположения арматуры ГОСТ 23278-78 Грунты. Методы полевых испытаний проницаемости ГОСТ 23478-79 Опалубка для возведения монолитных бетонных и железобетонных конструкций. Классификация и общие технические требования ГОСТ 23732-79 Вода для бетонов и растворов. Технические условия ГОСТ 23858-79 Соединения сварные стыковые и тавровые арматуры железобетонных конструкций. Ультразвуковые методы контроля качества. Правила приемки. ГОСТ 24211-2003 Добавки для бетонов. Общие технические требования ГОСТ 24316-80 Бетоны. Метод определения тепловыделения при твердении ГОСТ 24452-80 Бетоны. Методы определения призменной прочности, модуля упругости и коэффициента Пуассона ГОСТ 25100-95 Грунты. Классификация ГОСТ 25137-82 Материалы нерудные строительные, щебень и песок плотные из отходов промышленности, заполнители для бетона пористые ГОСТ 25192-82 Бетоны. Классификация и общие технические требования ГОСТ 25589-83 Щебень, гравий и песок для строительных работ. Методы определения содержания сернокислых и сернистых соединений ГОСТ 25592-91 Смеси золошлаковые тепловых электростанций для бетонов. Технические условия ГОСТ 25781-83 Формы стальные для изготовления железобетонных изделий. Технические условия ГОСТ 25818-91 Золы-уноса тепловых электростанций для бетонов. Технические условия ГОСТ 26263-84 Грунты. Метод лабораторного определения теплопроводности мерзлых грунтов ГОСТ 26633-91 Бетоны тяжелые и мелкозернистые. Технические условия ГОСТ 26644-85 Щебень и песок из шлаков тепловых электростанций для бетона. Технические условия ГОСТ 27006-86 Бетоны. Правила подбора составов ГОСТ 28570-90 Бетоны. Методы определения прочности по образцам, отобранным из конструкций ГОСТ 30416-96 Грунты. Лабораторные испытания. Общие положения ГОСТ 30459-2003. Добавки для бетонов. Методы определения эффективности ГОСТ 30515-97 Цементы. Общие технические условия Правила технической эксплуатации электрических станций и сетей Российской Федерации / Введены в действие 01.10.2003. Примечание - При пользовании Стандартом целесообразно проверить действие ссылочных стандартов и классификаторов в информационной системе общего пользования - на официальном сайте национального органа Российской Федерации по стандартизации в сети Интернет или по ежегодно издаваемому информационному указателю "Национальные стандарты", который опубликован по состоянию на 1 января текущего года, и по соответствующим ежемесячно издаваемым информационным указателям, опубликованным в текущем году. Если ссылочный документ заменен (изменен), то при пользовании настоящим стандартом следует руководствоваться замененным (измененным) документом. Если ссылочный документ отменен без замены, то положение, в котором дана ссылка на него, применяется в части, не затрагивающей эту ссылку. 3 Термины и определенияВ Стандарте применены термины по следующим законодательным и нормативно-правовым документам: Федеральный Закон РФ «О безопасности гидротехнических сооружений» от 21 июля 1997 г. № 117-ФЗ ГОСТ 19179-73. Гидрология суши. Термины и определения ГОСТ 19431-84. Энергетика и электрификация. Термины и определения СНиП 33-01-2003. Гидротехнические сооружения. Основные положения СО 34.21.307-2005 Безопасность гидротехнических сооружений. Основные понятия. Термины и определения СО 34.21.308-2005. Гидротехника. Основные понятия. Термины и определения, а также следующие термины с соответствующими определениями: 3.1 безопасность гидротехнического сооружения: Свойство гидротехнического сооружения, определяющее его защищенность от внутренних и внешних угроз или опасностей и препятствующее возникновению на объекте источника техногенной опасности для жизни, здоровья и законных интересов людей, состояния окружающей среды, хозяйственных объектов и собственности. 3.1.1 показатели безопасности гидротехнического сооружения: Количественные показатели, характеризующие вероятности реализации либо нарушения установленных критериев безопасности гидротехнического сооружения. 3.1.2 уровень безопасности гидротехнического сооружения: Степень соответствия состояний гидротехнического сооружения и окружающей среды установленным критериям безопасности, принятым с соблюдением действующих норм проектирования, а квалификации эксплуатационного персонала и действий собственника (эксплуатирующей организации) - требованиям правил технической эксплуатации и действующего законодательства по техногенной и экологической безопасности. 3.1.3 нормальный уровень безопасности гидротехнического сооружения: Уровень безопасности гидротехнического сооружения, при котором значения критериев безопасности не превышают предельно допустимых для работоспособного состояния сооружения и основания, а эксплуатация осуществляется в соответствии с проектом и правилами эксплуатации без нарушений действующих законодательных актов, норм и правил, а также предписаний органов надзора. 3.1.4 пониженный уровень безопасности гидротехнического сооружения: Уровень безопасности гидротехнического сооружения, собственник (эксплуатирующая организация) которого допускает нарушения правил технической эксплуатации, невыполнение первоочередных мероприятий или неполное выполнение предписаний органов государственного надзора по обеспечению безопасности гидротехнического сооружения. 3.1.5 неудовлетворительный уровень безопасности гидротехнического сооружения: Уровень безопасности гидротехнического сооружения, эксплуатирующегося в условиях снижения механической или фильтрационной прочности, превышения предельно допустимых значений критериев безопасности для работоспособного состояния, других отклонений от проектного состояния, способных привести к возникновению аварии. 3.1.6 критический уровень безопасности гидротехнического сооружения: Уровень безопасности гидротехнического сооружения, эксплуатация которого происходит в условиях развивающихся процессов снижения прочности и устойчивости элементов конструкции и основания, превышения предельно допустимых значений критериев безопасности, характеризующих переход от частично неработоспособного к неработоспособному состоянию гидротехнического сооружения либо его основания. 3.2 водобой: Крепление русла за водопропускным сооружением, на котором происходит гашение основной части избыточной кинетической энергии потока и которое воспринимает его динамическое воздействие. 3.3 водоприемник: Часть водопропускного сооружения, служащая для непосредственного приема воды из водного объекта. 3.4 гидротехническое сооружение, гидросооружение: Сооружение, подвергающееся воздействию водной среды, предназначенное для использования и охраны водных ресурсов, предотвращения вредного воздействия вод, в том числе загрязненных жидкими отходами. 3.5 гидротехнический туннель, туннель: Водовод замкнутого поперечного сечения, устроенный в горных породах без вскрытия вышележащего массива. 3.6 гидротехнический отстойник, отстойник: сооружение, служащее для осаждения содержащихся в воде наносов и последующего их удаления. 3.7 гидродинамическая авария: Авария на гидротехническом сооружении, связанная с распространением с большой скоростью воды и создающая угрозу возникновения техногенной чрезвычайной ситуации. 3.8 государственный надзор за безопасностью гидротехнических сооружений: Организация и проведение уполномоченными государственными органами исполнительной власти периодических инспекций (проверок) гидротехнических сооружений с целью установления соответствия их состояния и уровня эксплуатации требованиям безопасности, включая правила техники безопасности, требованиям норм и правил технической эксплуатации, экологическим нормативам, а также с целью проверки деятельности собственников (эксплуатационных организаций) гидротехнических сооружений по обеспечению и поддержанию их безопасности, в том числе исполнения предписаний предыдущих инспекций в установленном Законом Российской Федерации «О безопасности гидротехнических сооружений» порядке. 3.9 дамба: Гидротехническое сооружение для защиты территории от затопления, ограждения искусственных водоемов и водотоков, направленного отклонения потока воды. 3.10 декларация безопасности гидротехнического сооружения: Документ, составляемый собственником гидротехнического сооружения или эксплуатирующей организацией, а проектируемых и строящихся гидротехнических сооружений - юридическим лицом или физическим лицом, выполняющим функции заказчика, для предъявления органу надзора за промышленной безопасностью, в котором обосновывается безопасность гидротехнического сооружения и определяются меры по ее обеспечению в соответствии с классом сооружения. 3.11 деривация: Совокупность сооружений, осуществляющих отвод воды из естественного русла или водохранилища с целью создания сосредоточенного перепада уровней воды. 3.12 дренаж: Устройство для частичного или полного перехвата фильтрационного потока в основании или внутри водоподпорного сооружения, сбора и отвода профильтровавшихся вод. 3.13 канал: Водовод незамкнутого поперечного сечения в виде искусственного русла в грунтовой выемке и/или насыпи. 3.14 критерии безопасности гидротехнического сооружения: Предельные значения количественных и качественных диагностических показателей состояния гидротехнического сооружения и условий его эксплуатации, соответствующие допустимому уровню риска аварии гидротехнического сооружения и утвержденные в установленном порядке федеральными органами исполнительной власти, осуществляющими государственный надзор за безопасностью гидротехнических сооружений. 3.15 консервация гидротехнического сооружения: Комплекс мероприятий, направленных на полное прекращение выполнения гидротехническим сооружением функций по регулированию использования водных ресурсов и защите от вредного воздействия вод и осуществление комплекса организационных и технических мер, обеспечивающих безопасность гидротехнического сооружения, его материальную сохранность, предотвращение его разрушения, а также его работоспособность после расконсервации. 3.16 ликвидация гидротехнического сооружения: Комплекс мероприятий по демонтажу, сносу и перепрофилированию гидротехнического сооружения, приведению занимавшейся им территории, включая соответствующую часть водного объекта, в состояние, безопасное для людей и окружающей среды. 3.17 надежность гидротехнического сооружения: Интегральное свойство гидротехнического сооружения, характеризующее его способность выполнять требуемые функции при установленных режимах и условиях эксплуатации, технического обслуживания и ремонта в течение заданного периода времени, сохраняя при этом в установленных пределах значения всех параметров, определяющих эти функции. 3.18 напор на сооружение: Разность между полной удельной энергией потока в верхнем бьефе и удельной потенциальной энергией в нижнем бьефе (разница уровней воды в верхнем и нижнем бьефах). 3.19 напорный бассейн: Водоем для сопряжения безнапорной деривации (канала, туннеля, лотка) с турбинными трубопроводами деривационной ГЭС. 3.20 плотина: Водоподпорное сооружение, перегораживающее водоток и (иногда) долину водотока для подъема уровня воды. 3.20.1 арочная плотина: Криволинейная в плане бетонная плотина, устойчивость которой обеспечивается, в основном, путем опирания на скальные береговые массивы. 3.20.2 арочно-гравитационная плотина: Криволинейная в плане бетонная плотина, устойчивость которой обеспечивается как путем опирания на скальные береговые массивы, так и силами сопротивления сдвигу, зависящими от веса сооружения, глухая плотина: Плотина или ее часть, в которой отсутствуют устройства для пропуска воды. 3.20.3 водосбросная плотина: Плотина или ее часть, выполняющая функции водосбросного сооружения. 3.20.4 водосливная плотина: Водосбросная плотина, пропуск воды через гребень которой осуществляется со свободной поверхностью потока. 3.20.5 гравитационная плотина: Плотина, устойчивость которой обеспечивается силами сопротивления сдвигу, зависящими, в основном, от веса сооружения и водной пригрузки, например, бетонная гравитационная плотина. 3.20.6 земляная плотина: Плотина из грунтовых материалов, тело которой возведено из глинистых, песчаных, гравелисто-галечных грунтов. 3.20.7 каменноземляная плотина: Плотина из грунтовых материалов, тело которой состоит частично из песчаных или глинистых грунтов, а частично - из крупно-обломочных грунтов. 3.20.8 контрфорсная плотина: Плотина, устойчивость которой обеспечивается силами сопротивления сдвигу вертикальных стен-контрфорсов, воспринимающих через опертую на них напорную грань давление воды. 3.21 подпорный уровень; ПУ: Уровень воды, устанавливающийся в верхнем бьефе в результате преграждения или стеснения русла сооружениями. 3.21.1 нормальный подпорный уровень; НПУ: Наивысший подпорный уровень, который может поддерживаться в нормальных условиях эксплуатации подпорного сооружения. 3.21.2 форсированный подпорный уровень; ФПУ: Подпорный уровень выше нормального, допускаемый в верхнем бьефе в особых условиях эксплуатации гидротехнических сооружений при сбросе паводков малой обеспеченности. 3.22 рисберма: Расположенный за водобоем участок крепления нижнего бьефа, предназначенный для гашения остаточной энергии потока и защиты водобоя от подмыва. 3.23 переходное крепление нижнего бьефа: Деформируемое крепление из каменной наброски (иногда покрываемое плитами с гибкими связями), предназначенное для сопряжения рисбермы с неукрепленным руслом. 3.24 риск аварий на гидротехническом сооружении: Комбинация вероятностей возникновения аварий на гидротехническом сооружении и их ожидаемых последствий для жизни и здоровья людей, собственности и окружающей среды. 3.25 рыбозащитное сооружение: Водозаборное сооружение или его часть, предназначенное для предупреждения попадания, травмирования и гибели личинок и молоди рыб на водозаборах и отведения их в жизнеспособном состоянии в безопасное место рыбообитаемого водоема для естественного воспроизводства или хозяйственного использования. 3.26 рыбоспускное сооружение: Рыбозащитное сооружение, предназначенное для безопасного перевода покатников рыб из верхнего бьефа гидроузла в нижний бьеф. 3.27 суффозионная устойчивость: Сохранение первоначальной структуры грунта (грунтового материала) при заданной интенсивности фильтрационного потока. 3.28 фильтрационная прочность: Способность самого сооружения и/или его основания сопротивляться разрушающему воздействию фильтрационного потока, проявляющемуся в виде механической или химической суффозии. 3.29 шугосброс: Водопропускное сооружение, предназначенное для предотвращения попадания шуги в закрытый водовод и ее сброса в нижний бьеф. 3.30 эксплуатирующая организация: Организация любой организационно-правовой формы, осуществляющая техническую эксплуатацию и обслуживание на праве собственности, праве хозяйственного ведения или праве оперативного управления, аренды либо на ином законном основании. 4 Обозначения и сокращенияВОЗ - возможные очаги землетрясений; ВСФ - водоподпорное сооружение в составе напорного фронта; ГСК - градостроительный кодекс (Федеральный Закон РФ «Градостроительный кодекс Российской Федерации» от 29.12.2004 № 190-ФЗ; ГСК РФ); ГАЭС - гидроаккумулирующая электрическая станция; ГТС - гидротехнические сооружения; ГЭС - гидравлическая электрическая станция; ДСР - детальное сейсмическое районирование; ДТ - динамическая теория; ИГЭ - инженерно-геологический элемент; КИА - контрольно-измерительная аппаратура; ЛСТ - линейно-спектральная теория; МРЗ - максимальное расчетное землетрясение; НДС - напряженно-деформированное состояние (напряженно-деформированное состояние сооружения); НПУ - нормальный подпорный уровень; ОГК - оптовые генерирующие компании; ОСР - общее сейсмическое районирование (общее сейсмическое районирование, выполненное в 1997 г.; ОСР-97); ПДЗ - предельно-допустимые значения (предельно-допустимые значения критериальных показателей состояния сооружения); ПЗ - проектное землетрясение; ПТЭ - Правила технической эксплуатации (Правила технической эксплуатации электрических станций и сетей); ПФУ - противофильтрационное устройство; РА - расчетная акселерограмма; РГЭ - расчетный геологический элемент; РЗС - рыбозащитные сооружения; СМР - сейсмическое микрорайонирование; ТГК - территориальные генерирующие компании; УИС - уточнение исходной сейсмичности; УМО - уровень мертвого объема; ФПУ - форсированный подпорный уровень. 5 Основные нормативные положения, регламентирующие условия создания гидротехнических сооружений5.1 Правила и нормы проектирования гидротехнических сооружений5.1.1 Нормы и требования при проектировании оснований гидротехнических сооруженийОбщие положения 5.1.1.1 Проектирование оснований гидротехнических сооружений должно выполняться на основе результатов анализа природных условий, опыта возведения аналогичных гидротехнических сооружений в сходных природных условиях, технико-экономического сравнения вариантов проектных решений, выполнения требований надежности объекта, его социальной и экологической безопасности. 5.1.1.2 Нагрузки и воздействия на основания гидротехнических сооружений должны определяться расчетом, исходя из совместной работы сооружения и основания и в соответствии с требованиями приложения А. 5.1.1.3 Расчеты оснований гидротехнических сооружений следует проводить по двум группам предельных состояний. 5.1.1.4 В проектах оснований сооружений должна быть предусмотрена система мониторинга, обеспечивающая проведение натурных наблюдений и оценку состояния системы гидротехническое сооружение-основание, а также оценку технологических процессов, влияющих на экологическую обстановку в районе гидроузла. 5.1.1.5 Состав и объем натурных наблюдений должен назначаться в зависимости от класса сооружения, геологических и гидрогеологических особенностей основания, новизны проектных решений. 5.1.1.6 При проектировании оснований сооружений I - III классов необходимо предусмотреть установку контрольно-измерительной аппаратуры (КИА). Состав и объем установки КИА должен определяться проектом. Для сооружений IV класса и их оснований, как правило, следует предусматривать только визуальные и геодезические наблюдения. 5.1.1.7 При проектировании оснований гидротехнических сооружений должны быть предусмотрены инженерные мероприятия по охране окружающей среды. Экологическое обоснование проекта обустройства основания гидротехнического сооружения должно включать разработку комплекса природоохранных мероприятий при строительстве и эксплуатации ГЭС, а также мероприятия по охране окружающей среды, ведущие к улучшению экологической обстановки. Номенклатура грунтов оснований и их физико-механические характеристики 5.1.1.8 Номенклатуру грунтов оснований гидротехнических сооружений и их физико-механические характеристики следует устанавливать согласно требованиям приложения А. 5.1.1.9 Для вновь возводимых сооружений комплекс полевых и лабораторных исследований грунтов должен быть направлен на обоснованное определение нормативных и расчетных значений всех характеристик, необходимых как для классификационных целей, так и для разработки инженерно-геологических и расчетных схем оснований и оценки надежности систем «сооружение - основание». Обработка результатов испытаний при определении нормативных и расчетных значений характеристик грунтов должна производиться в соответствии с указаниями ГОСТ 20522-96. Расчетные значения характеристик определяются с учетом коэффициента надежности по грунту γg. 5.1.1.10 Во всех случаях при проектировании системы «сооружение - основание» следует учитывать возможное изменение характеристик грунтов в процессе возведения и эксплуатации сооружения, особенно в случае строительства на многолетнемерзлых и промороженных основаниях. Инженерно-геологическая и расчетная схематизация оснований 5.1.1.12 Проектирование оснований гидротехнических сооружений и оценку их состояния при эксплуатации следует выполнять на основе инженерно-геологических и расчетных геомеханических схем (моделей). Расчетные геомеханические схемы (модели) используются при расчетах и разработке конструкций, при обосновании их технической надежности, экологической безопасности и экономической целесообразности (приложение А). Инженерно-геологические изыскания надлежит проводить в соответствии с [1]. 5.1.1.13 Разработка инженерно-геологических и расчетных схем оснований (представление основания в виде инженерно-геологических элементов - ИГЭ, и расчетных геологических элементов - РГЭ) должно основываться на результатах инженерно-геологических изысканий и исследований, которые должны содержать достоверные данные по: структурно- тектоническим условиям и геологическому строению участка строительства, сейсмической активности территории, гидрогеологическим условиям участка и их изменению во времени, условиям залегания легкорастворимых, выщелачиваемых и слабых грунтов, температурному режиму и строению мерзлых грунтов, физико-механическим свойствам грунтов и скальных пород, возможности развития опасных геодинамических процессов (приложение А). Расчеты устойчивости (несущей способности) 5.1.1.14 Расчеты устойчивости (несущей способности) системы «сооружение - основание» следует производить для сооружений всех классов по предельным состояниям 1-й группы; расчеты устойчивости склонов следует производить в зависимости от последствий их разрушения либо по предельным состояниям 1-й или 2-й групп. 5.1.1.15 Оценка устойчивости сооружений I класса должна проводиться в детерминистической постановке. В дополнение к ней может использоваться вероятностная модель. 5.1.1.16 В расчетах устойчивости гравитационных сооружений на нескальных основаниях следует рассматривать потерю устойчивости по схемам плоского, смешанного и глубинного сдвигов. Эти схемы могут иметь место как при поступательной форме сдвига, так и при сдвиге с поворотом в плане. 5.1.1.17 При расчетах устойчивости сооружений на глинистых водонасыщенных грунтах необходимо учитывать незавершенные процессы консолидации основания путем учета в расчетах порового давления, либо расчетных характеристик прочности грунтов и степени их консолидации (приложение А). 5.1.1.18 При расчетах устойчивости сооружений на мерзлых основаниях необходимо учитывать изменение прочностных показателей грунтов в процессе возможного оттаивания основания. 5.1.1.19 При расчетах устойчивости сооружений на водонасыщенных нескальных основаниях, воспринимающих кроме статических также динамические нагрузки, следует учитывать влияние последних на несущую способность грунтов. 5.1.1.20 Для бетонных и железобетонных подпорных сооружений на скальных основаниях следует также рассматривать схему предельного поворота (опрокидывания). 5.1.1.21 Оценку устойчивости сооружений и откосов всех типов следует производить по кинематически возможным схемам обрушения приближенными методами, удовлетворяющими уравнениям равновесия, а также на основе анализа результатов расчетов напряженно-деформированного состояния системы «сооружение - основание», основанных на использовании нелинейных моделей материалов и численных методов решения статических и динамических задач механики сплошной среды. Фильтрационные расчеты оснований 5.1.1.22 При проектировании оснований гидротехнических сооружений необходимо обеспечивать фильтрационную прочность грунтов, устанавливать допустимые по технико-экономическим показателям фильтрационные расходы и противодавление фильтрующей воды на подошву сооружения. 5.1.1.23 Фильтрационную прочность основания следует оценивать, сопоставляя полученные в результате математического или физического моделирования характеристики фильтрационных полей (градиенты напора, скорости фильтрации) с их критическими значениями. 5.1.1.24 Проектирование подземного контура напорных сооружений должно выполняться в соответствии с требованиями приложения А. 5.1.1.25 При выборе систем дренажного и противофильтрационного обустройства основания проектируемого сооружения необходимо учитывать требования по охране окружающей среды в части подтопления, заболачивания прилегающей территории, активизации карстово-суффозионных процессов и т.п. 5.1.1.26 Устройство противофильтрационных завес обязательно в тех случаях, когда основание сложено фильтрующими слабо водоустойчивыми и быстро растворимыми, а также суффозионно неустойчивыми грунтами. Могут быть использованы и другие инженерные решения (соляная завеса, дренаж и т.п.) 5.1.1.27 При проектировании скальных оснований высоких бетонных плотин следует допускать возможность возникновения под напорной гранью зоны разуплотнения с разрывом противофильтрационной завесы, приводящих к многократному увеличению фильтрационных расходов и заметному увеличению противодавления (приложения А). Расчет местной прочности скальных оснований 5.1.1.28 Расчет местной прочности скальных оснований следует производить для сооружений I и II классов по предельным состояниям второй группы при основном сочетании нагрузок. 5.1.1.29 Определенная расчетом местной прочности зона разуплотнения не должна пересекать цементационную завесу и дренаж. В противном случае необходим пересчет фильтрационного режима основания в нелинейной постановке с учетом изменения фильтрационных свойств скальных пород. Определение напряжений 5.1.1.30 Напряжения в основании гидротехнических сооружений I и II классов надлежит определять численными методами механики сплошных сред с учетом неоднородности строения основания, нелинейных свойств грунтов и скальных пород, изменения прочностных и деформационных свойств материалов во времени. Для сооружений III и IV классов допускается использовать приближенные методы строительной механики и сопротивления материалов. 5.1.1.31 При определении контактных напряжений по подошве жестких бетонных сооружений с грунтом допускается использовать метод экспериментальных эпюр, а также метод коэффициента постели. Расчет оснований по деформациям 5.1.1.32 Расчет оснований по деформациям необходимо проводить по первой или по второй группам предельных состояний в соответствии с приложением А. 5.1.1.33 Определенные расчетом осадки, горизонтальные смещения и крены сооружений на грунтовых основаниях не должны превосходить нормируемые критерии, гарантирующие по этому фактору нормальные условия эксплуатации, обеспечивающие техническую надежность и долговечность гидротехнического сооружения. 5.1.1.34 Расчет сооружений по деформациям должен производиться на основные, а при соответствующем обосновании - и на особые сочетания нагрузок, с учетом характера их действия в процессе строительства и эксплуатации сооружения. 5.1.1.35 Предельные значения совместной деформации основания и сооружения должны устанавливаться соответствующими нормами проектирования отдельных видов сооружений, правилами технической эксплуатации сооружения или оборудования (приложение А). 5.1.1.36 При определении деформаций оснований и сооружений, также как и при расчете напряжений, следует в зависимости от класса сооружения и этапа проектирования использовать как упрощенные (инженерные) методы, так и современные вычислительные методы с использованием детальной схематизации системы сооружение-основание и сложных математических моделей материалов. 5.1.1.37 Значение деформаций сооружений и оснований в процессе эксплуатации, при наличии в основании глинистых грунтов надлежит определять с учетом процессов консолидации и ползучести грунтов. Инженерные мероприятия по обеспечению надежности оснований 5.1.1.38 При проектировании оснований сооружений следует предусматривать конструктивные и технологические мероприятия по сопряжению сооружения с основанием, обеспечивающие устойчивость сооружения, прочность основания, допустимое напряженно-деформированное и термическое состояние основания и сооружения при всех расчетных сочетаниях нагрузок и воздействий на период строительства и проектный срок эксплуатации. 5.1.1.39 При проектировании сооружений с сохранением мерзлых грунтов в основании следует предусматривать мероприятия, предотвращающие деградацию мерзлоты. 5.1.1.40 Для повышения несущей способности основания, уменьшения осадок и смещений сооружения, а также обеспечения требуемой проектом водонепроницаемости и фильтрационной прочности грунтов, следует предусматривать в необходимых случаях закрепление и уплотнение грунтов. 5.1.2 Нормы и требования при проектировании грунтовых плотинОбщие положения 5.1.2.1 Плотины из грунтовых материалов должны проектироваться с учетом: - основных природных факторов, включая инженерно-геологические условия площадки строительства, наличие местных строительных материалов, особенностей гидрологического и гидрогеологического режимов в створе гидроузла, сейсмичности района строительства, климатических условий; - опыта проектирования, строительства и эксплуатации плотин в аналогичных природных условиях, - технико-экономического обоснования путем сравнения возможных вариантов проектных решений. 5.1.2.2 Сочетание нагрузок и воздействий при расчетах плотин из грунтовых материалов должно выбираться по приложению Б. 5.1.2.3 Для обеспечения эксплуатационной надежности и требуемой долговечности грунтовых плотин в проекте следует проводить: - анализ природных условий района строительства и створа размещения грунтовой плотины; оценку этих условий с точки зрения требований, предъявляемых к строительству плотины; прогноз изменения природных условий в период строительства и эксплуатации; - анализ прочности и устойчивости плотины в целом и отдельных ее элементов, фильтрационной прочности; - разработку комплекса защитных мероприятий, направленных на обеспечение прочности (включая фильтрационную прочность) и устойчивости плотин в эксплуатационный период; - разработку систем инженерного контроля в период строительства и эксплуатации плотины (приложение Б). Требования к инженерным изысканиям 5.1.2.4 Инженерные изыскания должны выполняться в соответствии с требованиями общегражданских норм, государственных стандартов и других нормативных документов по изысканиям и исследованиям в строительстве. 5.1.2.5 Состав и объем инженерных изысканий для проектирования грунтовых плотин должен определяться в соответствии с требованиями приложения Б и устанавливаться с учетом конкретных условий площадки (приложение Б). 5.1.2.6 Инженерные изыскания должны обеспечивать получение исходных материалов, используемых при разработке проекта плотин, включая все основные расчеты, выработке решений по инженерной защите, охране окружающей среды. 5.1.2.7 Инженерными изысканиями устанавливаются основные параметры физических, механических, а при необходимости - и теплофизических свойств грунтов, с помощью которых определяются деформации плотин, устойчивость их откосов, фильтрационная прочность. 5.1.2.8 Нормативные и расчетные значения характеристик грунтов для плотин I и II классов и их оснований устанавливаются на основе результатов статистической обработки расчетных значений характеристик грунтов, принимаемых при расчетах устойчивости откосов плотин с обеспеченностью α = 0,95, а при расчетах смещений плотин α = 0,85. Характеристики грунтов для плотин III и IV классов могут устанавливаться по аналогам. 5.1.2.9 Виды грунтов плотин и оснований, их физико-механические и теплофизические характеристики необходимо определять в соответствии с требованиями ГОСТ, помещенных в нормативных ссылках по этому вопросу. 5.1.2.10 Для плотин I и II классов следует предусматривать на предварительных стадиях проектирования проведение опытных отсыпок и укаток, а при возведении намывных плотин - опытный намыв. Конструкции плотин 5.1.2.11 Тип плотины должен устанавливаться с учетом: - инженерно-геологического строения основания, - наличия местных строительных материалов, - климатических условий строительства. 5.1.2.12 Крутизна откосов плотины назначается, исходя из условия их устойчивости, порядка возведения плотины и способа производства работ. 5.1.2.13 Отметка гребня плотины должна обеспечивать недопущение перелива воды через плотину при уровнях верхнего бьефа, принимаемых для основного или особого сочетания нагрузок, а также при нормированных значениях ветрового нагона и наката волны (приложение Б). 5.1.2.14 Ширина гребня плотины назначается в зависимости от класса плотины, условий производства работ и ее эксплуатации. 5.1.2.15 Крепление верховых откосов плотин должно защищать их от воздействия волн, льда, течений воды, изменения уровней воды в водохранилище, атмосферных осадков, ветра и других разрушающих откос факторов. 5.1.2.16 Крепление низовых откосов плотин следует выбирать в зависимости от материала, из которого возведена низовая призма плотины, с целью защиты от атмосферных осадков и разрушения землеройными животными. Если низовой откос подвержен воздействию льда и волн, его крепление назначается так же, как и для верхового откоса. 5.1.2.17 Для уменьшения фильтрации через тело плотины в конструкции плотины следует предусмотреть противофильтрационные устройства из слабопроницаемых грунтов или негрунтовых материалов. Водопроницаемость грунтовых противофильтрационных устройств мерзлых плотин следует обеспечивать устройством в них мерзлотных завес, смыкающихся, в частности, с многолетнемерзлыми грунтами основания. 5.1.2.18 Противофильтрационные устройства следует выбирать в зависимости от вида плотины, характеристик грунтов ее тела и оснований, наличия грунтовых и негрунтовых материалов, высоты плотины, условий производства работ, а также по результатам технико-экономического сопоставления вариантов с различными конструкциями. 5.1.2.19 Гребень ядра или экрана должен быть выше ФПУ с учетом ветрового нагона не менее чем на 0,5 м. 5.1.2.20 На контакте грунтового противофильтрационного устройства (ядра или экрана) с крупнозернистым грунтом необходима укладка обратного фильтра. 5.1.2.21 Асфальтобетонные экраны следует выполнять из гидротехнического асфальтобетона или полимер-асфальтобетона. Свойства асфальтобетона следует назначать из условия устойчивости его на откосе, трещиностойкости при отрицательных температурах воздуха, усталостной прочности и жесткости при волновых нагрузках. 5.1.2.22 Асфальтобетонные диафрагмы надлежит выполнять из литого, пластичного или уплотненного горячего асфальтобетона. Тип и состав асфальтобетона следует выбирать, исходя из прочностных свойств материала, выбранной технологии строительства и экономических расчетов. 5.1.2.23 Железобетонные экраны в насыпных земляных плотинах надлежит устраивать с учетом гранулометрического состава, прочностных и деформационных свойств грунтов верховой призмы плотины. За экраном следует проектировать зону из малодеформируемых грунтов, грунтобетона, кладки насухо (приложение Б). 5.1.2.24 При использовании полимерных материалов (например, полиэтиленовой, поливинилхлоридной, бутилкаучуковой пленок и др.) для создания противофильтрационных конструкций следует обеспечить их защиту от механических повреждений и солнечной радиации. 5.1.2.25 Противофильтрационное устройство в плотине в виде инъекционной диафрагмы должно обладать необходимой фильтрационной прочностью, деформационными и прочностными свойствами, обеспечивающими долговечность плотины. Состав и технология нагнетания инъекционных растворов должны быть обоснованы исследованиями, а при необходимости - опытными работами в производственных условиях. 5.1.2.26 Дренажные устройства тела земляной плотины следует проектировать с целью: - организованного отвода воды, фильтрующей через тело плотины, основание и береговые примыкания плотины в нижний бьеф, - предотвращения выхода фильтрационного потока на низовой откос и в зону, подверженную промерзанию, - снижения депрессионной поверхности для повышения устойчивости низового откоса, - обеспечения устойчивости верхового откоса при быстрой сработке верхнего бьефа, - снятия порового давления, возникающего при сейсмических воздействиях, - отвода воды, профильтровавшей через экран или ядро из слабопроницаемого грунта. 5.1.2.27 При проектировании дренажных устройств необходимо учитывать их суффозионность и условия фильтрации в области дренажа. 5.1.2.28 Сопряжение дренажа с плотиной следует осуществлять с помощью обратного фильтра. 5.1.2.29 В проекты намывных плотин следует включать мероприятия по обеспечению качества намыва грунта и установленной плотности его укладки, а также устойчивости откосов в строительный период. Для намывных плотин должна быть установлена предельная интенсивность их наращивания по условию водоотдачи намытого грунта. 5.1.2.30 При необходимости следует предусматривать дополнительное искусственное уплотнение намытых грунтов (глубинное гидровибрирование, уплотнение взрывами и т.п.), которые, как правило, должны быть обоснованы полевыми исследованиями. 5.1.2.31 В проекте каменно-земляных и каменных плотин следует предусматривать способ отсыпки и уплотнения каменного материала. 5.1.2.32 Возведение каменно-земляных плотин направленным взрывом допускается в благоприятных для этого метода природных условиях: в узком створе, при скальных породах берегов. Возможно обрушение методом непрерывного взрыва заранее заготовленных грунтов. 5.1.2.33 При проектировании плотин из крупнообломочных грунтов с грунтовыми противофильтрационными устройствами надлежит предусматривать переходные зоны, рассчитываемые аналогично обратным фильтрам. 5.1.2.34 В проекте грунтовой плотины любого типа необходимо предусматривать мероприятия по ее сопряжению с основанием и бортами речной долины, с целью повышения общей фильтрационной прочности и суффозионной устойчивости грунтов как тела плотины, так и грунтов основания. 5.1.2.35 При проектировании плотин для Северной строительно-климатической зоны необходимо предусмотреть мероприятия по предотвращению развития негативных процессов в мерзлых основаниях в период эксплуатации сооружения, связанных с явлениями тепломассопереноса фильтрующей воды. Основные положения расчетов плотин 5.1.2.36 Расчеты грунтовых плотин должны проводиться по двум группам предельных состояний (приложение Б). 5.1.2.37 Нагрузки и воздействия выбираются для их основного и особого сочетаний с учетом нормированных коэффициентов надежности, условий работы, сочетаний нагрузок, а также коэффициентов надежности по нагрузке. При проектировании плотин в сейсмически опасных районах следует учитывать сейсмические нагрузки согласно требованиям приложения Б. 5.1.2.38 В расчетах по первой группе предельных состояний используются расчетные значения характеристик материалов, по второй группе - их нормативные значения (приложение Б). 5.1.2.39 При проектировании грунтовых плотин I и II классов капитальности необходимо выполнение следующих расчетов: - фильтрации и фильтрационной прочности; - устойчивости откосов плотины, экрана и защитных конструкций верхового откоса плотины; - напряжений и деформаций в теле плотины и ее основании; - консолидации в глинистых элементах плотины и глинистых грунтах основания; - прочности и устойчивости креплений откосов; - температурных полей (при проектировании плотин в северной строительно-климатической зоне); - обратных фильтров, переходных слоев и дренажей. Для плотин III и IV классов допускается ограничиться расчетами фильтрационных режимов, фильтрационной прочности, дренажей и фильтров, устойчивости откосов, осадок и крепления откосов. 5.1.2.40 Расчеты плотин следует производить для всех характерных поперечных сечений плотины. Для плотин II и III классов расчеты могут проводиться в плоской постановке, для плотин I класса - желательно в пространственной постановке. Ремонт и реконструкция плотин 5.1.2.41 Необходимость осуществления ремонта (реконструкции) плотины, а также выбор технических решений и технологии ремонтно-строительных работ определяются оценкой технического состояния сооружения, которая выполняется в соответствии с требованиями [2] на основании освидетельствования и технического обследования плотины с проведением необходимых исследований. В процессе проектирования плотины должна быть предусмотрена возможность выполнения типовых ремонтных работ, номенклатура которых определяется на основании опыта эксплуатации однотипных сооружений (ремонтопригодностью). При реконструкции плотин следует руководствоваться нормами и правилами ведения строительных гидротехнических работ. Требования к охране окружающей среды 5.1.2.42 При проектировании грунтовых плотин необходимо учитывать требования Федерального Закона РФ «Об охране окружающей среды» от 10.01.2002 № 7-ФЗ и других нормативных документов (приложение Б). 5.1.2.43 При строительстве плотин должно быть обеспечено выполнение требований по охране окружающей среды, рациональному использованию природных ресурсов, учету ближайших и отдаленных экологических, экономических, социальных, демографических последствий строительства при приоритете охраны здоровья и благополучия населения. 5.1.2.44 Проектирование грунтовых плотин должно осуществляться в соответствии с требованиями Закона РФ об охране окружающей среды. При проектировании плотин должны учитываться предельно допустимые нагрузки на окружающую среду как в строительный, так и в эксплуатационный периоды и предусматриваться меры предупреждения и устранения загрязнения окружающей природной среды. 5.1.2.45 При проектировании грунтовых плотин не следует применять материалы и технологии, способствующие химическому, физическому и биологическому загрязнению окружающей среды. 5.1.3 Нормы и требования при проектировании бетонных и железобетонных плотинОбщие положения 5.1.3.1 Плотины бетонные и железобетонные надлежит проектировать в соответствии с требованиями правил, изложенных в приложениях В и Ж, и с учетом требований п. 5.1.1 Стандарта. 5.1.3.2 Проектирование бетонных и железобетонных плотин следует выполнять из условий обеспечения общей прочности и прочности отдельных элементов плотин, устойчивости плотин на сдвиг и опрокидывание, а также долговечности в конкретных условиях эксплуатации каждой плотины. 5.1.3.3 Вид, конструкцию и местоположение бетонных и железобетонных плотин в створе гидроузла, а также методы их возведения надлежит выбирать с учетом природных (геологических, топографических, климатических и сейсмических) условий района строительства, пропуска строительных и эксплуатационных расходов, компоновки гидроузла, наличия местных строительных материалов и режима эксплуатации, на основании технико-экономического сравнения вариантов. 5.1.3.4 Нагрузки и воздействия на бетонные плотины определяются в соответствии с требованиями правил, изложенных в приложении В. 5.1.3.5 Класс бетонных и железобетонных плотин следует устанавливать в соответствии с требованиями приложения Ж. 5.1.3.6 Если отдельные участки напорного фронта выполнены из плотин разных видов, то их класс принимается по классу плотины, расположенной в наиболее глубокой части створа. 5.1.3.7 При проектировании плотин для любых районов строительства следует предусматривать мероприятия, обеспечивающие минимальное нарушение окружающей природной среды. Оценка влияния гидротехнических сооружений на окружающую среду должна выполняться на основе РД 153-34.2.-02.409-2003 «Методические указания по оценке влияния гидротехнических сооружений на окружающую среду». Требования к строительным материалам 5.1.3.8 Строительные материалы для бетонных и железобетонных плотин и их элементов должны удовлетворять требованиям, изложенным в приложении В и в государственных стандартах на строительные материалы, помещенных в нормативных ссылках и относящихся к подбору и испытанию строительных материалов. 5.1.3.9 В плотинах и их элементах в зависимости от условий работы бетона в отдельных частях плотин в эксплуатационный период надлежит различать четыре зоны: - I - наружные части плотин, не омываемые водой и находящиеся под воздействием атмосферы; - II - наружные части плотин, находящиеся в пределах колебаний воды в бьефах, в том числе поверхности, подвергающиеся воздействию сбрасываемых потоков; - III - наружные части, расположенные ниже минимальных уровней воды в бьефах, а также примыкающие к подошве плотины; - IV - внутренние зоны, ограниченные зонами I и III. К бетону различных зон плотин всех классов необходимо предъявлять требования, приведенные в таблице 5.1. Таблица 5.1 Требования, предъявляемые к бетону для различных зон плотин
5.1.3.10 Требования к бетону плотин по прочности, водопроницаемости и морозостойкости и т.д., необходимо устанавливать дифференцированно, в соответствии с фактическими условиями работы бетона различных зон. 5.1.3.11 Возраст (срок твердения) бетона, соответствующий его проектному классу по прочности на сжатие и марке по водопроницаемости, следует назначать с учетом сроков возведения плотины и наполнения водохранилища. 5.1.3.12 Марки бетона по водонепроницаемости должны назначаться в зависимости от градиентов напора в соответствии с требованиями, изложенными в приложении Г. В агрессивной воде-среде марку бетона по водонепроницаемости следует принимать на одну ступень выше требуемой. 5.1.3.13 Марки бетона по морозостойкости следует назначать в зависимости от климатических условий района строительства плотины и расчетного числа циклов попеременного замораживания и оттаивания в год в соответствии с таблицей 5.2. Таблица 5.2 Марки бетона по морозостойкости
Примечание - При числе расчетных циклов более 200 следует применять специальные виды бетонов (с комплексными добавками) или конструктивную теплозащиту. 5.1.3.14 Расчетные сопротивления бетона плотин в возрасте 180 суток (или 1 год) следует определять, исходя из устанавливаемых при проектировании расчетных сопротивлений бетона, требуемых ко времени нагружения сооружения эксплуатационными нагрузками, с учетом реального возраста, который будет иметь бетон к указанному времени, и условий возведения плотины. 5.1.3.15. Класс бетона и раствора омоноличивания должен быть не ниже класса бетона омоноличиваемых конструкций, если последний не ниже В25. Основные положения по расчетам на прочность 5.1.3.16. Расчеты бетонных и железобетонных плотин следует производить в соответствии с требованиями приложения Ж. 5.1.3.17. Расчеты плотин надлежит производить по методу предельных состояний: - предельные состояния первой группы - расчеты на общую прочность и устойчивость, а также на местную прочность элементов плотин; - предельные состояния второй группы - расчеты сооружений по образованию трещин, а также по раскрытию строительных швов в бетонных и трещин в железобетонных конструкциях. 5.1.3.18 Расчеты плотин, их оснований и отдельных элементов на прочность и устойчивость следует проводить для наиболее неблагоприятных расчетных случаев эксплуатационного и строительного периодов с учетом последовательности возведения и нагружения плотины и прогноза изменения температурного режима. 5.1.3.19. Расчеты на прочность плотин I-III классов, возводимых на нескальных основаниях, должны выполняться с учетом пространственной работы несущих элементов конструкции. При этом внутренние усилия следует определять с учетом неупругого поведения конструкций, вызванного трещинообразованием в бетоне. 5.1.3.20. В тех случаях, когда в сооружении возможно раскрытие строительных швов, появление и раскрытие трещин, а в основании - нарушение сплошности в растянутых зонах, должен производиться расчет сооружения на прочность по образовавшимся вторичным схемам. Отказ от расчета сооружений по вторичным схемам допускается при специальном обосновании, включающем установление соответствующих условий прочности сооружения. 5.1.3.21. В расчетах бетонных плотин на общую прочность и по деформациям в случаях, когда в расчетной схеме профиля сооружения наличие швов не учитывается, расчетное значение модуля деформации бетонной кладки плотины Fbd определяется с учетом начального значения модуля упругости бетона Fb, числа вертикальных швов бетонирования по подошве секции плотины, высоты блоков бетонирования, методов бетонирования. 5.1.3.22. При возрасте бетона 180 суток и более начальный модуль упругости бетона плотин допускается принимать по таблице 5.3. Таблица 5.3 Значения начального модуля упругости бетона Fb
5.1.3.23 Расчетные сопротивления бетона снижаются (или повышаются) путем умножения на коэффициенты условий работы бетона γm, учитывающие влияние на прочность бетона сочетаний нагрузок, градиентов деформаций по сечению, формы поперечного сечения элемента, сложного напряженного состояния, строительных швов, многократного повторения нагрузок, других факторов и определяемые в соответствии с указаниями главы 5.1.4 стандарта. 5.1.3.24 При проектировании поверхностных и глубинных водосбросных отверстий плотин следует выполнять расчет прочности опорных конструкций затворов (пазов, консолей и т.п.). Расчеты прочности этих конструкций следует выполнять методами теории упругости с учетом совместной работы стальных опорных деталей и бетонного основания. При проектировании нагрузок на опорный рельс паза, превышающих 2500 кН/м, кроме расчетов на прочность пазовых конструкций, рекомендуется выполнять экспериментальные исследования на моделях этих конструкций. 5.1.4 Нормы и требования при проектировании бетонных и железобетонных конструкций гидротехнических сооружений5.1.4.1 Бетонные и железобетонные конструкции гидротехнических сооружений надлежит проектировать в соответствии с правилами, изложенными в приложениях Г и Ж. 5.1.4.2 Проектирование бетонных и железобетонных конструкций гидротехнических сооружений (определение геометрических параметров, назначение классов бетона и арматуры, марок бетона по водонепроницаемости и морозостойкости, разработка схем армирования и др.) следует выполнять из условия обеспечения прочности и устойчивости положения и формы конструкции, долговечности сооружения, а также жесткости конструкции (если этого требуют условия эксплуатации). 5.1.4.3 Расчеты бетонных и железобетонных конструкций ГТС необходимо проводить по методу предельных состояний в соответствии правилами, изложенными в приложении Ж. По предельным состояниям первой группы следует проводить расчеты при всех сочетаниях нагрузок и воздействий, а по предельным состояниям второй группы - только при основном сочетании нагрузок и воздействий. 5.1.4.4 Бетонные конструкции необходимо рассчитывать: - по предельным состояниям первой группы - на прочность с проверкой устойчивости положения и формы конструкции; - по предельным состояниям второй группы - на образование трещин. Железобетонные и сталежелезобетонные конструкции следует рассчитывать: - по предельным состояниям первой группы - на прочность с проверкой устойчивости и по выносливости при многократно повторяющейся нагрузке; - по предельным состояниям второй группы - на образование трещин (трещиностойкие конструкции) и на деформации (нетрещиностойкие конструкции). При проектировании сталебетонных конструкций необходимо дополнительно рассчитывать на прочность следующие элементы: - металлические облицовки - на действие транспортных, монтажных и строительных нагрузок, - железобетонные части элементов водопроводящего тракта - при действии нагрузок аварийного разрыва облицовки; - анкеры, обеспечивающие совместную работу листовой арматуры и бетона. 5.1.4.5 Для конструкций, заанкеренных в основании плотины, наряду с расчетом на прочность следует производить экспериментальные исследования для определения несущей способности анкерных устройств и релаксации напряжений в бетоне, скальном основании и анкерах. Необходимо предусмотреть мероприятия по защите анкеров от коррозии. 5.1.4.6 При расчете элементов сборных конструкций на усилия, возникающие при подъеме, транспортировании и монтаже, нагрузку от собственного веса элемента следует вводить в расчет с коэффициентами динамичности. 5.1.4.7 При расчете статически определимых стержневых систем, тонких плит и арок по предельным состояниям первой и второй групп внутренние усилия, перемещения и углы поворота следует определять методами сопротивления материалов. В статически неопределимых стержневых конструкциях внутренние усилия и перемещения следует определять методами строительной механики. При оценке прочности и трещиностойкости элементов по напряжениям (балки-стенки, консольные стенки, толстые арки, трубы и объемные элементы) последние определяются методами теории упругости или экспериментально. 5.1.4.8 В сечениях напорных стержневых систем, плиточных, арочных и кольцевых элементов следует учитывать противодавление в соответствии с правилами, изложенными в приложении В. 5.1.4.9 При проектировании бетонных и железобетонных конструкций гидротехнических сооружений должны быть предусмотрены мероприятия, обеспечивающие их долговечность (заданный срок эксплуатации без капитального ремонта и реконструкции). 5.1.4.10 Проектирование гидроизоляционных и теплоизоляционных покрытий надлежит осуществлять в соответствии с правилами, изложенными в приложении В. 5.1.4.11 Расчеты по определению ширины раскрытия трещин в железобетонных конструкциях гидротехнических сооружений следует выполнять в соответствии с правилами, изложенными в приложении Г. 5.1.5 Нормы и требования при проектировании водопропускных сооруженийОбщие положения Проектирование водопропускных сооружений необходимо производить, исходя из требований пропуска расчетного расхода воды поверочного расчетного случая. Максимальные расходы воды надлежит принимать, исходя из ежегодной вероятности превышения (обеспеченности), устанавливаемой в зависимости от класса сооружений для двух расчетных случаев - основного и поверочного [3]: Таблица 5.4 Ежегодные вероятности Р, %, превышения расчетных максимальных расходов воды
Примечание - * Поверочный расход принимается увеличенным на значение гарантийной поправки ΔQ, которое определяется в зависимости от гидрологической изученности реки и принятого вероятностного закона распределения максимальных расходов воды. Расчетный расход воды, подлежащий пропуску в процессе эксплуатации через постоянные водопропускные сооружения гидроузла, следует определять исходя из расчетного максимального расхода с учетом трансформации его создаваемыми для данного гидротехнического сооружения или действующими водохранилищами и изменения условий формирования стока, вызванного хозяйственной деятельностью в бассейне реки. Пропуск расчетного расхода воды для основного расчетного случая должен обеспечиваться при НПУ через все эксплуатационные водопропускные сооружения гидроузла. При пропуске расходов воды основного расчетного случая через водосливы, необорудованные затворами, при определении гидростатической нагрузки следует учитывать, что уровни верхнего бьефа устанавливаются выше отметки НПУ. При количестве затворов на водосбросной плотине более шести следует учитывать вероятную невозможность открытия одного затвора и исключать один пролет из расчета пропуска паводка. Учет пропускной способности гидроагрегатов в пропуске расчетных паводочных расходов должен быть обоснован при проектировании каждого конкретного гидроузла в зависимости от количества агрегатов гидроэлектростанции, условий ее работы в энергосистеме, вероятности аварийных ситуаций на ГЭС, а также фактического напора на ГЭС. Для совмещенных ГЭС должно быть учтено влияние на действующий напор гидротурбины работающего одновременно в том же блоке водосброса (водослива). Пропуск поверочного расчетного расхода должен осуществляться при наивысшем технически и экономически обоснованном форсированном подпорном уровне (ФПУ) всеми водопропускными сооружениями гидроузла, включая эксплуатационные водосбросы, турбины ГЭС, водозаборные сооружения оросительных систем и систем водоснабжения, судоходные шлюзы, рыбопропускные сооружения и резервные водосбросы. При этом, учитывая кратковременность прохождения пика паводка, допускаются: - уменьшение выработки электроэнергии ГЭС; - нарушение нормальной работы водозаборных сооружений, не приводящее к созданию аварийных ситуаций на объектах - потребителях воды; - повреждение резервных водосбросов, не снижающее надежности основных сооружений. 5.1.5.1 Назначение удельного расхода воды в нижнем бьефе водосбросных, водоспускных и водовыпускных сооружений, выбор их конструкции, режима сопряжения бьефов и гашения энергии, конструкций концевых устройств (носков-трамплинов, носков-уступов, водобоев, рисберм), креплений берегов, раздельных и сопрягающих стен надлежит обосновывать технико-экономическим сравнением вариантов с учетом геологических условий, неравномерного распределения расхода по ширине водосливного фронта, требований к гидравлическому режиму руслового потока в бьефах и изменения уровней воды в нижнем бьефе, вызываемого трансформацией русла после зарегулирования реки. 5.1.5.2 При выборе компоновки и проектировании водопропускных сооружений и их сопряжений с нижним бьефом надлежит обеспечивать: - защиту сооружений гидроузла от опасного размыва их оснований, - защиту зданий ГЭС и судоходных каналов от воздействий сбросного потока, - предупреждение деформаций русла, неблагоприятных для эксплуатации этих сооружений. Не следует располагать береговые водосбросы в пределах потенциально неустойчивых склонов. 5.1.5.3 Для элементов водосбросных сооружений необходимо учитывать гидродинамические воздействия и возможность истирания их поверхности наносами, а также повреждения камнями и другими предметами, транспортируемыми потоком. При скоростях течения более 12-14 м/с следует учитывать кавитационные воздействия на обтекаемые поверхности. 5.1.5.4 Для сооружений I, II и III классов необходимо производить сравнение технико-экономических показателей разработанных вариантов по результатам гидравлических расчетов и лабораторных исследований. Для сооружений IV класса сравнение вариантов следует производить по результатам гидравлических расчетов и по аналогам. 5.1.5.5 В составе сооружений гидроузлов I и II классов, расположенных в климатических зонах с продолжительным периодом минусовых температур, при соответствующем обосновании следует предусматривать водосбросы, приспособленные к работе в морозных условиях. На этих водосбросах должны быть приняты меры по исключению опасного оледенения элементов затворов, затворных камер, аэрационных отверстий, пазов, а также оледенение линий электропередачи, конструкций и оборудования, расположенных на здании ГЭС, плотине и берегах в зоне водовоздушного облака, образующегося при работе водосброса. Должны быть обеспечены условия для безотказной работы в этот период подъемных устройств, автоматики и электроснабжения затворов. (Введен дополнительно. Изм.) Водосбросы, водовыпуски и водоспуски бетонных плотин 5.1.5.6 Оголовки водосливных плотин всех классов следует проектировать безвакуумными с профилем криволинейного очертания. Прямоугольные или трапецеидальные профили применяются при надлежащем обосновании при напорах до 12 м. 5.1.5.7 При проектировании водосбросных сооружений плотин и креплений нижнего бьефа, обтекаемых потоком со скоростью более 15 м/с, следует предусматривать мероприятия, исключающие кавитационные явления. 5.1.5.8 Водосбросные бетонные и железобетонные плотины на любом типе оснований надлежит разбивать на секции температурно-осадочными швами. При однородных основаниях в ряде случаев допускается ограничиваться устройством швов-надрезов. 5.1.5.9 Заглубление фундаментной плиты в грунт следует предусматривать с учетом требований статической устойчивости, гидравлических и фильтрационных условий. Береговые водосбросы 5.1.5.10 Береговые открытые водосбросы следует проектировать в виде быстротоков и (или) перепадов. При проектировании необходимо учитывать топографические, геологические, сейсмологические и другие факторы, а также необходимость удовлетворительных условий сопряжения бьефов. 5.1.5.11 При проектировании водосбросов в горных и предгорных районах следует рассматривать варианты закрытых водосбросов в виде напорных и безнапорных туннелей. Выбор типа водосброса (открытый или закрытый) обосновывается технико-экономическим сравнением вариантов. 5.1.5.12 Конструктивно-технические решения входных участков береговых водосбросов (водосливных оголовков, порталов глубинных водосбросов, шахтных, башенных или траншейных водоприемников) должны определяться условиями пропуска расходов основного и поверочного случаев при соответствующих отметках верхнего бьефа. Крепление нижнего бьефа и концевые устройства водосбросов 5.1.5.13 Гашение энергии в нижнем бьефе за водосбросными сооружениями на нескальном основании, как правило, надлежит осуществлять на креплении, в состав которого могут входить водобой и рисберма (жесткая и гибкая), усиленные гасителями и направляющими элементами, а также концевые устройства в виде зуба и(или) переходного крепления. Отметку поверхности водобоя, рисбермы и концевого участка, их длину и толщину следует назначать на основании гидравлических исследований, статических расчетов и технико-экономического сравнения вариантов. При необходимость следует предусматривать мероприятия по пропуску воды и льда в строительный период. 5.1.5.14 Выбор типа гасителей, их расположение на водобое необходимо определять на основании технико-экономического сравнения вариантов с учетом допустимых глубин на водобое, условий возникновения кавитации и сбойности течения, а также размывающей способности потока ниже гасителей. Конструкция гасителя наряду с гашением энергии должна обеспечивать устойчивость потока и исключать опасность возникновения сбойных течений. 5.1.5.15 Толщины плит водобоя и рисбермы следует определять расчетным путем, из условий обеспечения их прочности и устойчивости с учетом осредненных и пульсационных нагрузок. Длина и профиль рисбермы, конструкция переходного крепления от рисбермы к незакрепленному руслу должны определяться на основе технико-экономического сравнения вариантов с учетом гидравлических условий в начале незакрепленного русла. 5.1.5.16 Во избежание отрыва плит водобоя и рисбермы при пропуске больших сбросных расходов через плотину необходимо предусматривать мероприятия по уменьшению противодавления в подплитных областях и исключению суффозионных процессов в подстилающем грунте. 5.1.5.17 При проектировании крепления нижнего бьефа за водосбросной плотиной необходимо предусмотреть мероприятия, предотвращающие подмыв и разрушение на концевом участке, в частности при образовании воронки размыва. 5.1.5.18 При проектировании крепления за водосбросными плотинами, возводимыми на скальных и полускальных основаниях, наряду со схемой сопряжения бьефов с гидравлическим прыжком, надлежит рассматривать варианты отброса струи в нижний бьеф на безопасное расстояние. При этом необходимо использовать технические решения, уменьшающие гидродинамическое воздействие потока на сооружения и берега и усиливающие прочность контакта сопряжения со скальными породами основания. Крепление дна в ряде случаев может отсутствовать или быть ограничено водобоем. В узких створах необходимо исключить опасное воздействие потока на берега каньона. 5.1.5.19 При проектировании водосбросных сооружений следует разрабатывать правила маневрирования затворами с целью минимизации неблагоприятных воздействий сбрасываемых потоков на конструкции нижнего бьефа плотины и речные берега. Туннельные и трубчатые водосбросы 5.1.5.20 Водосбросные сооружения замкнутого поперечного сечения туннельные и трубчатые следует использовать в тех случаях, когда при принятой компоновке гидроузла и в связи с требованиями организации строительства необходимо обеспечить сброс воды сквозь тело напорного сооружения (трубчатые) или в обход его (туннельные). 5.1.5.21 При проектировании водоводов и сооружений на них следует выполнять гидравлические расчеты, а в необходимых случаях - лабораторные гидравлические исследования для определения: - пропускной способности и потерь напора по длине водовода, - уровней воды и их колебаний в безнапорных водоводах при неравномерном и неустановившемся движении воды, - осредненных и пульсационных составляющих давления при прогнозе гидродинамических нагрузок и возможности возникновения кавитации, - экстремальных значений давления воды по длине напорных водоводов в случае гидравлического удара. 5.1.5.22 Выбор трассы и типа гидротехнических туннелей, конструкции крепления и формы поперечного сечения туннелей следует выполнять на основе технико-экономического сравнения вариантов. 5.1.5.23 При проектировании туннелей в районах распространения многолетнемерзлых грунтов следует учитывать температурный режим массива, его криогенное строение и изменение свойств пород вмещающего массива в процессе строительства и эксплуатации. 5.1.5.24 Выбор типа и конструкции трубопровода следует производить на основе технико-экономического сопоставления вариантов с учетом его назначения, общей компоновки сооружений, условий монтажа и эксплуатации, напора, геомеханических характеристик грунтов основания. При низких показателях прочностных и деформационных свойств грунтов необходимо предусматривать специальные мероприятия по укреплению грунтов. 5.1.5.25 К железобетонным и сталежелезобетонным трубопроводам необходимо предъявлять требования по ограничению ширины раскрытия трещин, обеспечивающие долговечность конструкции по условиям коррозии арматуры и бетона, а также достаточную фильтрационную непроницаемость. Следует предусматривать защиту от коррозии металла. Каналы и бассейны суточного регулирования 5.1.5.26 Выбор трассы, параметров, типа деривационного, а также подводящего и отводящего каналов гидроэлектростанции должен быть обоснован сопоставлением вариантов с учетом пропускной способности, объемов работ, потерь воды и напора, требований охраны окружающей среды. 5.1.5.27 Для каналов следует предусматривать мероприятия по защите от подтопления и заболачивания территории вдоль трассы, а также от зарастания каналов водной растительностью. 5.1.5.28 Откосы канала следует предохранять от разрушения дождевыми и талыми водами. Заложение откосов каналов в любых грунтах должно быть обосновано расчетами устойчивости. Для защиты откосов и дна канала от размывов и механических повреждений следует предусматривать устройство креплений, а для уменьшения потерь на фильтрацию - противофильтрационных элементов. 5.1.5.29 Превышение гребня ограждающих дамб и бровки берм над наивысшим уровнем воды в канале следует принимать в соответствии с указаниями главы 5.1.2. Ширину гребня дамб и берм надлежит назначать исходя из требований эксплуатации и производства работ. При проектировании канала следует также учитывать условия его зимней эксплуатации. 5.1.5.30 Вдоль канала необходимо предусматривать прокладку служебных дорог, а также устройство ограждений в районах населенных пунктов и в местах прогона скота. 5.1.5.31 Бассейны суточного регулирования деривационных ГЭС надлежит предусматривать при отсутствии достаточных регулирующих емкостей в верхнем бьефе плотин и в деривационных водоводах. При проектировании бассейнов суточного регулирования ГЭС с пиковым режимом (в том числе - бассейнов ГАЭС) надлежит учитывать особенности уровенного режима, льдообразования и заиления наносами. При проектировании бассейнов ГАЭС также следует, помимо указанного, предусмотреть мероприятия, обеспечивающие гашение энергии воды, поступающей из напорных водоводов. 5.1.5.32 В составе сооружений напорного бассейна надлежит предусматривать сооружения автоматического действия, обеспечивающие пропуск всего расхода ГЭС, при ее остановке. Защита от плавающих тел, льда и наносов 5.1.5.33 Необходимо предусматривать компоновочные решения и конструктивные мероприятия по защите водоприемников, водоводов и каналов от попадания в них влекомых наносов, плавающих тел, топляков, льда и шуги. 5.1.5.34 На реках с большим количеством наносов в составе гидроузлов необходимо предусматривать наносоулавливающие сооружения и устройства - отстойники, песко- и гравиеулавливающие устройства. Выбор типа отстойника (с непрерывным и периодическим промывом либо с механической очисткой) следует обосновывать технико-экономическим сравнением вариантов с учетом строительных и эксплуатационных показаний. 5.1.5.34 Проектирование рыбозащитных и рыбоохранных устройств следует проводить с учетом требований приложения И. 5.1.6 Нормы и требования при проектировании береговых, сопрягающих и раздельных устоев и стен5.1.6.1 При проектировании речных гидроузлов места сопряжения бетонных сооружений (зданий ГЭС, водосбросных плотин и т.п.) с грунтовыми сооружениями (плотинами, дамбами) и с берегами, как правило, оформляются в виде сопрягающих и береговых устоев, конструктивно выполняемых в виде подпорных стен. 5.1.6.2 Раздельные устои, сооружаемые в местах непосредственного примыкания бетонных водопропускных сооружений разного назначения (здания ГЭС, водосбросные плотины и других водопропускных сооружений), должны обеспечивать приемлемые гидравлические режимы в бьефах при всех предусмотренных проектом сочетаниях условий работы этих сооружений. При проектировании водопропускных сооружений строительного периода следует оценивать целесообразность использования раздельных устоев в качестве элементов продольной перемычки, а также размещения в них трубчатых водосбросов для пропуска расходов реки через створ строящегося гидроузла после перекрытия русла. 5.1.6.3 Раздельные стены должны обеспечивать возможность разделения и регулирования с помощью затворов расхода, пропускаемого через водопропускные сооружения, создания благоприятных гидравлических режимов на водосбросном тракте. 5.1.6.4 При проектировании сопрягающих сооружений со зданиями ГЭС следует учитывать требования стандарта [4]. Основные положения проектирования 5.1.6.5 Проектирование раздельных устоев и стен должно выполняться в соответствии с требованиями приложения Г. 5.1.6.6 Размеры раздельных стен водосбросных сооружений следует назначать в зависимости от типа и конструкции затворов, размеров водосбросных отверстий, эксплуатационных и аварийных выходов из продольных галерей, размеров и конструкции мостовых пролетных строений. 5.1.6.7 Отметку верха раздельных стен водосливной плотины со стороны верхнего бьефа следует назначать с учетом отметки гребня глухой плотины, типа затворов, условий маневрирования ими, подъемных и транспортных механизмов, наличия мостового перехода и его габаритов по высоте. Отметку верха стен следует принимать наивысшей из определенных по каждому из перечисленных условий. 5.1.6.8 Очертание раздельных стен в плане со стороны верхнего бьефа должно обеспечивать плавный вход воды в водопропускное отверстие и минимальное сжатие потока. 5.1.6.9 Очертание в плане и высоту раздельных стен на тракте водосбросов и со стороны нижнего бьефа следует определять общими конструктивными требованиями с учетом прочностных и гидравлических условий, расположения мостовых конструкций и других сооружений, а также незатопления верха стен. 5.1.6.10 Лицевую грань сопрягающих, береговых и раздельных устоев в пределах водосброса следует конструировать аналогично граням раздельных стен. 5.1.6.11 При проектировании автомобильных или железнодорожных мостов по раздельным стенам и устоям водосбросов к ним следует предъявлять дополнительно требования как к мостовым опорам. Основные расчетные положения 5.1.6.12 Подпорные стены следует рассчитывать по методу предельных состояний - по первой и второй группам предельных состояний. 5.1.6.13 При расчетах подпорных стен следует учитывать совместную работу сооружения с основанием и грунтом засыпки. При этом боковое давление грунта засыпки надлежит определять с учетом прочностных свойств грунта, последовательности строительства сооружения и устройства засыпки, изменений уровня воды и температуры окружающей среды в процессе эксплуатации. 5.1.6.14 Подпорные стены и другие аналогичные сооружения, возводимые на скальных основаниях, кроме обычных расчетов на сдвиг, следует дополнительно рассчитывать на опрокидывание, а также на сдвиг с поворотом в плане. 5.1.7 Нормы и требования при проектировании гидротехнических сооружений в сейсмических районахОбщие положения 5.1.7.1 При проектировании гидротехнических сооружений, размещаемых в районах с нормативной сейсмичностью / норм, равной 6 баллам и более по сейсмической шкале MSK-64, следует выполнять дополнительные требования по обеспечению их безопасности. Указанные требования следует выполнять при проектировании, строительстве, вводе в эксплуатацию, эксплуатации, обследовании реального состояния, декларировании безопасности, реконструкции, восстановлении, консервации и ликвидации гидротехнических сооружений с соблюдением требований приложения Д. 5.1.7.2 При определении нормативной сейсмичности надлежит использовать следующие карты общего сейсмического районирования (ОСР-97 [5]): - карту С - для водоподпорных сооружений в составе напорного фронта водоподпорного сооружения I и II класса - при расчете этих сооружений на максимальное расчетное землетрясение (МРЗ); - карту А - для всех сооружений при расчете их на проектное землетрясение (ПЗ). 5.1.7.3 Гидротехнические сооружения должны воспринимать ПЗ без угрозы для жизни и здоровья людей и с сохранением собственной ремонтопригодности (для водоподпорных сооружений - при любом предусмотренном правилами эксплуатации уровне верхнего бьефа). Остаточные смещения, деформации, трещины и иные повреждения не должны нарушать нормальную эксплуатацию объекта. Водоподпорные сооружения I и II классов должны обладать способностью воспринимать МРЗ без угрозы собственного разрушения или прорыва напорного фронта. При этом допускаются любые иные повреждения сооружения и основания, в том числе - нарушающие нормальную эксплуатацию объекта. Определение нормативной, исходной и расчетной сейсмичности 5.1.7.4 Исходная сейсмичность Iисх площадки водоподпорного сооружения определяется для ПЗ и МРЗ методами детального сейсмического районирования (ДСР) или уточнения исходной сейсмичности (УИС). Сейсмотектоническая модель района расположения объекта должна включать карту и характеристики основных зон возможных очагов землетрясений (ВОЗ). Исходную сейсмичность остальных гидротехнических
сооружений для ПЗ допускается принимать равной значению В тех случаях, когда нормативная сейсмичность района на соответствующих картах ОСР-97 (п. 5.1.7.2) превышает 9 баллов, исходная сейсмичность площадки строительства независимо от вида и класса гидротехнического сооружения должна определяться на основе ДСР или УИС. 5.1.7.5 Расчетная сейсмичность Iрасч площадки водоподпорного сооружения I или II класса определяется для ПЗ и МРЗ инструментальными и расчетными методами сейсмического микрорайонирования (СМР). Расчетная сейсмичность остальных гидротехнических сооружений определяется для ПЗ методами СМР; при отсутствии соответствующих исследований значение Iрасч принимается с использованием результатов инженерно-геологических изысканий на площадке строительства. В тех случаях, когда расчетная сейсмичность площадки определяется методами СМР, дополнительно устанавливаются скоростные, частотные и резонансные характеристики грунта основания сооружения. 5.1.7.6 На предпроектных стадиях при выборе площадки гидротехнического сооружения исходную сейсмичность допускается определять по картам А и С ОСР-97 (для ПЗ и МРЗ соответственно), а расчетную сейсмичность - по [5]. 5.1.7.7 Строительство гидротехнических сооружений на площадках с расчетной сейсмичностью 9 баллов при наличии грунтов III категории по сейсмическим свойствам требует специального обоснования. Строительство гидротехнических сооружений на площадках с расчетной сейсмичностью более 9 баллов допускается только по согласованию с уполномоченными органами исполнительной власти в области надзора за строительством. Учет сейсмических воздействий и определение их характеристик 5.1.7.8 Сейсмические воздействия учитываются в тех случаях, когда значение Iрасч составляет 7 баллов и более. Сейсмические воздействия включаются в состав особых сочетаний нагрузок и воздействий. При проектировании гидротехнических сооружений в сейсмоопасных районах следует руководствоваться требованиями приложения Д. 5.1.7.9 Значение периода повторяемости
проектного землетрясения Значение периода повторяемости максимального расчетного
землетрясения 5.1.7.10 Для водоподпорных сооружений I или II класса должны быть установлены расположение и характеристики основных зон возможных очагов землетрясений (ВОЗ) сейсмического района, включая параметры сейсмических воздействий и направление подхода к сооружению сейсмических волн из расположенных в указанных зонах очагов землетрясений. На основе выполненных исследований для площадки
гидротехнического сооружения устанавливаются значения максимальных пиковых
ускорений основания при проектном землетрясении Расчетные сейсмические воздействия допускается моделировать расчетными акселерограммами (РА). 5.1.7.11 Для гидротехнических сооружений, не перечисленных в п. 5.1.7.10, характеристикой расчетного сейсмического воздействия служит значение сейсмического ускорения основания. Расчеты сооружений на сейсмические воздействия 5.1.7.12 Гидротехнические сооружения, в зависимости от вида и класса сооружения и уровня расчетного землетрясения (ПЗ или МРЗ), следует рассчитывать на сейсмические воздействия методами динамической теории (ДТ) или линейно-спектральной теории (ЛСТ). Общая схема использования различных методов расчета сооружений на сейсмические воздействия приведена в таблице 5.5. Таблица 5.5 Схема использования методов расчета гидротехнических сооружений на сейсмические воздействия
5.1.7.13 В расчетах сейсмостойкости гидротехнических сооружений с использованием динамической теории (ДТ) сейсмическое ускорение основания задается расчетной акселерограммой землетрясения (РА). В качестве исходного сейсмического воздействия могут задаваться также велосиграммы либо сейсмограммы. Гидротехнические сооружения рассчитываются по ДТ на ПЗ, как правило, с применением линейного временного динамического анализа, а на МРЗ - нелинейного или линейного временного динамического анализа. 5.1.7.14 В расчетах сооружений на ПЗ по ЛСТ материалы сооружения и основания считаются линейно-упругими; в поведении системы «сооружение-основание» отсутствует геометрическая, конструктивная или физическая нелинейность. Плотность материалов сооружений и грунтов оснований следует определять согласно указаниям ГОСТ 12536-79, ГОСТ 30416-96, ГОСТ 5180-84, а также норм проектирования конкретных видов сооружений. При этом плотность материалов и грунтов устанавливается с учетом степени их водонасыщения. Динамические деформационные и прочностные характеристики материалов сооружений и грунтов оснований при расчете сейсмостойкости гидротехнических сооружений следует определять экспериментально, в том числе - с использованием геофизических методов. При отсутствии экспериментальных данных эти характеристики допускается определять по корреляционным связям со статическими характеристиками. 5.1.7.15 При наличии в основании, боковой засыпке или теле гидротехнического сооружения водонасыщенных несвязных или слабосвязных грунтов следует выполнять исследования для оценки области и степени возможного разжижения этих грунтов при сейсмических воздействиях. При этом следует учитывать также влияние возможных при сейсмических воздействиях других видов локальных разуплотнений и разрушений грунта (например, при наличии в указанных элементах сооружения глинистых тиксотропных грунтов - возможность текучести этих грунтов). 5.1.7.16 При расчетах гидротехнических сооружений на ПЗ оценка их прочности и устойчивости выполняется по критериям, принятым в нормах проектирования конкретных видов сооружений. Эти критерии должны соответствовать требованиям, предъявляемым к сооружениям при расчете их на ПЗ. Для оценки прочности и устойчивости сооружений при расчете на МРЗ должны использоваться специально разработанные критерии, обеспечивающие выполнение требований п. 5.1.7.3 и принятые проектной организацией. 5.1.7.17 Для определения напряженно-деформированного состояния гидротехнического сооружения при сейсмических воздействиях следует применять расчетные схемы, как правило, соответствующие расчету сооружения на нагрузки и воздействия основного сочетания. При этом следует учитывать направление сейсмического воздействия относительно сооружения и пространственный характер колебаний сооружения при землетрясении. 5.1.7.18 В расчетах прочности гидротехнических сооружений с учетом сейсмических воздействий в случае контакта боковых граней сооружения с грунтом (в том числе - наносами) следует учитывать влияние сейсмических воздействий на боковое давления грунта. 5.1.7.19 Проверка устойчивости гидротехнических сооружений и их оснований с учетом сейсмических нагрузок должна производиться в соответствии с указаниями приложения Д. В тех случаях, когда по расчетной схеме при потере устойчивости сооружение сдвигается совместно с частью грунтового массива, в расчетах устойчивости сооружений и их оснований следует учитывать сейсмические силы в сдвигаемой части расчетной области основания. Применение иных схем учета грунтовых сейсмических сил требует соответствующего обоснования. При расчете устойчивости откосов сооружений из грунтовых материалов и склонов с использованием ЛСТ сейсмические силы, действующие на сдвигаемую часть откосов и склонов, допускается определять инженерными методами (с учетом примененных методов проверки устойчивости). 5.1.7.20 В тех случаях, когда прогнозируется отложение у верховой грани сооружения наносов, следует учитывать влияние этих наносов в расчетах прочности и устойчивости сооружения при сейсмических воздействиях. 5.1.7.21 В створе сооружения, в зоне водохранилища и нижнем бьефе подлежат проверке на устойчивость участки береговых склонов, потенциально опасные в отношении возможности обрушения при землетрясениях больших масс горных пород и отдельных скальных массивов, результатом чего могут быть повреждения основных сооружений гидроузла, образование волн перелива и затопление населенных пунктов или промышленных предприятий, разного рода нарушения нормальной эксплуатации гидротехнического сооружения. 5.1.7.22 В расчетах устойчивости гидротехнических сооружений, их оснований и береговых склонов следует учитывать возникающие под влиянием сейсмических воздействий дополнительное (динамическое) поровое давление, а также изменения деформационных, прочностных и других характеристик грунта. 5.1.7.23 Подземные сооружения I и II классов на сейсмические воздействия на уровнях ПЗ и МРЗ рассчитываются по ДТ. В этих случаях напряженно-деформированное состояние сооружения определяется из единого динамического расчета системы, включающей вмещающую подземное сооружение грунтовую среду и само сооружение. В расчетах подземных сооружений типа гидротехнических туннелей, как по ДТ, так и по ЛСТ, следует учитывать сейсмическое давление воды. 5.1.7.24 В расчетах гидротехнических сооружений на сейсмические воздействия при определении периодов собственных колебаний и сейсмических нагрузок следует учитывать инерционное влияние колеблющейся совместно с сооружением части жидкости. Сейсмическое давление воды на сооружение допускается не учитывать, если глубина водоема у сооружения менее 10 м. Мероприятия по повышению сейсмостойкости гидротехнических сооружений 5.1.7.25 При необходимости размещения сооружений на участке тектонического разлома основные сооружения гидроузла (плотины, здания ГЭС, водосбросы) следует размещать на едином структурно-тектоническом блоке, в пределах которого исключена возможность взаимных подвижек частей сооружения. При невозможности исключения взаимных подвижек частей сооружения в проекте должны быть разработаны специальные конструктивные мероприятия, позволяющие воспринять дифференцированные подвижки без ущерба для безопасности сооружения. 5.1.7.26 Строительство водоподпорных и других сооружений, входящих в состав напорного фронта, на оползнеопасных участках допускается только при осуществлении мероприятий, исключающих образование оползневых деформаций в основании сооружения и береговых склонах в створе сооружения. 5.1.7.27 При возможности нарушения устойчивости сооружения, а также развития чрезмерных деформаций в теле сооружения и в основании вследствие разжижения и других деструктивных изменений состояния грунтов в основании или теле сооружения под влиянием сейсмических воздействий следует предусматривать искусственное уплотнение или укрепление этих грунтов. 5.1.7.28 Для каменно-земляных плотин в сейсмических районах с верховой стороны ядер и экранов следует предусматривать устройство фильтров (переходных слоев), при этом подбор состава первого слоя фильтра должен обеспечивать кольматацию (самозалечивание) трещин, которые могут образоваться в противофильтрационном элементе при землетрясении. 5.1.7.29 Верховые водонасыщенные призмы плотин из грунтовых материалов следует проектировать из крупнозернистых грунтов с повышенными коэффициентами неоднородности и фильтрации (каменная наброска, гравелистые, галечниковые грунты и др.). 5.1.7.30 С целью повышения устойчивости при сейсмических воздействиях верховой упорной призмы плотин из грунтовых материалов с ядрами или диафрагмами надлежит разрабатывать мероприятия, обеспечивающие снижение избыточного порового давления в грунтах. Геодинамический мониторинг гидротехнических сооружений в процессе эксплуатации 5.1.7.31 В проектах водоподпорных сооружений I и II классов при расчетной сейсмичности площадки строительства для ПЗ 7 баллов и выше, а также при возможности опасных проявлений других геодинамических процессов (современных тектонических движений, оползней, резких изменений напряженно-деформированного состояния или гидрогеологического режима верхних частей вмещающей геологической среды и др.), следует предусматривать создание комплексной системы геодинамического мониторинга, включающей: - сейсмологический мониторинг за естественными и техногенными землетрясениями на участке плотины и в зоне водохранилища; - инженерно-сейсмометрический мониторинг на сооружениях и береговых примыканиях; - геофизический мониторинг физико-механических свойств и напряженно-деформированного состояния сооружения и основания, а также района расположения гидроузла; - геодезический мониторинг деформационных процессов, происходящих в сооружении и основании, а также земной поверхности в районе водохранилища; - тестовые динамические испытания сооружения; - проведение поверочных расчетов сейсмостойкости и оценка сейсмического риска в случае изменения сейсмических условий площадки строительства, свойств основания и сооружения во время эксплуатации; - систему мероприятий, осуществленных персоналом действующего гидротехнического сооружения по снижению негативного влияния опасных геодинамических процессов и явлений. Конкретные составы и методы наблюдений и исследований должны разрабатываться по заданию федеральных органов надзора специализированной проектной или исследовательской организацией и охватывать период от начала строительства до конца эксплуатации гидротехнического сооружения. 5.1.7.33 Сейсмологический мониторинг проводится для оперативного слежения за сейсмическим режимом и его изменением во времени. Специальной задачей исследований является выявление взаимосвязи сейсмичности района с режимом эксплуатации водохранилища. Проект сейсмологического мониторинга разрабатывается с учетом расположения основных сейсмогенерирующих зон, величин максимально возможных магнитуд ожидаемых землетрясений, а также возможных изменений сейсмического фона за весь период наблюдений. 5.1.7.34 Инженерно-сейсмометрический мониторинг должен обеспечивать оперативную информацию о реакции сооружения на сейсмические воздействия. Схема размещения сейсмометрических пунктов наблюдений разрабатывается на основе результатов динамических расчетов сооружения, а также опыта натурных и модельных исследований. 5.1.7.35 Геофизический мониторинг проводится для контроля за изменением во времени физико-механических свойств и напряженно- деформированного состояния плотины и основания на различных масштабных уровнях. Геофизический мониторинг выполняется по специальной программе, предусматривающей проведение регулярных, с установленной проектом периодичностью, повторных сейсмических, ультразвуковых и других исследований. Программа геофизического мониторинга составляется на стадии проектирования гидротехнического сооружения. 5.1.7.36 На водоподпорных сооружениях, при сдаче их в эксплуатацию, а затем через каждые 5 лет, следует проводить силами специализированных организаций тестовые испытания по определению динамических характеристик этих сооружений (динамическое тестирование) с составлением динамических паспортов. В процессе динамического тестирования должны быть определены собственные частоты и формы колебаний, затухание по формам, амплитудно-частотные характеристики динамической податливости. Динамические характеристики сооружения устанавливаются при нормальном подпорном уровне и при уровне мертвого объема воды в водохранилище. 5.1.7.37 Все текущие данные геодинамического мониторинга должны поступать в специальный банк данных для совместной обработки и интерпретации. Данные об изменении геодинамической обстановки должны поступать и анализироваться в режиме, близком к реальному масштабу времени. 5.1.7.38 Все гидротехнические сооружения независимо от их назначения, класса, конструкции и материала изготовления должны подвергаться обследованию после каждого сейсмического воздействия интенсивностью 5 баллов и выше. При этом должны быть оперативно проанализированы показания всех видов КИА, установленной в сооружении, а также проведен осмотр сооружения. На основании установленных фактов проводится экспертная и расчетная оценка прочности, устойчивости и эксплуатационных качеств сооружения. 5.2 Правила производства работ при возведении гидротехнических сооруженийПравила производства работ 5.2.1 Обязательным условием создания безопасных, надежных и долговечных гидротехнических сооружений является производство работ при их возведении по определенным правилам. 5.2.2 При строительстве бетонных, железобетонных и сталежелезобетонных сооружений должны соблюдаться правила производства бетонных работ при возведении гидротехнических сооружений, приведенные в приложении Е. При этом для строительства гидротехнических сооружений I и II классов на основе этих правил, как правило, должны быть разработаны специальные местные технологические правила производства работ, учитывающие конкретные особенности и условия данного строительства. Местные технологические правила должны являться составной частью проекта и согласовываться Заказчиком, Проектировщиком и Подрядчиком. 5.2.3 Для строительства грунтовых гидротехнических сооружений I-III классов, из-за разнообразия их конструктивных решений, применяемых грунтов, условий и методов их возведения, в составе их проектов должны быть разработаны технологические правила производства работ, учитывающие конкретные особенности и условия данного строительства. Технологические правила также должны являться составной частью проекта и согласовываться с Заказчиком, генпроектировщиком и генподрядчиком. 5.2.4 Реконструкции (или ремонты) гидротехнических сооружений должны выполняться по проектам, разработанным на основе действующих нормативных документов, и включать специальные технологические правила выполнения таких работ для конкретного объекта. 5.2.5 Строительство гидротехнических сооружений должно осуществляться специализированными подрядными строительными и монтажными организациями, располагающими необходимым опытом и специальным строительно-монтажным оборудованием. 5.2.6 При реконструкции, ремонте или расширении действующих гидротехнических сооружений строительные работы должны выполняться методами, обеспечивающими сохранность существующих сооружений и подземных коммуникаций, находящихся в зоне строительства и не подлежащих сносу. Технические требования к материалам для строительства гидротехнических сооружений 5.2.7 При создании гидротехнических сооружений должны применяться строительные материалы, качество которых отвечает требованиям ГОСТ, перечисленным в п. 5.1.3.8 Стандарта. 6 Приемка гидротехнических сооружений в эксплуатацию6.1 Законченные строительством гидроэлектростанции или их пусковые комплексы должны быть введены в эксплуатацию в порядке, установленном Федеральным Законом РФ «Градостроительный кодекс Российской Федерации» от 29.12.2004 № 190-ФЗ и действующими нормативными документами. Это требование распространяется также на ввод в эксплуатацию гидроэлектростанций после расширения и реконструкции. Для ввода объекта в эксплуатацию застройщик обращается в федеральный орган исполнительной власти, орган исполнительной власти субъекта Российской Федерации или орган местного самоуправления, выдавшие разрешение на строительство, с заявлением о выдаче разрешения на ввод объекта в эксплуатацию (ГСК РФ, ст. 55, ч.2). 6.2 Для приемки законченной строительством гидроэлектростанции (пускового комплекса ГЭС, объекта реконструкции, расширения) инвестор (застройщик) создает приемочную комиссию, основной задачей которой является проверка соответствия сдаваемого объекта требованиям технических регламентов, применяемых стандартов, проектной документации, техническим условиям. Заказчик и подрядчик предъявляют приемочной комиссии сдаваемый объект и всю необходимую документацию. Приемочная комиссия на основании предъявленных материалов и освидетельствования объекта принимает решение о соответствии этого объекта установленным требованиям и о возможности его эксплуатации. Приемочная комиссия составляет акт приемки, который должен быть утвержден лицом (органом), назначившим комиссию. Акт приемочной комиссии является документом, подтверждающим соответствие построенного, реконструированного, отремонтированного объекта требованиям технических регламентов, проектной документации и техническим условиям, и предъявляется застройщиком органу, выдавшему разрешение на строительство, для получения от него разрешения на ввод объекта в эксплуатацию. 6.3 Приемочная комиссия назначается инвестором (застройщиком) не позднее, чем за 6 месяцев до установленного срока сдачи в эксплуатацию пускового комплекса ГЭС и не позднее, чем за месяц до затопления котлована ГЭС или начала наполнения водохранилища. 6.4 В обязательный состав приемочной комиссии включаются представители инвестора (застройщика, заказчика), органов исполнительной власти или самоуправления, подрядчиков, проектной организации, эксплуатирующей организации, федеральных (региональных, муниципальных) органов, специально уполномоченных в области безопасности гидротехнических сооружений, промышленной безопасности, охраны окружающей среды, пожарной безопасности, охраны труда, землепользования, водопользования и использования водных ресурсов и других органов государственного надзора, которым подконтролен сдаваемый объект. Председателем приемочной комиссии назначается представитель инвестора (застройщика), назначившего комиссию. Инвестор вправе включить в состав приемочной комиссии представителей других заинтересованных организаций с правом совещательного голоса. 6.5 При приемке гидротехнических сооружений приемочная комиссия должна установить соответствие принимаемых в эксплуатацию сооружений: - Федеральному закону № 117-ФЗ «О безопасности гидротехнических сооружений» от 21 июля 1997 г.; - Федеральному Закону РФ «Градостроительный кодекс Российской Федерации» от 29.12.2004 № 190-ФЗ; - проекту, прошедшему государственную экспертизу; - стандартам; - строительным нормам и правилам, оговоренным в подрядных договорах между Заказчиком и проектными организациями, между Заказчиком и подрядными строительно-монтажными организациями; - техническим условиям на выполнение отдельных видов работ (бетонных, грунтовых, укрепительных и др.); - требованиям органов государственного надзора по безопасности гидротехнических сооружений, промышленной безопасности, охраны труда и пожарной безопасности; - условиям и критериям безопасности, изложенным в декларации безопасности гидротехнических сооружений в составе технического проекта. 6.6 Перед приемкой в эксплуатацию гидротехнические сооружения должны быть проверены в соответствии с программой постановки под напор, разработанной проектной организацией, согласованной с техническим руководителем ГЭС и утвержденной Заказчиком. Проверка отдельных узлов и элементов гидротехнических сооружений должна проводиться в период их возведения, ремонта или реконструкции с составлением актов на скрытые работы. 6.7 До предъявления законченных строительством гидротехнических сооружений приемочным комиссиям, рабочие комиссии, назначаемые Заказчиком, должны проверить: - соответствие гидротехнических сооружений и смонтированного на них оборудования и аппаратуры проектам; - соответствие выполнения строительно-монтажных работ требованиям строительных норм и правил; - результаты испытаний оборудования и сооружений; - подготовленность объектов к эксплуатации, включая выполнение мероприятий по обеспечению на них условий труда в соответствии с требованиями техники безопасности и производственной санитарии, защите природной среды, и только после этого дать свое заключение о готовности гидротехнических сооружений к приемке в эксплуатацию. Порядок и продолжительность работы рабочих комиссий определяется Заказчиком по согласованию с Генеральным подрядчиком. 6.8 В состав рабочих комиссий включаются представители заказчика (председатель комиссии), генерального подрядчика, субподрядных организаций, эксплуатационной организации, генерального проектировщика, органов государственного санитарного надзора, органов государственного пожарного надзора и органов государственного надзора за безопасностью гидротехнических сооружений. 6.9 Генеральный подрядчик представляет рабочим комиссиям следующую документацию: - перечень организаций, участвовавших в производстве строительно-монтажных работ, с указанием видов выполненных ими работ и фамилий инженерно-технических работников, непосредственно ответственных за выполнение этих работ; - комплект рабочих чертежей на строительство предъявляемого к приемке объекта, разработанных проектными организациями, с надписями о соответствии выполненных в натуре работ этим чертежам или внесенным в них изменениям, сделанными лицами, ответственными за производство строительно-монтажных работ. Указанный комплект рабочих чертежей является исполнительной документацией; - сертификаты, технические паспорта или другие документы, удостоверяющие качество материалов, конструкций и деталей, примененных при производстве строительно-монтажных работ; - акты об освидетельствовании скрытых работ и акты о промежуточной приемке отдельных ответственных конструкций (опор и пролетных строений мостов, арок, сводов, подпорных стен, несущих металлических и сборных железобетонных конструкций); - акты об индивидуальных испытаниях смонтированного оборудования; акты об испытаниях технологических трубопроводов, внутренних систем холодного и горячего водоснабжения, канализации, газоснабжения, отопления и вентиляции, наружных сетей водоснабжения, канализации, теплоснабжения, газоснабжения и дренажных устройств; акты о выполнении уплотнения (герметизации) вводов и выпусков инженерных коммуникаций в местах прохода их через подземную часть наружных стен зданий в соответствии с проектом (рабочим проектом); - акты об испытаниях внутренних и наружных электроустановок и электросетей; - акты об испытаниях устройств телефонизации, радиофикации, телевидения, сигнализации и автоматизации; - акты об испытаниях устройств, обеспечивающих взрывобезопасность, пожаробезопасность и молниезащиту; - акты об испытаниях прочности сцепления в кладке несущих стен каменных зданий, расположенных в сейсмических районах; - журналы производства работ и авторского надзора проектных организаций, материалы обследований и проверок в процессе строительства органами государственного и другого надзора. 6.10 Дефекты и несоответствия параметров гидротехнических сооружений проектной документации, выявленные в ходе строительства, а также при постановке гидротехнических сооружений под напор, должны быть устранены исполнителями строительно-монтажных работ до приемки сооружений в эксплуатацию. Приемка в эксплуатацию гидротехнических сооружений с дефектами не допускается. 6.11 Комиссия (подкомиссия) по приемке гидротехнических сооружений в эксплуатацию должна оценить качество выполненных строительно-монтажных работ, надежность и безопасность созданных гидротехнических сооружений, а также полноту технической документации, подготовленной и исправленной в процессе строительства (ремонта, реконструкции ГТС). 6.12 Заказчик (застройщик) должен представить Приемочной комиссии документацию, подготовленную рабочей комиссией и подтверждающую соответствие выполненных работ, материалов, конструкций, технологического оборудования и инженерных систем утвержденному проекту и требованиям нормативных документов, включая исполнительные схемы, результаты лабораторных испытаний и акты на скрытые работы. 6.13 Приемочная комиссия обязана принять решение о сроках затопления котлована ГЭС и перекрытия русла реки на основании проверки актов рабочих комиссий о готовности сооружений, технических систем и оборудования. 6.14 Акт о готовности к вводу объекта в эксплуатацию должен быть подписан всеми членами Приемочной комиссии, каждый из которых несет ответственность за принятые комиссией решения в пределах своей компетенции. Акт приемки утверждается органом, назначившим приемочную комиссию. Приемочная комиссия слагает свои полномочия после утверждения акта приемочной комиссии либо в установленный срок окончания работы комиссии, если приемка объекта не состоялась. 6.15 В случае отказа отдельных членов приемочной комиссии от подписи в акте они должны представить председателю комиссии обоснование и заключения соответствующих органов, представителями которых они являются, с изложением замечаний по вопросам, входящим в их компетенцию. Указанные замечания должны быть сняты с участием органов, выдавших заключения. Объекты, по которым такие замечания не сняты в установленный для работы комиссии срок, должны быть признаны комиссией не подготовленными к вводу в эксплуатацию. 6.16 Дефекты и недоделки, допущенные в ходе строительства и монтажа и выявленные в процессе испытаний и пробных пусков, должны быть устранены строительными, монтажными организациями и организациями-изготовителями. 6.17 При сдаче гидротехнических сооружений в эксплуатацию эксплуатирующей организации должны быть переданы: - контрольно-измерительная аппаратура (КИА) и все данные наблюдений по ней в строительный период - подрядной строительной организацией; - данные анализа результатов натурных наблюдений, инструкции по организации наблюдений, методы обработки и анализа натурных данных с указанием предельно допустимых по условиям устойчивости и прочности сооружений показаний КИА - проектной организацией. Библиография[1] СНиП II-02-97. Инженерные геологические изыскания в строительстве [2] Здания и сооружения объектов энергетики. Методика оценки технического состояния (Стандарт организации ОАО РАО «ЕЭС России») [3] СП 33-101-2003. Определение основных расчетных гидрологических характеристик [4] Здания ГЭС и ГАЭС. Условия создания. Нормы и требования (Стандарт организации ОАО РАО «ЕЭС России») [5] СНиП II-7-81*. Строительство в сейсмических районах [6] Гидроэлектростанции. Условия создания. Нормы и требования (Стандарт организации ОАО РАО «ЕЭС России») [7] Механическое оборудование гидротехнических сооружений ГЭС. Условия создания. Типовые нормы и требования (Стандарт организации ОАО РАО «ЕЭС России») [8] Гидротехнические сооружения ГЭС и ГАЭС. Организация эксплуатации и технического обслуживания. Нормы и требования. (Стандарт организации ОАО РАО «ЕЭС России») [9] Контрольно-измерительные системы и аппаратура гидротехнических сооружений ГЭС. Условия создания. Нормы и требования (Стандарт организации ОАО РАО «ЕЭС России») [10] Контрольно-измерительные системы и аппаратура гидротехнических сооружений ГЭС. Организация эксплуатации и технического обслуживания. Нормы и требования Ключевые слова: Гидроэлектростанция (ГЭС), гидроаккумулирующая электростанция (ГАЭС), гидротехнические сооружения (ГТС), эксплуатация, техническое обслуживание, стандарт организации (СТО), плотина бетонная, плотина из грунтовых материалов, деривация, водопропускные и водопроводящие сооружения. Руководитель организации-разработчика НП «Гидроэнергетика России» Исполнительный директор _______________________________________P.M. Хазиахметов Руководитель разработки главный эксперт, к.т.н. __________________________________________B.C. Серков Соисполнитель ОАО «ВНИИГ им. Б.Е. Веденеева» Исполнительный директор _______________________________________Е.Н. Беллендир Руководитель разработки Директор Экспертного центра, к.т.н _______________________________А.Г. Василевский Исполнители Главный научный сотрудник, д.т.н., проф. ____________________________________________________А.Л. Гольдин Главный научный сотрудник, д.т.н _________________________________В.Б. Судаков ГИДРОТЕХНИЧЕСКИЕ
СООРУЖЕНИЯ ГЭС И ГАЭС. ПРИЛОЖЕНИЯ
А, Б Приложение А
|
|||||||||||||||||||||||||||||||||||||||||||||||||||||||||||||||||||||||||||||||||||||||||||||||||||||||||||||||||||||||||||||||||||||||||||||||||||||||||||||||||||||||||||||||||||||||||||||||||||||||||||||||||||||||||||||||||||||||||||||||||||||||||||||||||||||||||||||||||||||||||||||||||||||||||||||||||||||||||||||||||||||||||||||||||||||||||||||||||||||||||||||||||||||||||||||||||||||||||||||||||||||||||||||||||||||||||||||||||||||||||||||||||||||||||||||||||||||||||||||||||||||||||||||||||||||||||||||||||||||||||||||||||||||||||||||||||||||||||||||||||||||||||||||||||||||||||||||||||||||||||||||||||||||||||||||||||||||||||||||||||||||||||||||||||||||||||||||||||||||||||||||||||||||||||||||||||||||||||||||||||||||||||||||||||||||||||||||||||||||||||||||||||||||||||||||||||||||||||||||||||||||||||||||||||||||||||||||||||||||||||||||||||||||||||||||||||||||||||||||||||||||||||||||||||||||||||||||||||||||||||||||||||||||||||||||||||||||||||||||||||||||||||||||||||||||||||||||||||||||||
|
№ п/п |
Класс гидротехнических сооружений |
Вероятность |
|
|
отказа [Q], 1/год |
повреждения [Q'], 1/год |
||
|
1 |
Все сооружения I класса и сооружения II класса, входящие в состав напорного фронта |
1·10-5 |
1·10-4 |
|
2 |
Сооружения II класса, не входящие в состав напорного фронта, и III класса в составе напорного фронта |
1·10-4 |
5·10-4 |
|
3 |
Остальные сооружения III класса |
5·10-4 |
1·10-3 |
|
4 |
Сооружения IV класса |
1·10-3 |
5·10-3 |
4.8 В проектах оснований сооружений должна быть предусмотрена программа мониторинга, обеспечивающая на основании натурных наблюдений оценку состояния системы сооружение - основание, а также оценку техноприродных процессов, в том числе влияющих на экологическую обстановку, оценку действенности принятых проектом природоохранных мероприятий, проверку, уточнение, корректировку оценок и прогнозов, начиная со строительного периода и на весь срок службы сооружения. В программе мониторинга должно быть уделено повышенное внимание этапам строительства, вводу в эксплуатацию и эксплуатации до стадии стабилизации процессов взаимодействия ГТС с природным комплексом. При необходимости программа должна уточняться на каждом этапе с учетом изменения реальных условий.
4.9 Состав и объем натурных наблюдений должны назначаться в зависимости от класса сооружений, их конструктивных особенностей и новизны проектных решений, геологических, гидрогеологических, геокриологических, сейсмических условий, способа возведения и требований эксплуатации. Наблюдениями, как правило, следует определять:
- осадки, крены и горизонтальные смещения сооружения и его основания;
- температуру грунта в основании и грунтовом сооружении;
- пьезометрические напоры воды в основании и грунтовом сооружении;
- расход воды, фильтрующейся через основание сооружения;
- химический состав, температуру и мутность профильтровавшейся воды в дренажах, а также в коллекторах;
- эффективность работы дренажных и противофильтрационных устройств;
- напряжения и деформации в основании сооружения;
- поровое давление в основании сооружения;
-сейсмические воздействия на основание.
Определение указанных показателей производится с использованием результатов инструментальных измерений. В дополнение к инструментальным наблюдениям следует предусматривать и визуальные для оперативного выявления внешних проявлений развития неблагоприятных процессов в основании и грунтовых сооружениях.
4.10 При проектировании оснований сооружений I - III классов необходимо предусматривать установку контрольно-измерительной аппаратуры (КИА) для проведения натурных наблюдений за состоянием сооружений и их оснований в процессе строительства и в период их эксплуатации как для оперативной оценки надежности отдельных элементов, так и системы сооружение - основание в целом, своевременного выявления дефектов и повреждений в системе, предотвращения аварий, улучшения условий эксплуатации, а также для оценки правильности принятых методов расчета, их совершенствования. Для сооружения IV класса и их оснований, как правило, следует предусматривать геодезические и визуальные наблюдения.
Состав и объем установки в сооружение и его основание контрольно-измерительной аппаратуры (КИА) должен определяться проектом натурных наблюдений и исследований, который составляется проектной организацией на всех стадиях проектирования и является неотъемлемой частью проекта сооружения.
Примечания
1 Установка КИА на сооружениях IV класса и их основаниях допускается при обосновании в сложных инженерно-геологических условиях и при использовании новых конструкций сооружений.
2 Для сооружений IV класса инструментальные наблюдения допускается ограничить наблюдениями за фильтрацией в основании, осадками и смещениями сооружения и его основания.
4.11 При проектировании оснований гидротехнических сооружений должны быть предусмотрены инженерные мероприятия по охране окружающей среды, в том числе по защите прилегающих территорий от затопления и подтопления, от загрязнения подземных вод промышленными стоками, а также по предотвращению оползней береговых склонов и других процессов, способных вызвать негативные явления в береговых примыканиях ГТС и в водохранилище (непроектную волну, переполнение выше ФПУ и т.п.), а также повреждение основных сооружений напорного фронта.
4.12 Экологическое обоснование проекта обустройства основания гидротехнических сооружений должно включать разработку комплекса природоохранных мероприятий при строительстве и эксплуатации сооружений, предусматривающих непревышение допустимого уровня антропогенного вмешательства в природную среду и гарантирующих сохранность природной среды и предотвращение в ней негативных деструктивных процессов. Следует также рассматривать мероприятия, ведущие к улучшению экологической обстановки по сравнению с естественной природной (создание зон рекреации, рекультивации земель и вовлечение их в хозяйственную деятельность человека и т.д.). При этом должны рассматриваться не только район расположения основных сооружений, но и область влияния водохранилища и нижнего бьефа ГТС как в строительный, так и в эксплуатационный периоды. Особое внимание этим вопросам должно быть уделено при возведении сооружений, образовании водохранилищ и т.п. в условиях карстующихся и многолетнемерзлых грунтов.
При проектировании оснований ГТС следует руководствоваться законодательными актами и нормативными документами, устанавливающими требования к охране природной среды при инженерной деятельности.
4.13 Материалы, используемые при строительстве (привозные или местные - грунтовые, льдокомпозитные), химические добавки и реагенты должны проходить санитарную и экологическую экспертизу как самих материалов, так и результатов их воздействия на человека и природную среду.
5.1 Номенклатуру грунтов оснований гидротехнических сооружений и их физико-механические характеристики следует устанавливать согласно требованиям ГОСТ 25100-95 «Грунты. Классификация» и с учетом указаний настоящего раздела.
Значения физико-механических характеристик грунтов, приведенные в ГОСТ 25100-95 «Грунты. Классификация», в таблице А.2 и в рекомендуемом справочном приложении А.1 следует рассматривать как классификационные.
Таблица А.2
|
Классификационная характеристика грунтов |
Физико-механические характеристики грунтов |
|||
|
Плотность сухого грунта (в массиве) ρd. т/м3 |
Коэффициент пористости (в массиве) е |
Сопротивление одноосному растяжению породных блоков в водонасыщенном состоянии |Rt|, МПа |
Модуль деформации грунта (в массиве) Е,·103МПа |
|
|
А скальные |
|
|
|
|
скальные [при пределе прочности на одноосное сжатие отдельности Rc>5 MПa (50 кгс/см2)]: |
2,5 - 3,1 |
< 0,01 |
≥ 1,0 |
> 5,0 |
|
магматические (граниты, диориты, порфириты и др.); |
|
|
|
|
|
метаморфические (гнейсы, кварциты, кристаллические сланцы, мраморы и др.); |
|
|
|
|
|
осадочные (известняки, доломиты, песчаники и др.) |
|
|
|
|
|
полу скальные [при Rc<5 МПа (50 кгс/см2)]: |
2,2 - 2,65 |
< 0,02 |
< 1,0 |
0,1 - 5,0 |
|
осадочные (глинистые, сланцы, аргиллиты, алевролиты, песчаники, конгломераты, мелы, мергели туфы, гипсы и др.) |
|
|
|
|
Б нескальные |
|
|
|
|
|
крупнообломочные (валунные, галечниковые, гравийные); песчаные |
1,4 - 2,1 |
2,25 - 1,00 |
- |
0,005 - 0,10 |
|
пылевато-глинистые (супеси, суглинки и глины) |
1,1 - 2,1 |
0,35 - 4,00 |
- |
0,003 - 0,10 |
|
Примечание - ВА приведена классификация массивов скальных грунтов: по степени трещиноватости, водопроницаемости, деформируемости, выветрелости, по нарушению сплошности (разломы и трещины) по степени однородности, а также по степени льдистости скальных и нескальных грунтов и по степени цементации их льдом. |
||||
5.2 Для проектирования оснований гидротехнических сооружений в необходимых случаях надлежит определять дополнительно к предусмотренным ГОСТ 25100-95 «Грунты. Классификация» следующие физико-механические характеристики грунтов:
- коэффициент фильтрации k;
- удельное водопоглощение q;
- показатели фильтрационной прочности грунтов (местный и осредненный критические градиенты напора Icr, Icr,m и критические скорости фильтрации Vcr);
- коэффициент упругой водоотдачи грунта μ1;
- коэффициент гравитационной водоотдачи грунта μ;
- коэффициент порового давления Ku;
- коэффициент консолидации cv;
- содержание водорастворимых солей;
- параметры затухающей ползучести (например, δ и δ');
- параметры трещин (модуль трещиноватости Mj, углы падения αj,d и простирания αj,l, длину lj, ширину раскрытия bj);
- параметры заполнителя трещин (степень заполнения, состав, характеристики свойств);
- скорости распространения продольных vl и поперечных vs волн в массиве;
- коэффициент морозного пучения Kh;
-удельную нормальную и касательную силы пучения σh и τh;
- сопротивление недренированному сдвигу su;
- динамическое сопротивление недренированному сдвигу sdu;
- динамический модуль сдвига Gd;
- динамический модуль объемного сжатия Kd;
- динамический коэффициент затухания (демпфирования) Dd;
- предел прочности отдельности элементарного породного блока скального грунта на одноосное сжатие Rc;
- предел прочности отдельности скального грунта на одноосное растяжение Re;
- предел прочности массива скального грунта на растяжение Rt,m и сжатие Rc,m;
- липкость (предел адгезионной прочности глинистых грунтов) L;
- теплопроводность талого грунта λth;
- теплопроводность мерзлого грунта λf;
- объемная теплоемкость талого грунта cth;
- объемная теплоемкость мерзлого грунта cf;
- коэффициент сжимаемости мерзлого грунта δf;
- коэффициент сжимаемости оттаивающего грунта δ;
- коэффициент оттаивания Ath;
- температура начала замерзания грунта Tbf.
Набор характеристик из числа указанных определяют в каждом конкретном случае в зависимости от инженерно-геологических условий, конструктивных особенностей проектируемых сооружений, методов расчетов и т.д.
5.3 Для вновь возводимых сооружений комплекс полевых (включая геофизические и гидрогеологические работы) и лабораторных исследований должен быть направлен на обоснованное определение нормативных и расчетных значений всех характеристик, необходимых как для классификационных целей, так и для разработки инженерно- геологических и расчетных схем (моделей), оснований и оценки надежности систем сооружение - основание.
При обосновании допускается расчетные значения характеристик определять без проведения испытаний на основе аналоговых данных и по апробированным эмпирическим зависимостям.
Нормативные и расчетные значения характеристик tgφ и с (параметров сопротивляемости сдвигу), sdu, Gd; Kd; Dd; Rc, Rt, Rt,m, E (модуля деформации), v (коэффициента поперечной деформации), Ku; cv; δ; δ'; Vp; Vs; k; q; Icr; Vcr; μ1; μ должны устанавливаться в соответствии с требованиями данного приложения, а остальных характеристик - в соответствии с требованиями государственных стандартов на определение соответствующих характеристик.
Нормативные и расчетные значения характеристик грунтов для оценки поведения и состояния гидротехнических сооружений в процессе эксплуатации устанавливаются на основе данных проекта, результатов геотехнического контроля в процессе возведения сооружений и с учетом данных натурных наблюдений и обследований.
Нормативные и расчетные значения характеристик грунтов при дополнительных изысканиях для целей ремонта, реконструкции и эксплуатации должны устанавливаться по специальной программе. Программа изысканий должна учитывать специфику существующих сооружений, а методы испытаний и исследований - методы предшествующих испытаний и исследований.
При классификации грунтов должны применять нормативные значения характеристик, при решении задач проектирования - их расчетные значения.
5.4 При определении нормативных и расчетных значений деформационных характеристик, параметров сопротивляемости сдвигу, показателей фильтрационной консолидации и ползучести грунтов по результатам испытаний число последних должно быть не менее 6, при определении остальных характеристик - не менее 10. Условия проведения испытаний в максимально возможной степени должны быть приближены к условиям работы грунта в рассматриваемой системе сооружение - основание.
Расчетные значения характеристик в случаях, оговоренных в нормах на проектирование отдельных видов сооружений, допускается определять по табличным или аналоговым данным.
5.5 Обработка результатов испытаний при определении нормативных и расчетных значений характеристик должна производиться в соответствии с указаниями ГОСТ 20522-96 «Грунты. Методы статистической обработки результатов испытаний», с учетом указаний настоящего приложения.
Расчетные значения любых характеристик XI,II = Xn/γg (γg - коэффициент надежности по грунту) в общем случае следует определять в ориентировке либо на нижнюю, либо на верхнюю доверительную статистическую границу, исходя из требования обеспечения гарантированной надежности системы сооружение - основание.
5.6 Во всех случаях при проектировании системы сооружение - основание следует учитывать возможное изменение фильтрационных характеристик, характеристик прочности и деформируемости грунтов в процессе возведения и эксплуатации сооружения, связанное с ведением строительных работ, изменением гидрогеологического режима, воздействием атмосферных факторов, изменением напряженно-деформированного состояния основания, искусственным регулированием физико-механических характеристик грунтов и реологическими свойствами последних.
Для районов распространения многолетнемерзлых пород следует также учитывать изменение температурного режим основания, ведущее к изменению указанных характеристик и теплофизических свойств грунтов.
Допускается промораживание и последующее оттаивание (в том числе неоднократное) грунтов основания для случаев, когда характеристики грунтов при этом не снижаются ниже расчетных значений или когда такое изменение характеристик не приводит к существенному изменению проекта.
Характер и интенсивность возможных изменений свойств грунтов скальных и нескальных оснований в процессе строительства и эксплуатации сооружений должны прогнозироваться на стадии обоснования проекта на весь срок службы сооружения на основе результатов соответствующих модельных и экспериментальных исследований и корректироваться по результатам натурных наблюдений (мониторинга).
Характеристики нескальных грунтов
5.7 Нормативные значения параметров сопротивляемости сдвигу tg φn и cn следует определять применительно к гипотезе прочности Кулона или Кулона-Мора по результатам серии испытаний методом, соответственно, прямого среза (сдвига) или методом трехосного нагружения. Для глинистых грунтов, обладающих ползучестью, значения tg φn и cn должны определяться с учетом возможного изменения прочности во времени.
При определении значений tg φn и cn для инженерно-геологических схем допускается использовать помимо метода среза (сдвига) также методы вращательного среза или зондирования.
Применение метода трехосного нагружения является обязательным для оснований и грунтовых сооружений I и II классов. При этом должна учитываться возможная анизотропия грунтов.
Характеристики tg φn и cn определяют соответствующими или полностью консолидированному, или не полностью консолидированному состояниям.
При воздействии на систему сооружение - основание динамических нагрузок, характеристики прочности грунтов должны определяться по результатам специальных исследований, учитывающих интенсивность и длительность воздействий. Допускается соответствующие эффективным напряжениям характеристики tg φ и c при динамических воздействиях принимать равными характеристикам при статических воздействиях.
5.8 Обработку результатов испытаний при определении нормативных и расчетных значений характеристик tg φ и c по результатам сдвиговых и трехосных испытаний следует производить, используя методы статистической обработки, регламентированные ГОСТ 20522-96 «Грунты. Методы статистической обработки результатов испытаний».
При этом значения tg φI и cI следует определять при верхней или нижней доверительной вероятности α = 0,95 с ограничениями в пределах:
![]()
или
![]()
при ориентировках соответственно на нижнюю или верхнюю доверительную границу.
Значения tg φII и cII следует принимать равными нормативным.
Определение нормативных и расчетных значений параметров сопротивления сдвигу допускается производить по данным корреляционных зависимостей между физическими характеристиками грунта и опытными значениями предельных величин сопротивления сдвигу аналогичных грунтов.
5.9 Нормативные значения статического сопротивления недренированному сдвигу su,n должны определяться как средние арифметические из частных значений этой характеристики, полученных из отдельных испытаний методом трехосного нагружения или скашивания образцов грунта по схеме неконсолидированно-недренированного испытания с доведением образца до разрушения.
Расчетные
значения сопротивления недренированному сдвигу su,I
должны определяться в соответствии с указаниями ГОСТ
20522-96 «Грунты. Методы статистической обработки результатов испытаний»
при односторонней доверительной вероятности α = 0,95 с ограничением в
пределах
, если коэффициент надежности по грунту больше единицы, и в
пределах
, если этот коэффициент меньше единицы. Расчетные значения su,II
принимаются равными нормативным значениям su,n.
5.10 Динамическое сопротивление недренированному сдвигу sdu, характеризующее прочность неконсолидированных глинистых грунтов, должно определяться при совместном действии статических и динамических нагрузок.
Нормативные значения sdu,n следует определять по результатам испытаний грунтовых образцов ненарушенной структуры, проведенных после завершения этапа реконсолидации методом трехосного нагружения или методом скашивания по схеме неконсолидированно-недренированного сдвига.
Значение sdu,n определяют как среднеарифметическое сумм частных значений статической и предельной динамической составляющих максимальных касательных напряжений при предельном значении числа циклов.
Расчетные значения su,nI,II рассчитывают при коэффициентах безопасности по грунту, определенных для статической недренированной прочности.
5.11 Нормативные значения статического модуля деформации En нескальных грунтов следует определять по результатам компрессионных испытаний и (или) испытаний методом трехосного нагружения. При этом наряду с указаниями настоящих норм надлежит выполнять также требования ГОСТ 12248-96 «Грунты. Методы лабораторного определения характеристик прочности и деформируемости». При этом физические показатели образцов грунта (в первую очередь - плотность, влажность и льдистость при мерзлом состоянии) должны соответствовать натурным условиям. Образцы глинистых грунтов из оснований сооружений должны иметь ненарушенное сложение.
При определении En для назначения величин EI,II для расчетных геомеханических схем рекомендуется проведение испытаний как компрессионным методом, так и методом трехосного сжатия с последующим совместным анализом их результатов. Для грунтов оснований и грунтовых сооружений I и II классов проведение испытаний методом трехосного сжатия является обязательным. Траектории нагружения испытуемых образцов грунта и методика обработки результатов испытаний в указанных случаях должны учитывать характер и величины изменения напряжений в расчетных грунтовых элементах (РГЭ) и метод расчета или модельного исследования, для которых предназначены расчетные характеристики. При необходимости следует определять модули деформации E'n, E"n, отвечающие первичному и вторичному нагружению грунта.
При определении En для инженерно-геологических схем для каждого ИГЭ назначают единые постоянные значения этих характеристик.
Нормативные значения En в зависимости от используемого в дальнейшем расчетного метода, могут определяться как постоянными, так и переменными по глубине.
5.12 Расчетные значения модулей деформации EI подсчитываются в соответствии с указаниями ГОСТ 20522-96 «Грунты. Методы статистической обработки результатов испытаний» при односторонней доверитель ной вероятности α = 0,9. Если при этом на нижней доверительной границе окажется, что En/EI > 1,1 окончательно следует принимать EI = En/1,1. Аналогично, если на верхней доверительной границе окажется, что En/EI < 0,92, окончательно следует принимать EI = En/0,92.
Расчетные значения модулей деформации EII следует принимать равными нормативным.
5.13 Нормативные значения статического коэффициента поперечной деформации vn рекомендуется определять по результатам испытаний методом трехосного нагружения.
Расчетные значения коэффициента поперечной деформации следует принимать равными нормативным.
Расчетные значения коэффициентов v для нескальных грунтов при обосновании допускается принимать по таблице А.3.
Таблица А.3
|
Грунты |
Коэффициент поперечной деформации n |
|
|
немерзлое состояние |
твердомерзлое состояние |
|
|
Глины при: |
|
|
|
IL < 0 |
0,20 - 0,30 |
0,30 - 0,35 |
|
0 < IL < 0,25 |
0,30 - 0,38 |
0,35 - 0,39 |
|
0,25 < IL |
0,38 - 0,45 |
0,39 - 0,41 |
|
Суглинки |
0,35 - 0,37 |
0,27 - 0,33 |
|
Пески и супеси |
0,30 - 0,35 |
0,20 - 0,25 |
|
Крупнообломочные грунты |
0,27 |
0,20 - 0,25 |
|
Примечание - Меньшие значения n принимаются при большей плотности грунта. |
||
5.14 При определении динамического модуля сдвига Gd, модуля объемного сжатия Kd и коэффициента затухания (демпфирования) Dd следует иметь в виду, что они характеризуют деформируемость грунтов (как связных, так и несвязных) от действия динамической (циклической) составляющей нагрузок.
Нормативные значения динамических характеристик (Gd, Kd и Dd) следует определять в зависимости от амплитуды деформаций или напряжений как средние статистические из их частных значений, полученных в отдельных испытаниях грунтов методом трехосного сжатия при открытом дренаже. Определение частных значений характеристик Gd и Dd допускается производить по результатам испытаний методом скашивания или резонансных колонн.
5.15 Расчетные значения характеристик GId, KId и DId рекомендуется определять, используя апроксимирующую зависимость их от амплитуд на основе метода наименьших квадратичных отклонений при относительной доверительной вероятности α = 0,9. Допускается эти значения определять с использованием фиксированного коэффициента надежности по грунту γg = 1,1 или γg = 0,92. При определении расчетных значений GdII, KdII и DdII следует принимать γg = 1. В случаях, если при указанном подходе значения DdI,II получаются больше, чем 0,15, их следует принимать равными 0,15.
5.16 Нормативное и равное ему расчетное значение коэффициента порового давления Ku,n = Ku определяется как среднее арифметическое из частных значений этой характеристики, полученных по результатам отдельных испытаний. Испытания для определения последних должны проводиться методом трехосного сжатия по консолидированно-недренированной схеме.
Для слабых глинистых водонасыщенных грунтов значения коэффициента порового давления рекомендуется уточнять по материалам исследований опытной насыпи, оборудованной КИА.
5.17 Нормативное и равное ему расчетное значение коэффициента консолидации cv,n = cv определяется как среднее арифметическое из частных значений этой характеристики, получаемых по результатам отдельных испытаний. Применительно к одномерной задаче испытания для определения последних должны проводиться методом трехосного сжатия по консолидированно-недренированной схеме.
Для оснований сооружения II-IV классов, а на ранних стадиях проектирования и для оснований сооружений I класса применительно к одномерной задаче допускается нормативное и равное ему расчетное значение коэффициента консолидации cv,n = cv определять по результатам фильтрационных испытаний с учетом показателей пористости и уплотнения грунта.
5.18 В качестве параметров затухающей ползучести принимают константы аппроксимирующей зависимости затухающих деформаций грунта от времени (при постоянной нагрузке), имеющей место после завершения первичной (фильтрационной) консолидации.
При этом следует различать параметры, предназначенные для расчетов осадок сооружений и их горизонтальных смещений. Первые из них должны определяться по результатам измерения деформаций сжатия в компрессионных испытаниях, вторые - по результатам измерения деформаций сдвига в испытаниях на скашивание.
Как правило, применительно к реальным срокам эксплуатации сооружений в качестве аппроксимирующих зависимостей рекомендуются логарифмическая или степенная функции (например, с параметрами δ и δ').
Нормативные δn и δ'n и расчетные δI и δ'I значения искомых параметров следует
подсчитывать, используя зависимости, аналогичные приведенным в ГОСТ 20522-96 «Грунты. Методы статистической обработки результатов испытаний».
При определении δI и δ'I одностороннюю доверительную вероятность следует принимать равной α = 0,95.
Если
значения
при использовании
указанного способа окажутся больше 1,1, то окончательно их следует принимать
равными γg = 1,1. Аналогично, если окажется, что γg
< 0,92, то следует принять γg = 0,92.
Расчетные значения δII и δ'II следует принимать равными их нормативным значениям.
5.19 За нормативное значение коэффициента фильтрации kn следует принимать среднее арифметическое частных значений коэффициента фильтрации грунта, определяемых применительно к ламинарному движению воды по закону Дарси на основе результатов испытаний грунта на водопроницаемость в лабораторных или полевых условиях с учетом воспринимаемого грунтом геостатического давления и нагрузок, возникающих после возведения сооружения, а также с учетом структурных особенностей грунта. При резко выраженной фильтрационной анизотропии, когда водопроницаемость грунта изменяется в зависимости от направления более чем в 5 раз, следует определять коэффициенты фильтрации по главным осям анизотропии.
Расчетные значения коэффициента фильтрации к следует принимать равными нормативным.
Примечание - Для портовых сооружений и речных сооружений III и IV классов расчетные значения коэффициентов фильтрации грунтов основания допускается определять по аналогам, а также расчетом, используя геотехнические характеристики грунтов.
5.20 Расчетные значения осредненного критического градиента напора Icr,m в основании сооружения с дренажем следует принимать по таблице А.4.
Таблица А.4
Грунт |
Расчетный осредненный критический градиент напора Icr,m |
|
Песок: |
|
|
мелкий |
0,3 |
|
средней крупности |
0,4 |
|
крупный |
0,5 |
|
Супесь |
0,6 |
|
Суглинок |
0,8 |
|
Глина |
1,3 |
Расчетные значения местного критического градиента напора Icr следует определять, используя расчетные методы оценки суффозионной устойчивости грунтов либо путем испытаний грунтов на суффозионную устойчивость в лабораторных или натурных условиях.
Для несуффозионных песчаных грунтов Icr допускается принимать при выходе потока в дренаж 1,0, а за дренажем - 0,3. Для пылевато-глинистых грунтов при наличии дренажа или жесткой пригрузки при выходе на поверхность грунта Icr допускается принимать 1,5, а при деформируемой пригрузке - 2,0.
5.21 Нормативные значения коэффициентов упругой и гравитационной водоотдачи μI,n и μn следует определять в натурных условиях по результатам наблюдений за изменением напоров и уровней воды в грунтовом основании при принудительном изменении напора в определенной точке массива, например, в опытной скважине.
Расчетные значения коэффициентов μ и μI следует принимать равными нормативными. Значения μ и μI оснований сооружений II - IV классов допускается определять по результатам испытаний в лабораторных условиях.
5.22 Липкость (адгезионную прочность) грунта L определяют путем отрыва образца материала от грунтового массива. Нормативное и расчетное значение липкости определяют аналогично определению предела прочности образцов грунта на растяжение.
Характеристики скальных грунтов
5.23 Нормативные значения предела прочности отдельности скального грунта на одноосное сжатие Rc,n и одноосное растяжение Rt,n, а также предела прочности массива скального грунта на одноосное растяжение Rt,m,n и одноосное сжатие Rc,m,n следует определять как средние арифметические частных значений этих характеристик, полученных в отдельных испытаниях методами сжатия и растяжения, соответственно, в лабораторных условиях и в полевых условиях. В лабораторных условиях допускается также применять косвенные методы испытаний (например, с использованием соосных пуансонов, сферических индикаторов).
5.24 Частные значения пределов прочности на сжатие и растяжение массива следует, как правило, определять экспериментально в полевых условиях методом одноосного сжатия скальных целиков, а вторых - методом отрыва бетонных штампов (по контакту бетон-скала) или скальных целиков (по массиву или трещинам) в условиях одноосного растяжения.
Расчетные
значения характеристик прочности RcI
и RtI следует определять в
соответствии с указаниями ГОСТ
20522-96 «Грунты. Методы статистической обработки результатов испытаний»
при односторонней доверительной вероятности α = 0,95. Расчетные значения
характеристик
принимаются равными их нормативным значениям.
При обосновании расчетные значения
в направлениях, не
совпадающих с нормалями к плоскостям трещин, допускается принимать по таблице
А.5, а в направлениях, совпадающих с нормалями к плоскостям сплошных трещин, -
принимать равными нулю.
5.25 Нормативные значения параметров сопротивляемости сдвигу tgφn и сn массивов скальных грунтов при статических воздействиях следует определять для всех потенциально опасных расчетных поверхностей или элементарных площадок сдвига по результатам полевых или лабораторных (в том числе модельных) испытаний, проводимых методом медленного среза (сдвига) бетонных штампов или скальных целиков.
Испытания указанными методами и определение по их результатам нормативных значений характеристик tgφn и сn следует производить с учетом условий, соответствующих всем расчетным случаям в периоды строительства и эксплуатации сооружения.
5.26 Обработку результатов испытаний для определения нормативных и расчетных значений характеристик tgφn и сn следует производить так же, как для нескальных грунтов (5.7, 5.8 настоящего приложения).
Если при проведении испытаний не удалось достаточно полно соблюсти соответствие между условиями этих испытаний и натурными условиями, при определении расчетных характеристик tgφI,II и сI,II необходимо учитывать эти несоответствия путем корректировки значений этих характеристик, получаемых вышеуказанным способом.
5.27 Для оснований сооружений III и IY классов, а также для оснований сооружений I и II классов на стадии технико-экономического обоснования строительства расчетные значения характеристик tgφI,II и сI,II, предназначенные для расчетных схем, допускается принимать по таблице А.5 с использованием аналогов, корреляционных связей и т.д. Значения tgφI,II и сI,II для оснований сооружений I и II классов на стадиях проекта и рабочей документации также допускается принимать по этой таблице, если расчеты с использованием этих характеристик не определяют габариты сооружений. Данными этой таблицы допускается пользоваться во всех случаях при определении значений tgφ и с, предназначенных для составления инженерно-геологических схем (моделей).
5.28 Для определения tgφn и сn и на их основе tgφI,II, сI,II при динамических (в том числе сейсмических воздействиях) рекомендуется проводить испытания по специально разрабатываемой методике. Допускается значения tgφI,II, сI,II, соответствующие эффективным напряжениям, принимать равными значениям при статических воздействиях.
5.29 Деформационные характеристики массивов скальных пород (En, Vn, Vp,n, Vs,n) следует определять по результатам испытаний как методами статического нагружения скального грунта (En и Vn), так и динамическими (сейсмоакустическими или ультразвуковыми методами (Vp,n и Vs,n).
Для определения частных значений статических деформационных характеристик рекомендуется использовать зависимости, полученные решением краевых задач теории упругости с граничными условиями, соответствующими условиям нагружения при испытаниях. Частные значения скоростей упругих волн определяют по фиксируемому в испытаниях времени прохождения волн между источником и приемником импульсов.
При проведении как динамических, так и статических испытаний следует для учета возможного влияния на искомые параметры таких факторов, как различные инженерные мероприятия (выемка скалы, укрепительные инъекции), так и вызванные трещиноватостью (анизотропия, неоднородность, нелинейная деформируемость пород, ползучесть) тщательно выбирать место и условия проведения испытаний или использовать обоснованные корректирующие коэффициенты.
5.30 Нормативные значения характеристик деформируемости массивов скальных грунтов и упругих динамических характеристик для ИГЭ и (или) РГЭ следует определять как средние арифметические частных значений этих характеристик, полученных в отдельных испытаниях. Нормативные значенияEn и Vn допускается также определять, исходя из корреляционной зависимости между статической (En, Vn) и динамической VI,n или Vs,n характеристиками, установленной при сопоставлении частных сопряженных значений этих характеристик, полученных в одних и тех же точках массива, расположенных в разных ИГЭ и (или) РГЭ исследуемого основания.
Для оснований сооружений III и IV классов, а также для оснований сооружений I и II классов на стадии технико-экономического обоснования строительства при определении нормативных значений корреляционную зависимость с динамическими характеристиками допускается при обосновании принимать на основе обобщения данных испытаний для аналогичных инженерно-геологических условий.
Для РГЭ нормативные значения En, Vn, VI,n, Vs,n могут также определяться по единой нормативной зависимости данной характеристики от координаты.
Таблица А.5
|
Категория грунта |
Грунты основания |
Расчетные значения характеристик tgφI; tgφI,II, и cI; cI,II скальных грунтов для расчетов |
Расчетные значения предела прочности на одноосное растяжение массивов скальных грунтов |
|||||||||||
|
местной прочности по площадкам сдвига, не приуроченным к трещинам в массиве и к контакту бетон-скала |
устойчивости, физического моделирования и расчетов местной прочности для поверхностей и площадок сдвига в массиве, приуроченных к контакту бетон-скала; расчетов устойчивости по поверхностям сдвига, не приуроченных к трещинам в массиве |
устойчивости, физического моделирования и расчетов местной прочности для поверхностей и площадок сдвига в массиве, приуроченных к трещинам, заполненным песчаным и глинистым грунтом с шириной их раскрытия, мм |
||||||||||||
|
менее 2 (в том числе сомкнутые) |
от 2 до 20 |
св. 20 |
||||||||||||
|
преимущественно с песчаным заполнителем |
преимущественно с глинистым заполнителем |
|||||||||||||
|
tgφII |
сII, МПа |
tgφI, tgφII/γg |
сI, сII/γg МПа |
tgφI, tgφII/γg |
сI, сII/γg МПа |
tgφI, tgφII/γg |
сI, сII/γg МПа |
tgφI, tgφII/γg |
сI, сII/γg МПа |
tgφI, tgφII/γg |
сI, сII/γg МПа |
Rtm,II, МПа |
||
|
1 |
Скальные (массивные, крупноблочные, слоистые, плитчатые, очень слабо и слаботрещиноватые, невыветрелые) с Rc * > 50 МПа |
1,8 |
2,0 |
0,95 |
0,4 |
0,8 |
0,15 |
0,70 |
0,1 |
0,6 |
0,1 |
0,55 |
0,05 |
-0,25 |
|
2 |
Скальные (массивные, крупноблочные, блочные, слоистые, плитчатые, среднетрещиноватые, слабовыветрелые) с Rc > 50 МПа |
1,5 |
1,7 |
0,85 |
0,3 |
0,8 |
0,15 |
0,70 |
0,1 |
0,6 |
0,1 |
0,55 |
0,5 |
-0,17 |
|
3 |
Скальные (массивные, крупноблочные, блочные, слоистые, плитчатые сильно и очень сильно трещиноватые) с RC > 15-50 МПа; скальные слабовыветрелые, слаботрещиноватые) с Rc= 5-15 МПа |
1,3 |
1,0 |
0,80 |
0,2(2,0) |
0,7 |
0,1 |
0,65 |
0,05 |
0,55 |
0,05 |
0,45 |
0,02 |
-0,10 |
|
4 |
Полускальные (плитчатые, тонкоплитчатые, средне-, сильно- и очень сильнотрещиноватые) с Rc < 5 МПа |
1,0 |
0,3(3,0) |
0,75 |
0,15(1,5) |
0,65 |
0,05(0,5) |
0,55 |
0,03(0,3) |
0,50 |
0,03(0,3) |
0,45 |
0,02(0,2) |
-0,05(-0,5) |
|
* Rc - нормативные значения предела прочности отдельностей на одноосное сжатие. 1 В графах 5-14 следует принимать γg = 1,25. 2 Для поверхностей сдвига, приуроченных к прерывистым и кулисообразным трещинам, приведенные в графах 7-14 значения характеристик tgφI , tgφII/γg необходимо умножать на коэффициент 1,1, характеристик cI, сII/γg - на коэффициент 1,2. 3 Приведенные в таблице характеристики соответствуют водонасыщенному состоянию массива грунта. |
||||||||||||||
5.31 Расчетные значения модуля деформации следует определять в соответствии с указаниями ГОСТ 20522-96 «Грунты. Методы статистической обработки результатов испытаний». При этом значения EII, используемые в оценках местной прочности оснований и в оценках смещений сооружений и оснований, следует определять при односторонней доверительной вероятности α = 0,85, а значения EI, используемые в оценках устойчивости, - при α = 0,9.
При проведении как динамических, так и статических испытаний следует хотя бы приближенно учитывать возможное влияние на искомые параметры таких факторов, как различные инженерные мероприятия (выемка скалы, укрепительные инъекции), как вызванные трещиноватостью анизотропия, неоднородность, нелинейная деформируемость пород, ползучесть.
Если некоторые из влияющих факторов при проведении испытаний учтены в недостаточной степени, то в получаемые по результатам экспериментов частные значения характеристик рекомендуется вводить расчетные коррективы с помощью соответствующих коэффициентов условий работы. Значения этих коэффициентов должны определяться на основе данных специально проводимых или проведенных ранее (для аналогичных условий) экспериментальных или теоретических исследований.
Если значения En установлены по корреляционным зависимостям с динамическими показателями, следует принимать EII =En/1,15 и EI = En/1,2 при γg ≥ 1 и EII = En/0,88 и EI = En/0,86 при γg < 1.
Такие же значения EII и EI следует принимать, если при обработке результатов испытаний по ГОСТ 20522-96 «Грунты. Методы статистической обработки результатов испытаний» получены соответственно γg > 1,15 (> 1,2) или γg < 0,88 (< 0,86).
На стадии технико-экономического обоснования строительства расчетные значения модуля деформации скальных массивов Е допускается определять на основе аналоговых корреляционных связей этой характеристики с характеристиками других свойств - водопроницаемостью, воздухопроницаемостью и др. При этом характеристики других свойств должны быть установлены по результатам испытаний в изучаемом скальном массиве.
Расчетные значения коэффициента поперечной деформации v следует принимать равными нормативным. При обосновании расчетные значения v массивов скального грунта допускается определять по аналогам.
5.32 Нормативные значения коэффициента фильтрации kn и удельного водопоглощения qn следует определять как средние арифметические значения результатов, полученных при испытаниях, выполненных одинаковым методом в соответствии с ГОСТ 23278-78. В сложных гидрогеологических условиях (резко выраженная анизотропия фильтрационных свойств, карст, неопределенность граничных условий и др.) нормативное значение kn следует определять по результатам испытаний в кусте скважин. При определении kn и qn необходимо учитывать напряженное состояние грунта в изучаемой зоне основания, и его влияние на фильтрационные характеристики скального массива.
Расчетные значения коэффициента фильтрации k и удельного водопоглощения q следует принимать равным нормативным.
5.33 Нормативные значения критической скорости движения воды в трещинах (прослойках, тектонических зонах дробления) Vcr,j,n, как правило, следует определять по результатам суффозионных испытаний заполнителя трещин (прослоек, зон дробления) и образцов самих породных блоков.
Расчетные значения Vcr,j следует принимать равными нормативным.
Для оснований сооружений III и IV классов, а при соответствующем обосновании - и для оснований сооружений I и II классов, значения Vcr,j допускается определять расчетом в зависимости от геометрических характеристик трещин, вязкости фильтрующей воды и физико-механических характеристик заполнителя трещин.
Расчетные значения (равные нормативным) критического градиента напора Icr фильтрационного потока в направлении простирания рассматриваемой системы трещин также следует определять расчетом в зависимости от геометрических характеристик трещин, вязкости воды и физико-механических характеристик заполнителя трещин.
5.34 Нормативные и расчетные значения коэффициентов упругой и гравитационной водоотдачи μI,n, μn, μI и μ следует определять в соответствии с 5.21 настоящего приложения по результатам испытаний в натурных условиях.
5.35 По деформируемости и прочности в различных направлениях массивы скальных грунтов следует считать изотропными при коэффициенте анизотропии не более 1,5 и анизотропными при коэффициенте анизотропии более 1,5.
6.1 Проектирование оснований гидротехнических сооружений и оценку их состояний при эксплуатации следует выполнять на основе инженерно- геологических и расчетных геомеханических схем (моделей).
Инженерно-геологические модели используют при выборе района, участка и конкурирующих створов размещения объекта, при компоновке сооружений объекта, при выборе типов сооружений, при конструировании сооружений, при составлении расчетных геомеханических схем и при обосновании экологической безопасности.
Расчетные геомеханические схемы (модели) используют при расчетах и разработке конструкций сооружений, при обосновании их технической надежности, экологической безопасности и экономической целесообразности.
6.2 Инженерно-геологическая схема (модель) основания должна представлять собой совокупность инженерно-геологических элементов (ИГЭ), отражающих структуру основания. Каждый из ИГЭ должен быть охарактеризован инженерно-геологическими признаками и номенклатурными классификационными показателями грунтов, регламентированными ГОСТ 25100-95 «Грунты. Классификация», а при необходимости - и другими (дополнительными) физико-механическими показателями и гидрогеологическими данными.
Инженерно-геологическая модель должна, как правило, представляться в виде набора карт и разрезов по различным характерным сечениям, отражающим необходимые для проектирования сооружения признаки и показатели грунтового массива основания.
6.3 Расчетная геомеханическая схема (модель) основания, являющаяся неотъемлемой составной частью расчетного (или экспериментального модельного) метода по оценке надежности объекта, должна представлять собой совокупность грунтовых расчетных элементов (РГЭ), каждый из которых должен быть охарактеризован необходимыми для расчетов (или экспериментов) механической моделью грунта и набором показателей (характеристик), соответствующих этой модели. Разработка расчетных геомеханических схем должна основываться на инженерно-геологических схемах (моделях).
Для одного и того же объекта при необходимости составляют несколько расчетных геомеханических схем основания, каждая из которых должна быть привязана к конкретному методу и виду расчета (или эксперименту), в частности, применительно к определению напряжений, деформаций, фильтрации воды, термических процессов, прочности, устойчивости и смещения массивов, отдельных их частей и сооружений, а также для разработки методов и инженерных мероприятия для повышения надежности системы сооружение - основание.
6.4 При выделении ИГЭ и РГЭ в схемах следует руководствоваться указаниями ГОСТ 20522-96. При этом статистические оценки для выделения ИГЭ допускается выполнять с использованием лишь наиболее просто и оперативно определяемых характеристик. При выделении РГЭ надлежит использовать все характеристики, входящие в рассматриваемую расчетную схему.
6.5 Разработка инженерно-геологических и расчетных схем оснований ГТС должна основываться на результатах инженерно-геологических изысканий и исследований, которые должны содержать достоверные данные по следующим основным вопросам:
- структурно-тектонических условий и особенностей геологического строения участка строительства гидроузла;
- сейсмической активности территории и активности тектонических разломов;
- гидрогеологических условий и прогноза их изменения в результате возведения гидроузла;
- условий залегания легкорастворимых и выщелачиваемых грунтов, лессовых грунтов, илов, торфов и заторфованных грунтов;
- наличия и условий залегания, температурного режима и строения мерзлых грунтов с прогнозом динамики изменения их свойств в строительный период и при эксплуатации гидроузла;
- физико-механических свойств грунтов: прочности, деформируемости, водопроницаемости, теплофизических показателей и прогнозу изменения этих свойств во времени в зависимости от различных факторов (нагрузок, температуры, водонасыщения и др.);
- возможности возникновения и развития опасных геодинамических процессов (суффозии грунтов, оползней, карста, переработки берегов и т.д.).
7.1.1 Расчеты устойчивости (несущей способности) системы сооружение - основание следует производить для сооружений всех классов по предельным состояниям первой группы; расчеты устойчивости склонов (массивов) следует производить, в зависимости от последствий их разрушения, либо по предельным состояниям первой либо второй групп.
7.1.2 Критерием обеспечения устойчивости (несущей способности) системы сооружение - основание и склонов является следующая модификация обобщенного условия (А.1):
где F и R - расчетные значения соответственно обобщенных сдвигающих сил и сил предельного сопротивления или моментов сил, стремящихся сдвинуть (повернуть) и удержать систему сооружение - основание или склон. При их определении используют коэффициенты надежности по нагрузкам γf и по грунту γg, определяемые по указаниям 7.1.3 и раздела 5 настоящего приложения, и коэффициенты γn, γlc, определяемые по 4.5 настоящего приложения;
γс - коэффициент условий работы, принимаемый по таблице А.6;
ks - коэффициент устойчивости, отвечающий эксплуатационному состоянию системы сооружение - основание;
ks,n - нормативное значение коэффициента устойчивости.
Таблица А.6
Типы сооружений и оснований |
Коэффициент условий работы |
|
Гравитационные: бетонные, железобетонные, металлические и др. сооружения на нескальных и полускальных основаниях |
1,0 |
|
То же на скальных основаниях (кроме распорных сооружений) для расчетных поверхностей сдвига: |
|
|
а) приуроченных к трещинам |
1,0 |
|
б) не приуроченных к трещинам |
0,95 |
|
Распорные сооружения: |
|
|
а) арочные плотины |
0,75 |
|
б) другие распорные сооружения на скальных основаниях |
1,0 - E/T, где E - распор; Т - сдвигающая нагрузка |
|
Естественные откосы и склоны: |
|
|
а) при методах расчета, удовлетворяющих условиям равновесия |
0,95 |
|
б) в остальных случаях |
0,9 |
|
1. При расположении сооружений в северной строительно-климатической зоне (ССКЗ) и прохождении расчетных поверхностей сдвига в зоне промораживания-оттаивания приведенные коэффициенты следует умножать на 0,95. 2. В необходимых случаях, кроме приведенных в таблице коэффициентов, должны приниматься дополнительные коэффициенты условий работы, учитывающие несоответствие расчетной схемы и методов расчета действительным условиям работы системы сооружение - основание. Величины этих коэффициентов должны быть обоснованы специальными исследованиями. |
|
Расчеты устойчивости (несущей способности) системы сооружение - основание должны выполняться для всех возможных расчетных случаев (потенциально опасных поверхностей сдвига, расчетных схем и т.д.).
7.1.3 При определении расчетных нагрузок коэффициенты надежности по нагрузкам следует принимать согласно требованиям приложения Ж.5 Стандарта.
1 В тех случаях, когда в расчетах используется не равнодействующая нагрузок (сил), а ее проекции, коэффициенты надежности по нагрузке должны вводиться либо к равнодействующей, либо одинаковыми (повышающими или понижающими) ко всем проекциям.
2 Все нагрузки от грунта (вертикальное давление от веса грунта, боковое давление грунта) следует, как правило, определять по расчетным значениям характеристик грунта tgφI,II, cI,II, γI,II, принимая при этом коэффициенты надежности по нагрузкам равными единице. При этом расчетные значения характеристик грунта принимаются больше или меньше их нормативных значений в зависимости от того какие из них приводят к невыгодным условиям загружения системы сооружение - основание.
3 Сочетание нагрузок и воздействий должны устанавливаться в соответствии с практической возможностью одновременного их действия на сооружение. При этом любая кратковременная нагрузка не вводится в сочетание, если она увеличивает устойчивость сооружения.
4 Если при определении расчетных величин нагрузок нельзя установить, какое значение γf (большее или меньшее) приводит к наиболее невыгодному случаю загружения сооружения, то следует выполнять сопоставительные расчеты при обоих значениях коэффициентов надежности по нагрузке.
7.1.4 Расчеты устойчивости системы сооружение - основание и склонов следует, как правило, производить методами, удовлетворяющими всем условиям равновесия в предельном состоянии.
Допускается применять и другие методы расчета, результаты которых проверены опытом проектирования, строительства и эксплуатации сооружений.
В расчетах устойчивости следует рассматривать все физические и кинематические возможные схемы потери устойчивости сооружений, систем сооружение - основание, склонов (массивов).
7.1.5 Расчеты следует выполнять для условий плоской или пространственной задач. Условия пространственной задачи принимают, если l < 3b или l < 3h (для шпунтовых сооружений), или когда поперечное сечение сооружения, нагрузки, геологические условия меняются по длине l < 3b (< 3h), где l и b соответственно длина и ширина сооружения, h - высота сооружения с учетом заглубления сооружений или шпунта в грунт основания, l1 - длина участка с постоянными характеристиками.
Допускается использование решений плоской задачи для систем сооружение - основание и склонов, работающих в пространственных условиях, путем учета сил трения и сцепления по боковым поверхностям сдвигаемого массива грунта и сооружения. При этом следует, как правило, давление на боковые поверхности принимать равным давлению покоя. Это указание относится к сооружениям с фиксированными боковыми поверхностями, параллельными направлению сдвига, и не распространяется на грунтовые массивы с произвольной боковой поверхностью обрушения.
7.1.6 Критерием обеспечения устойчивости сооружений и несущей способности систем сооружение - основание при вероятностной оценке является выполнение условия (при R > Fk):
(A.4)
где [Q] - нормативный уровень отказа (потери устойчивости).
7.1.7 Значение нормативного уровня вероятности отказа (потери устойчивости) [Q], отнесенную к сроку службы сооружения T0, допускается принимать в соответствии с 4.7 и таблицей А.1 настоящего приложения.
7.1.8 При нормальном законе распределения величин R и F вероятность отказа Q рекомендуется вычислять по следующей формуле:
(А.5)
где mR,
- математические
ожидания несущей способности и силового воздействия, соответствующего k-му
сочетанию нагрузок;
,
- их дисперсии;
- функция ошибок.
Математическое ожидание и дисперсия несущей способности вычисляются с использованием соответствующих параметров характеристик грунтов, определяемых по экспериментальным данным. В качестве математических ожиданий характеристик грунтов допускается принимать их нормативные значения. Дисперсии (или средние квадратические отклонения) характеристик грунтов определяются по разбросу экспериментальных данных. При отсутствии таких данных рекомендуется принимать среднее квадратическое отклонение как 25% от соответствующего математического ожидания.
Математические ожидания и дисперсии силового воздействия определяют для всех возможных сочетаний нагрузок.
При других законах распределения величин R и Fk вероятность отказа Q определяют с использованием метода статистических испытаний (метода Монте-Карло).
7.1.9 Если обобщенное силовое воздействие, соответствующее k-му сочетанию нагрузок, является редким воздействием (что соответствует различным особым сочетаниям нагрузок при детерминистическом подходе), то для аппроксимации вероятности появления редких воздействий рекомендуется применять модель Пуассона
(А.6)
где T0 - срок службы сооружения; TF - период повторяемости воздействия Fk.
Если обобщенное силовое воздействие соответствует основному сочетанию нагрузок при детерминистическом подходе, то вероятность однократного появления силового воздействия Fk за срок службы сооружения равняется единице: P(Fk) = 1.
7.1.10 При расчетах надежности гидросооружений следует учитывать возможные погрешности, вызванные неточностью принятой расчетной модели и конечностью выборок, используемых для определения исходных данных. Когда статистические выборки, по которым определялись исходные параметры, малы, следует определять еще и интервальную оценку надежности.
7.2.1 В расчетах устойчивости гравитационных сооружений на нескальных основаниях следует рассматривать возможность потери устойчивости по схемам плоского, смешанного и глубинного сдвигов. Выбор схемы зависит от вида сооружения, классификационной характеристики основания, схемы загружения и других факторов. Следует иметь в виду, что перечисленные схемы сдвига могут иметь место как при поступательной форме сдвига, так и при сдвиге с поворотом в плане.
Для сооружений, основанием которых являются естественные или искусственные откосы или их гребни, необходимо также рассматривать схему общего обрушения откоса вместе с расположенным на нем сооружением.
Для сооружений I класса, кроме перечисленных расчетов устойчивости, оценка степени их устойчивости может производиться на основе анализа результатов расчетов напряженно-деформированного состояния системы сооружение - основание. Кроме того, в соответствии с 7.1.6 - 7.1.10 настоящего приложения, наряду с детерминистическими методами расчетов должен выполняться вероятностный анализ надежности сооружений.
7.2.2 Расчеты устойчивости сооружений по схеме плоского сдвига следует производить для всех сооружений, несущих вертикальные и горизонтальные нагрузки.
Для сооружений расчеты устойчивости следует производить только по схеме плоского сдвига в следующих случаях:
- основания сооружений сложены песчаными, крупнообломочными, твердыми IL < 0 и полутвердыми 0 ≤ IL ≤ 0,25 пылевато-глинистыми грунтами, при выполнении условий:
а) для случая равномерной нагрузки и эксцентриситета в сторону верховой грани сооружения
(A.7)
б) при эксцентриситете ер равнодействующей всех сил, приложенных к сооружению в сторону низовой грани сооружения
(А.8)
- основания сооружений сложены туго- (0,25 < IL < 0,5) и мягкопластичными 0,5 < IL < 0,75 глинистыми грунтами при выполнении условий (А.7) или (А.8) и следующих дополнительных условий:
(А.9)
(А.10)
В формулах А.7 - А.10:
Nσ - число моделирования;
σm, σ*m - среднее нормальное напряжение соответственно при ширине b и b*;
b - размер стороны (ширина) прямоугольной подошвы сооружения, параллельной сдвигающей силе (без учета длины анкерного понура);
b* = b-2ep;
ep - эксцентриситет в сторону низовой грани сооружения нормальной силы Р в плоскости подошвы, равный расстоянию от точки пересечения с подошвой фундамента равнодействующей всех сил до оси сооружения;
γI - удельный вес грунта основания, принимаемый ниже уровня воды с учетом ее взвешивающего действия;
N0 - безразмерное число, принимаемое для плотных песков N0 = 1; для глинистых грунтов туго и мягко пластичной консистенции при невыполнении условий формулы А.9 или формулы А.10 - N0 = 0; для остальных грунтов - N0 = 3. Для всех грунтов оснований сооружений I и II классов N0, как правило, следует уточнять по результатам экспериментальных исследований методом сдвига штампов в котлованах сооружений;
IL - показатель текучести;
tgψI - расчетное значение коэффициента сдвига;
tgγI, cI, suI - расчетные значения характеристик прочности грунта основания с учетом степени его консолидации под нагрузкой от сооружения к расчетному моменту и возможного их снижения в зоне промораживания - оттаивания (при строительстве в ССКЗ);
c0v - коэффициент степени консолидации;
k - коэффициент фильтрации;
е - коэффициент пористости грунта в естественном состоянии;
t0 - время возведения сооружения;
α - коэффициент уплотнения; при его определении учитывается изменение е и α во всем диапазоне изменения нагрузок на основание;
γw - удельный вес воды;
h0 - расчетная толщина консолидируемого слоя.
Примечания
1. За верховую грань сооружения следует принимать грань, со стороны которой действует сдвигающая нагрузка; за низовую грань сооружения - грань, в направлении которой проверяется возможность сдвига.
2. Указания настоящего пункта не распространяются на случаи, когда особенности конструкции или сооружения и геологического строения основания, а также распределение нагрузок предопределяют глубинный сдвиг.
7.2.3 При расчете устойчивости сооружения по схеме плоского сдвига за расчетную поверхность сдвига следует принимать:
- при плоской подошве сооружения - плоскость опирания сооружения на основание с обязательной проверкой устойчивости по горизонтальной поверхности сдвига, проходящей через верховой край подошвы (выбор плоской горизонтальной подошвы сооружения требует специального обоснования);
- при наличии в подошве сооружения верхового и низового зубьев:
- при глубине заложения верхового зуба, равной или большей низового - плоскость, проходящую через подошву зубьев, а также горизонтальную плоскость, проходящую по подошве верхового зуба;
- при глубине заложения низового зуба более глубины заложения верхового зуба - горизонтальную плоскость, проходящую по подошве верхового зуба (при этом все силы следует относить к указанной плоскости, за исключением давления воды и пассивного давления грунта со стороны низовой грани сооружения, которые надлежит относить к плоскости, проходящей по подошве низового зуба);
- при наличии в основании сооружения каменной постели - плоскости, проходящие по контакту сооружения с постелью и постели с грунтом; при наличии у каменной постели заглубления в грунт следует рассматривать также наклонные плоскости или ломаные поверхности, проходящие через постель;
- при наличии в основании зон, слоев или прослоек слабых грунтов, в том числе в зонах промораживания-оттаивания, следует дополнительно оценить степень устойчивости сооружения применительно к расчетным плоскостям, проходящим в этих зонах или слоях.
7.2.4 При расчете устойчивости сооружений по схеме плоского сдвига (без поворота) при горизонтальной плоскости сдвига R = Rpl и F в формуле А.3 следует определять по формулам:
Rpl = PtgφI + γcEp,tw + AcI (su,I) + Rg; (A.11)
F = Thw + Ea,hw - Ttw (A.12)
где Rpl - расчетное значение предельного сопротивления при плоском сдвиге;
Р - сумма вертикальных составляющих расчетных нагрузок (включая противодавление);
tgγI, cI, suI - характеристики прочности грунта по расчетной поверхности сдвига, определяемые по указаниям раздела 5 настоящего приложения (cI, suI); учитываются только на той части площади основания, на которой отсутствуют растягивающие напряжения);
γc - коэффициент условий работы, учитывающий зависимость реактивного давления грунта с низовой стороны сооружения от горизонтального смещения сооружения при потере им устойчивости, принимаемый по результатам экспериментальных или теоретических исследований; при их отсутствии значение γc рекомендуется принимать равным 0,7 (при специальном обосновании 0,7 < γc ≤ 1,0);
Ep,tw, Ea,hw - соответственно расчетные значения горизонтальных составляющих силы пассивного давления грунта с низовой стороны сооружения и активного давления грунта с верховой стороны;
А - площадь проекции на поверхность сдвига подошвы сооружения, в пределах которой учитывается сцепление;
Rg - горизонтальная составляющая силы сопротивлений свай, анкеров и т.д.;
F - расчетное значение сдвигающей силы;
Thw, Ttw - суммы горизонтальных составляющих расчетных значений активных сил, действующих соответственно со стороны верховой и низовой граней сооружения, за исключением активного давления грунта.
7.2.5 В
случае, если расчетная сдвигающая сила F приложена с эксцентриситетом в
плоскости подошвы
расчет устойчивости
сооружений следует производить по схеме плоского сдвига с поворотом в плане (l
и b - размеры сторон прямоугольной подошвы сооружения). При однородном
основании и равномерном распределении нормальных напряжений эксцентриситет eF
расчетной сдвигающей силы F следует определять относительно центра
тяжести подошвы сооружения. При неоднородном основании или неравномерном
распределении напряжений эксцентриситет eF необходимо
определять относительно центра тяжести эпюры распределенных по подошве
сооружения пре- дельных касательных напряжений.
Силу предельного сопротивления при плоском сдвиге с поворотом в плане Rpl,t = αtRpl следует определять по методикам, апробированным практикой проектирования.
7.2.6 Расчеты устойчивости сооружений по схеме смешанного сдвига следует производить для сооружений, несущих вертикальную и горизонтальную нагрузки и расположенных на однородных основаниях, во всех случаях, если не соблюдаются условия, приведенные в 7.2.2 настоящего приложения. При этом сопротивление основания сдвигу Rcom следует принимать равным сумме сопротивлений на участках плоского сдвига и сдвига с выпором.
Ширина участка сдвига с выпором зависит от b (b*), σm (σ*m), γI, N0 и σflr (согласно 7.2.2 настоящего приложения). Здесь σflr - среднее нормальное напряжение в подошве сооружения, при котором происходит разрушение основания от одной вертикальной нагрузки, и участок плоского сдвига отсутствует; σflr и предельное касательное напряжение на участке сдвига с выпором определяют методами теории предельного равновесия.
При смешанном сдвиге с поворотом в плане предельную сдвигающую силу принимают равной αtRpl, где αt определяют по указаниям 7.2.5 настоящего приложения.
7.2.7 Расчет устойчивости сооружений по схеме глубинного сдвига следует производить:
- для всех типов сооружений, несущих только вертикальную нагрузку;
- при несоблюдении условий 7.2.2 настоящего приложения - для сооружений, несущих вертикальную и горизонтальную нагрузки, расположенных на неоднородных основаниях.
7.2.8 Расчеты устойчивости сооружений на однородных основаниях по схеме глубинного сдвига допускается производить методами теории предельного равновесия, а на неоднородных основаниях – методами, оперирующими расчлененной на элементы призмой обрушения сдвигаемой по ломаным или круглоцилиндрическим поверхностям сдвига.
7.2.9 Устойчивость сооружений I класса рекомендуется оценивать также с помощью численного моделирования разрушения основания. Напряженно-деформированное состояние (НДС) системы сооружение - основание при таком моделировании следует определять по нелинейным моделям грунта, дающим статически допустимые (удовлетворяющие предельным условиям и уравнениям равновесия) поля напряжений. Параметры нелинейных моделей грунта назначаются по нормативным значениям деформационных и расчетным значениям прочностных характеристик грунтов основания.
Для численного моделирования разрушения при расчете НДС системы пропорционально увеличивают действующие на сооружение нагрузки. О наступлении разрушения при таких расчетах следует судить по моменту резкого роста расчетных смещений или отсутствию сходимости итерационного процесса. Достигнутый к моменту разрушения коэффициент перегрузки принимается в качестве коэффициента устойчивости.
7.2.10 При расчете устойчивости сооружений на основаниях, сложенных пылеватоглинистыми грунтами со степенью влажности Sr > 0,85 и коэффициентом степени консолидации c0v < 4 следует учитывать нестабилизированное состояние грунта основания одним из двух приведенных ниже способов:
- принимая характеристики прочности tgφ > j и с, соответствующие степени консолидации грунта основания к расчетному моменту (т.е. полным напряжениям), или su>1, и не учитывая при этом в расчетах наличие избыточного порового давления, обусловленного консолидацией грунта;
- учитывая по поверхности сдвига действие избыточного порового давления, возникающего при консолидации грунта (определяемое экспериментальным или расчетным путем), и принимая характеристики прочности tgφ и с, соответствующие полностью консолидированному состоянию грунта (т.е. эффективным напряжениям).
7.2.11 При расчетах устойчивости сооружений на водонасыщенных нескальных основаниях, воспринимающих кроме статических также динамические нагрузки, следует учитывать влияние последних на несущую способность грунтов, обуславливающее снижение (против определенного в статических условиях) сопротивления недренированному сдвигу связных грунтов (5.8 настоящего приложения) и возникновение избыточного порового давления в несвязных грунтах. Избыточное поровое давление при этом определяют либо расчетным путем, либо по результатам экспериментальных исследований.
7.3.1 Расчеты устойчивости сооружений на скальных основаниях, скальных откосов и склонов следует выполнять по схемам сдвига по плоским или ломаным расчетным поверхностям. При этом определяющими являются результаты расчета по той схеме, которая показывает наименьшую надежность сооружения (откоса, склона).
Для бетонных и железобетонных подпорных сооружений (исключая водоподпорные) на скальных основаниях следует также рассматривать схему предельного поворота (опрокидывания).
При плоской расчетной поверхности сдвига следует учитывать две возможные схемы нарушения устойчивости:
- поступательный сдвиг;
- сдвиг с поворотом в плане.
При ломаной расчетной поверхности сдвига следует учитывать три возможные расчетные схемы:
- сдвиг вдоль ребер ломанной поверхности (продольный);
- сдвиг поперек ребер ломаной поверхности (поперечный);
- сдвиг под углом к ребрам ломаной поверхности сдвига (косой).
При выборе расчетной схемы следует исходить из статически и кинематически возможных схем потери устойчивости сооружения и нарушения прочности основания и учитывать, что опасными могут являться как поверхности, привязанные к различным контурам ослабления (к контакту сооружения с основанием, к системам трещин или единичным трещинам, разломам, зонам дробления в скальном массиве), так и поверхности, проходящие внутри трещиноватого скального массива в направлениях, не совпадающих с трещинами.
В зависимости от конкретных условий следует рассматривать возможность потери устойчивости сооружения или с частью основания или без него.
7.3.2 Расчеты устойчивости всех видов бетонных сооружений наскальных основаниях являются формой проверки прочности на сдвиг контакта сооружения с основанием или самого основания по глубинным поверхностям. Потенциально опасными могут быть поверхности сдвига, проходящие:
- по области контакта сооружения с основанием;
- внутри основания;
- частично по области контакта и частично внутри основания.
При этом следует учитывать, что первая из указанных видов поверхностей сдвига наиболее вероятна для сооружений на основаниях преимущественно с горизонтальной (или близкой к горизонтальной) поверхностью как в пределах контакта с сооружением, так и вне его (для гравитационных и контрфорсных плотин, подпорных стен и др.). Вторая и третья разновидности поверхностей сдвига наиболее вероятны для сооружений, возводимых в узких ущельях или имеющих заглубленную в основание подошву, в том числе для гравитационных и арочных плотин, для подпорных стен, на крутых склонах и т.д., а также при ступенчатой подошве сооружения.
7.3.3 Выбор схемы нарушения устойчивости сооружения или откоса (склона) и определение расчетных поверхностей сдвига следует производить, используя данные анализа инженерно-геологических структурных моделей, отражающих основные элементы трещиноватости скального массива (ориентировку, протяженность, мощность, шероховатость трещин, их частоту и т.д.) и наличие ослабленных прослоев и областей.
При оценке устойчивости скальных откосов необходимо иметь в виду, что характер их обрушения в значительной степени определяется геологическим строением (структурой) и геомеханическими характеристиками скального массива, на основании анализа которых и производится выбор расчетной схемы и метода расчета.
Для скальных откосов потенциально опасными являются поверхности ослабления скального массива (трещины, слабые прослои, тектонические зоны и т.п.).
7.3.4 При оценке устойчивости опорных береговых массивов гидротехнических сооружений (например, арочных плотин) либо любых других скальных массивов при ломаной поверхности сдвига, где смещение массива может быть рассмотрено состоящим из перемещений в двух взаимно пересекающихся направлениях, необходимо рассматривать сдвиг под углом к ребрам ломаной поверхности (продольно - поперечный сдвиг).
Метод оценки устойчивости береговых упорных массивов должен основываться на следующих исходных положениях:
- расчетные опорные скальные блоки рассматриваются как неизменяемое твердое тело;
- в рассмотрение вводятся силы без учета их моментов;
- разложение главного вектора приложенных к блоку активных сил на составляющие производится на направления нормалей к плоскостям сдвига и направление линии их пересечения;
- условием, определяющим кинематику смещения массива, состоящего из виртуальных перемещений в двух взаимно пересекающихся направлениях, является направление главного вектора приложенных сил под углом к ребрам ломаной поверхности сдвига (продольно-поперечный сдвиг);
- условием для перехода от сдвига по граням двугранного угла вдоль линии их пересечения к сдвигу по одной из плоскостей является равенство нулю или отрицательное значение составляющей главного вектора приложенных сил, нормальной к другой из плоскостей сдвига;
- надежность берегового упора определяется результатом расчета наименее устойчивого из выделенных блоков.
7.3.5 Оценка устойчивости сооружений на скальных основаниях, скальных откосов и склонов допускается также производить на основе анализа результатов расчетов напряженно-деформированного состояния системы основание-сооружение.
7.3.6 При расчете устойчивости сооружений и скальных склонов по схеме сдвига вдоль ребер ломаной поверхности (продольный сдвиг) наиболее часто встречается случай сдвига расчетного блока по двум плоскостям, образующим двугранный угол, в направлении вдоль его ребра. Данная расчетная схема применима для скального массива или сооружения, рассматриваемого как единое твердое тело. Силы, воздействующие на расчетный блок призмы обрушения в какой-либо точке или зоне, принимаются как действующие на весь блок в целом. При оценке по данной схеме устойчивости опорных береговых массивов гидротехнических сооружений (например, арочные плотин) возможное смещение расчетного блока поперек призматической поверхности сдвига (поперек ребер) не учитывается.
Величины, входящие в критериальное условие (формула А.3), необходимо определять по формулам:
F = T; (А.13)
(А.14)
где F, R - то же, что в формуле А.3;
T - активная сдвигающая сила (проекция равнодействующей расчетной нагрузки на направление сдвига);
Pi - равнодействующая нормальных напряжений (сил), возникающих на i-м участке поверхности сдвига от расчетных нагрузок;
Rg - сила сопротивления, ориентированная против направления сдвига, возникающая от анкерных усилий и т.д.;
n - число участков поверхности сдвига, назначаемое с учетом неоднородности основания по прочностным и деформационным свойствам;
tgφI,II,i и cI,II,i - расчетные значения характеристик скальных грунтов для i-го участка расчетной поверхности сдвига, определяемые в соответствии с требованиями раздела 5 настоящего приложения;
Ai - площадь i-го участка расчетной поверхности сдвига;
Ed - расчетная сила сопротивления упорного массива (обратной засыпки), определяемая по указаниям 7.3.7 настоящего приложения.
7.3.7 Расчетное значение силы сопротивления упорного массива или обратных засыпок следует определять по формуле:
Еd = γ'сЕp,d, (А.15)
где Ep,d - расчетное значение силы пассивного сопротивления.
Для упорного массива, содержащего поверхности ослабления, по которым данный массив может быть сдвинут, значение Ep,d следует определять без учета характеристик tgφ и с по упорной грани по формуле:
(А.16)
где Q - вес призмы выпора;
А - площадь поверхности сдвига призмы выпора;
α - угол наклона поверхности сдвига (плоскости ослабления) призмы выпора к горизонту;
tgφI,II и cI,II - расчетные значения характеристик грунтов по поверхности сдвига (выпора);
γ'с - коэффициент условий работы, принимаемый в зависимости от соотношения модулей деформации грунта упорного массива (обратной засыпки) Es и основания Ef:
при Es/Ef ≥ 0,8 γ'с = 0,7;
при Es/Ef ≤ 0,1 γ'с = Er/Ep,d;
при 0,1 < Es/Ef < 0,8 γ'с определяется линейной интерполяцией;
Er - давление покоя, определяемое по формуле:
(А.17)
где γ - удельный вес грунта упорного массива (обратной засыпки);
v - коэффициент поперечной деформации грунта упорного массива;
h - высота упора на контакте с сооружением или откосом.
Примечания
1. Сопротивление упорного массива следует учитывать только в случае обеспечения плотного контакта сооружения или откоса с упорным массивом.
2. Силу Er,d следует принимать горизонтальной независимо от наклона упорной грани массива.
7.3.8 При расчете устойчивости сооружений и скальных откосов (склонов) по схеме сдвига с поворотом в плане следует учитывать возможное уменьшение сопротивления сдвигу R против значений сил, устанавливаемых в предположении поступательного движения.
7.3.8 Расчеты устойчивости сооружений и скальных откосов (склонов) по схеме поперечного сдвига следует производить, как правило, расчленяя призму обрушения (сдвига) на взаимодействующие элементы.
Расчленение призмы обрушения (сдвига) на элементы производят в соответствии с характером поверхности сдвига, структурой скального массива призмы и распределением действующих на нее сил. В пределах каждого элемента по поверхности сдвига характеристики прочности скального грунта принимают постоянными.
Выбор направлений расчленения призмы обрушения на элементы и расчетного метода следует производить с учетом геологического строения массива. При наличии пересекающих призму обрушения (сдвига) поверхностей ослабления, по которым возможно достижение предельного равновесия призмы, плоскости раздела между элементами следует располагать по этим поверхностям ослабления.
Расчет устойчивости сооружений и скальных откосов (склонов) по схеме поперечного сдвига в условиях плоской задачи следует, как правило, производить в зависимости от выбранного направления расчленения призмы обрушения (сдвига) на взаимодействующие элементы по любому расчетному методу, удовлетворяющему условиям равновесия в предельном состоянии как для каждого расчетного элемента (группы элементов) призмы, так и для всей призмы обрушения (сдвига) в целом. Допускается использовать для расчетов устойчивости методы, не отвечающие в полной мере вышеприведенным условиям, однако, данные методы должны быть апробированы практикой и использоваться в тех пределах, когда результаты расчетов по ним согласуются с результатами расчетов устойчивости по методам, удовлетворяющим всем условиям равновесия в предельном состоянии.
7.3.10 Для оценки устойчивости сооружений на скальных основаниях и скальных откосов, относимых к I классу, при сложных инженерно-геологических условиях в дополнение к расчету, как правило, следует проводить исследования на моделях.
При экспериментальных исследованиях в моделях оснований сооружений или скальных склонов должны в соответствии с механическими условиями подобия (пород натуры и материала модели) воспроизводиться также наиболее важные особенности натурного массива: структура скального массива, его неоднородность и анизотропия деформационных и прочностных свойств. В первую очередь при этом должны находить отражение потенциально опасные нарушения (трещины, разломы и т.д.) натурного массива.
7.3.11 Вероятностную оценку надежности системы «сооружение - скальное основание», а также скальных откосов и склонов, допускается выполнять в соответствии с положениями 4.7 и 7.1.6 - 7.1.10 настоящего приложения.
8.1 При проектировании основания гидротехнического сооружения необходимо обеспечивать фильтрационную прочность грунтов, устанавливать допустимые по технико-экономическим показателям фильтрационные расходы и противодавление фильтрующейся воды на подошву сооружения.
В зависимости от конструктивного обустройства подземного контура сооружения и гидрогеологических характеристик оснований надлежит определять:
- форму свободной поверхности и распределение напора фильтрационного потока вдоль подземного контура сооружения в каждом из выбранных сечений (створов) расчетной области основания;
- расходы и градиенты напора фильтрационного потока внутри расчетной области основания, особенно в местах сопряжений расчетных грунтовых элементов (РГЭ) с резко отличающимися фильтрационными свойствами, и на участках разгрузки потока (при высачивании на откосы, в дренажные устройства и т.п.);
- силовое воздействие фильтрационного потока на массив грунта основания;
- общую и местную фильтрационную прочность грунтов в основании, причем общую фильтрационную прочность следует оценивать лишь для нескальных грунтов основания, а местную - для всех классов грунтов;
- конструкцию и характеристики дренажного и противофильтрационного обустройства основания сооружения, а также схемы размещения в нем измерительной и регистрирующей аппаратуры, с помощью которой следует контролировать параметры фильтрационных потоков (полей) и суффозионную устойчивость грунтов.
8.2 Исходные для расчетов условия формирования фильтрационных полей в выбранных створах основания надлежит определять путем моделирования фильтрационного потока на физических, аналоговых или численных моделях, позволяющих получать картину распределения напора и градиент - скоростные характеристики потока, как в области ламинарной фильтрации, так и при необходимости - при квадратичном режиме течения фильтрующейся воды.
По результатам моделирования должна быть установлена «активная зона» основания, за пределами которой возможное изменение характеристик слагающих его грунтов существенно не повлияет на условия формирования фильтрационного поля в расчетном створе. В простых, поддающихся несложной схематизации случаях, допускается выполнение фильтрационных расчетов аналитическими методами.
Расчеты и моделирование фильтрационного потока должны осуществляться на базе данных, полученных при инженерных изысканиях, и достаточно полно отражающих геологическую структуру грунтового массива основания, с выделением в нем наиболее характерных по своим фильтрационным свойствам участков, попадающих в «активную зону» области фильтрации, учитывая возможное изменение этих свойств во времени (вследствие увеличения или уменьшения напряжений и деформаций в грунтовой толще основания, криогенных и микробиологических процессов, и т.п.).
8.3 При выполнении фильтрационных расчетов основания (п. 8.1) необходимо учитывать дополнительное обводнение верхних мелкозернистых слоев грунтовой толщи (выше поверхности депрессии) вследствие образования в них пассивной «капиллярной каймы», непосредственно связанной с зоной полного водонасыщения и участвующей в формировании фильтрационного потока в основании. Для этого следует использовать данные, приведенные в таблице А.7.
Таблица А.7
Вид грунта в зоне капиллярного водоудержания |
Высота пассивного зависания «капиллярной каймы» Нк, м |
|
Песок среднезернистый |
0,12 - 0,35 |
|
Песок мелкозернистый |
0,35 - 1,00 |
|
Супесь |
1,00 - 3,00 |
|
Суглинок |
3,00 - 6,00 |
|
Глина легкая |
6,00 - 12,00 |
8.4 Фильтрационную прочность основания следует оценивать, сопоставляя полученные в результате моделирования характеристики фильтрационных полей (градиенты напора, скорости фильтрации) с их критическими значениями (согласно 5.20, 5.33 настоящего приложения).
Если в основании сооружения залегают нескальные грунты, необходимо также определять общую фильтрационную прочность, исходя из условия формулы А.1. При этом параметр F0 полагается равным осредненному градиенту напора Iest,m вдоль подземного контура сооружения, определяемому для сооружений I и II классов по методу удлиненной контурной линии. За параметр R0 принимается расчетный критический градиент напора Icr,m, численные значения которого приведены в разделе 5 настоящего приложения.
Коэффициенты надежности γn и γlc следует принимать по разделу 4 настоящего приложения по первой группе предельных состояний. Коэффициент γc в этом случае равен единице.
Значения Iest,m для оснований I и II классов следует определять по методу удлиненной контурной линии. В отдельных случаях значения Iest,m допускается определять другими приближенными методами.
8.5 Местную фильтрационную прочность нескального основания, которая, в отличие от общей, обусловлена исключительно конкретными проявлениями (видами) нарушения суффозионной устойчивости грунтов, необходимо определять только в следующих областях основания:
- в месте выхода (разгрузки) фильтрационного потока из толщи основания в нижний бьеф, дренажное устройство и т.п.;
- в прослойках суффозионно-неустойчивых грунтов;
- в местах с большим падением напора фильтрационного потока, например, при обтекании подземных преград;
- на участках контакта грунтов с существенно разными фильтрационными свойствами и структурой.
Местную фильтрационную прочность нескального основания надлежит оценивать, исходя из общего условия по формуле А.1, полагая F0 и R0 равными, соответственно, местному градиенту напора Iest в рассматриваемой области основания и местному критическому градиенту напора Icr, определяемым согласно рекомендациям раздела 5 настоящего приложения.
Местную фильтрационную прочность скального основания надлежит оценивать аналогичным образом, исходя из условия А.1, в котором параметры F0 и R0 принимаются равными соответственно средней скорости движения воды в трещинах массива основания Vest,j и критической скорости движения воды в трещинах Vcr,j, определяемыми по указаниям, изложенным в разделе 5 настоящего приложения.
Коэффициенты γn, γlc и γc при оценках местной прочности принимаются такими же, как при расчетах общей фильтрационной прочности.
8.6 При выборе системы дренажного и противофильтрационного обустройства основания проектируемого сооружения необходимо учитывать условия его эксплуатации и требования по охране окружающей среды в части подтопления, заболачивания прилегающей территории, активизации карстово-суффозионных процессов и т.п.
8.7 Устройство противофильтрационных завес (преград) обязательно в тех случаях, когда основание сложено фильтрующими слабоводоустойчивыми и быстрорастворимыми, а также суффозионно неустойчивыми грунтами (гипс, ангидрит, каменная соль, засоленные и загипсованные, а также сильноразнозернистые грунты и т.д.). При водостойких, несуффозионных грунтах наличие завесы должно быть дополнительно обосновано. При обосновании необходимости устройства противофильтрационных завес в мерзлых грунтах следует учитывать требования 12.3 настоящего приложения.
8.8 Противофильтрационные преграды (завесы, понуры, экраны) должны выполняться из малопроницаемых материалов, коэффициент фильтрации которых как минимум в 20 раз меньше коэффициента фильтрации основания. Толщина противофильтрационной завесы должна обеспечивать непревышение критического градиента, определяющего фильтрационную прочность самой завесы. На участках сопряжения завесы с подошвой сооружения в целях уменьшения градиентов напора фильтрационного потока в этом месте и дополнительного уплотнения грунта для предотвращения его суффозии в проекте следует предусматривать местное усиление завесы.
8.9 При близком залегании слабопроницаемых грунтов противофильтрационную завесу следует, как правило, сопрягать с водоупором; при глубоком залегании водоупора рассматривается висячая завеса.
Параметры противофильтрационной завесы (глубину, длину, толщину и местоположение в основании сооружений) следует обосновывать расчетом или результатами экспериментальных исследований. Для сооружений III и IV классов вместо расчетов допускается использовать аналоги.
8.10 При проектировании скальных оснований высоких бетонных плотин следует учитывать, что под напорной гранью в процессе подъема уровня верхнего бьефа (УВБ) может возникнуть зона разуплотнения значительных размеров с разрывом противофильтрационной завесы, многократным увеличением фильтрационных расходов, а также с заметным увеличением противодавления. В связи с этим в проекте должны быть оценены размеры этих зон и предусмотрены технические и технологические решения, обеспечивающие возможность восстановления требуемой водонепроницаемости завесы - как в процессе строительства и подъема УВБ, так и в процессе эксплуатации сооружения.
8.11 В месте сопряжения противофильтрационных устройств грунтовых плотин со скальными грунтами основания или берегами в проектах следует предусматривать укладку и уплотнение грунта, устойчивого к суффозии и способного кольматировать трещины в скале.
8.12 В проектах оснований водоподпорных сооружений в качестве мероприятия по снижению противодавления следует предусматривать разного вида дренажные устройства. В скальных основаниях дренаж следует располагать главным образом со стороны напорной грани сооружения, а при недостаточной эффективности работы такого дренажа - и в средней части его подошвы.
Местоположение дренажа и его размеры следует определять исходя из требований необходимого снижения фильтрационного противодавления на подошву сооружения и обеспечения допустимых значений выходных градиентов напора, не приводящих к нарушению фильтрационной прочности грунтов основания, а в ССКЗ - с учетом теплового режима системы основание-сооружение.
Отказ от устройства дренажа основания допускается при наличии в основании грунтов, подверженных химической или механической суффозии.
8.13 При проектировании противофильтрационной завесы в нескальном основании следует принимать следующие критические градиенты напора:
- в инъекционной завесе в гравийных и галечниковых грунтах - 7,5; в песках крупных и средней крупности - 6,0 и в мелких песках - 4,0;
- в завесе (диафрагме), сооружаемой способом «стена в грунте», в грунтах с коэффициентами фильтрации до 200 м/сут, в зависимости от материала и длительности ее эксплуатации - по таблице А.8, в которой также приведены характеристики материалов, используемые при расчетах механической прочности завесы.
Таблица А.8
|
Материал завесы |
Расчетные значения характеристик |
|||
|
Критический градиент напора Icr |
Предел прочности на одноосное сжатие Rс, МПа |
Модуль деформации Е, МПа |
Коэффициент поперечной деформации |
|
|
Бетон |
180 |
11,5 |
22·103 |
0,20 - 0,22 |
|
Глиноцементобетон |
150 |
1,0 - 2,0 |
300 - 500 |
0,35 - 0,37 |
|
Глиноцементный раствор |
125 |
1,0 - 2,0 |
30 - 50 |
0,37 - 0,40 |
|
Комовая глина |
40 |
- |
20 - 25 |
0,32 - 0,38 |
|
Заглинизированный грунт |
25 |
- |
15 - 20 |
0,30 - 0,35 |
|
Примечание - Для временных завес значения критических градиентов напора допускается увеличивать на 25%. |
||||
8.14 При проектировании противофильтрационной цементационной завесы в скальном основании следует принимать критический градиент напора Icr в завесе в зависимости от удельного водопоглощения в пределах завесы qc по таблице А.9.
В случае, когда завеса (одна или в сочетании с другими противофильтрационными устройствами) также защищает от выщелачивания содержащиеся в основании растворимые грунты, допустимое удельное водопоглощение следует обосновывать либо расчетами, либо экспериментальными исследованиями.
Проницаемость противофильтрационной завесы должна быть меньше проницаемости грунта основания не менее чем в 20 раз.
Таблица А.9
|
Удельное водопоглощение скального грунта в завесе qc, л/(мин·м2) |
Критический градиент напора в завесе |
|
< 0,02 |
35 |
|
0,02 - 0,05 |
25 |
|
> 0,05 |
15 |
8.15 Для предотвращения выпора грунта на участках, где фильтрационный поток с градиентами напора, близкими к единице, выходит на поверхность основания, в проекте необходимо предусматривать проницаемую пригрузку или разгрузочный дренаж. Материал пригрузки должен подбираться по принципу обратного фильтра для защиты грунта основания от контактной суффозии.
Необходимая толщина пригрузки определяется исходя из условия недопущения фильтрационного выпора грунта.
9.1 Расчет местной прочности скальных оснований гидротехнических сооружений следует производить:
- для установления необходимости разработки мероприятий, предотвращающих возможное нарушение противофильтрационных устройств;
- для учета при разработке мероприятий по повышению прочности и устойчивости сооружений;
- для учета достижения предела местной прочности при расчетах напряженно-деформированного состояния системы сооружение - основание.
Расчет местной прочности следует производить для оснований сооружений I и II классов по предельным состояниям второй группы при основном сочетании нагрузок. При этом принимается γn = γlc = 1, γc = 0,95.
Деформационные характеристики основания определяются в соответствии с указаниями 5.29 - 5.31 настоящего приложения.
9.2 Проверку местной прочности скальных оснований следует производить по расчетным площадкам:
- совпадающим с плоскостями, приуроченными к трещинам в массиве;
- совпадающим с плоскостью, приуроченной к контакту сооружение - основание и к контактам скальной породы с укрепительными конструкциями в основании (шпонками, зубьями, решетками и т.п.);
- не совпадающим с плоскостями, приуроченными к трещинам и к контакту сооружение - основание.
9.3 Критериями обеспечения местной прочности по площадкам, указанным в первых двух подпунктах 9.2, являются условия:
σj > Rt,m,II; (A.18)
(А.19)
где Θj - отношение предельных касательных напряжений на расчетной площадке к эксплуатационным;
σj, τj - соответственно нормальное и касательное напряжения на расчетной площадке, приуроченной к плоскости трещины (контакта), от нормативных нагрузок в расчетном сочетании;
σ1, σ3 - соответственно максимальное и минимальное главные напряжения от тех же нагрузок;
βj - острый угол между расчетной площадкой, приуроченной к трещине (контакту), и направлением главного напряжения σ1;
tgφj,II, cj,II - расчетные характеристики для расчетных площадок, приуроченных к трещинам (контакту), определяемые в соответствии с требованиями 5.26 - 5.28 настоящего приложения;
- расчетное значение предела прочности
массива скального грунта на одноосное растяжение, определяемое в соответствии с
требованиями 5.24 настоящего
приложения.
9.4 Критериями обеспечения местной прочности по площадкам, указанным в последнем подпункте 9.2, являются условия:
σ3 > Rt,m,II; (А.20)
(А.21)
где tgφm,II, cm,II - расчетные характеристики для расчетных площадок, не приуроченных к трещинам и контакту сооружение - основание, определяемые в соответствии с требованиями 5.26 - 5.28 настоящего приложения.
9.5 Условие формулы А.1 при оценках возможности разуплотнения массива следует проверять во всех указанных в 9.1 случаях, а при оценках возможности пластических деформаций - в этих же случаях, но только при σ3 < 0. Если σ3 > 0, то последние проверки следует производить лишь для учета нарушений прочности основания при расчетах его напряженно-деформированного состояния и при разработке мероприятий по повышению прочности и устойчивости сооружения.
При оценке надежности противофильтрационных устройств проверка выполнения условия формулы А.1 (если σ3 < 0) при оценке разуплотнения основания для площадок, совпадающих с плоскостью завес, не производится.
При невыполнении приведенных выше критериев местной прочности необходимо определить очертания зон разуплотнения и пластических деформаций.
Зона разуплотнения не должна пересекать цементационную завесу и дренаж. В противном случае должны быть выполнены фильтрационные расчеты в соответствии с указаниями раздела 8 настоящего приложения в нелинейной постановке с учетом измененного фильтрационного режима.
Зона пластических деформаций не должна охватывать более 1/3 подошвы сооружения или потенциально опасной расчетной поверхности сдвига.
9.6 При определении напряжений σj, τj, σ1, σ3 в формулах А.18 - А.21 следует применять вычислительные и экспериментальные методы механики сплошной среды и геомеханики.
Допускается рассматривать основание совместно с сооружением как систему линейно-деформируемых тел, на контакте между которыми выполняются условия равновесия и равенства перемещений.
При обосновании допускается схематизация системы сооружение - основание, позволяющая решать плоскую задачу теории упругости применительно к одному или к нескольким плоским сечениям. При этом поверхность основания может быть принята плоской, а тело основания - как однородным, так и состоящим из некоторого числа однородных областей либо имеющим непрерывно изменяющиеся характеристики. При необходимости следует учитывать естественный рельеф поверхности основания, пространственный характер работы системы сооружение - основание, а также детализировать распределение механических характеристик основания.
Рекомендуется в надлежащих случаях при определении напряженного состояния основания учитывать возможную анизотропию его свойств.
Если при определении напряжений в некоторых областях основания одно или несколько из условий, определенных по формулам А.18 - А.21, не выполняется, то следует производить уточнение решения задачи. Такое уточнение следует выполнять с использованием нелинейной зависимости между напряжениями и деформациями или путем изменения геометрии сечения за счет исключения из рассмотрения указанных областей.
10.1 Напряжения в основании сооружения необходимо определять для использования их в расчетах прочности конструкций и сооружений, устойчивости сооружений, а также в расчетах осадок, несущей способности и местной прочности оснований.
При проектировании сооружений на скальных основаниях определение контактных напряжений необходимо для обоснования проектирования противофильтрационных мероприятий и оценки фильтрационной надежности подземного контура сооружений. Расположение цементационной завесы под плотиной в области, где имеют место растягивающие напряжения, резко снижает эффективность завесы, что требует разработки специальных конструктивных решений для обеспечения надежности подземного контура сооружения.
10.2 При определении напряжений необходимо учитывать конструктивные особенности сооружения, последовательность его возведения, вид основания, а при залегании в основании мерзлых грунтов или возможном его промораживании - расположение талых и мерзлых зон, а также последовательность замораживания и оттаивания.
При расчете напряжений на контакте грунта с железобетонными распластанными конструкциями гидротехнических сооружений (плитами водобоев и рисберм плотин, возводимых на нескальных основаниях, плитами доков и т.п.) рекомендуется учитывать:
- понижение жесткости железобетонных конструкций с учетом образования трещин ограниченного раскрытия, регламентированного нормами проектирования бетонных и железобетонных конструкций гидротехнических сооружений;
- в бетонных и железобетонных конструкциях, возводимых на скальных и нескальных основаниях, последовательность укладки бетона отдельными блоками бетонирования.
10.3 В целях уменьшения усилий в конструкциях или в элементах сооружения при проектировании следует рассматривать возможность создания оптимального распределения контактных напряжений, предусматривая устройство выступов на подошве сооружений, уплотнения отдельных зон основания и соответствующую последовательность возведения и загружения сооружения.
10.4 При определении напряжений в основаниях следует применять численные методы механики сплошной среды и геомеханики с использованием вычислительной техники. При этом должны соблюдаться требования 11.4 настоящего приложения.
Контактные напряжения, как правило, следует вычислять по специальным программам, реализующим аналитические решения задачи или численные методы расчета (по напряжениям в окрестности контакта).
10.5 При использовании численных методов допускается схематизация системы сооружение - основание, позволяющая решать плоские задачи применительно к одному или нескольким плоским сечениям. Неоднородность расчетных сечений следует учитывать, представляя их состоящими из некоторого числа однородных областей. При необходимости пространственный характер работы системы следует учитывать с помощью экспериментальных или вычислительных методов механики сплошной среды.
Расчетную область сечения основания рекомендуется ограничивать по вертикали на глубине сжимаемого слоя Нс, определяемой согласно 11.5, 11.6 настоящего приложения, а по горизонтали - на расстоянии не менее Нс от сооружения.
Упрощенные методы расчета напряжений на контакте сооружения и основания
10.6 Контактные напряжения для сооружений I и II классов допускается, а для сооружений III и IV классов рекомендуется определять упрощенными методами в соответствии с требованиями 10.8 - 10.14 настоящего раздела.
10.7 В расчетах прочности сооружений при использовании эпюр контактных напряжений, полученных из решения задач теории упругости, следует рассматривать дополнительно и вторую эпюру контактных напряжений, вычисленную одним из рекомендуемых упрощенных методов (10.9 - 10.14 настоящего раздела). Если полученные при этом изгибающие моменты имеют разные полярности, то при расчетах прочности рекомендуется использовать оба значения, уменьшенные на 10% разности этих величин, а если одинаковые - то лишь больший изгибающий момент, также уменьшенный на указанную величину.
10.8 При определении контактных напряжений следует учитывать показатель гибкости сооружения tfl. В случаях, когда показатель гибкости tfl < 1, контактные напряжения следует определять как для абсолютно жестких сооружений. При tfl < 1 контактные напряжения определяются с учетом гибкости сооружений.
10.9 Для сооружений с показателем гибкости tfl < 1 на однородных основаниях контактные напряжения определяют методом внецентренного сжатия, а для песчаных оснований с относительной плотностью грунта Dd ≤ 0,5 - методом экспериментальных эпюр по обязательному приложению А.3.
Экспериментальные эпюры имеют параболическое очертание со следующими значениями центральных ординат в случаях, когда равнодействующая всех внешних сил проходит через центр подошвы сооружения:
при Nσ = 0,5 - 1,18σm;
при Nc = 1,0 - 1,22σm;
при Nσ = 2,0 - 1,28σm;
при Nc = 3,0 - 1,34σm;
Здесь Nσ и σm - то же, что в п. 7.2.2 настоящего приложения.
При наличии на части подошвы сооружения растягивающих нормальных контактных напряжений этот участок должен быть исключен из расчетной контактной поверхности, а для оставшейся части контактные напряжения должны быть пересчитаны.
10.10 При определении контактных напряжений с учетом гибкости сооружений допускается применять метод коэффициента постели. Гибкость элементов конструкции следует определять с учетом возможности образования трещин.
10.11 При использовании методов коэффициента постели и внецентренного сжатия касательные контактные напряжения допускается принимать распределенными равномерно, а при использовании метода экспериментальных эпюр - пропорционально нормальным контактным напряжениям.
Касательные напряжения, обусловленные действием вертикальных сил, при расчетах прочности сооружений, как правило, не учитываются. При получении на участке подошвы сооружения касательных напряжений, превышающих предельные, они должны быть приняты равными предельным, а на остальных участках они должны быть соответственно откорректированы на основе расчетов.
10.12 При неоднородных основаниях с вертикальными и крутопадающими слоями в расчетах контактных напряжений допускается использовать приближенные методы, в которых контактные напряжения следует принимать пропорциональными модулям деформации грунта каждого слоя в зависимости от их размеров и эксцентриситета приложения нагрузки. В пределах каждого слоя распределение контактных напряжений принимается линейным.
10.13 При наличии в основании слоев переменной толщины или при наклонном залегании слоев в расчетах контактных напряжений используют приближенные методы, основанные на приведении расчетной схемы основания со слоями переменной толщины или при наклонном залегании слоев к схеме условного основания с вертикально расположенными слоями.
При горизонтальном расположении слоев грунта постоянной толщины неоднородность основания может не учитываться.
10.14 При определении нормальных контактных напряжений методами экспериментальных эпюр и коэффициента постели учет неоднородности основания следует производить путем сложения ординат эпюр, определенных по 10.9, 10.10 настоящего раздела в предположении однородных оснований с ординатами дополнительной эпюры. Ординаты дополнительной эпюры следует принимать равными разности ординат эпюр, построенных для случаев неоднородного и однородного оснований с использованием метода внецентренного сжатия.
11.1 Расчет оснований и грунтовых сооружений (плотин и др.) по деформациям необходимо производить с целью обоснования конструкции системы «сооружение - грунтовое основание» или ее элементов, перемещения которых (осадки, горизонтальные перемещения, крены и пр.) не должны превосходить нормируемые критерии, гарантирующие по этому фактору нормальные условия их эксплуатации и обеспечивающие техническую надежность и долговечность. При этом прочность и трещиностойкость конструкции должны быть подтверждены расчетом, учитывающим усилия, которые возникают при взаимодействии сооружения с основанием.
Расчет по деформациям должен производиться на основные сочетания нагрузок, а при соответствующем обосновании - и на особые сочетания нагрузок, с учетом характера их действия в процессе строительства и эксплуатации сооружения (последовательности и скорости возведения сооружения, графика наполнения водохранилища и т.д.).
Перемещения оснований сооружений, происходящие в процессе строительства, допускается не учитывать, если они не влияют на эксплуатационную пригодность сооружения.
11.2 Расчеты оснований по деформациям производят по предельным состояниям первой или второй групп (4.5.1, 4.5.2 настоящего приложения). Они должны включать расчетный прогноз деформаций основания и сооружения при совместной их работе и проверку выполнения условия А.1, в котором должно приниматься F0 = S и R0 = Su. Здесь S - совместная деформация основания и сооружения (осадки, горизонтальные перемещения, крены и др.), Su - предельное значение совместной деформации основания и сооружения, устанавливаемые по 11.3 - 11.10 настоящего раздела.
Коэффициенты γn и γlc принимаются в соответствии с указаниями 4.5 настоящего приложения; коэффициент γc во всех случаях принимается равным единице.
Прогнозные значения деформаций S рекомендуется использовать также для анализа поведения систем «основание - сооружение» при оценках их надежности в период эксплуатации. При этом значения S рекомендуется определять в более широком диапазоне нагрузок, чем эксплуатационные.
11.3 Предельные значения совместной деформации основания и сооружения R0 = Su устанавливают техническими условиями проектирования конкретных типов гидротехнических сооружений, исходя из необходимости соблюдения:
- технологических требований к деформациям сооружения, включая требования к нормальной эксплуатации оборудования;
- требований к прочности, устойчивости и трещиностойкости конструкций, включая общую устойчивость сооружения.
При назначении R0 = Su необходимо учитывать допускаемую разность осадок между секциями и частями сооружений, не приводящую к нарушению нормальной работы межсекционных швов, возможность перелива воды через гребень плотины, нарушения нормальной эксплуатации связанных с сооружением коммуникаций и т.п.
11.4 Значения совместной деформации F0 = S в условии А.1 следует определять, используя расчетные методы механики сплошной среды, исходя из условий совместной работы сооружения и основания. При этом должны быть в достаточной степени учтены реальные особенности работы системы сооружение - основание: пространственный характер деформирования, нелинейная связь между напряжениями и деформациями, последовательность возведения сооружения и приложения нагрузок, процессы консолидации и ползучести.
При этом определение деформаций сооружения и основания в зависимости от их класса и этапа проектирования следует производить как упрощенными (инженерными) методами расчета, регламентированными в 11.5 - 11.7 настоящего раздела, так и вычислительными методами, базирующимися на более детальной схематизации системы сооружение - основание и на использовании более совершенных математических моделей грунта (нелинейных, упругопластических, в том числе учитывающих многофазность, реологические свойства грунтов и т.д.).
Значения деформаций сооружений и их оснований в период эксплуатации следует определять с учетом развития процессов консолидации и ползучести грунтов. При этом надлежит использовать указанные выше вычислительные методы. На предварительных стадиях проектирования и для сооружений III и IV классов определение нестабилизированных значений деформации допускается производить упрощенными (инженерными) методами, например, на основе решений одномерных задач консолидации и ползучести.
В тех случаях, когда для определения деформаций обязательным является использование нескольких указанных методов (11.6, 11.7 настоящего раздела), условие А.1 должно выполняться для всех этих случаев.
11.5 Расчетная схема системы сооружение - основание должна разрабатываться с учетом факторов, определяющих напряженное состояние и деформации основания и сооружения (конструктивных особенностей сооружения, технологии его возведения, характера сложения и свойств грунтов основания, возможности их изменения в процессе строительства и эксплуатации сооружения, характера внешних воздействий и т.п.)
Расчеты деформаций системы сооружение - основание в необходимых случаях следует производить для условий пространственной задачи. Для сооружений, длина которых превышает ширину более, чем в три раза, расчеты допускается производить для условий плоской деформации. В случае, когда ширина сооружения превышает толщину сжимаемой толщи Нс, определенную по указаниям 11.6 настоящего раздела, в два раза и более, допускается расчет осадок производить для условия одномерной (компрессионной) задачи.
11.6 Определение суммарных осадок s в зависимости от класса и этапа проектирования сооружений, расположенных на нескальных основаниях, следует производить методом послойного суммирования и вычислительными методами в соответствии с 11.4 настоящего раздела.
На предварительных стадиях проектирования (для сооружений III и IV классов - на всех стадиях проектирования) для определения значений s допускается ограничиться методом послойного суммирования. При этом основание сооружения следует схематизировать линейно-деформируемым полупространством с условным ограничением сжимаемой толщи Нс, определяемой с учетом следующих условий:
при ширине подошвы сооружения b ≤ 20 м - по нормам проектирования гражданских сооружений;
при b > 20 м - из условия
σz,p = 0,5σz(2),
где σz,p - вертикальные напряжения от внешней нагрузки на нижней границе сжимаемой толщи грунта (суммарные напряжения от сооружения, соседних зданий и сооружений, от боковых пригрузок и т.д., возникающие после начала возведения сооружений);
σz(2) - максимальные вертикальные напряжения в грунте до строительства сооружения.
При расположении нижней границы слоя в грунте с E < 5 МПа или при залегании такого грунта непосредственно ниже этой границы он включается в сжимаемую толщу. Нижнюю границу сжимаемого слоя в этом грунте следует определять, исходя из условия σz,p = 0,2σz(2).
При залегании грунтов с модулем деформации E > 200 МПа в пределах Нс глубина сжимаемой толщи ограничивается кровлей этого грунта.
Значения напряжений должны определяться с учетом фильтрационных сил и взвешивающего действия воды ниже уровня грунтовых вод.
11.7 Крен (наклон) сооружений следует определять в случаях: несимметрично приложенной нагрузки в пределах площади подошвы сооружения и пригрузки основания вне подошвы сооружения, влияния соседних фундаментов, а также при неоднородности грунтового основания.
Определение суммарных кренов i в зависимости от класса и этапа проектирования сооружений, расположенных на нескальных основаниях, должно производиться как упрощенными методами расчета, так и вычислительными методами. На предварительных стадиях проектирования (для сооружений III и IV классов - на всех стадиях проектирования) для определения значений i (при достаточно однородных или горизонтально-слоистых основаниях) допускается ограничиться использованием упрощенных методов расчета, в которых крен определяется с использованием осредненных характеристик основания и сооружения. При существенно неоднородных основаниях определение суммарного крена должно выполняться только вычислительными методами, с учетом влияния пригрузок и соседних фундаментов.
11.8 Расчет горизонтальных перемещений сооружений на нескальных основаниях и элементов сооружения, воспринимающих горизонтальную нагрузку (например, подпорные стены, здания ГЭС, анкерные устройства), следует производить вычислительными методами, учитывающими развитие областей пластических деформаций, в соответствии с указаниями 11.4 настоящего раздела.
11.9 Расчет осадок и горизонтальных перемещений плотин из грунтовых материалов и оснований и их изменения во времени следует производить в соответствии с указаниями приложения Б Стандарта и настоящего раздела. Деформации скального основания при этом, как правило, можно не учитывать.
11.10 Расчет перемещений бетонных и железобетонных сооружений, возводимых на скальных основаниях, как правило, следует производить только для сооружений I класса.
При расчете перемещений, если отношение ширины напорного фронта сооружения bh к напору на сооружение H составляет bh/h < 5, следует рассматривать пространственную задачу, если bh/h ≥ 5 - плоскую. Условная толщина деформируемого слоя основания в расчетах принимается равной ширине подошвы сооружения b.
На стадии технико-экономического обоснования строительства скальное основание допускается рассматривать в виде линейно-деформируемой среды.
Обеспечение сопряжения сооружения с основанием
12.1 При проектировании оснований сооружений следует предусматривать конструктивные и технологические мероприятия по сопряжению сооружения с основанием, обеспечивающие устойчивость сооружения, прочность основания (в том числе фильтрационную), допустимое напряженно-деформированное и термическое состояние сооружения и его основания при всех расчетных сочетаниях нагрузок и воздействий на весь проектный срок их эксплуатации и период строительства.
12.2 При проектировании сопряжений сооружений со скальными и нескальными основаниями следует учитывать, что:
- разработка котлована под сооружение ведет к разгрузке и к разуплотнению грунтового массива основания и, как следствие, к увеличению его водопроницаемости и деформируемости и к уменьшению параметров сопротивления сдвигу;
- возведение сооружения ведет к пригрузке и к уплотнению массива основания, уменьшению его водопроницаемости и деформируемости и к увеличению параметров сопротивления сдвигу, особенно сильно проявляющихся для скальных оснований.
12.3 В проекте оснований сооружений должны быть разработаны мероприятия, обеспечивающие предотвращение в процессе строительства снижения ниже принятых в расчетах прочностных, деформационных и фильтрационных характеристик грунтов основания за счет промерзания, выветривания, разуплотнения и разжижения грунтов, а также исключающие возможность фильтрации напорных вод через дно котлована и его непроектное затопление.
12.4 В процессе строительства и эксплуатации следует осуществлять геотехконтроль с оперативной оценкой физико-механических характеристик грунтов основания. При неблагоприятных отклонениях характеристик грунтов следует произвести корректировку проекта производства работ или сооружения.
12.5 При проектировании сопряжений сооружений с основанием следует, как правило, предусматривать экономически целесообразное удаление или замену слабых (или ослабленных в процессе строительства), а также сильнольдистых, распученных (для высоких плотин при использовании I принципа строительства), резко изменяющих физико-механические и тепло-физические свойства при оттаивании (при использовании II принципа строительства) грунтов с поверхности на глубину, ниже которой характеристики грунтов (с учетом возможного их улучшения) удовлетворяют условиям устойчивости сооружения, прочности основания и заданного фильтрационного режима.
Примечания
1. При гидротехническом строительстве в северной строительно-климатической зоне под термином «принцип строительства» понимается следующее (приложение Б.1):
принцип строительства I: Вечномерзлые грунты основания плотины сохраняются в мерзлом состоянии при ее строительстве и эксплуатации, а талые грунты противофильтрационного устройства плотины и его основания замораживаются до начала заполнения водохранилища и сохраняются в мерзлом состоянии при эксплуатации.
принцип строительства II: Допускается оттаивание вечномерзлых грунтов основания в ходе строительства и эксплуатации плотины или искусственное их оттаивание на заданную глубину до начала заполнения водохранилища.
2 Принцип строительства (с сохранением или оттаиванием вечномерзлых грунтов) следует выбирать на основании технико-экономического анализа.
12.6 При проектировании сопряжения бетонных сооружений со скальным основанием в случаях, если удаление грунтов в значительных объемах экономически нецелесообразно, для обеспечения выполнения требований устойчивости сооружения или его береговых упоров, прочности и деформируемости основания, для уменьшения объемов удаления скального грунта необходимо рассматривать следующие мероприятия:
- снижение противодавления в основании подпорных сооружений и береговых массивов примыканий,
- создание уклона в сторону верхнего бьефа на контакте сооружения с основанием, сложенным скальными и полускальными грунтами, имеющими относительно низкие прочностные характеристики контакта бетон-скала;
- создание упора в основании со стороны нижнего бьефа в случае наличия более прочных грунтов под носком плотины или передачи части усилия от плотины на здание ГЭС, на конструкции водобойного колодца и т.д.;
- применение конструкций, обеспечивающих наиболее благоприятное направление усилий и воздействий на основание и береговые примыкания сооружения.
- анкеровку секций сооружения и береговых примыканий при наличии достаточно прочных грунтов в основании;
- инъекционное укрепление грунтов основания при достаточно развитой трещиноватости массива при отсутствии глинистого заполнителя трещин;
- заделку горным способом крупных геологических нарушений в основании плотины и их выходов на поверхность и другие конструктивные мероприятия.
При недостаточной технико-экономической эффективности указанных мероприятий должно быть предусмотрено заглубление подошвы сооружения в более сохранную зону скальных грунтов.
12.7 Для обеспечения устойчивости бетонных сооружений на нескальных основаниях, обеспечения прочности и допустимых осадок и смещений при проектировании сопряжения сооружения с основанием в необходимых случаях следует предусматривать:
- устройство верхового и низового зубьев, уклон подошвы сооружения в сторону верхнего бьефа;
- дренирование малопроницаемых слоев основания;
- механическое и инъекционное уплотнение и укрепление грунтов и другие мероприятия.
12.8 В проектах грунтовых плотин, возводимых на нескальном основании, как правило, следует предусматривать специальную подготовку основания на участках сопряжения противофильтрационных элементов с основанием.
При этом должны быть разработаны и обоснованные мероприятия, предотвращающие недопустимые деформации и потерю устойчивости сооружений и недопустимые фильтрационные расходы.
Подготовку оснований, как правило, следует производить в осушенном (дренированном) котловане, не допуская разуплотнения и разжижения верхнего слоя грунта.
12.9 При проектировании сопряжений плотин из грунтовых материалов со скальным основанием следует предусматривать мероприятия, направленные на обеспечение устойчивости плотин, уменьшение неравномерных деформаций основания и сооружения, предотвращение суффозии и недопустимого снижения прочности грунта основания при его водонасыщении и т.д. Проектирование сопряжений сооружений из грунтовых материалов с основанием следует производить в соответствии с требованиями главы 5.1.2. При обосновании допускается строительство грунтовых плотин на основаниях, содержащих водорастворимые включения.
12.10 При проектировании сопряжения противофильтрационных элементов грунтовых плотин, возводимых на скальном основании, должны быть предусмотрены: удаление разрушенной скалы, разделка и бетонирование разведочных геологических и строительных выработок, крупных трещин.
Следует также, как правило, предусматривать следующие мероприятия: устройство бетонной плиты, покрытие скалы торкретом, инъекционное уплотнение части основания, прилегающей к подошве водонепроницаемого элемента.
При проектировании сопряжений противофильтрационных элементов грунтовых плотин следует учитывать также требования 5.1.2 и приложения Б Стандарта.
12.11 На участках сопряжения с основанием частей профиля плотины, выполняемых из более водопроницаемых материалов (упорных призм, банкетов и т.д.), чем противофильтрационные устройства, удаление разборной разрушенной (выветрелой) скалы не обязательно.
При проектировании сооружений с сохранением мерзлых грунтов в основании (I принцип) следует предусматривать в необходимых случаях теплозащитный слой, убираемый непосредственно перед укладкой материала приконтактной зоны сооружения.
12.12 Глубина заложения подошвы сооружения должна определяться исходя из необходимости обеспечения требуемой надежности сооружения по устойчивости, допустимым смещениям и осадкам, по несущей способности, фильтрационной прочности основания.
При этом глубину заложения подошвы сооружений следует принимать минимально возможной с учетом:
- особенностей сооружений;
- гидрогеологических, геологических, топографических и климатических условий площадки строительства;
- размыва грунтов в нижнем бьефе;
- судоходных уровней воды и др.
Для мелиоративных гидротехнических сооружений допускается принимать глубину заложения их подошвы независимо от глубины промерзания, при этом необходимо учитывать указания 12.7 настоящего раздела.
12.13 Размеры, в том числе глубина врезки бетонного гидротехнического сооружения в скальное основание должна быть во всех случаях обоснована в проекте сооружения и удовлетворять следующим требованиям:
- устойчивости сооружения на сдвиг;
- местной прочности основания;
- надежности подземного контура.
12.14 При проектировании сопряжений бетонных и железобетонных сооружений со скальным основанием следует предусматривать:
- удаление интенсивно выветрелых грунтов (разборного слоя), имеющих низкие прочностные и деформационные характеристики и слабо поддающихся омоноличиванию из-за наличия глинистого заполнителя в трещинах;
- для оснований, имеющих крупные нарушения и области глубокого избирательного выветривания - и удаление грунта, объем которого следует принимать на основе результатов расчетов напряженного состояния и устойчивости сооружения.
Закрепление и уплотнение грунтов оснований
12.15 Для повышения несущей способности оснований, уменьшения осадок и смещений, а также для обеспечения требуемой проектом водонепроницаемости и фильтрационной прочности грунтов в необходимых случаях следует предусматривать закрепление и уплотнение грунтов.
Для этого могут быть использованы цементация, химические методы закрепления, замораживание грунтов, механическое уплотнение, дренирование массива, устройство набивных свай и т.д.
12.16 Необходимость в таких мероприятиях, как правило, должна обуславливаться наличием в основании неблагоприятных геологических и гидрогеологических условий, в частности:
- залегания в основании грунтов с пониженной прочностью и повышенной деформированностью;
- крупных нарушений сплошности скального основания;
- неоднородности массива основания, выражающейся в значительной изменчивости механических свойств в различных его зонах;
- залеганием в основании сильно водопроницаемых и суффозионных грунтов;
- значительной фильтрационной проницаемости скального массива, обусловленной его трещиноватостью, а также экологическими требованиями по защите окружающей среды.
12.17 При проектировании сопряжения бетонных подпорных сооружений со скальным основанием при необходимости следует предусматривать закрепление грунтов в области, примыкающей к низовой грани сооружения, а также закрепление и уплотнение выходов в пределах контура сооружения и основания крупных трещин, тектонических зон и других разрывных нарушений и прослоев ослабленных грунтов. Рекомендуется, как правило, также укрепление контакта бетонного сооружения со скальным основанием. Сплошное усиление основания должно быть обосновано.
12.18 При проектировании подпорных сооружений I и II классов определение способа и объемов работ по укреплению основания должно обосновываться расчетами, а для сооружений I класса при необходимости и экспериментальными исследованиями напряженно-деформированного состояния сооружения и основания. Для сооружений, проектируемых на основании, сложенном мерзлыми грунтами, рекомендуется выполнение опытных экспериментальных исследований и для сооружений II и III классов.
Для сооружений III и IV классов на всех стадиях проектирования, а также для сооружений I и II классов на стадии технико-экономического обоснования способы и объемы работ по укреплению основания допускается устанавливать по аналогам.
1 Классификация по трещиноватости скальных массивов
Таблица А.1.1
|
Степень трещиноватости |
Модуль трещиноватости Mj |
Показатель качества породы RQD, % |
Коэффициент трещинной пустотности КТ.П. % |
Объем породных блоков, дм |
Относительная деформируемость Е/ЕБ, % |
Относительная скорость упругих волн VР/VP,Б,% |
|
Очень слаботрещиноватые |
< 1,5 |
> 90 |
< 0,5 |
Тысячи |
> 70 |
> 95 |
|
Слаботрещиноватые |
1,5 - 5 |
75 - 90 |
0,5 - 1,0 |
Сотни |
50 - 70 |
85 - 95 |
|
Среднетрещиноватые |
5 - 10 |
50 - 75 |
1,0 - 1,5 |
Десятки - сотни |
25 - 50 |
65 - 85 |
|
Сильнотрещиноватые |
10 - 30 |
25 - 50 |
1,5 - 2,5 |
Единицы - десятки |
10 - 25 |
48 - 65 |
|
Очень сильнотрещиноватые |
> 30 |
0 - 25 |
> 1 |
< 1 |
3 - 10 |
33 - 48 |
|
Mj - число трещин на 1 м линии измерения нормально главной или главным системам трещин; RQD - отношение общей длины сохранных кусков керна длиной более 10 см к длине пробуренного интервала в скважине; КТ.П. - отношение суммарной площади трещин к площади породы; Е, VP - модуль деформации, скорость распространения продольных волн в массиве; Еб , VP,б - то же в породном блоке (отдельности). Примечание Слаботрещиноватые и очень сильнотрещиноватые массивы рекомендуется характеризовать одним значением Mj, относящимся к любой системе трещин. Средне- и сильнотрещиноватые массивы могут характеризоваться несколькими значениями Mj, относящимися к различным главным системам трещин. |
||||||
2 Классификация скальных массивов по водопроницаемости
Таблица А.1.2
|
Степень водопроницаемости |
Коэффициент фильтрации К, м/сут |
Удельное водопоглощение q, л/мин·м2 |
|
Практически водонепроницаемые |
< 0,005 |
< 0,01 |
|
Слабоводопроницаемые |
0,005 - 0,3 |
0,01 - 0,1 |
|
Водопроницаемые |
0, - 3 |
0, - 1 |
|
Сильноводопроницаемые |
3 - 30 |
1 - 10 |
|
Очень сильноводопроницаемые |
> 30 |
> 10 |
3 Классификация по деформируемости
Таблица А.1.3
|
Степень деформируемости |
Модуль деформации массива Е, 102МПа |
|
Очень слабодеформируемые |
> 20 |
|
Слабодеформируемые |
10 - 20 |
|
Среднедеформируемые |
5 - 10 |
|
Сильно деформируемые |
2 - 5 |
|
Очень сильно деформируемые |
< 2 |
4 Классификация скальных массивов по степени выветрелости
Таблица А.1.4
|
Степень выветрелости |
Коэффициент выветрелости KW |
Коэффициент трещинной пустотности КТП, % |
Раскрытие трещин Δa, мм |
|
Сильно-выветрелые |
< 0,8 |
> 3 |
> 5 |
|
Выветрелые |
0,8 - 0,9 |
от 3 - 1 |
1 - 5 |
|
Слабо-выветрелые |
0 - 1,0 |
1 - 0,5 |
0,5 - 1 |
|
Невыветрелые |
1,0 |
< 0,5 |
0,1 - 0,5 |
|
KW - отношение плотности выветрелого образца грунта к плотности невыветрелого образца того же грунта. |
|||
Примечание -
Степень выветрелости скального грунта, характеризуемая таблицей А.1.4, тесно связана с разгрузкой скального массива. По степени развития этих явлений скальные массивы по мере их заглубления от дневной поверхности рекомендуется разделять на четыре зоны (или подзоны), которые, кроме указанных в таблице А.1.4 показателей, характеризуются также следующим:
- зона А сильной разгрузки и выветривания обычно сложена малопрочными породными блоками существенно измененного химико-минерального состава и имеет большее число разноориентированных трещин, как правило, заполненных рыхлыми продуктами выветривания материнской породы или привнесенным мелкоземом;
- зона Б средней степени разгрузки и выветривания имеет заметно измененную окраску, но малоизмененный минеральный и химический состав породных блоков, учащенные и расширенные трещины с заполнителем из мелкозема и местное интенсивное избирательное выветривание;
- зона В слабой разгрузки и выветривания характеризуется несколько большим, чем в неизмененном массиве, количеством трещин и наличием вдоль некоторых трещин слабого избирательного выветривания;
- зона Г не затронута разгрузкой и выветриванием.
5 Классификация по характеру нарушения сплошности скального массива
Таблица А.1.5
|
Характер нарушения сплошности массива |
Мощность зоны дробления разломов или ширина трещин |
Протяженность нарушения |
|
Разломы I порядка - глубинные, сейсмогенные |
Сотни и тысячи метров |
Сотни и тысячи километров |
|
Разломы II порядка - глубинные, несейсмогенные и частично сейсмогенные |
Десятки и сотни метров |
Десятки и сотни километров |
|
Разломы III порядка |
Метры и десятки метров |
Километры и десятки километров |
|
Разломы IV порядка |
Десятки и сотни сантиметров |
Сотни и тысячи метров |
|
Трещины V порядка (крупные) |
(2 - 10) см |
(10 - 100)м |
|
Трещины VI порядка (средние) |
(10 - 20) мм |
(1 - 10) м |
|
Трещины VII порядка (мелкие) |
(2 - 10) мм |
(0,1 - 1) м |
|
Трещины VIII порядка (тонкие) |
(1 - 2) мм |
< 0,1 м |
|
Трещины IX порядка (локальные- внутри пластов, слоев, породных блоков) |
< 1 мм |
< 0,1 м |
Примечания1 Мощность зоны влияния нарушения оценивается на порядок больше мощности зоны дробления или ширины трещины; 2 Амплитуда смещения разломов - на 1-1,5 порядка меньше протяженности нарушения. |
||
6 Классификация скальных массивов по характеру сложения
По характеру сложения целесообразно выделять следующие категории массивов:
- массивные крупноблочные (слабо расчлененные, плохо поддающиеся избирательному выветриванию);
- блочные (с четко выраженным расчленением на отдельности, ограниченные поверхностями ослабления, выветриваются преимущественно избирательно);
- слоистые (с преобладающей системой трещин, неравномерно избирательно выветривающиеся);
- плитчатые (сильно расчлененные, легко поддающиеся неравномерному избирательному выветриванию).
7 Классификация скальных массивов по степени однородности
По степени однородности рекомендуется выделять следующие категории массивов:
- однородные (квазиоднородные), сложенные одним типом пород, изменение значений характеристик которого по каждому классификационному признаку не выходит за пределы, соответствующей одной категории (т.е. указанные в одной строке в таблицах А.1.1 - А.1.4);
- неоднородные, сложенные несколькими различными типами породили содержащие отдельные зоны, значения характеристик которых по всем или некоторым классификационным признакам варьируются в пределах, соответствующих двум категориям;
- очень неоднородные, сложенные несколькими различными типами пород и содержащие отдельные зоны, значения характеристик в которых по всем или по большинству признаков варьируются в пределах, соответствующих трем или даже всем четырем категориям.
8 Классификация по степени льдистости грунтов
Таблица А.1.6
|
Степень льдистости |
Льдистость за счет видимых ледяных включений грунта ij, % |
|
|
скального грунта |
нескального грунта |
|
|
Очень слабая |
< 0,1 |
< 3 |
|
Слабая |
0,1 < ij <0 ,5 |
3 < ij < 20 |
|
Средняя |
0,5 < ij < 1 |
20 < ij < 40 |
|
Сильная |
1 <ij < 5 |
40 < ij <60 |
|
Очень сильная |
> 5 |
> 60 |
9 Классификация мерзлых нескальных грунтов по степени цементации их льдом
Рекомендуется выделять следующие категории мерзлых грунтов:
- твердомерзлые грунты - прочно сцементированные льдом, характеризующиеся относительно хрупким разрушением и температурой, указанной в таблице А.1.7;
- пластичномерзлые грунты - сцементированные льдом, обладающие вязкими свойствами и температурой, указанной в таблице А.1.7;
- сыпучемерзлые грунты - крупнообломочные и песчаные, не сцементированные льдом вследствие малой их влажности.
Таблица А.1.7
Вид грунтов |
Разновидность грунта |
|||
|
Твердомерзлый при t < tT, °C |
пластичномерзлый при t, °C |
сыпучемерзлый при t, °C |
||
|
Скальные и полускальные |
tT = 0 |
- |
- |
|
|
Крупнообломочные |
tT = 0 |
- |
- |
|
|
Пески гравелистые, крупные и средней крупности |
tT = -0,1 |
tT < t < tНЗ |
Wc < 0,03 |
|
|
Пески мелкие и пылеватые |
tT < -0,3 |
tT < t < tНЗ при Sr < 0,8 |
- |
|
|
|
Супесь |
tT = -0,6 |
|
|
|
Глинистые |
Суглинок |
tT = -1,0 |
- |
|
|
|
Глина |
tT = -1,5 |
|
- |
|
Заторфованный |
t1T = -0,7(Jr + tT) |
tT < t < tНЗ |
- |
|
|
Торф |
- |
t < 0 |
- |
|
|
Примечание - tT - температура границы твердомерзлого состояния минеральных грунтов; t1T - то же, для заторфованных грунтов; tНЗ - температура начала замерзания; Jr - относительное содержание органического вещества; Sr - коэффициент водонасыщения. |
||||
Коэффициенты надежности
γс - коэффициент условий работы;
γg - коэффициент надежности по грунту;
γn - коэффициент надежности по степени ответственности сооружения;
γlc - коэффициент сочетания нагрузок;
γ'c - коэффициент условий работы, учитывающий зависимость реактивного давления грунта с низовой стороны сооружения от горизонтального смещения сооружения при потере им устойчивости.
Характеристики грунтов
Xn - нормативное значение характеристики;
Х - расчетное значение;
α - доверительная вероятность расчетных значений;
ρ - плотность;
ρd - плотность в сухом состоянии;
ρg - плотность частиц;
IL - показатель текучести;
γ - удельный вес;
е - коэффициент пористости;
a - коэффициент уплотнения;
с - удельное сцепление;
φ - угол внутреннего трения;
Е - модуль деформации;
v - коэффициент поперечной деформации (Пуассона) ;
k - коэффициент фильтрации;
cυ - коэффициент консолидации;
c0υ - коэффициент степени консолидации;
U1 - степень первичной консолидации;
U2 - степень вторичной консолидации;
μ1, μ - коэффициенты упругой и гравитационной водоотдачи;
δcrp, δ1,crp - параметры ползучести;
q - коэффициент водопоглощения;
Icr, Iest - градиенты напора соответственно критический и действующий;
υcr, υest - критическая и действующая скорости фильтрации;
tfl - показатель гибкости фундамента;
Rc (Rc,m) - предел прочности на одноосное сжатие отдельности (массива) скальных грунтов;
Rt (Rt,m ) - предел прочности на одноосное растяжение отдельности (массива) скальных грунтов;
Rcs,m - предел прочности на смятие массива скального грунта;
υl, υs - скорости распространения продольных и поперечных волн в скальном массиве.
Нагрузки, напряжения, сопротивления
F - обобщенная расчетная сдвигающая сила;
R - обобщенная расчетная сила предельного сопротивления грунта;
Rpl - расчетное значение предельного сопротивления при плоском сдвиге;
Rg - расчетные силы сопротивления свай, анкеров;
Ru - расчетная сила предельного сопротивления на участке сдвига с выпором;
Ep,tw - расчетное значение горизонтальных составляющих пассивного давления грунта с низовой стороны сооружения;
Ea,hw - расчетное значение горизонтальных составляющих активного давления грунта с верховой стороны сооружения;
Ф - суммарная фильтрационная сила;
q - равномерно распределенная вертикальная пригрузка;
σ - нормальное напряжение;
τ - касательное напряжение;
u - избыточное давление в поровой воде;
σz - вертикальное нормальное напряжение;
σz,g - то же, от собственного веса грунта;
σz,p - то же, дополнительное от внешней нагрузки;
Nσ - число моделирования.
Деформации оснований и сооружений
S - совместная деформация основания и сооружения;
Su - предельное значение совместной деформации основания и сооружения;
St - нестабилизированная совместная деформация основания и сооружения;
s, и, i - соответственно осадка, горизонтальное перемещение и крен сооружения.
Геометрические характеристики
l - длина сооружения;
b - ширина сооружения;
h - высота сооружения;
А - площадь подошвы сооружения;
е - эксцентриситет;
r - радиус;
h - толщина слоя грунта;
hc - высота консолидируемого слоя;
Нc - глубина сжимаемой толщи;
Hdis - толщина смещаемого слоя;
αj,d - угол падения трещины;
αj,l - угол простирания трещины;
lj - длина трещины;
bj - ширина раскрытия трещины.
Нормальные контактные напряжения методом экспериментальных эпюр определяются:
- в случае, когда равнодействующая всех внешних сил P проходит через центр подошвы сооружения, по формуле:
(А.3.1)
где σх - нормальное контактное напряжение в точке, находящейся на расстоянии х от центра подошвы сооружения;
- относительное нормальное контактное
напряжение в соответствующей точке, определяемое по таблице А.3.1 в зависимости
от
(ниже уровня воды
удельный вес грунта следует принимать с учетом взвешивающего действия воды);
σm - среднее нормальное контактное напряжение по подошве сооружения:
![]()
-
в
случае внецентренного приложения к основанию равнодействующей внешних сип и
отсутствия растягивающих напряжений по контакту подошвы фундамента с основанием
при
по формуле:
(А.3.2)
где
, х - то же, что в формуле (А.3.1);
eр - эксцентриситет приложения нагрузки, нормальной к плоскости подошвы сооружения;
тk - коэффициент, определяемый по таблице А.3.2.
Примечание - При подстановке в формулу (А.3.2) ep и x следует учитывать их полярность относительно начала координат, принимаемого в центре подошвы сооружения.
Таблица А.3.1 - Значения ![]()
|
|
|
||||||
|
0,5 |
1 |
2 |
4 |
6 |
8 |
10 |
|
|
0 |
1,18 |
1,22 |
1,28 |
1,34 |
1,38 |
1,40 |
1,42 |
|
0,1 |
1,17 |
1,21 |
1,27 |
1,32 |
1,36 |
1,38 |
1,40 |
|
0,2 |
1,16 |
1,20 |
1,25 |
1,29 |
1,33 |
1,35 |
1,36 |
|
0,3 |
1,14 |
1,17 |
1,20 |
1,24 |
1,27 |
1,29 |
1,30 |
|
0,4 |
1,11 |
1,14 |
1,15 |
1,18 |
1,20 |
1,22 |
1,23 |
|
0,5 |
1,08 |
1,09 |
1,09 |
1,10 |
1,11 |
1,12 |
1,12 |
|
0,6 |
1,03 |
1,02 |
1,01 |
1,00 |
0,99 |
0,98 |
0,98 |
|
0,7 |
0,98 |
0,95 |
0,91 |
0,87 |
0,85 |
0,83 |
0,82 |
|
0,8 |
0,92 |
0,87 |
0,80 |
0,74 |
0,70 |
0,67 |
0,65 |
|
0,9 |
0,82 |
0,74 |
0,68 |
0,59 |
0,50 |
0,46 |
0,43 |
|
1,0 |
0 |
0 |
0 |
0 |
0 |
0 |
0 |
Таблица А.3.2 - Значения коэффициента mk
|
Число моделирования Nσ |
0,5 |
1 |
2 |
4 |
6 |
8 |
10 |
|
Коэффициент тk |
1,221 |
1,296 |
1,345 |
1,402 |
1,464 |
1,501 |
1,628 |
Разработаны ОАО "ВНИИГ им. Б.Е. Веденеева" совместно с филиалом ОАО "Инженерный центр ЕЭС" - "Институт Гидропроект", ОАО "Инженерный центр ЕЭС" - Филиал "Институт Ленгидропроект", ОАО "НИИЭС", ОАО Типроречтранс"; при участии ООО Тидроспецпроект", ОАО "Ленморниипроект", Санкт-Петербургского государственного политехнического университета (СПб ГПУ).
Исполнители:
от ОАО "ВНИИГ им. Б.Е. Веденеева" - Беллендир Е.Н. - д.т.н., Глаговский В.Б. - д.т.н., Гольдин А.Л. - д.т.н., проф., Жиленков В.Н. - д.т.н., Каган А.А.- д.г.-м.н., Кривоногова Н.Ф.- к.г.-м.н., Кузнецов B.C.- к.т.н., Липовецкая Т.Ф. - инж., Прокопович B.C. -к.т.н., Сапегин Д.Д. - д.т.н., Смирнов Ю.Г. - к.т.н., Финагенов О.М. - д.т.н., Фрейберг Э.А. - к.т.н., Ширяев Р.А. - к.т.н.;
от филиала ОАО "Инженерный центр ЕЭС" - "Институт Гидропроект" - Арипов Н.Ф. - к.т.н., Зарецкий Ю.К. - д.т.н., Кондратьев Н.Н. - инж., Крылова Е.В. - инж., Лашманова B.C. - инж., Мгалобелов Ю.Б. - д.т.н., Мирошникова Л.С. - к.г.-м.н., Новоженин В.Д. - к.т.н., Ременяк М.Б. - к.г.-м.н., Речицкий В.И, - к.т.н., Сергеев И.П. -инж., Юдкевич А.И. - к.г.-м.н.;
от ОАО "Инженерный центр ЕЭС" - Филиал "Институт Ленгидропроект" - Суслопаров В.А. - инж., Боярский В. М. - инж.;
от ОАО "НИИЭС" Борткевич СВ. - к.т.н., Еникеев Ф.Г. - инженер, Иващенко И.Н. - д.т.н., Ильин Ю.Л. - к.т.н.;
от ООО "Гидроспецпроект" - Аргал Э.С. - к.т.н., Пониматкин П.У. - инж, Малышев Л.И. - д.т.н.;
от ОАО "Гипроречтранс" - Даревский В.Э. - к.т.н., Романов A.M. - инж.;
от ОАО "Ленморниипроект" - Долинский А.А. - д.т.н., Златоверховников Л.Ф. - к.т.н.;
от СПб ГПУ - Бугров А.К. - д.т.н., Пирогов И.А. - к.г.-м.н.
Настоящее приложение устанавливает обязательные основные требования, которые должны быть соблюдены при проектировании грунтовых гидротехнических сооружений.
В настоящем приложении содержатся основные требования по проектированию плотин из грунтовых материалов (земляных насыпных, земляных намывных, каменноземляных, каменнонабросных и взрывонабросных) в различных природных условиях, в том числе в северной строительно-климатической зоне. Приведены также требования к охране окружающей среды при создании плотин из грунтовых материалов, даются указания по реконструкции плотин и необходимым ремонтным работам.
Требования настоящего приложения распространяются на проектирование новых и реконструкцию существующих плотин (или напорных дамб) из грунтовых материалов (земляных насыпных и намывных, каменноземляных и каменнонабросных), входящих в состав систем различных видов строительства (энергетического, гидроэнергетического).
При проектировании плотин, предназначенных для строительства в сейсмических районах, на просадочных и набухающих грунтах, а также на площадках, подверженных оползням, селям и карсту, надлежит учитывать дополнительные требования, предъявляемые к строительству сооружений в указанных условиях.
См. нормативные ссылки к Стандарту.
Раздел соответствует разделу 3 Стандарта.
4.1 Инженерные изыскания, в том числе инженерно-геодезические, инженерно- геологические, гидрометеорологические, необходимые для проектирования и строительства плотин из грунтовых материалов, следует проводить с учетом специфики гидротехнического строительства и дополнительными исходными данными, содержащимися в задании на проектирование и учитывающими конкретные условия проектируемого объекта.
Объем и методика инженерно-геологических изысканий, площадь и глубина изучения инженерно-геологического разреза должны соответствовать стадии проектирования, сложности природной обстановки, типу и параметрам плотины.
4.2 Плотины из грунтовых материалов в зависимости от материала их тел и противофильтрационных устройств, а также способов возведения, подразделяют на типы, основные из которых указаны в таблице Б.1.
Таблица Б.1
|
Тип плотины |
Отличительные признаки |
|
Земляная насыпная (раздел 5) |
Грунты от глинистых до гравийно-галечниковых; отсыпают насухо с уплотнением или в воду |
|
Земляная намывная (раздел 6) |
Грунты от глинистых до песчано-гравийных и гравийно-галечниковых; намывают средствами гидромеханизации |
|
Каменноземляная (раздел 7) |
Грунты тела - крупнообломочные; противофильтрационных устройств - от глинистых до мелкопесчаных |
|
Каменнонабросная (раздел 8) |
Грунты тела - крупнообломочные; противофильтрационные устройства из не грунтовых материалов или комбинированные: грунт + инъекция, и т.п. |
4.3 Тип плотины по таблице Б.1 следует выбирать в зависимости от топографических и инженерно-геологических условий основания и берегов, гидрологических и климатических условий района строительства, величины напора воды, наличия грунтовых строительных материалов, сейсмичности района, общей схемы организации строительства и производства работ, особенностей пропуска строительных расходов воды, сроков ввода в эксплуатацию и условий эксплуатации плотины.
Тип и конструкцию плотины следует выбирать на основании технико-экономического сравнения вариантов, учитывающих технологию строительных работ, а также общую компоновку гидроузла. Сравниваемые варианты должны иметь одинаковую степень проработанности и надежности. Для возведения плотины из грунтовых материалов надлежит предусматривать использование грунта и камня, полученных из полезных выемок и близко расположенных карьеров.
4.4 Возведение плотин из грунтовых материалов возможно как на скальных, так и на нескальных грунтах основания.
Возведение плотин на нескальных грунтах основания, содержащих водорастворимые включения в количестве большем, чем указано в 2.5 настоящего приложения, допускается только после проведения исследований скорости рассоления и выщелачивания и учета этих процессов при оценке фильтрационного расхода, устойчивости и деформируемости сооружения. Для предотвращения выщелачивания грунтов основания могут предусматриваться различные конструктивные меры (например, устройство понуров, зубьев, завес, подача насыщенных растворов в основание плотины и др.).
При строительстве плотин из грунтовых материалов на торфяном и заторфованном основании необходимо выполнять исследования по прогнозу разложения торфа во времени и учету этого процесса при обосновании устойчивости сооружения.
Плотины на илистых грунтах допускается возводить только при наличии надлежащего обоснования.
4.5 При оценке качества грунтов нескального основания надлежит обращать особое внимание на наличие в нем:
- суффозионных и просадочных грунтов;
- грунтов, в которых при возведении плотины может развиваться поровое давление в связи с их консолидацией.
4.6 При оценке качества скального основания следует обращать особое внимание на наличие в нем:
- покровных отложений - площади их распространения, мощности и физико-механических свойств;
- неустойчивых массивов, обрушение которых может существенно повлиять на строительство и эксплуатацию плотины;
- зон разломов и трещин разгрузки, ориентированных вдоль долины;
- трещин, заполненных малопрочными или легковымываемыми грунтами;
- тектонических нарушений;
- ослабленных зон, которые могут под влиянием фильтрации и насыщения их водой оказаться неустойчивыми и разрушаться;
- участков карста, его природы, закономерностей развития.
4.7 Основные расчеты при проектировании плотин из грунтовых материалов следует выполнять в соответствии с требованиями раздела 9 настоящего приложения.
4.8 При проектировании плотин из грунтовых материалов следует учитывать способ производства работ по их возведению. Для каждого элемента плотин должны быть разработаны технические условия на его возведение с учетом материала, способа производства работ, климатических, инженерно-геологических и других местных условий, предусматривать также контроль качества работ, обеспечивающего надежную работу плотин. Технические условия могут изменяться и уточняться в процессе строительства.
4.9 В проектах плотин необходимо предусматривать специальный проект контрольно-измерительной аппаратуры (КИА) для проведения натурных наблюдений за работой сооружения как в процессе строительства, так и в период его эксплуатации.
4.10 Реконструкцию плотин из грунтовых материалов следует осуществлять при необходимости:
- повышения требований к надежности сооружения и условиям его эксплуатации;
- повышения экономичности сооружения за счет уменьшения потерь воды и затрат на его эксплуатацию;
- увеличения призмы регулирования водохранилища;
- изменения условий эксплуатации;
- выполнения требований по охране природной среды.
4.11 Проектами реконструкции плотин из грунтовых материалов должны быть учтены результаты обследований эксплуатируемого сооружения и необходимость реконструкции сопрягающихся с ним сооружений (водосливных плотин, водосливов, зданий ГЭС, шлюзов, рыбопропускных сооружений и др.).
4.12 В проектах грунтовых плотин при соответствующем обосновании следует предусматривать возможность их реконструкции в период эксплуатации с учетом 4.10 настоящего приложения.
Физико-механические, фильтрационные и теплофизические характеристики грунтов
4.13 Для проектирования плотин и дамб из грунтовых материалов необходимо определять характеристики грунтов, предназначенных для укладки в тело сооружений. Основными из этих характеристик являются:
- зерновой состав, а для глинистых грунтов, отсыпаемых в воду, дополнительно количественное содержание комьев грунта по размеру;
- плотность грунта ρ;
- плотность частиц грунта ρs;
- влажность грунта W;
- плотность сухого грунта ρd; для сыпучих грунтов также в предельно плотном ρd,max и предельно рыхлом ρd,min состоянии, коэффициент уплотнения kcom;
оптимальная влажность Wopt и оптимальная плотность сухого грунта ρd,opt. Для глинистых грунтов эти величины определяют с учетом конкретных типов грунтоуплотняющих механизмов;
- границы пластичности для глинистых грунтов (текучести WL и раскатывания Wp), а при необходимости - максимальная молекулярная влагоемкость Wm, а также минеральный состав глинистых частиц (процентное содержание глинистых минералов - каолинита, монтморолинита, гидрослюды);
- показатели прочности: угол внутреннего трения φ, удельное сцепление c;
- показатели деформируемости: коэффициент уплотнения а, модуль деформации Е и коэффициент поперечного расширения v;
- показатели просадочности для глинистых (лессовых) грунтов;
- показатели набухания и усадки для глинистых грунтов, а также пучения при воздействии отрицательных температур;
- коэффициент фильтрации k;
- показатели фильтрационной прочности грунтов, критические градиенты напора (при расчетах выпора Icr,u, суффозии Icr,p и контактного размыва Icr,c) и критические скорости фильтрации.
Кроме того, необходимо определить содержание в грунтах водорастворимых солей, а также органических примесей и степень их разложения. Для камня и крупнообломочных пород следует определять водопоглощение.
Характеристики грунтов (прочностные, деформационные, фильтрационные) следует определять экспериментально, с учетом состояния по плотности, влажности и температуре, в котором грунты будут находиться в плотине в процессе ее строительства и эксплуатации; для плотин I класса - с учетом последовательности возведения и вида напряженно-деформированного и температурно-влажностного состояния.
4.14 Для проектирования плотин I и II классов дополнительно к характеристикам грунтов, указанным в 4.13 настоящего приложения, следует определять:
- сопротивление сжатию и коэффициент размягчаемости исходной горной породы - для камня и крупнообломочных грунтов;
- фильтрационные и прочностные характеристики намытых грунтов с учетом анизотропии;
- прочность на одноосное растяжение σt (в случаях необходимости проверки трещиностойкости глинистых противофильтрационных устройств плотин и дамб);
4.15 Характеристики грунтов, предназначенных для укладки в тело плотин и дамб, а также грунтов их оснований следует устанавливать по материалам инженерно- геологических и геомеханических исследований.
При проектировании грунтовых сооружений из искусственных смесей их характеристики, перечисленные в 4.13 настоящего приложения, определяют путем специальных исследований.
Характеристики грунтов намывных плотин устанавливают с учетом данных о плотинах - аналогах, возведенных из карьерных грунтов, близких по зерновому составу и форме частиц к грунтам проектируемого сооружения и результатам проведения опытного намыва.
При назначении характеристик грунтов намывных плотин надлежит учитывать фильтрационные и прочностные характеристики с учетом анизотропии, изменение их показателей с течением времени по данным аналогов и исследований или по результатам проведения опытного намыва.
Для неоднородных земляных намывных плотин (6.1 настоящего приложения) физико-механические характеристики намытого грунта следует определять отдельно для каждой зоны.
4.16 Нормативные и расчетные значения характеристик грунтов (плотность, прочностные, деформационные и фильтрационные показатели и т.д.) следует устанавливать путем статистической обработки результатов полевых и лабораторных определений.
Расчетные значения характеристик намываемого грунта (песчаного, гравийного, галечникового) выше уровня воды могут приниматься по таблице Б.2 с корректировкой по результатам опытного намыва.
Таблица Б.2
Грунт |
Плотность сухого грунта ρd, т/м3 |
Угол внутреннего трения водонасыщенного грунта φ, ° |
Коэффициент фильтрации k, м/сут |
|
Песок: |
|
|
|
|
- пылеватый |
1,35 - 1,50 |
22 - 24 |
0,5 - 5 |
|
- мелкий и средний |
1,45 - 1,60 |
24 - 30 |
2 - 25 |
|
- крупный |
1,55 - 1,65 |
30 - 32 |
5 - 35 |
|
- гравелистый |
1,60 - 1,75 |
32 - 34 |
10 - 50 |
|
Гравийный с содержанием песка < 50% |
1,70 - 1,90 |
34 - 36 |
> 30 |
|
Примечания 1 Данные приведены для грунтов с плотностью частиц ρs = 2,65÷2,70 т/м3. 2 Большие значения плотности ρd и коэффициента фильтрации k относятся к грунту с зернами окатанной формы, меньшие - к грунту с неокатанными зернами. 3 Большие значения угла внутреннего трения относятся к грунту с неокатанными зернами, меньшие - к грунту с зернами окатанной формы. 4 При учете анизотропии намытых песчаных грунтов рекомендуется в расчетах фильтрации и устойчивости откосов намывных плотин корректировать приведенные значения коэффициента фильтрации и угла внутреннего трения согласно опытным данным. |
|||
Плотность сухого грунта для частей намывных плотин, намытых под воду, следует принимать как среднее арифметическое плотности сухого грунта ρd и плотности ρd,min намываемого грунта в максимально рыхлом состоянии.
Прочностные характеристики крупнообломочных грунтов допускается определять по аналогам и на основе моделирования их составов и проведения испытаний на модельных смесях.
4.17 За расчетные значения плотности сухого грунта в теле плотины следует принимать величины ρd, соответствующие односторонней доверительной вероятности α = 0,95. Контрольные показатели физико-механических характеристик грунта для сооружения в целом или отдельных его частей устанавливают при расчетной плотности ρd.
4.18 Плотность сложения грунта может назначаться переменной по высоте земляных насыпных, каменно-набросных плотин с учетом:
- изменчивости состава и свойств грунтового материала в карьере и расположения грунта в теле плотины (как по высоте, так и по элементам профиля);
- внешних нагрузок;
- напряженно- деформированного состояния;
- способа отсыпки и уплотнения грунтового материала и интенсивности возведения.
Следует учитывать изменение физико-механических свойств грунта в процессе строительства и эксплуатации сооружения, большую плотность грунта назначают для нижних частей плотины.
Для плотин, отсыпаемых напрямую из карьеров, в случае неоднородности их состава и свойств по площади и (или) по глубине плотность укладки грунта назначают в соответствии с 4.17 настоящего приложения, исходя из конкретных грунтовых условий разрабатываемого участка месторождения.
Для плотин, возводимых в сейсмических районах, плотность сложения грунта в верхней части их профиля должна назначаться в соответствии с требованиями проекта. Размеры этой части определяют расчетом в зависимости от конструкции плотины.
Окончательно необходимую плотность сложения грунта принимают по результатам сравнения технико-экономических показателей разрабатываемых вариантов.
4.19 В проектах необходимо предусматривать геотехнический контроль состояния тела и основания плотины в процессе ее возведения.
4.20 Для плотин I и II классов из грунтовых материалов следует предусматривать на стадии не позднее технического проекта опытные отсыпку и укатку или намыв грунтов на участках, предпочтительно располагаемых в пределах профильных объемов проектируемого сооружения, для отработки технологии строительных работ, уточнения расчетных характеристик, а для намывных плотин также для определения фракционирования грунта по длине откоса намыва.
Плотность крупнообломочных грунтов каменноземляных и каменнонабросных плотин III и IV классов допускается назначать по аналогам с учетом зернового состава грунта, прочности камня на сжатие, толщины отсыпаемого слоя, а также методов его уплотнения.
4.21 Проект организации строительства земляных сооружений разрабатывается в составе проекта генеральным проектировщиком в объеме, предусмотренным соответствующими строительными нормами. Проект производства работ по возведению плотины из грунтовых материалов разрабатывается генподрядной или субподрядной организацией. Исходными данными для его составления являются материалы проекта плотины, проекта организации строительства, рабочие чертежи.
4.22 При наличии особых условий строительства в составе проекта организации строительства должны быть разработаны специальные требования к ведению работ, технические решения и мероприятия, обеспечивающие производство работ и определены дополнительные затраты, вызванные усложнением работ. К числу особых сложностей при производстве работ относятся:
- выемки при значительных притоках подземных вод, заболоченности и обводненности участков, требующие специальных систем по водопонижению и водоотводу, обеспечивающих условие фильтрационной прочности грунта основания или заполнителя тектонических трещин;
- разработка выемок при наличии, оползней, карстовых явлений;
- разработка котлованов и траншей глубиной более 5 м или сложной конфигурации, требующих специальных креплений;
- подготовка оснований под плотину при строительстве на просадочных, набухающих и засоленных грунтах, слабых водонасыщенных грунтах, илах, торфах, плывунах;
- производство работ по укреплению оснований (цементация, глинизация, силикатизация и т.д.);
- техническая мелиорация грунтов, предназначенных к укладке в плотину;
- возведение насыпей из переувлажненных грунтов;
- производство земляных работ в зимнее время;
- укрепление склонов и откосов (в т.ч. в горных условиях) различными методами;
- производство работ в условиях большой снего- и пылезаносимости;
- производство работ в сложных топографических условиях, на узком фронте работ;
- производство работ с грунтами, изменяющими свои свойства под воздействием внешних факторов: осадков, солнечных лучей и т.п.;
- разработка котлованов бортовых примыканий при строительстве плотин в створах с крутыми бортами.
Проекты производства работ по возведению грунтовых плотин и подготовке оснований в особых грунтовых условиях разрабатываются генеральным проектировщиком или по его заданию субподрядной проектной организацией.
4.23 Проектом организации строительства плотин из грунтовых материалов помимо общих требований должны быть предусмотрены следующие основные решения:
- способы разработки грунта в выемках, карьерах и при планировочных работах, генеральные и вспомогательные механизмы;
- способы технической мелиорации грунтов, улучшающие их строительные свойства;
- способы подготовки оснований сооружений;
- способы транспортировки грунта;
- способы укладки грунта в насыпи, обратные засыпки и при планировочных работах;
- баланс разрабатываемых и укладываемых грунтов;
- карьеры, необходимые для покрытия дефицита в грунтах и способы их разработки;
- мероприятия, обеспечивающие производство работ в зимнее время;
- организация водоотвода и водоотлива;
- устройство отвалов непригодных к использованию грунтов и почвенно-растительного слоя;
- мероприятия по рекультивации земель;
- другие требования, вызванные особыми условиями строительства.
4.24 Баланс грунтовых масс, разрабатываемых и укладываемых в пределах строительной площадки, должен составляться из расчета наиболее выгодного распределения и перемещения грунта в пространстве и времени с учетом следующих факторов:
- сроков и последовательности производства работ на объектах строительства;
- осадок основания и тела насыпей и обратных засыпок при заданной степени их уплотнения;
- наличия свободных площадей на стройплощадке для временного хранения грунта;
- объемов и допустимого срока хранения снятого плодородного слоя грунта, а также заготовленных грунтов с учетом их смерзания в буртах и резервах;
- потерь грунта при транспортировании от воздействия ветра, а для подводных укладок - также потерь грунта в результате размыва и колебания уровня воды в акватории;
- пропускной способности временных дорог и подземных путей, в особенности пионерных траншей и насыпей;
- пригодности грунта из полезных выемок для обратных засыпок и насыпей, предусмотрев максимально возможное использование грунтов из полезных выемок без промежуточного складирования.
При выполнении работ способом гидромеханизации в балансе земляных масс должны учитываться дополнительные объемы грунта на сброс, переборы, перемыв, технологические и другие, отражаемые в проекте, потери.
5.1 Земляные насыпные плотины по конструкции тела и противофильтрационных устройств в теле и основании подразделяют на виды, основные из которых, указаны в таблице Б.3 и на рисунке Б.1.
Таблица Б.3
|
Элементы плотины |
Вид плотины |
|
Тело плотины |
- однородная (рисунок Б.1, а) |
|
- неоднородная (рисунок Б.1, б, в) с экраном из негрунтовых материалов (рисунок Б.1, г) |
|
|
- с грунтовым ядром (вертикальным или наклонным), (рисунок Б.1, д) |
|
|
- с негрунтовой диафрагмой (рисунок Б.1, е) |
|
|
- с грунтовым экраном (рисунок Б.1, ж) |
|
|
Противофильтрационное устройство в основании плотины |
- с зубом (рисунок Б.1, г) |
|
- с инъекционной (цементационной и др.) завесой (рисунок Б.1, д) |
|
|
- со стенкой, шпунтом (рисунок Б.1, е) |
|
|
- с понуром (рисунок Б.1, ж) |
|
Примечания1 Грунтовые противофильтрационные устройства неоднородной плотины при большой их толщине bum (h/bum < 1.0) называют верховыми (рисунок Б.1,б) или центральными (рисунок Б.1,в) призмами (противофильтрационными), соответственно их расположению. 2 Конструкции тела плотины могут сочетаться с различными конструкциями противофильтрационных устройств в ее основании; выбор зависит от инженерно-геологических условий, физико-механических характеристик основания и обосновывается расчетами и технико-экономическим сопоставлением вариантов. Возможно сопряжение тела плотины с основанием без противофильтрационных устройств (рисунок Б.1). |
|
5.2 При проектировании земляных насыпных плотин на нескальном основании следует отдавать предпочтение однородным плотинам, а также плотинам с грунтовым противофильтрационном устройством (призмой, ядром, экраном).
5.3 При возведении плотин в две или несколько очередей следует, как правило, проектировать их однородными или неоднородными - с противофильтрационной верховой призмой или экраном.
Примечание - Каждая очередь плотины должна обладать требуемой фильтрационной прочностью и устойчивостью.
5.4 Земляные плотины, дамбы, противофильтрационные устройства напорных сооружений в виде грунтовых экранов, ядер, понуров, можно возводить отсыпкой грунтов в воду.
Грунт отсыпают в воду как в искусственные прудки, так и в естественные водоемы (без постройки перемычек и организации водоотлива) с учетом глубин и скоростей течения.

1 - тело плотины; 2 - поверхность депрессии; 3 - дренаж; 4 - крепление откоса; 5 - верховая противофильтрационная призма; 6 - диафрагма; 7 - верховая призма; 8 - низовая призма; 9 - переходные слои; 10 - экран из негрунтовых материалов; 11 - грунтовое ядро; 12 - центральная грунтовая противофильтрационная призма; 13 - шпунт или стенка; 14 - понур; 15 - инъекционная (цементационная) завеса (висячая); 16 - зуб; 17 - подэкрановый слой; 18 - грунтовый экран.
h - высота плотины; b - ширина плотины по низу; bum - ширина противофильтрационного устройства по низу; bup - ширина плотины по гребню; mh - коэффициент верхового откоса; mt - коэффициент низового откоса.
Рисунок Б.1 - Виды земляных насыпных плотин
Требования к материалам
5.5 Земляные насыпные плотины можно возводить из всех видов грунтов, за исключением:
- содержащих водорастворимые включения хлоридных солей более 5% по массе, сульфатных или сульфатно-хлоридных более 10% по массе;
- содержащих не полностью разложившиеся органические вещества (например, остатки растений) более 5% по массе или полностью разложившиеся органические вещества, находящиеся в аморфном состоянии, более 8% по массе.
Указанные в подпунктах 1 и 2 грунты допускается применять для создания тела плотины при наличии соответствующего обоснования, при условии проведения необходимых защитных инженерных мероприятий, а также соблюдения правил охраны поверхностных вод от загрязнения.
5.6 Для создания грунтовых противофильтрационных устройств в теле и основании плотины (экраны, ядра, понуры, зубья) следует применять слабоводопроницаемые грунты.
При выборе этих грунтов надлежит учитывать что:
- наиболее пригодными являются глинистые с коэффициентом фильтрации k < 0,1 м/сут и при числе пластичности Ip ≥ 0,05 (при соответствующем обосновании Ip ≥ 0,03), а также искусственные грунтовые смеси, содержащие глинистые, песчаные, дресвяные и крупнообломочные грунты; состав грунтовой смеси следует определять по результатам исследований и проверки его в производственных условиях на опытных отсыпках и выбирать на основании технико-экономического сравнения вариантов;
для экранов и понуров временных сооружений и плотин III и IV классов допускается применять торф (с учетом указаний 4.4 настоящего приложения), причем необходимо предусматривать защитное покрытие из минеральных грунтов;
5.7 Песчаные грунты (мелкие, средней крупности и крупные) следует применять для однородных плотин и плотин с центральной или верховой противофильтрационной призмой, если обеспечивается фильтрационная прочность грунтов плотины, а величина фильтрационного расхода воды через ее тело допустима по результатам водохозяйственных и энергоэкономических расчетов.
5.8 Песчаные и крупнообломочные грунты допускается применять без ограничений для призм земляных насыпных плотин при обеспечении их сопряжения с противофильтрационным устройством и основанием. Указанные грунты должны обладать требуемой прочностью, морозостойкостью и водостойкостью.
Откосы и гребень плотины
5.9 Крутизну откосов плотины надлежит назначать, исходя из условия их устойчивости, с учетом:
- физико-механических характеристик грунтов тела плотины и основания;
- действующих на откосы сил: собственного веса грунтов тела плотины, воздействия воды (взвешивания, фильтрационных сил, капиллярного давления), сейсмических и динамических воздействий, внешних нагрузок на гребне и откосах и др.;
- высоты плотины;
- производства работ по возведению плотины;
- условий ее эксплуатации;
- свойств материала и особенностей конструкции противофильтрационных устройств и характера их силового воздействия на упорные призмы плотины.
При предварительном назначении крутизны откосов допускается пользоваться аналогичными данными построенных сооружений с последующей проверкой расчетом устойчивости откосов.
5.10 На откосах плотин, как правило, следует предусматривать устройство берм, определяя их число в зависимости от высоты плотины, условий производства работ, типов крепления откоса и его общей устойчивости.
Бермы следует предусматривать на верховом откосе у нижней границы его крепления для создания необходимого упора, на низовом откосе - для служебных проездов, сбора и отвода атмосферных вод, размещения контрольно-измерительной аппаратуры (КИА).
5.11 Ширину гребня плотины следует устанавливать в зависимости от условий производства работ и эксплуатации (использования гребня для проезда, прохода и других целей), но не менее 4,5 м.
Ширину гребня плотины в местах сопряжения с другими сооружениями или с берегами следует устанавливать в соответствии с конструкцией сопряжения и необходимостью создания технологических площадок.
5.12 Отметку гребня плотины следует назначать на основе расчета возвышения его над расчетным уровнем воды.
Возвышение гребня плотины надлежит определять для двух случаев стояния уровня воды в верхнем бьефе:
- при нормальном подпорном уровне (НПУ) или при более высоком уровне, соответствующем пропуску максимального паводка, входящего в основное сочетание нагрузок и воздействий;
- при форсированном подпорном уровне (ФПУ), или другом уровне, относимом к особым сочетаниям нагрузок и воздействий.
Возвышение гребня плотины hs в обоих случаях определяется по формуле
hs = Ñhset + hrun1% + a, (Б.1)
где Ñhset - ветровой нагон воды в верхнем бьефе;
hrun1% - высота наката ветровых волн обеспеченностью 1%;
а - запас возвышения гребня плотины; запас а определяют как большую из величин 0,5 м и 0,1h1% (h1% - высота волны 1% вероятности превышения).
Из двух полученных результатов расчета выбирают более высокую отметку гребня.
При определении первых двух слагаемых формулы Б.1 следует принимать обеспеченности скорости ветра для расчета элементов волн, наката и нагона при основном сочетании нагрузок и воздействий (при НПУ), при особом сочетании нагрузок и воздействий (при ФПУ) эти обеспеченности следует принимать в соответствии с классом сооружения.
Запас для всех классов плотин должен быть не менее 0,5 м. В случае выполнения в плотине противофильтрационного устройства в виде асфальтобетонной диафрагмы величина a должна назначаться с учетом понижения отметки гребня диафрагмы за счет растекания ее во времени.
При возведении плотины в сейсмических районах отметку гребня следует назначать с учетом высоты гравитационной волны, возникающей в водохранилище в случае образования в нем сейсмотектонических деформаций при землетрясении, определяемой соответствующими расчетами.
Отметку гребня плотины проектируют с учетом строительного подъема, назначаемого сверх определенного возвышения hs. Величину строительного подъема определяют по прогнозируемой осадке гребня согласно 8.16, 8.17 настоящего приложения.
5.13 При наличии на гребне плотины сплошного парапета, рассчитанного на воздействие волн, возвышение его верха над уровнем верхнего бьефа надлежит принимать не ниже значений, полученных по формуле Б.1. Возвышение гребня плотины в этом случае назначают на 0,3 м над НПУ или на отметке ФПУ, причем принимают более высокую из них.
5.14 При расположении автодороги на гребне плотины ограждения и направляющие устройства следует выполнять в соответствии с требованиями категории дороги.
5.15 В случае если гребень плотины или ее надводные откосы сложены из глинистых грунтов, следует предусматривать их защиту от сезонного промерзания слоем песчаного, гравийного или щебенистого грунта. Толщину защитного слоя следует назначать в соответствии с теплотехническими расчетами. При соответствующем обосновании допускается не предусматривать устройство защитного слоя.
Крепление откосов
5.16 Откосы земляных насыпных плотин следует защищать специальными креплениями, рассчитанными на воздействие волн, льда, течений воды, изменения уровня воды, атмосферных осадков, ветра и прочих климатических и других разрушающих откос факторов (проникновение землеройных животных, пучения глинистого грунта в зимний период и др.).
5.17 Для защиты верхового откоса, как правило, следует принимать следующие виды креплений:
- каменные (насыпные);
- бетонные монолитные, железобетонные сборные и монолитные с обычной и предварительно напряженной арматурой;
- асфальтобетонные;
- биологические;
- габионовыми конструкциями;
- грунтоцементные, из камня залитого литым асфальтом и др.
При наличии данных, обоснованных исследованиями или опытом строительства и эксплуатации плотин, допускается применять и другие виды креплений верховых откосов, например, гравийно-галечниковые, и др.
5.18 Вид крепления следует устанавливать, исходя из технико-экономической оценки вариантов с учетом максимального использования средств механизации и местных материалов, характеристик грунта тела плотины и основания, агрессивности воды, долговечности крепления в условиях эксплуатации, архитектурных требований.
5.19 Крепление верхового откоса плотины делится на основное, расположенное в зоне максимальных волновых и ледовых воздействий, возникающих в эксплуатационный период, и облегченное - ниже основного крепления.
Верхней границей основного крепления, как правило, следует считать отметку гребня плотины.
В случае значительного возвышения гребня над расчетным уровнем воды основное крепление следует заканчивать ниже гребня на отметке высоты наката hrum; далее до гребня доводят облегченное крепление.
5.20 Нижнюю границу основного крепления следует назначать, считая от минимального уровня сработки водохранилища на глубине:
h = 2h1%. (Б.2)
При этом нижняя граница основного крепления должна быть ниже минимального уровня сработки водохранилища не менее чем на 1,5t, где t - расчетная толщина ледяного покрова.
Примечание - Облегченное крепление должно защищать откос от повреждений при воздействии льда, волн и течений не только в процессе нормальной эксплуатации сооружения, но и в периоды наполнения и опорожнения водохранилища. Облегченное крепление должно сопрягаться с основанием плотины или с бермой, например, устройством упора из камня или бетона.
В случае устройства крепления дна перед сооружением крепление откоса плотины должно быть сопряжено с ним.
5.21 При сопряжении основного и облегченного крепления необходимо предусматривать конструктивные меры, например, устройство в виде упора из камня или бетона. Размеры упора следует назначать в зависимости от крутизны откоса, а также коэффициента трения материала крепления и упора по грунту откоса.
5.22 Для крепления откосов каменной наброской, в том числе залитой асфальтом, следует применять, как правило, несортированный камень (горную массу).
5.23 Необходимые массу и размеры отдельных камней в наброске крепления откосов, количество камней размером меньше расчетного, а также толщину крепления следует определять расчетом.
5.24 Толщину крепления из каменной наброски следует принимать с учетом возможности частичного выноса мелких частиц из нее при волновом воздействии, подвижки крупных камней, уплотнения материала крепления, а также из опыта эксплуатации аналогичных креплений, но не менее 3ds,85, где ds,85 - диаметр камня, масса которого вместе с массой более мелких фракций составляет 85% массы всей каменной наброски крепления.
5.25 Для крепления откосов следует применять каменные материалы из изверженных, осадочных и метаморфических пород, обладающих необходимой прочностью, морозостойкостью и водостойкостью.
5.26 Монолитные железобетонные крепления откосов следует проектировать, как правило, в виде секций размером не более 45×45 м каждая, разделенных между собой температурными поперечными и осадочными швами. Секции крепления следует проектировать состоящими из отдельных плит.
Плиты, как правило, следует принимать прямоугольной формы с соотношением сторон 1 ≤ lsl /bsl ≤ 2, где bsl - меньшая сторона, располагаемая перпендикулярно урезу воды; размер назначается равным 0,4λ, где λ - расчетная длина волны, но не более 20 м. Увеличение длины секций допускается при надлежащем обосновании. В пределах каждой секции армирование должно быть непрерывным.
5.27 Гибкие бесшовные крепления откосов на основе асфальтовых материалов (асфальтобетонные, из камня залитого литым асфальтом и т.п.) рассчитываются и проектируются из условий:
- обеспечения их устойчивости на откосе;
- прочности при волновых и ледовых, в том числе и повторяющихся воздействиях;
- сохранения сплошности (трещиностойкости) в зимнее время при отрицательных температурах воздуха;
- исключения разжижения под ними грунта при ударных (динамических) воздействиях.
5.28 Крепление откосов из сборных железобетонных плит следует проектировать с омоноличиванием их в секции. При соответствующем обосновании допускается крепление из неомоноличенных плит с открытыми швами при конструкции, не допускающей выноса частиц грунта тела плотины.
Максимальный размер плит следует устанавливать, исходя из условий транспортирования и удобства укладки их на откос.
5.29 Толщину монолитных и сборных железобетонных креплений следует определять расчетом, а при соответствующем обосновании - по аналогам.
5.30 При пологих откосах плотин (1:7 - 1:12) и высоте волны не более 1 м может быть применено облегченное крепление в виде слоя крупнообломочного грунта, крупность частиц и толщину которого следует определять расчетом или исследованиями.
5.31 Крепление низового откоса следует выбирать в зависимости от материала, из которого возведена низовая призма плотины, с целью защиты его от атмосферных воздействий и разрушения землеройными животными. Для крепления низового откоса из песчаных или глинистых грунтов следует, как правило, применять посев трав по растительному слою толщиной 0,2 - 0,3 м, отсыпку щебня или гравия слоем толщиной 0,2 м и другие виды облегченных покрытий.
5.32 Если низовой откос подвержен воздействию льда и волн со стороны нижнего бьефа, его крепление следует рассчитывать так же, как и для верхового откоса.
5.33 Под креплением откосов, выполненным в виде каменной наброски, плит с открытыми швами или со сквозными отверстиями и т.п., следует предусматривать обратные фильтры, которые могут состоять из одного слоя разнозернистого материала или двух слоев материалов с различными по крупности частицами, а также из искусственных водопроницаемых материалов (стекловолокно, геотекстиль и т.п.).
5.34 Материал для обратного фильтра, число слоев и их толщину выбирают в зависимости от свойств грунта откоса, наличия и состава местного материала и результатов технико-экономического сравнения вариантов.
5.35 Под обратными фильтрами на откосах из глинистых, мелкозернистых песчаных или разжижающихся при динамических нагрузках грунтов следует укладывать песчаную пригрузку, зерновой состав и толщину которой устанавливают на основании данных исследований грунтов, расчетов устойчивости и фильтрационной прочности.
5.36 Под креплениями из монолитных или сборных железобетонных плит (с уплотненными швами или замоноличенных в секции) на откосах из песчаных или глинистых грунтов следует, как правило, укладывать однослойный обратный фильтр.
5.37 Допускается применение монолитных железобетонных бесфильтровых креплений, обеспечивающих надежную работу конструкции, не допускающих выноса материала откоса через швы.
5.38 Крутизну неукрепленного волноустойчивого грунтового откоса следует принимать в соответствии с расчетным волновым воздействием. При этом очертание откосов должно быть принято с учетом «профиля динамического равновесия». Применение неукрепленных откосов должно быть обосновано исследованиями и технико-экономическим сопоставлением с вариантами укрепленных откосов.
Противофильтрационные устройства
5.39 Противофильтрационные устройства следует выполнять из слабопроницаемых грунтов (глинистых и мелкозернистых песчаных, глинобетона, а также торфа) или негрунтовых материалов (бетона, железобетона, полимерных, битумных материалов и др.) в виде верховой или центральной противофильтрационной призмы, экрана, диафрагмы, ядра, понура, шпунта, стенки, в том числе и создаваемой методом «стена в грунте», цементационной и других завес, а при соответствующем обосновании - в виде комбинированной конструкции из грунтовых и негрунтовых материалов.
Применение комбинированных противофильтрационных устройств позволяет возводить сооружения без создания перемычек, что существенно сокращает сроки строительства и объем работ.
Комбинированные противофильтрационные устройства, как правило, состоят из следующих фрагментов (рисунок Б.2):
- грунтовое ядро и инъекционная диафрагма;
- пленочная и инъекционная диафрагма;
- асфальтобетонная диафрагма и инъекционная завеса;
- грунтовое ядро и «стена в грунте» - инъекционная диафрагма.
Сопрягающий элемент может предусматриваться на уровне коренных пород, в т.ч. с устройством подземных галерей.
5.40 Противофильтрационные устройства следует выбирать в зависимости от вида земляной плотины, характеристик грунтов ее тела и основания, наличия необходимых грунтовых или негрунтовых материалов для противофильтрационных устройств, высоты плотины, положения водоупора основания и условий производства работ по результатам технико-экономического сопоставления вариантов плотин с различными конструкциями ПФУ.
5.41 Толщину грунтового экрана или ядра плотины рекомендуется увеличивать сверху вниз.
Минимальную толщину экрана или ядра по верху назначают из условий производства работ, но не менее 0,8 м, а понизу - такую, чтобы градиенты напора фильтрационного потока, принимаемые для глинобетона, глины, суглинка и супеси, удовлетворяли критерию фильтрационной прочности (9.5 настоящего приложения).
Участки ядра или экрана, а также понура, на которых возможно их промерзание и (или) размыв вследствие значительных скоростей течения воды (например, при подходе к донному водоспуску), следует покрывать защитным слоем.
5.42 Гребень грунтового экрана (после окончательной осадки плотины) должен быть выше ФПУ с учетом высоты волны и ветрового нагона воды (5.12 настоящего приложения).
Гребень ядра и диафрагм из негрунтовых материалов должен быть выше ФПУ с учетом нагона, но без учета наката волны (5.12 настоящего приложения).

1 - верховая призма; 2 - крепление верхового откоса; 3 - грунтовое ядро; 4 - переходные слои (обратные фильтры); 5 - низовая призма; 6 - сопрягающий элемент; 7 - инъекционная завеса; 8 - пленочная диафрагма; 9 - асфальтобетонная диафрагма («стена в грунте»); 10 - «стена в грунте»
mh - коэффициент верхового откоса; mt - коэффициент низового откоса.
Рисунок Б.2 - Конструкции плотин с комбинированными противофильтрационными устройствами
5.43 При глубоком залегании водоупора следует при экране (ядре) предусматривать устройство понура или завесы. Понур, как правило, следует выполнять из того же материала, что и экран (ядро).
Длину понура следует назначать в зависимости от фильтрационных расходов, а также по условию недопущения опасных фильтрационных деформаций грунта основания плотины.
Толщину понура следует принимать, исходя из условий обеспечения его фильтрационной прочности (9.5 настоящего приложения). Наименьшую конструктивную толщину грунтового понура принимают не менее 0,5 м.
В случае, если под экраном или в основании понура расположен крупнозернистый грунт, между противофильтрационным элементом и таким грунтом следует укладывать обратный фильтр.
5.44 При отсутствии на месте строительства плотины грунтов, пригодных для противофильтрационного элемента или при неблагоприятных климатических условиях необходимо предусматривать негрунтовые противофильтрационные устройства из асфальтобетона, железобетона, полимерных материалов или инъекционную диафрагму.
5.45 Асфальтобетонные экраны следует выполнять из гидротехнического асфальтобетона или полимерасфальтобетона с заданными по условиям строительства и работы конструкции показателями его физико-механических свойств. Свойства асфальтобетона для экранов следует назначать из условия устойчивости его на откосе, трещиностойкости при отрицательных температурах воздуха, усталостной прочности и жесткости при волновых нагрузках. За расчетный коэффициент фильтрации асфальтобетонного экрана и понура можно принимать коэффициент фильтрации равный 1·10-9см/с.
Применение асфальтобетонных экранов при минимальной температуре < -50°С не допускается.
Толщину асфальтобетонного экрана и его конструкцию следует устанавливать из условия сохранения его сплошности и прочности при волновых, ледовых и температурных воздействиях. Подготовку под экран выполняют по принципу обратного фильтра - переходного слоя, исключающего противодавление под экраном.
5.46 Экраны из камня, залитого литым асфальтом, выполняются лишь в каменно- набросных плотинах. Требования к их выполнению и расчету те же, что и в случае асфальтобетонных экранов, с той лишь разницей, что их трещиностойкость при отрицательных температурах определяется не трещиностойкостью материала экрана в целом, а трещиностойкостью асфальтовой заливочной массы.
Толщину экрана из камня, залитого асфальтом, и его конструкцию следует устанавливать из условия сохранения устойчивости и прочности на откосе при волновых, ледовых, температурных воздействиях и при осадках.
5.47 Асфальтобетонные диафрагмы выполняют из литого, пластичного и уплотняемого горячего асфальтобетона. Тип и состав асфальтобетона для строительства диафрагмы следует выбирать, исходя из прочностных свойств материала, технологических и экономических расчетов.
Применение асфальтобетонных диафрагм при температурных воздействиях < -50°С не допускается.
Основным требованием к конструкции диафрагмы является обеспечение ее работы в сжатом состоянии совместно с грунтом тела плотины. При этом напряжения и деформации в диафрагме не должны превышать допустимых значений для выбранного состава асфальтобетона.
Состав грунта переходных слоев следует проектировать из условия недопустимости проникания в его поры асфальтобетона диафрагмы и его непросыпаемости в поры грунта тела плотины.
Конструкция примыкания асфальтобетонной диафрагмы к основанию и к бетонным сооружениям должна обеспечивать возможность скольжения диафрагмы по поверхности примыканий. Асфальтовый материал в зоне примыкания должен при этом работать в сжатом состоянии.
5.48 Толщина асфальтобетонной диафрагмы и материал для ее выполнения назначаются по расчету из условия сохранения сплошности и обеспечения совместности работы диафрагмы с телом плотины. Предварительно ее толщина задается по формуле:
t = a + 0,008H, (Б.3)
где H - напор в рассматриваемом сечении диафрагмы,
a = (0,4 - 0,5) м - толщина диафрагмы на гребне плотины.
Асфальтобетонные диафрагмы обладают способностью воспринимать большие деформации плотин, не нарушая своих функций.
5.49 Железобетонные экраны в земляных насыпных плотинах на скальном или малосжимаемом основании следует применять с обязательным зонированием поперечного сечения плотины по степени уплотнения грунтов и гранулометрическому составу. Основные требования к проектированию железобетонных экранов изложены в 7.25 - 7.28 настоящего приложения.
5.50 Бетонные и железобетонные (сборные и монолитные) диафрагмы следует проектировать в соответствии с требованиями к бетонным конструкциям. Диафрагмы следует разрезать вертикальными и горизонтальными швами с соответствующими уплотнениями, допускающими температурно-осадочные деформации.
При надлежащем обосновании расчетами напряженно-деформированного состояния и при максимальном уплотнении грунтов тела плотины допускается возводить монолитные железобетонные диафрагмы без разрезки горизонтальными деформационными швами.
5.51 При использовании полимерных материалов (например, полиэтиленовой, поливинилхлоридной, бутилкаучуковой пленок и др.) для создания противофильтрационных устройств конструкция этих устройств и технология строительства должны обеспечивать защиту их от солнечной радиации и механических повреждений.
В зависимости от величины допускаемых фильтрационных потерь и материала соединение полимерных элементов между собой может быть сварным, клеевым или механическим в виде нахлеста.
Толщину противофильтрационного устройства из полимерного материала следует назначать расчетом, исходя из следующих условий:
- величина максимальных растягивающих напряжений в материале не должна превышать величины допускаемого растягивающего напряжения, определяемого требуемой долговечностью;
- зерновой состав контактирующего грунта должен обеспечивать неповреждаемость полимерного материала; при назначении прочности укладываемого грунта должны учитываться действующие напряжения;
- при соответствующем обосновании, с целью повышения надежности работы диафрагмы, она может быть выполнена в виде двух слоев гибкого материала с антифрикционной смазкой между ними.
Противофильтрационные конструкции из полимерных материалов допускается применять для плотин III и IV классов, а также, при надлежащем обосновании, для плотин I и II классов высотой до 60 м.
5.52 Инъекционную диафрагму в плотине следует создавать путем нагнетания в поры грунта тела плотины специального уплотняющего раствора, соответствующего состава и консистенции.
Инъекционная диафрагма должна обладать необходимой фильтрационной прочностью, деформационными и прочностными свойствами, обеспечивающими долговечность плотины.
Состав и технологию нагнетания инъекционных растворов обосновывают исследованиями, а при необходимости - опытными работами в производственных условиях.
Дренажные устройства
5.53 Дренажные устройства тела земляной плотины следует проектировать с целью:
- организованного отвода воды, фильтрующейся через тело, основание и береговые примыкания плотины в нижний бьеф;
- предотвращения выхода фильтрационного потока на низовой откос и в зону, подверженную промерзанию;
- снижения депрессионной поверхности для повышения устойчивости низового откоса (внутренний дренаж);
- обеспечения устойчивости верхового откоса при быстрой сработке водохранилища;
- снятия порового давления, возникающего при сейсмических воздействиях;
- отвода воды, профильтровавшейся через экран (ядро); в случае слабопроницаемого материала низовой призмы плотины и наличия низовой переходной зоны, отвод воды следует осуществлять специальным дренажным слоем на поверхности основания, соединенным с дренажем низовой призмы плотины.
В высоких плотинах, выполняемых из суглинистого или супесчаного грунта, для ускорения консолидации и устранения влияния порового давления может быть предусмотрено устройство горизонтальных или вертикальных дрен в толще низовой и центральной частей тела плотины.
Указанные мероприятия по ускорению процессов консолидации должны осуществляться на основе расчетов деформаций. В период эксплуатации необходимо проводить натурные наблюдения за деформациями. Работы по устройству дренажей должны вестись при отсутствии напора на сооружение, а при действующем напоре - под защитой систем, обеспечивающих водопонижение.
5.54 При проектировании дренажных устройств необходимо учитывать физические характеристики грунтов тела и основания плотины, их суффозионность и условия фильтрации в области дренажа.
Размеры дренажных устройств следует определять для каждого конкретного случая, исходя из фильтрационных условий, исключающих кольматаж грунта в области дренажа.
Конструкции дренажных устройств низовой части плотины представлены на рисунке Б.3.

В русле: а - дренажный банкет; б - наслонный дренаж.
На берегу: в - трубчатый дренаж; г - горизонтальный дренаж; д - ж - комбинированные дренажи.
1 - дренажный банкет; 2 - поверхность депрессии; 3 - обратный фильтр; 4 - наслонный дренаж; 5 - труба; 6 - дренажная лента; 7 - отводящая труба; 8 - отводящая канава.
df - максимальная глубина промерзания; mh - коэффициент низового откоса; bb - ширина банкета по верху.
Рисунок Б.3 - Схемы основных видов дренажа
5.55 Для сопряжения дренажа с плотиной, как правило, укладываются обратные фильтры (один или более слоев). Обратный фильтр дренажа может выполняться из несвязных естественных или получаемых путем рассева или дроблением грунтов, а также из искусственных пористых материалов (пористого бетона и др., согласно 5.73 настоящего приложения).
Дренажный коллектор следует проектировать из камня, бетонных, железобетонных, асфальтоцементных, гончарных труб и т.п. с учетом агрессивности воды.
5.56 Дренажный банкет (рисунок Б.3, а) следует выполнять, как правило, на русловых участках плотины при ее возведении без перемычек и при перекрытии реки отсыпкой камня в воду.
Превышение гребня дренажного банкета hs (при отсутствии наслонного дренажа) над максимальным уровнем нижнего бьефа (рисунок Б.3 а, б) следует определять в соответствии с 5.12 настоящего приложения, но не менее 0,5 м. Ширину банкета назначают из условий производства, но не менее 1 м.
При сопряжении тела плотины с дренажным банкетом должна быть обеспечена фильтрационная прочность сопряжения за счет устройства обратного фильтра по внутреннему откосу банкета. При наличии в основании мелкозернистого грунта и больших выходных градиентов напора под дренажным банкетом надлежит предусматривать горизонтальный обратный фильтр или замыв пор каменного банкета на высоту, определяемую фильтрационными расчетами.
Гребень дренажного банкета следует защищать от засорения поверхностными стоками.
5.57 Наслонный дренаж (рисунок Б.3, б) следует выполнять на участках плотины, перекрывающих затопляемую пойму, а также при отсутствии на месте строительства достаточного количества камня.
Толщину наслонного дренажа с обратным фильтром следует назначать из условий производства работ, но не менее величины
t = 5ds,85 + tf, (Б.4)
где ds,85 - диаметр частиц, масса которых вместе с массой более мелких фракций составляет 85% массы грунта всего дренажного слоя;
tf - толщина обратного фильтра.
Материал наслонного дренажа должен сопрягаться с материалом обратного фильтра и защищать низовой откос от волнового воздействия в нижнем бьефе, а в некоторых случаях - и от промерзания.
Превышение гребня наслонного дренажа hs над максимальным уровнем нижнего бьефа следует принимать, как и для дренажного банкета (5.56 настоящего приложения), с учетом высоты выклинивания фильтрационного потока на низовой откос плотины и глубины промерзания.
5.58 Трубчатый дренаж (рисунок Б.3, в) следует применять, как правило, на тех участках плотины, где в период ее эксплуатации вода в нижнем бьефе отсутствует или присутствует кратковременно.
Трубчатый дренаж следует предусматривать из бетонных или асбестоцементных труб (перфорированных) с заделанными стыками, с обсыпкой обратным фильтром.
Сечение дренажных труб следует определять гидравлическими расчетами. Диаметр дренажной трубы следует назначать в зависимости от величины сбрасываемого фильтрационного расхода, но не менее 200 мм.
По длине трубчатого дренажа необходимо предусматривать смотровые колодцы, располагаемые с учетом местности и требуемых уклонов.
5.59 Горизонтальный дренаж (рисунок Б.3, г) следует проектировать в виде сплошного дренажного слоя или отдельных горизонтальных поперечных или продольных дренажных лент, выполняемых из крупнозернистого материала и защищаемых обратным фильтром.
5.60 Комбинированный дренаж (рисунок Б.3, д - ж) представляет собой одну из возможных комбинаций дренажей, указанных в 5.56-5.59 настоящего приложения. Отметку гребня банкета комбинированного дренажа (рисунок Б.3, д) следует назначать с учетом условий перекрытия русла реки.
5.61 Размеры дренажных устройств в виде плоских дренажей или дренажных лент следует определять гидравлическими и фильтрационными расчетами с учетом условий выполнения дренажа.
5.62 Вид дренажных устройств может меняться на различных участках плотины, и их конструкцию следует выбирать на основании технико-экономического сравнения вариантов в зависимости от:
- вида плотин;
- инженерно-геологических и гидрогеологических условий основания и берегов;
- физико-механических характеристик грунтов, использованных для дренажей;
- условий производства работ;
- климатических условий района строительства;
- условий эксплуатации и температурного режима сооружения;
- степени агрессивности воды.
5.63 Дренажи тела плотины, как правило, не устраивают в следующих случаях:
- при возведении плотин на водопроницаемом основании, в которых депрессионная поверхность без устройства дренажа оказывается достаточно удаленной от поверхности низового откоса и не попадает в зону промерзания;
- в низовой части плотин с экранами, ядрами и диафрагмами при условии обеспечения отвода профильтровавшейся воды;
- в плотинах, низовая часть которых выполнена из каменной наброски или из другого крупнообломочного материала (гравийного, галечникового и т.п.).
5.64 В случае, если земляная плотина сопрягается с бетонными сооружениями, дренажи их должны быть увязаны между собой.
5.65 В местах примыкания плотины к береговым участкам, расположенным выше уровня нижнего бьефа в межень, должен быть предусмотрен организованный отвод воды, профильтровавшейся через плотину (например, горизонтальный дренаж).
5.66 При строительстве земляных насыпных плотин на водонасыщенных грунтах, в которых под нагрузкой возникает поровое давление, нарушающее прочность основания, в условиях, если оно не может быть уменьшено за счет снижения интенсивности возведения плотины, поверхность основания в пределах низовой части плотины следует покрывать горизонтальным дренажем, а для отвода воды, отжимаемой из грунта основания, рекомендуется дополнительно устраивать вертикальные дрены. Необходимость и размеры такого дренажа, а также расстояние между вертикальными дренами должны быть обоснованы расчетами с учетом интенсивности возведения плотины.
5.67 Устойчивость верхнего слоя грунта основания в нижнем бьефе следует оценивать расчетом на выпор от действия восходящего фильтрационного потока, если этот слой имеет водопроницаемость меньшую, чем нижележащий грунт.
При недостаточной устойчивости слоя грунта у подошвы низового откоса плотины надлежит устраивать вертикальный дренаж, прорезающий этот слой и снижающий противодавление.
Вместо вертикального дренажа, при соответствующем обосновании, следует предусматривать пригрузку основания за низовым откосом плотины с устройством при необходимости обратного фильтра и учете глубины промерзания.
Обратные фильтры
5.68 Обратные фильтры надлежит предусматривать на контакте дренажа (или пригрузки) и дренируемого тела плотины, ядра, экрана или основания плотины, а также в любом месте искусственно созданного напорного фронта, где возможна механическая суффозия на контакте между разнородными грунтами.
Материалы обратного фильтра следует подбирать из условия обеспечения фильтрационной прочности сопрягающихся грунтов в месте контакта в процессе возведения и в период эксплуатации плотин.
Обратные фильтры допускается не устраивать при специальном обосновании; в частности, устройство такого фильтра по контакту с дренажем необязательно, если дренируемое тело сложено гравелистыми песками, гравийными грунтами и т.п., удовлетворяющими требованиям к составу обратного фильтра.
5.69 Зерновой состав материала обратного фильтра должен быть подобран с учетом физических характеристик дренируемого грунта и имеющихся местных фильтровых материалов.
Состав фильтра должен исключать:
- отслаивание глинистого грунта на контакте с материалом фильтра - для плотин из глинистого грунта или плотин на глинистом основании;
- проникновение (просыпание) частиц защищаемого грунта в поры фильтра на участках нисходящего фильтрационного потока - для плотин из песчаного грунта;
- выпор и вдавливание частиц грунта в поры фильтра - для песчаного основания на участках восходящего потока;
- размыв защищаемого грунта на границе с фильтром - в случае фильтрационного потока, направленного вдоль контакта (контактный размыв);
- кольматаж фильтра мелкими частицами, выносимыми фильтрационным потоком из защищаемого грунта, вынос которых допускается в проекте;
- опасную для прочности фильтра суффозию в самом слое фильтра.
Состав фильтра должен обеспечивать «самозалечивание» трещин в ядре в случае их образования.
5.70 Число слоев обратного фильтра и их гранулометрический состав следует определять на основании технико-экономического сравнения вариантов, при этом необходимо стремиться к назначению возможно меньшего числа слоев фильтра.
5.71 Материал обратного фильтра дренажей для плотин I и II классов следует проверять экспериментальным путем на грунтах и в условиях работы, в которых он будет находиться в сооружении, а для плотин III и IV классов - согласно соответствующим расчетам.
5.72 Толщина каждого слоя обратного фильтра по фильтрационным условиям должна быть не менее 5ds,85, но не менее 0,2 м.
Толщину слоев обратных фильтров необходимо назначать с учетом производства работ и технико-экономических расчетов.
5.73 Для устройства обратных фильтров следует применять естественные несвязные или получаемые дроблением грунты из морозостойких скальных пород (если этот материал подвергается действию отрицательных температур), не содержащие водорастворимых солей, а также гранулированные шлаки, негрунтовые материалы (например, геотекстиль), применение которых должно быть специально обосновано.
Сопряжение тела плотины с основанием, берегами и бетонными сооружениями
5.74 Для предотвращения опасной фильтрации по контакту земляной плотины с ее основанием следует предусматривать меры, зависящие от характеристик, состояния грунтов основания и других факторов, и обеспечивающие плотное примыкание грунта тела плотины к грунту основания.
В проектах плотин, возводимых на нескальном основании, следует предусматривать мероприятия по подготовке основания, в том числе по вырубке леса и кустарника, выкорчевыванию пней, удалению растительного слоя и слоя, пронизанного корневищами деревьев и кустов или ходами землеройных животных, а также по удалению грунта, содержащего значительное количество органических включений или солей, легко растворимых в воде (4.4 и 5.5 настоящего приложения), удалению сильнольдистых грунтов по всей площади основания талой плотины или только под верховым клином мерзлой плотины, и в случае необходимости - мероприятия по созданию противофильтрационного устройства в основании плотины (зуб, стенка, шпунт, и т.п.).
При проектировании плотин распластанного профиля частичный или полный отказ от мероприятий по подготовке основания допускается при соответствующем обосновании согласно требованиям 6.3 настоящего приложения.
При проектировании земляных плотин, возводимых на скальном основании, должно быть предусмотрено удаление разрушенной скалы (в том числе должны быть удалены отдельные крупные камни и скопления камней) на площади сопряжения противофильтрационных устройств плотины с основанием, заделаны разведочные геологические и строительные выработки.
На участках сопряжения с основанием частей профиля плотины, выполняемых из более водопроницаемых материалов, чем противофильтрационные устройства, удаление разрушенной скалы необязательно.
При наличии в основании поверхностного слоя грунта, имеющего более низкие прочностные характеристики, чем грунт плотины, необходимо определять экономическую целесообразность удаления этого слоя (или его верхней части), учитывая, что при этом откосы плотины могут быть более крутыми.
Строительство плотин в сейсмических районах на основаниях, сложенных из грунтов, способных разжижаться при динамических воздействиях, требует специальных технико-экономических обоснований.
5.75 Наклонные поверхности берегов в пределах профиля примыкания плотины должны быть соответственно спланированы, при этом не допускаются нависающие участки в пределах примыкания плотины и уступообразные участки в пределах примыкания противофильтрационного устройства плотины.
При наличии в основании плотины быстро выветривающихся пород в проектах необходимо учитывать изменения свойств этих пород или предусматривать соответствующие конструктивно-технологические мероприятия.
При наличии в скальном основании местных сквозных по ходу фильтрационного потока тектонических нарушений в виде трещин надлежит принимать меры к их расчистке и заделке, а также меры, обеспечивающие фильтрационную прочность материала, заполняющего эти трещины.
5.76 Для земляных плотин с противофильтрационными устройствами и однородных земляных плотин, выполняемых из глинистых грунтов на сильнофильтрующих аллювиальных отложениях, перекрывающих скальные породы основания, при небольшой (до 5 м) мощности слоя аллювия, как правило, следует доводить противофильтрационные устройства до скалы врезкой зуба.
При мощности аллювиального слоя более 5 м следует сравнивать варианты плотин с ядром и противофильтрационной преградой (цементационной завесой, бетонной стенкой и др.) с плотинами, имеющими противофильтрационное устройство в виде экрана и понура.
Проектом необходимо предусматривать сопряжение противофильтрационных устройств плотины с основанием в месте примыкания зуба к скале (например, путем инъекции раствора в месте примыкания, а в случае необходимости - устройства противофильтрационной завесы).
Глубину висячей противофильтрационной преграды и длину понура следует устанавливать на основании фильтрационных расчетов.
Примечания
1 Фильтрационный расчет оснований грунтовых плотин (земляных и каменноземляных) при устройстве противофильтрационной завесы должен заключаться в определении фильтрационной прочности грунтов основания, при которой обеспечивается надежность подземного контура в период эксплуатации и экономичность его строительства.
2 Фильтрационный расчет при определении параметров противофильтрационной завесы (глубина завесы, толщина и шаг скважин) в основании грунтовых плотин должен выполняться при условии действия максимального напора на элементы конструкций подземного контура с учетом свойств грунтов основания (скальные, нескальные, суффозионно-устойчивые и др.), заглубления поверхности водоупора и др.
5.77 При сопряжении противофильтрационных устройств плотины с наклонными неровными поверхностями скальных берегов следует предусматривать подготовку поверхности скалы от гребня плотины (ядра, экрана) к основанию с постепенным уположением, без резких переломов, с наименьшим технически и экономически обоснованным наклоном береговых контактов, срезку выступающих участков поверхности скалы и выравнивание бетоном местных понижений.
Угол между смежными участками поверхности скалы в сопряжении с противофильтрационными устройствами не должен превышать 20°.
Очертание продольного профиля плотины по основанию следует назначать на основе результатов расчета его напряженно-деформированного состояния из условия недопущения образования трещин.
5.78 В земляных плотинах на сильно трещиноватых скальных основаниях, по которым (в том числе и после оттаивания) может происходить опасная для тела плотины фильтрация, необходимо предусматривать устройство зуба и противофильтрационной завесы под ним, а также поверхностную инъекцию раствора (цементационного, глинистого и мелкопесчаного с вяжущим) в пределах подошвы противофильтрационного устройства плотины. Проектирование однородных плотин без противофильтрационных устройств в таких случаях должно быть соответственно обосновано.
5.79 При проектировании земляных плотин на слабоводопроницаемом (в том числе после оттаивания) и слаботрещиноватом скальном, полускальном и глинистом основаниях допускается предусматривать укладку грунта тела плотины непосредственно на основание без противофильтрационных устройств.
При проектировании грунтовых плотин высотой более 50 м в узком каньоне корытообразного профиля на скальных и полускальных основаниях можно предусматривать примыкание ядра плотины к основанию через массивную бетонную пробку с расположенными на ней (при необходимости) железобетонными дренажно-смотровыми (цементационными) галереями. Пробка должна быть разрезана продольными температурно-деформационными швами. При сильно трещиноватом основании пробка используется для осуществления площадной уплотнительной цементации.
5.80 В местах сопряжения тела или противофильтрационного устройства плотины с основанием, берегами и бетонными сооружениями следует предусматривать тщательную укладку и уплотнение грунта вблизи поверхности сопряжения для чего контактный слой (толщиной 2 - 3 м) необходимо отсыпать из грунта более пластичного, менее водопроницаемого и более влажного (не более чем на 1 - 3%), чем грунт остального тела плотины или противофильтрационного устройства.
5.81 При проектировании в основании плотины противофильтрационных устройств (шпунтовый ряд, стенка из бетона, глинистого грунта или возводимая методом «стена в грунте» инъекционная завеса, мерзлотная завеса и др.) следует предусматривать сопряжение их непосредственно с противофильтрационными устройствами тела плотины (ядро, экран или диафрагма).
5.82 Сопрягающие устройства земляных плотин с бетонными и железобетонными сооружениями должны обеспечивать:
- защиту земляной плотины от размыва водой, пропускаемой через водосбросные сооружения;
- плавный подход воды к водоприемным и водосбросным сооружениям со стороны верхнего бьефа, плавное растекание потока в нижнем бьефе, предотвращающее подмыв тела и основания плотины;
- предотвращение опасной фильтрации в зоне примыкания.
Проекты сопрягающих устройств плотин I и II классов должны быть обоснованы данными гидравлических и фильтрационных исследований.
5.83 Для обеспечения надежного примыкания тела земляной плотины к бетонному сооружению следует предусматривать уклон сопрягающих граней бетонной конструкции с земляной насыпью не круче, чем 10:1.
Сопряжение земляной плотины с бетонными сооружениями, прорезающими ее тело, следует осуществлять для плотин, имеющих противофильтрационные устройства, в зоне этих устройств, а для однородных плотин - в пределах верхового клина и центральной части плотины.
Сопряжение тела земляной плотины с бетонным сооружением надлежит предусматривать в виде заделанных в него диафрагм, врезающихся в земляную плотину (шпунтовый ряд, бетонная стенка и др.). Длину диафрагм сопряжения следует устанавливать на основании фильтрационных расчетов.
Противофильтрационные устройства в основании земляных плотин и бетонных сооружений должны быть взаимоувязаны.
5.84 При сопряжении участков земляной плотины, выполняемых насыпным и намывным способами, необходимо предусматривать мероприятия, не допускающие сосредоточенную фильтрацию в месте сопряжения и неравномерную осадку тела плотины и основания.
Требования к реконструкции плотины
5.85 Наращивание однородной грунтовой плотины на слабоводопроницаемом основании при реконструкции сооружения следует осуществлять как с верховой, так и с низовой сторон плотины.
Увеличение высоты плотины с диафрагмой (ядром) и завесой в основании возможно как с низовой ее стороны - с созданием экрана, сопрягающегося с диафрагмой, так и с обеих сторон - с сохранением вертикальной диафрагмы, при этом следует определить необходимость усиления противофильтрационной завесы в основании.
Увеличение высоты плотины с экраном и противофильтрационным устройством в основании возможно только с низовой ее стороны с проверкой фильтрационной прочности экрана (из грунтовых или негрунтовых материалов) и, при необходимости, с усилением противофильтрационного устройства в основании.
5.86 При реконструкции плотин из грунтовых материалов следует проводить расчеты устойчивости откосов в соответствии с классом плотины, а также предусматривать соответствующие мероприятия по обеспечению нормальной работы дренажа.
5.87 Для обеспечения надежного сопряжения существующей низовой призмы плотины с наращиваемой необходимо учитывать конструкцию и свойства материала плотины при ее наращивании.
6.1 Намывные плотины в зависимости от грунтов тела плотины и способов возведения подразделяют на основные виды, указанные в таблице Б.4, на рисунках Б.4, Б.5 и в 4.3 настоящего приложения.
Таблица Б.4
Вид плотины |
Грунты тела плотины |
Способ возведения плотины |
|
Однородная: |
||
|
с принудительно формируемыми откосами (рисунок Б.4, а) |
Пески, супеси, суглинки (в том числе лессовидные) |
Двусторонний намыв с дамбами обвалования на откосах |
|
со свободно формируемыми откосами - верховым (рисунок Б.4, б) или обоими |
Пески, гравийные (дресвяные) |
Односторонний намыв с дамбами обвалования на низовом откосе (рисунок Б.5, б) и центральный намыв без дамб обвалования |
|
узкопрофильная (рисунок Б.5, в) |
Тоже |
Пионерный намыв с выпуском пульпы из торца трубы и непрерывным устройством обвалования по откосам |
|
Неоднородная: |
||
|
с ядром (рисунок Б.4, в) |
Гравийные (дресвяные), галечниковые (щебенистые) с содержанием песчаных и глинистых фракций |
Двусторонний намыв с дамбами обвалования на откосах и отстойным прудом в центральной части плотины (рисунок Б.5, а) |
|
с центральной зоной (рисунок Б.4, г) |
Гравийные (дресвяные), галечниковые (щебенистые) или песчаные разнозернистые, содержащие мелкозернистые фракции |
Тоже |
|
Комбинированная: |
||
|
с насыпным ядром из глинистого грунта и намывными боковыми зонами (рисунок Б.4, д) |
Гравийные (дресвяные), галечниковые (щебенистые) или песчаные |
Двусторонний намыв без пруда |
|
с насыпными банкетами из горной массы и намывной однородной центральной зоной (рисунок Б.4, е) |
Тоже |
Тоже |
6.2 Конструкцию плотины следует выбирать в соответствии с указаниями 4.3 настоящего приложения; при этом следует стремиться к максимальному использованию естественных грунтов, не требующих сортировки при разработке карьера или выемки.
6.3 При наличии соответствующих карьерных грунтов предпочтение следует отдавать однородным песчаным плотинам, характеризуемым высокой технологичностью производства работ.
Однородные песчаные плотины распластанного профиля со свободно формируемыми откосами следует применять при технико-экономическом обосновании в случае залегания слабых грунтов в основании, необходимости уменьшения объема крепления откосов, а также при намыве под воду.

1 - крепление верхового откоса; 2 - дренаж; 3 - намывное ядро; 4 - намывные промежуточные зоны; 5 - намывные боковые зоны; 6 - намывная центральная малопроницаемая зона; 7 - боковые насыпные призмы (банкеты); 8 - сейсмостойкое крепление откоса; 9 - насыпное глинистое ядро.
Рисунок Б.4 - Виды намывных плотин

а - двусторонний намыв неоднородной плотины с ядром; б - односторонний намыв однородной плотины с верховым откосом, формируемым при свободном растекании пульпы; в - намыв узкопрофильной плотины.
1 - распределительный пульпопровод; 2 - откос намыва; 3 - отстойный пруд; 4 - граница ядра; 5 - дамбы попутного обвалования; 6 - дамба первичного обвалования; 7 - граница прудка; 8 - водоотводящая труба; 9 - временная перемычка; 10 - водосбросной колодец.
Рисунок Б.5 - Основные схемы возведения намывных плотин
При проектировании плотин на слабых и заторфованных грунтах основания, обводненных и заболоченных территориях, допускается не предусматривать полностью или частично работы по удалению поверхностного слоя грунта основания и растительности при условии, что это не приведет к нарушению устойчивости и фильтрационной прочности сооружения.
При возведении однородных плотин на слабых грунтах основания следует, как правило, намывать уширенную нижнюю часть («подушку»), а верхнюю часть возводить после стабилизации осадок «подушки».
6.4 Неоднородные плотины следует проектировать при наличии соответствующих карьерных грунтов и необходимости снижения фильтрационного расхода по сравнению с однородными плотинами, а также для уменьшения объема тела плотины. При этом следует учитывать усложнение технологии производства работ по созданию ядра с заданным размером и составом грунта и недопущению его перемыва крупным грунтом.
Для обеспечения однородных свойств ядра заданного размера и исключения перемыва крупным грунтом допускается включать в проекты при соответствующем обосновании, принудительное перемешивание грунта в пределах прудковой зоны ядра плотины.
6.5 Намывные плотины с боковыми насыпными или каменнонабросными призмами следует применять при условии использования высоких перемычек или камня из полезных выемок котлована. При проектировании плотин для сейсмических районов необходимо предусматривать устройство каменно-набросных призм и сейсмостойкого крепления откосов.
6.6 Намывной способ возведения плотины допускается совмещать с насыпным, когда, например, верховую призму плотины намывают из песка, а низовую из гравийно-галечникового грунта.
6.7 В проекты намывных плотин следует включать мероприятия по обеспечению качества намыва грунта и установленной плотности его укладки, а также устойчивости откосов плотины в строительный период, в частности, с учетом фильтрационного потока, образующегося за счет водоотдачи свеженамытого грунта, инфильтрации с поверхности намыва и из отстойного пруда. Для намывных плотин должна быть установлена предельная интенсивность их наращивания по условию обеспечения водоотдачи намытого грунта, а для частей плотин, намываемых под воду - пределы подводной и надводной крутизны откоса.
Интенсивность намыва необходимо также контролировать, ведя наблюдения за величиной порового давления.
Требования к материалам
6.8 Зерновой состав карьерных грунтов следует считать основной характеристикой для оценки технической возможности возведения намывных плотин и экономической целесообразности выбранной конструкции.
Содержание органических и водорастворимых примесей в грунтах для намыва плотины следует допускать в количествах, при которых их остаток в теле намывной плотины после производства работ по ее намыву будет не выше величин, указанных в 5.5 настоящего приложения.
6.9 Предварительную оценку пригодности карьерного грунта для намыва плотин, в зависимости от зернового состава следует производить по графику, приведенному на рисунке Б.6.

Рисунок Б.6 - Группы грунтов, используемых для намыва плотин.
Предпочтительными для намыва однородных плотин являются песчаные грунты I группы; песчаные и гравийные грунты II группы целесообразно предусматривать для неоднородных плотин с мелкопесчаной центральной зоной или глинистым ядром.
Супеси (III группа), суглинки (IV группа), гравийные и галечниковые грунты (V группа), а также лессовидные грунты можно использовать для намыва при соответствующем технико-экономическом обосновании. При этом супеси и лессовидные суглинки следует использовать для намыва однородных плотин, а также для намыва центральной слабоводопроницаемой зоны неоднородных плотин, гравийно-галечниковые грунты - для намыва боковых зон этих плотин.
Запас грунта в карьере должен быть в 1,5 - 1,8 раза больше объема грунта, принятого в проекте плотины.
При выборе карьеров инженерно-геологические изыскания следует проводить с детальностью, позволяющей выделить и исключить из запасов участки грунта, не отвечающего требованиям укладки в плотину, а также не поддающегося разработке средствами гидромеханизации.
Грунт для намыва плотин должен быть проверен на содержание негабаритных включений (валунов, камней и т.п.), не проходящих через рабочие органы грунтовых насосов.
6.10 Для неоднородных плотин предпочтительны грунты с высокой степенью разнозернистости, например, гравийные с пылеватыми, глинистыми фракциями и при содержании песчаных частиц не менее 25 - 30%. Содержание в ядре глинистых частиц размером d ≤ 0,005 мм допускается не более 20% по условиям консолидации грунта; более высокое содержание глинистых частиц следует допускать при специальном обосновании.
6.11 Возможность применения для намыва искусственных смесей грунтов из разных карьеров или сортированных карьерных грунтов должна быть обоснована технико-экономическим расчетом.
6.12 При необходимости следует предусматривать дополнительное искусственное уплотнение (глубинное гидровибрирование, уплотнение взрывами, послойное уплотнение или укатку и др.). Мероприятия по дополнительному уплотнению должны быть обоснованы, как правило, полевыми опытными работами.
Фракционирование грунта в теле плотины
6.13 Фракционирование грунта в поперечном профиле плотины в результате гидравлической раскладки следует учитывать при коэффициенте разнозернистости намываемого грунта К60,10 > 2,5 или К90,10 > 5. Раскладка грунта зависит от его зернового состава, расхода пульпы и ее консистенции, ширины пляжа намыва.
6.14 При определении зернового состава грунта намывных плотин необходимо учитывать отмыв и сброс мелких частиц грунта. При возведении песчаных однородных плотин следует обеспечивать сброс глинистых и частично пылеватых частиц, однако технологически неизбежен отмыв и более крупных частиц вплоть до мелких песчаных.
При намыве неоднородных плотин сброс глинистых частиц следует назначать с учетом требований 6.10 настоящего приложения.
6.15 При проектировании однородных плотин зерновой состав намытого грунта следует принимать по средневзвешенному составу карьерного грунта с учетом отмыва мелких частиц грунта при условии незначительной вариации в поперечном сечении плотины состава грунта и коэффициента фильтрации. При этом следует учитывать небольшое увеличение содержания мелких частиц грунта в центральной части плотины при ее двустороннем намыве и в наиболее удаленной от выпуска пульпы части плотины при одностороннем намыве.
6.16 При проектировании неоднородных плотин зерновой состав грунта в отдельных их частях необходимо устанавливать с учетом фракционирования при намыве.
Фракционирование грунта при намыве определяют по аналогам или расчетом.
Осредненный зерновой состав грунта следует определять отдельно для ядра и боковых зон плотины, а также для промежуточных зон. Разбивка профиля плотины на части принимается в соответствии с имеющимися аналогами.
Для плотин I и II классов фракционирование грунта следует уточнять при проведении опытного намыва, соблюдая условия технологии возведения данной плотины.
6.17 Ширину ядра неоднородной плотины следует предварительно назначать в зависимости от состава карьерного грунта в пределах 10 20% ширины плотины на данной высоте, а центральной зоны из мелкопесчаного грунта - в пределах 20-35% указанной ширины. Эти размеры надлежит корректировать в соответствии с требованиями раздела 6 настоящего документа или по результатам начального этапа намыва.
Очертание и крепление откосов плотины
6.18 Крутизну откосов намывных плотин и вид их крепления назначают в соответствии с требованиями 5.9 - 5.38 настоящего приложения; при этом крутизну откосов следует устанавливать не только с учетом конструкции и высоты плотины, характеристик грунтов ее тела и основания, но и с учетом неблагоприятного для устойчивости откосов фильтрационного режима, возникающего в процессе намыва плотины, а также отсутствия в период строительства постоянных дренажных устройств.
Предварительно средние значения крутизны откосов намывных плотин можно назначать по аналогии с построенными сооружениями в соответствии с данными таблицы Б.5.
Таблица Б.5
|
Вид плотины |
Грунты основания |
Крутизна откоса |
|
Однородная песчаная |
Песчаные, супесчаные |
1:3,5 - 1:5 |
Старинные отложения, торф, ил |
1:5 - 1:8 |
|
|
Неоднородная гравийно-песчаная с ядром |
Скальные, гравийно-песчаные, плотные глины |
1:3 - 1:4 |
6.19 Если в результате расчета устойчивости откосов плотины в стадии ее намыва с учетом технологии производства работ получаются более пологие откосы, чем по расчетам откосов в период эксплуатации плотины, крутизна должна быть принята по рас- четам для строительного периода.
При необходимости выполнения более крутых откосов следует изменить технологию или применить конструктивные мероприятия, например, строительный дренаж.
6.20 Откосы намывных плотин распластанного профиля, формирующиеся при свободном растекании пульпы, допускается проектировать без крепления или с облегченным гравийным, галечниковым или биологическим креплением при обеспечении его сохранности в условиях волнового и ветрового воздействий.
На откосах таких плотин при необходимости следует предусматривать поперечные буны для предотвращения перемещения грунта течениями вдоль плотины.
6.21 Ширину гребня намывных плотин следует устанавливать в соответствии с требованиями 5.11 настоящего приложения.
Минимальную ширину гребня намывной части профиля плотины строительного периода следует назначать с учетом возможности работы гидротранспортной установки и используемых при укладке грунта средств механизации: для неоднородных плотин с центральной зоной не менее 50 м, с ядром - не менее 70 м, для однородных плотин - не менее 20 м.
При необходимости возведения плотины с меньшей шириной по гребню верхнюю ее часть следует выполнять отсыпкой грунта насухо или отсыпкой в воду (прудки).
6.22 При проектировании дренажных устройств в теле намывной плотины следует учитывать требования 5.53 - 5.73 настоящего приложения, отдавая предпочтение конструкциям дренажа, представленным на рисунке Б.3 б, д, е. Дренажные устройства, галереи, вертикальные дрены и др. должны быть возведены до намыва и надежно защищены слоем грунта тела плотины. Если дренажные устройства возводятся после намыва, то выполнять их следует при отсутствии напора на сооружение или под защитой водопонижения.
6.23 Средние значения уклонов откосов при свободном намыве песчаных и гравийных грунтов (при торцевом и эстакадном способе намыва с 10%-ной концентрацией пульпы) можно ориентировочно назначать по таблице Б.6 с последующей корректировкой по данным начального этапа намыва.
Таблица Б.6
|
Грунт |
Уклон откоса при расходе пульпы, м3/ч |
||
|
< 2000 |
2000 - 4000 |
> 4000 |
|
|
Песок: |
|
|
|
|
- мелкий |
1/40 |
1/60 |
1/100 |
|
- средний |
1/33 |
1/40 |
1/65 |
|
- крупный |
1/25 |
1/33 |
1/40 |
|
- гравелистый |
1/20 |
1/25 |
1/30 |
|
Гравий |
1/15 |
1/20 |
1/25 |
При консистенции пульпы, отличающейся от 10% -ной, уклон откоса рассчитывают по формуле:
(Б.5)
где C - консистенция пульпы, % по массе;
i10 - уклон откоса при C = 10%.
6.24 Уклон откоса при намыве ниже уровня воды определяют по расчету в зависимости от зернового состава грунта. Предварительно уклон откоса может быть принят от 1/10 до 1/4, причем меньшие значения уклона соответствуют мелким пескам при наличии течения воды в водоеме. С увеличением крупности грунта и снижением скорости течения уклон откоса увеличивается.
Требования к реконструкции плотин
6.25 При реконструкции земляных намывных плотин повышение гребня однородной плотины может быть обеспечено за счет примыва низовой призмы к существующему откосу плотины. Примыв следует выполнять из карьерного грунта более крупного состава, чем грунт, из которого намыт основной профиль плотины. Допускается выполнять низовую призму плотины отсыпкой грунта насухо с послойной укаткой.
6.26 При повышении гребня намывной плотины с ядром, кроме примыва низовой призмы, необходимо предусматривать создание противофильтрационного устройства, выполненного, например, в виде экрана, сопряженного с существующим ядром, или противофильтрационного устройства из негрунтовых материалов («стена в грунте» и др.).
6.27 При выполнении работ по реконструкции, перед возведением низовой призмы должен быть снят растительный слой на существующем низовом откосе плотины.
До начала примыва низовой призмы плотины должны быть реконструированы все действующие дренажные устройства.
7.1 Каменноземляные и каменно-набросные плотины по конструкции противофильтрационных устройств и способу производства работ подразделяют на основные виды, указанные в таблице Б.7 и на рисунках Б.7 - Б.9.
Таблица Б.7
Тип плотины |
Конструкция противофильтрационного устройства |
Каменноземляная |
грунтовый экран (рисунок Б.7, а) грунтовое ядро (вертикальное или наклонное) (рисунок Б.7, б) верховая грунтовая призма (рисунок Б.7, в) центральная грунтовая призма (рисунок Б.7, г) комбинированное ПФУ (рис. Б.2, а, б, в, г) |
|
Каменноземляная возводимая направленным взрывом |
без ПФУ (рисунок Б.8, а) грунтовый экран и понур (рисунок Б.8, б, в) инъекционная диафрагма (рисунок Б.8, г) центральная грунтовая призма, образуемая намывом (рисунок Б. 8, д) |
|
Каменнонабросная |
экран из негрунтовых материалов (рисунок Б.9, а) диафрагма (рисунок Б.9, б) |
7.2. Каменноземляные и каменно-набросные плотины возводят как на скальных так и на нескальных основаниях.
7.3 При проектировании каменноземляных и каменно-набросных плотин, наряду с требованиями раздела 4 настоящего приложения, необходимо также учитывать требования раздела 5 настоящего приложения в части, относящейся к материалам для возведения земляных насыпных плотин, проектирования откосов и гребня плотин, противофильтрационных устройств и их сопряжений с основанием, берегами и бетонными сооружениями, а также при разработке проектов реконструкции таких плотин.
7.4 Возведение каменноземляных и каменно-набросных плотин следует предусматривать отсыпкой каменного материала (каменной наброски, горной массы, галечникового грунта) слоями, принимая меры к его уплотнению (послойная укатка, гидроуплотнение) или ярусами высотой 3 м и более.
7.5 Возведение каменноземляных плотин направленным взрывом допускается в благоприятных для этого метода природных условиях:
- в узком створе - (В/h) < 3, где В - ширина створа;
- при скальных породах берегов, удовлетворяющих требованиям, предъявляемым к каменным материалам плотин.
Взрывной способ перемещения грунтов как технологический прием следует использовать в сочетании с другими способами возведения части сооружения или отдельного элемента (верховой или низовой) перемычки.
Противофильтрационные устройства взрывонабросных плотин следует выполнять путем инъекции раствора в центральную призму, отсыпкой верховой слабопроницаемой призмы или экрана, а также созданием экрана из негрунтовых материалов. В проектах этих плотин надлежит предусматривать доводку сооружения до необходимых размеров. При надлежащем обосновании направленным взрывом можно возводить и однородные плотины.

1 - крепление верхового откоса; 2 - грунтовый экран; 3 - переходные слои (обратные фильтры); 4 - грунтовое ядро; 5 - верховая призма; 6 - низовая призма; 7 - верховая грунтовая противофильтрационная призма; 8 - центральная грунтовая противофильтрационная призма; 9 - цементация.
Рисунок Б.7 - Виды каменноземляных плотин

1 - навал из горной породы, образованный взрывом; 2 - контур расчетного профиля; 3 - экран; 4 - переходные слои; 5 - понур; 6 - инъекционное ядро; 7 - инъекционная завеса; 8 - центральная грунтовая противофильтрационная призма, образуемая намывом из маловодопроницаемого грунта.
Рисунок Б.8 - Виды взрывонабросных плотин

1 - тело плотины из каменной наброски; 2 - цементационная завеса; 3 - бетонный зуб; 4 - железобетонный экран; 5 - подэкрановый слой; 6 - верховая призма; 7 - диафрагма; 8 - переходные слои; 9 - низовая призма.
Рисунок Б.9 - Виды каменнонабросных плотин
Требования к материалам
7.6 Пригодность материала для возведения каменноземляных и каменно- набросных плотин должна быть обоснована данными исследований в лабораторных и натурных условиях.
Пригодность скальных пород карьера (по прочности, морозостойкости, химическим свойствам) следует устанавливать в зависимости от высоты плотины, местоположения их в профиле плотины и от климатических условий района строительства, учитывая условия разработки и транспортирования.
7.7 Зерновой состав каменного материала плотин следует подбирать, исходя из:
- обеспечения требуемой плотности укладки;
- учета местоположения грунтов в теле плотины.
При соответствующем обосновании допускается применение слабых выветрелых пород с учетом изменения их характеристик во времени.
Окончательный состав материала каменноземляных и каменно-набросных плотин необходимо принимать на основе технико-экономических расчетов рассматриваемых вариантов плотин.
7.8 Предельную крупность крупнообломочного грунта, отсыпаемого в тело плотины, и его зерновой состав следует устанавливать в проекте в зависимости от качества камня и метода возведения плотины. Крупность материала, отсыпаемого послойно с уплотнением, должна быть не более 1/2 - 1/3 толщины отсыпаемого слоя, но может быть и больше в зависимости от используемых уплотняющих механизмов.
7.9 Для плотин I и II классов высотой более 50 м физико-механические характеристики грунтов, полученные в лабораторных условиях или принятые по аналогам, следует, как правило, уточнять исследованиями на опытных насыпях (по возможности включаемых в полезный объем плотины), для плотин высотой более 100 м такие исследования обязательны.
7.10 Для наброски следует использовать камень без сортировки. Сортировку камня можно производить только при наличии соответствующего обоснования.
7.11 Укладку различного материала по частям профиля плотины, как правило, следует предусматривать при высоте плотины 50 м и более, при этом прочный материал следует использовать в более напряженных частях, а материал более морозостойких пород во внешних частях профиля.
7.12 Для материала, предназначенного к укладке в тело плотины ниже поверхности воды или подверженного ее воздействию, коэффициент размягчаемости должен быть не ниже 0,9 для изверженных и метаморфических пород и 0,8 - для осадочных. Меньшие значения коэффициента размягчаемости допускается принимать при соответствующем обосновании.
7.13 К грунтам противофильтрационных устройств (экранов, понуров, ядер, слабопроницаемых призм), переходных слоев и обратных фильтров каменноземляных плотин предъявляют те же требования, что и к соответствующим элементам земляных насыпных плотин.
Если противофильтрационное устройство возводят средствами гидромеханизации, необходимо, чтобы грунт удовлетворял требованиям, предъявляемым к грунтам намывных плотин.
7.14 Для переходных слоев и обратных фильтров каменноземляных плотин следует использовать, как правило, карьерные разнозернистые грунты.
Применение для этих целей обогащенных грунтов, полученных сортировкой, промывкой, добавлением или смешиванием различных фракций, следует допускать только при соответствующем технико-экономическом обосновании. Во всех случаях надлежит отдавать предпочтение однослойным переходным слоям и обратным фильтрам.
Очертание откосов плотины
7.15 Основные размеры поперечного профиля каменноземляных и каменно-набросных плотин следует назначать в соответствии с требованиями 5.9 - 5.15 настоящего приложения.
7.16 Крутизну откосов каменноземляных и каменно-набросных плотин следует назначать по расчету (9.10 - 9.13 настоящего приложения).
При назначении крутизны откосов плотин, возводимых направленным взрывом, необходимо учитывать начальную крутизну откосов, свободно формирующихся в результате сброса грунта взрывом.
7.17 Ширину берм на откосах плотин необходимо принимать из условия обеспечения требуемого осредненного значения крутизны откосов, но не менее 3 м.
Противофильтрационные устройства
7.18 При проектировании противофильтрационных устройств из грунтовых и негрунтовых материалов каменноземляных и каменно-набросных плотин следует учитывать требования 5.39 - 5.52 настоящего приложения.
7.19 Противофильтрационные устройства каменноземляных и каменно-набросных плотин должны сопрягаться с основанием и береговыми склонами и сохранять водоупорность, прочность и гибкость при возможных смещениях.
7.20 Градиент напора фильтрационного потока для ядра или экрана из глинистого грунта каменноземляных плотин следует принимать по критерию фильтрационной прочности (9.6 настоящего приложения).
7.21 Между грунтовым противофильтрационным устройством и крупнообломочным материалом тела плотины надлежит предусматривать обратные фильтры и переходные слои.
Толщину переходных слоев следует назначать исходя из условия производства работ, с учетом возможных горизонтальных смещений плотины и принимать не менее 3 м.
Между негрунтовым противофильтрационным устройством и грунтом тела плотины следует также предусматривать переходные слои
7.22 Материалы переходных слоев и обратных фильтров плотин следует принимать в соответствии с требованиями 5.68 - 5.73 настоящего приложения.
Зерновой состав переходных слоев плотин I и II классов надлежит уточнять экспериментально с учетом условий их работы.
7.23 Для повышения фильтрационной прочности грунтовых противофильтрационных устройств каменноземляных плотин следует предусматривать:
- уширение ядра или экрана на береговых примыканиях и в основании;
- укладку дополнительного слоя обратного фильтра в пределах сопряжения грунтового противофильтрационного устройства с основанием и берегами;
- возведение экрана или ядра из разнозернистых глинистых грунтов, способных в случае образования трещин их закольматировать.
7.24 Противофильтрационные устройства каменно-набросных плотин выполняют, как правило, из железобетона, асфальтобетона, полимерных материалов. Допускается применение металла.
7.25 Железобетонные экраны каменно-набросных плотин рекомендуется возводить только при наличии скального или малосжимаемого основания.
7.26 Железобетонные экраны выполняются однослойными, отрезанными в нижней части от контурной плиты, служащей упором, периметральным швом и разрезанными продольными вертикальными температурно-деформационными швами на продольные полосы шириной 12 - 15 м. При этом горизонтальные температурно-деформационные швы не предусматриваются.
Толщина железобетонного экрана назначается у гребня равной 0,3 м с увеличением к основанию по зависимости:
δ = 0,3 + (0,002÷0,004)H, (Б.6)
где Н - действующий напор, м.
7.27 Сопряжение железобетонного экрана с основанием следует выполнять с помощью контурной плиты. Ширина контурной плиты назначается в пределах:
- на относительно сохранной и прочной скале - (1/16 - 1/20)Н;
- на скале средней прочности - (1/10 - 1/15)Н;
- на сильно трещиноватой и выветренной - (1/6 - 1/9)Н.
Минимальная ширина контурной плиты - 3 м. Ширина контурной плиты в плане изменяется ступенчато - участками с постоянной шириной. Строительные швы предусматриваются в местах изменения ширины или резкого изменения топографии. Расстояние между швами принимается 6 - 8 м, при этом они не должны совпадать с температурно-деформационными швами экрана.
Толщина контурной плиты должна быть равна толщине примыкающего к ней экрана, но не менее 0,4 - 0,5 м.
7.28 Сопряжение экрана с контурной плитой осуществляется по принципу скользящего шва с двойным - тройным уплотнением в виде внутренней полихлорвиниловой, нижней латунной шпонок и наружного уплотнения в виде асфальтобитумной мастики.
Примечание -
Для снижения до минимума деформаций железобетонного экрана следует предусматривать зонирование поперечного профиля плотины по гранулометрическому составу укладываемого в каждую из зон грунта и степени их уплотнения.
В поперечном разрезе плотины выделяются, как правило, 4 зоны:
- подэкрановая переходная зона;
- промежуточная переходная зона;
- верховая упорная призма;
- внешняя (низовая) упорная призма.
Ширина подэкрановой переходной зоны вблизи гребня принимается 3 - 4 м по горизонтали с уширением к основанию на 3 - 4 м на каждые 100 м напора.
Зерновой состав грунта в этой зоне соответствует песчано-гравийному грунту с максимальной крупностью 80 мм и содержанием мелкозема (частиц менее 2 мм) 15 - 37%.
Уплотнение подэкрановой переходной зоны осуществляется горизонтальными слоями толщиной 40 - 50 см виброкатками, до относительной плотности, равной 98%. Кроме уплотнения горизонтальными слоями подэкрановый слой уплотняется также виброкатками по внешнему откосу.
Промежуточная переходная зона отсыпается и уплотняется одновременно с подэкрановой зоной. Ширина ее назначается такой же, как и для подэкрановой зоны.
Зерновой состав этой зоны назначается по принципу подбора обратных фильтров.
Верховая упорная призма со стороны нижнего бьефа ограничивается внутренней границей, проходящей от верхней точки экрана к основанию и к низовому откосу под углом 15 - 30° к вертикали. В этой части профиля используется крупнообломочный грунт (горная масса или гравийно-галечниковый грунт) с коэффициентом разнозернистости свыше 10 - 15, максимальной крупностью 600 - 800 мм и содержанием частиц менее 5 мм от 5% до 20%; уплотняется до относительной плотности не менее 90%.
Крупность камня (галечника) в этой зоне ограничивается только по производственным соображениям; уплотнение до относительной плотности равной 80 - 82%.
7.29 Асфальтобетонные экраны и диафрагмы допускается предусматривать при температурных воздействиях на них в периоды строительства и эксплуатации до -50°С.
7.30 Под экраном из негрунтовых материалов следует укладывать малосжимаемую, слабоводопроницаемую, суффозионно-стойкую переходную зону с коэффициентом фильтрации 10-3 - 10-4 см/сут.
Толщину подэкрановой подготовки следует назначать в зависимости от материала экрана, крупности материала подэкрановой подготовки, крупности материала в наброске, высоты плотины и условий производства работ.
Требования к основаниям плотин. Сопряжение плотин с основанием и бортами
7.31 При оценке грунтов основания и бортов следует учитывать требования 4.5, 4.6 и 5.74 - 5.84 настоящего приложения.
При строительстве плотин на скальном основании в основании и примыканиях водонепроницаемого элемента необходимо удалить покровные грунты и выветрелую часть скальных пород, в которой не может быть выполнена эффективная сопрягающая цементация.
7.32 При строительстве плотин на скальном и особенно на нескальном основании необходимо определять расчетом неравномерность осадок основания как в продольном, так и в поперечном направлении для проверки трещиностойкости противофильтрационных устройств плотин.
7.33 При проектировании каменноземляных плотин с грунтовыми противофильтрационными устройствами, возводимыми методом отсыпки грунтов в воду, должны быть предусмотрены мероприятия по обеспечению контакта грунтов этих устройств с грунтом основания.
7.34 Сопряжение грунтовых противофильтрационных устройств плотины со скальным основанием допускается предусматривать в виде торкретирования основания, береговых склонов, врезки и др.
7.35 Для улучшения статической работы, повышения трещиностойкости противофильтрационных устройств высокие плотины, расположенные в узких ущельях, рекомендуется проектировать с криволинейной осью выпуклой в сторону верхнего бьефа.
7.36 В северной строительно-климатической зоне сопряжение противофильтрационных устройств талых каменноземляных и каменнонабросных плотин с трещиноватым скальным основанием следует выполнять в виде бетонного зуба с потерной для создания цементационной (инъекционной) завесы в основании. В пределах подруслового талика цементацию основания следует предусматривать до заполнения водохранилища, а в береговых примыканиях - по мере оттаивания основания. На сильнотрещиноватых основаниях следует проводить предварительное искусственное оттаивание мерзлых грунтов основания с последующей их цементацией до начала заполнения водохранилища.
На контакте грунтовых ядер и экранов талых каменноземляных плотин с сильнотрещиноватым скальным основанием следует предусматривать устройство слабоармированной бетонной плиты в виде открылков бетонного зуба с укрепительной цементацией основания под ней.
7.37 На нескальных основаниях, сложенных слабосжимаемыми и слабоводопроницаемыми (в том числе и при оттаивании) грунтами, сопряжение противофильтрационных устройств каменноземляных плотин с основанием следует производить врезкой их в основание на глубину верхнего разуплотненного слоя. При наличии в основании верхнего слоя аллювиальных отложений из песчано-гравийно-галечниковых грунтов мощностью до 5 м сопряжение следует осуществлять с помощью зуба, входящего в коренные породы основания.
7.38 В узком створе, где затруднено возведение противофильтрационного устройства в основании, целесообразно рассматривать вариант устройства бетонной «пробки», высоту которой следует определить технико-экономическим сравнением вариантов. При этом в бетонной «пробке» могут трассироваться водоводы разного назначения: санитарных потоков, пропуска паводка либо поверхностного водослива в строительный период и др.
8.1 Проектирование грунтовых плотин должно осуществляться в соответствии с требованиями нормативных документов Российской Федерации. При строительстве плотин должно быть обеспечено выполнение требований по охране окружающей среды, рациональному использованию природных ресурсов, учету ближайших и отдаленных экологических, экономических, социальных, демографических последствий строительства при приоритете охраны здоровья человека и благополучия населения.
8.2 Определение площадки строительства плотины производится в соответствии с Земельным кодексом Российской Федерации и Законом РФ «О санитарно-эпидемиологическом благополучии населения».
8.3 При технико-экономическом обосновании проекта и проектировании грунтовой плотины должны учитываться современный уровень научно-технического прогресса и предельно допустимые нагрузки на окружающую природную среду как в строительный, так и в эксплуатационный период и предусматриваться надежные и эффективные меры предупреждения и устранения загрязнения окружающей природной среды, рациональное использование и воспроизводство природных ресурсов, оздоровление окружающей природной среды.
Технико-экономическое обоснование и проекты на строительство грунтовых плотин должны проходить государственную, а при необходимости, и общественную экологическую экспертизу.
8.4 При проектировании и строительстве грунтовых плотин (в составе гидроузла) должны быть полностью учтены реальные потребности в электроэнергии и водоснабжении данного региона, рельеф местности для размещения объекта, меры по максимальному сохранению земель и лесов, населенных пунктов, памятников природы, истории и культуры, эффективной охране рыбных запасов, своевременной утилизации древесины и плодородного слоя почв при расчистке и затоплении ложа водохранилища, по недопущению отрицательных изменений в окружающей природной среде.
8.5 При проектировании грунтовых плотин не следует применять грунтовые и негрунтовые материалы, а также технологии, способствующие химическому, физическому и биологическому загрязнению окружающей среды.
8.6 При проектировании грунтовых плотин различной высоты и конструкции должно учитываться их различное влияние на окружающую среду.
8.7 Проектирование грунтовых плотин в составе гидроузлов должно осуществляться так, чтобы объединение с природной средой приводило к формированию жизнеспособной природно-технической системы (ПТС), обеспечивающей экологически безопасное взаимодействие природного комплекса и технического объекта.
8.8 Для управления экологическими процессами необходим постоянный контроль состояния всех компонентов природно-технической системы, который должен осуществляться в составе экологического мониторинга.
Примечания
1 Мониторинг должен быть постоянной службой сбора и обработки экологических данных и являться частью производственного процесса, связанного с природопользованием, и по мере накопления данных наблюдений позволять своевременно определять направления развития тенденций экологических систем, изменять протекающие в них процессы в желательном направлении, выявлять управляющие параметры, оперативно реагировать на возможные аварийные ситуации, связанные с природопользованием.
2 Создание управляемых природно-технических систем требует особого подхода к проектированию грунтовых плотин (в составе гидроузлов) при условиях оптимизации параметров и режимов их работы в условиях многоцелевого использования водотока, когда природные комплексы выступают не только в качестве равноправных, но в некоторых случаях, и наиболее приоритетных водопользователей.
9.1 При проектировании плотин I и II классов из грунтовых материалов необходимо выполнять следующие основные расчеты в соответствии со следующими пунктами настоящего приложения:
- фильтрационные (9.3, 9.4) и фильтрационной прочности (9.5)
- обратных фильтров, дренажей и переходных слоев (9.6 - 9.9);
- устойчивости откосов, экрана и защитного слоя (9.10 - 9.13);
- напряжений и деформаций (9.14 - 6.15);
- осадок тела плотины и основания (9.16 - 9.17);
- горизонтальных смещений (9.19);
- креплений откосов на прочность от действия волн, льда и др. (9.21.);
Кроме того, дополнительно следует выполнять:
- для неоднородных земляных намывных плотин расчеты фракционирования грунта и устойчивости боковых призм (6.13, 6.14, 6.17), расчеты консолидации и порового давления (9.18);
- для земляных насыпных и каменноземляных плотин, у которых тело, ядро, экран или основание сложены из глинистых грунтов, - расчеты порового давления при их консолидации и проверку трещиностойкости (9.18, 9.22);
- для каменноземляных плотин с ядром, кроме того - проверку устойчивости на сдвиг низовой призмы плотины.
Для плотин III и IV классов достаточно выполнить следующие расчеты:
- фильтрационные и фильтрационной прочности;
- обратных фильтров, дренажей и переходных слоев;
- устойчивости откосов, экрана и защитного слоя;
- осадок тела плотины и основания;
- креплений откосов на прочность от действия волн, льда и др.
Расчеты следует производить для всех характерных поперечных сечений плотин.
9.2 Расчеты плотин во всех случаях следует выполнять для основных и особых сочетаний нагрузок в эксплуатационный период работы плотин и для сочетания нагрузок в период их возведения (строительный период).
Расчеты плотин, возводимых в сейсмических районах, следует выполнять на основе результатов определения сейсмичности района сооружения, соответствующих сейсмических нагрузок, свойств грунтов.
9.3 Фильтрационные расчеты тела плотины, основания и берегов следует выполнять для:
- определения фильтрационной прочности тела плотины, ее основания и берегов;
- расчета устойчивости откосов плотины и берегов;
- обоснования наиболее рациональных и экономичных форм, размеров и конструкций плотины, ее противофильтрационных и дренажных устройств.
При выполнении фильтрационных расчетов следует учитывать кольматаж ложа водохранилища и верхового откоса с учетом развития этого процесса во времени.
9.4 Фильтрационными расчетами (а также исследованиями) надлежит определять следующие параметры фильтрационного потока:
- положение поверхности фильтрационного потока (депрессионной поверхности) в теле плотины и берегах;
- фильтрационный расход воды через тело плотины, основание и берега;
- напоры (или градиенты напора) фильтрационного потока в теле плотины, основании, а также в местах выхода фильтрационного потока в дренаж, в нижний бьеф за подошвой низового откоса, в местах контакта грунтов с различными характеристиками и на границах противофильтрационных устройств (рисунок Б.10).
При неоднородном или анизотропном геологическом строении основания указанные в настоящем пункте параметры фильтрационного потока следует определять с учетом этих особенностей.
9.5 Фильтрационную прочность тела плотины, а также противофильтрационных устройств оценивают на основе соответствующих расчетов и экспериментальных исследований грунтов при действующих в сооружении градиентах напора с учетом напряженно - деформированного состояния сооружения и его основания, особенностей конструкции, методов возведения и условий эксплуатации.
Расчеты фильтрационной прочности следует выполнять исходя из наибольшего напора, действующего на плотину.
При оценке фильтрационной прочности необходимо обеспечение условия:
Jest,m ≤ Jcr,m/γn (Б.7)
где Jest,m - действующий средний градиент напора в расчетной области фильтрации;
Jcr,m - критический средний градиент напора, принимаемый на основании исследований грунтов в условиях, отвечающих реальным условиям эксплуатации сооружения; в предварительных расчетах и при отсутствии необходимых исследований значения Jcr,m могут быть приняты в соответствии с имеющимися аналогами или по таблице Б.8;
γn - коэффициент надежности по ответственности сооружений.
Таблица Б.8
Грунт |
Значение критических средних градиентов напора для: |
||
|
понура |
экрана и ядра |
тела и призмы плотины |
|
|
Глина и глинобетон |
15,0 |
12,0 |
8,0-2,0 |
|
Суглинок |
10,0 |
8,0 |
4,0-1,5 |
|
Супесь |
3,0 |
2,0 |
2,0-1,0 |
|
Песок: |
|
|
|
|
- средний |
- |
- |
1,0 |
|
- мелкий |
- |
- |
0,75 |
Примечания
1 Проверку фильтрационной прочности тела или призмы плотины из грунтовых материалов выполняют для поперечного профиля, назначенного исходя из расчетов устойчивости откосов.
2 В результате проверки фильтрационной прочности уточняют конструкцию плотины, в частности местоположение дренажа.
3 Значения критического среднего градиента принимают в зависимости от физико-механических свойств грунта и способа его укладки, причем большие значения Jcr,m назначают для более плотного грунта.

а - однородная плотина на слоистом основании; б - каменноземляная плотина на скальном основании.
А, Б - сопряжение несвязного и связного грунтов оснований; В - область местного выпора грунта в случае выхода потока на откос,
Je,max - расчетный (максимальный) градиент напора в зоне высачивания потока на уровне воды нижнего бьефа; α - угол наклона низового откоса ядра к горизонту; Jp, Jc, Ju, Ji, Jrun, - градиенты напора соответственно суффозии, контактного размыва, выпора, входа фильтрационного потока в дренаж, пульсаций в обратном фильтре от наката и спада волн.
Рисунок Б.10 - Фильтрационные деформации в земляных и каменноземляных плотинах и их основаниях.
9.6 При проектировании обратных фильтров, дренажей и переходных слоев надлежит:
- устанавливать расчетные параметры (зерновой состав, плотность, коэффициент фильтрации и пр.) грунтов, защищаемых обратными фильтрами, оценивать их суффозионную прочность (суффозионность) и определять расчетные размеры сводообразующих частиц и диаметр пор (da и da,max) защищаемого грунта в зависимости от его состава и условий фильтрационного потока;
- выбирать естественные карьерные грунты или искусственно получаемые (щебеночные, гранулированный шлак и др.), которые могут быть использованы для устройства обратных фильтров;
- подбирать зерновой состав первого слоя обратного фильтра и последующих слоев (если в этом есть необходимость) из выбранных естественных карьерных или искусственных материалов;
- проверять суффозионную прочность и устойчивость грунтов, защищаемых обратным фильтром, и грунтов обратных фильтров;
- устанавливать толщину и число слоев обратных фильтров;
- устанавливать допустимые пределы отступлений в зерновом составе, толщине слоев и плотности грунтов фильтра при укладке в дренажи или переходные слои.
9.7 Для обратных фильтров, дренажей и переходных слоев допускаемый коэффициент разнозернистости фильтровых материалов К60,10 должен удовлетворять условиям:
- если защищаемый грунт несуффозионный сыпучий - К60,10 ≤ (20-25), где меньшее значение К60,10 следует принимать для окатанных частиц песчаных и гравийных грунтов, а большее для щебенистых грунтов фильтра;
- если защищаемый грунт суффозионный сыпучий - К60,10 ≤ 15;
- если защищаемый грунт глинистый, с числом пластичности Ip ≥ 0,07 (допускается при обосновании Ip ≥ 0,05) - К60,10 ≤ 50;
- условие К60,10 ≤ 50 следует принимать как для обратных фильтров дренажей, так и для переходных слоев плотин;
- при толщине переходного слоя плотин более 3 м величина К60,10 может быть принята более 50 (при соответствующем обосновании);
- для фильтров, устраиваемых из пористого бетона - К60,10 ≤ 12;
- для фильтров, выполняемых отсыпкой материалов в воду - К60,10 ≤ 10.
Во всех вышеуказанных выражениях:
К60,10 = d60/d10, (Б.8)
где d60, d10 - размеры фракций грунта, масса которых вместе с массой более мелких фракций составляет соответственно 60 и 10 % массы всего грунта.
Для фильтров, выполняемых из материала с К60,10 ≤ 10, толщину слоев назначают согласно указаниям п. 5.72 настоящего приложения, а для фильтров, выполняемых из материалов К60,10 > 10, толщину слоев необходимо назначать по результатам опытных отсыпок с учетом сегрегации фильтровых материалов, возникающей при транспортировании, отсыпке и разравнивании слоев фильтра.
9.8 Отказ от устройства обратных фильтров или переходных слоев для противофильтрационных призм, укладываемых по насыпи крупнообломочных грунтов, допускается при наличии соответствующего обоснования.
9.9 Вместо грунтовых обратных фильтров допускается предусматривать при соответствующем обосновании обратные фильтры из пористого бетона и других пористых и полимерных материалов.
9.10 Расчеты устойчивости откосов грунтовых плотин всех классов следует выполнять для круглоцилиндрических поверхностей сдвига. При наличии в основании или теле сооружения ослабленных зон, прослоек грунта с более низкими прочностными свойствами, при оценке устойчивости экрана или защитного слоя и т.д. следует также выполнять расчеты для плоских (ломаных) поверхностей сдвига.
При расчетах следует использовать методы, удовлетворяющие условиям равновесия призмы обрушения и ее элементов в предельном состоянии и учитывающие напряженное состояние сооружения и его основания. Применительно к конкретным геологическим условиям и конструкции плотины могут быть использованы при соответствующем обосновании проверенные практикой упрощенные методы расчета (способы ВНИИГ - Терцаги, наклонных сил и др.). При однородных характеристиках грунта и отсутствии фильтрационных сил можно пользоваться методами, предполагающими монолитную призму обрушения. В тех же условиях при плоской поверхности откоса из несвязного грунта на скальном основании достаточно оценивать устойчивость малого объема (частицы) грунта на его поверхности сопоставлением коэффициента внутреннего трения материала с крутизной откоса. При расчетах плотин в узких каньонах, на участках с более низкими прочностными характеристиками рекомендуется оценивать устойчивость откосов с учетом пространственной работы плотины.
При расчетах устойчивости откосов грунтовых плотин всех классов, возводимых в северной строительно-климатической зоне, используя методы, удовлетворяющие условиям равновесия призмы обрушения и ее элементов в предельном состоянии, следует учитывать как напряженное, так и температурное состояние грунтов плотины и ее основания.
9.11 Устойчивость откоса плотины должна быть проверена по возможным поверхностям сдвига с нахождением наиболее опасной призмы обрушения, характеризуемой минимальным отношением обобщенных предельных реактивных сил сопротивления к активным сдвигающим силам.
Критерием устойчивости откосов плотины является соблюдение (для наиболее опасной призмы обрушения) неравенства:
γlc F(γl) ≤ (γc/γn)(R/γg), (Б .9)
где F - расчетное значение обобщенного силового воздействия, определяемое с учетом коэффициента надежности по нагрузке γg (в зависимости от метода расчета устойчивости откосов F - равнодействующая сил или моментов этих сил относительно оси поверхности сдвига);
R - расчетное значение обобщенной несущей способности системы сооружение -основание, определяемое с учетом коэффициента безопасности по грунту γg, т.е. обобщенное расчетное значение сил предельного сопротивления сдвигу по рассматриваемой поверхности;
γc, γn, γlc - коэффициенты надежности по нагрузке, ответственности сооружения, сочетания нагрузок;
γg - коэффициент надежности по грунту;
γc - коэффициент условий работы.
При поиске опасной поверхности сдвига может быть использована зависимость для коэффициента устойчивости Кs:
Кs = R/F ≥ (γnγlc) γc. (Б.10)
Полученные расчетом значения коэффициента устойчивости при соответствующем сочетании нагрузок не должны превышать величины (γnγlc)/γc более чем на 10%, если это не обусловлено особенностями сооружения.
Числовые значения коэффициентов γn и γlc приведены в таблицах Б.9, Б.10.
Таблица Б.9
|
Класс сооружения |
I |
II |
III |
IV |
|
Значение γn |
1,25 |
1,20 |
1,15 |
1,10 |
Таблица Б.10
|
Сочетание нагрузок |
основное |
особое |
строительного периода |
|
Значение γlc |
1,00 |
0,90 |
0,95 |
Величина коэффициента γc принимается в зависимости от используемого способа расчета равной 0,95÷1,00.
Для плотин IV класса при особом сочетании нагрузок Кs ≥ 1,0 независимо от величины γc.
9.12 При расчетах устойчивости откосов плотин необходимо рассматривать следующие случаи.
Для низового откоса:
- первый расчетный случай (основной): в верхнем бьефе - нормальный подпорный уровень НПУ, в теле плотины - установившаяся фильтрация; при наличии воды в нижнем бьефе глубину ее принимают максимально возможной при НПУ, но не более (0,2÷0,3)hi, где hi - высота откоса;
- второй расчетный случай (основной) при открытых водосбросах (без затворов): подпорный уровень и уровень нижнего бьефа определяют максимальным расходом, относимым к основным сочетаниям нагрузок и воздействий;
- третий расчетный случай (особый): в верхнем бьефе - подпорный уровень воды (ФПУ), в нижнем бьефе глубину воды принимают максимальной, соответствующей ФПУ.
Для верхового откоса:
- первый расчетный случай (основной): максимальное возможное снижение уровня воды в водохранилище от НПУ или от подпорного уровня, соответствующего пропуску максимального расхода, относимого к основным сочетаниям воздействий, с наибольшей возможной скоростью, при этом учитывают фильтрационные силы неустановившейся фильтрации;
- второй расчетный случай (строительного периода): уровень воды в верхнем бьефе находится на отметке, отвечающей заполнению (0,2÷0,3)hj, где hj - высота откоса; поверхность депрессии в теле плотины принимают соответствующей принятому уровню заполнения;
- третий расчетный случай (особый): максимально возможное снижение уровня воды в водохранилище от ФПУ с наибольшей возможной скоростью, при этом учитывают фильтрационные силы неустановившийся фильтрации.
Примечания
1 Для земляных плотин с волногасящими откосами следует производить расчет устойчивости с учетом волнового воздействия.
2 При расчете устойчивости откосов земляных намывных плотин необходимо учитывать фильтрацию из прудка при проектируемом его положении в период намыва плотины и насыщение водой грунтов откосов (расчетный случай строительного периода).
3 При расчете устойчивости откосов плотин в сейсмических районах сейсмические воздействия учитывают согласно выполненным исследованиям.
4 Устойчивость верхового откоса плотины в условиях сейсмического воздействия следует проверять как для случая быстрого снижения уровня воды в водохранилище от НПУ до наиболее низкого эксплуатационного уровня, так и для случая продолжительного стояния НПУ (или ПУ, соответствующего пропуску расхода, относимого к основным воздействиям).
5 Если консолидация связных грунтов плотины и ее основания не завершается к моменту окончания строительства, в расчетах устойчивости откосов следует учитывать поровое давление как для строительного, так и для эксплуатационного периода.
6 Для плотин с грунтовым экраном следует рассчитывать устойчивость экрана на откосе плотины и устойчивость крепления на экране. Для участков поверхности сдвига на контакте экрана и плотины или крепления и экрана прочностные характеристики принимают для менее прочного грунта.
7 Расчет устойчивости боковых призм земляных намывных плотин с ядром из глинистого грунта надлежит выполнять с учетом порового давления в период консолидации ядра (расчетный случай строительного периода).
8 Местная устойчивость откосов между бермами должна обеспечиваться с учетом всех действующих нагрузок (по основному, строительному, особому сочетанию нагрузок).
9 Устойчивость откосов каменно-насыпных плотин с железобетонным экраном определяется только по результатам расчетов напряженно-деформированного состояния плотины с использованием прочностных и деформационных характеристик грунтов в теле плотины, полученных на основании трехосных испытаний.
10 Участки плотины между бермами в тех случаях, когда нарушение их устойчивости не приводит к потере общей устойчивости сооружения, допускается рассчитывать по II группе предельных состояний.
9.13 При расчете устойчивости откосов плотин прочностные характеристики грунтов тела плотин I и II классов следует принимать переменными в зависимости от напряженного и температурного состояния грунта в зоне прохождения поверхности сдвига, а для плотин III и IV классов - постоянными.
9.14 Напряженно-деформированное и температурное состояние тела плотины из грунтовых материалов и ее основания следует учитывать в расчетах устойчивости откосов плотины, фильтрационной прочности на контакте водоупорных элементов с основанием, проверки трещиностойкости водоупорных элементов, прочности негрунтовых противофильтрационных устройств, анализа поведения плотины при проведении натурных исследований, а также для подбора материалов плотины.
9.15 В расчетах напряженно-деформированного состояния плотин I и II классов следует, как правило, применять нелинейные модели, учитывающие пластические деформации грунта в предельном состоянии, при условии определения параметров деформирования испытанием образцов грунта в одометрах и стабилометрах. При этом размеры образцов должны отвечать зерновому составу грунта тела плотины и основания. Для крупнозернистого грунта допускается использовать модельный грунт. В расчетах необходимо учитывать поэтапность возведения плотины, скорость заполнения водохранилища, а для плотин, возводимых в северной строительно-климатической зоне, последовательность промораживания и оттаивания тела и основания плотины.
Для плотин III и IV классов допускается производить расчеты по модели линейно-деформированного тела.
9.16 Расчет осадок тела и основания плотины следует выполнять при выборе конструкции и технологии производства работ, а также для определения требуемого строительного подъема плотины и уточнения объема работ по сооружению плотины.
Для намывных плотин строительный подъем определяют согласно требованиям настоящего пункта и 9.17, 9.18 настоящего раздела.
Расчет осадок плотины следует производить в каждом характерном ее поперечном сечении по нескольким вертикалям, проходящим в элементах плотины из различных материалов (ядре, экране, призме и т.д.).
9.17 Для плотин I и II классов расчет осадок и их изменения во времени следует производить на основании результатов экспериментальных исследований сжимаемости грунтов с учетом напряженно-деформированного состояния плотин. Поровое давление, ползучесть грунта, его просадочность и набухание при повышении влажности в период эксплуатации необходимо учитывать в зависимости от их наличия.
Напряженно-деформированное состояние плотин, возводимых в северной строительно-климатической зоне, следует определять с учетом температурного режима грунтов плотины и ее основания.
Для плотин III и IV классов допускается производить расчет осадок по приближенным зависимостям с использованием значений модулей деформаций по аналогам.
9.18 Поровое давление следует учитывать при проектировании и строительстве грунтовых плотин, имеющих в основании толщу илов или слабого водонасыщенного глинистого грунта. В этих случаях поровое давление должно учитываться при расчетах устойчивости откосов и деформации плотин в строительный период и начальный период эксплуатации, а также при размещении КИА (в обязательном порядке и во всех случаях). В остальных грунтовых плотинах в расчетах для случаев, когда максимальное значение коэффициента порового давления ru,max, определяемое отношением порового давления u к максимальному значению приложенного напряжения а, превышает нормативное значение коэффициента порового давления run = 0,1.
Величину ru,max следует определять по формуле:
ru,max = rис rио, (Б.11)
где rис - коэффициент порового давления, определяемый по схеме закрытой системы (без оттока воды из грунта);
rио - коэффициент порового давления, определяемый по схеме открытой системы (с оттоком воды из грунта).
9.19 Горизонтальные смещения плотин определяют путем расчета напряженно- деформированного состояния с учетом изменения сжимаемости грунтов при повышении их влажности, а в северной строительно-климатической зоне - при изменении их температурно-влажностного состояния.
Для плотин II-IV классов допускается оценивать горизонтальные смещения с использованием аналогов (данных о плотинах, построенных в подобных условиях и имеющих тот же тип конструкции). Для предварительных оценок горизонтальных смещений гребня плотины следует принимать их равными осадке гребня после наполнения водохранилища.
9.20 При проектировании плотин с экраном или ядром (диафрагмой) необходимо учитывать деформации береговых склонов.
В плотинах с негрунтовыми экранами и диафрагмами надлежит рассчитывать продольные и поперечные смещения экранов и диафрагм. Напряженно-деформированное состояние диафрагмы (экрана) следует рассчитывать с учетом трения грунта по поверхности диафрагмы (экрана), схем опирания устройства на основание и схем разрезки деформационными швами.
9.21 Плиты крепления откосов плотин следует проверять на прочность от воздействия давления волн и льда.
9.22 Трещиностойкость земляных плотин и водоупорных элементов каменноземляных плотин следует определять путем расчета их напряженно-деформированного состояния. При этом следует учитывать поровое давление, а для плотин I и II классов - изменение сжимаемости и ползучести в соответствии со свойствами грунтов, слагающих тело плотины и основания.
10.1 Состояние грунтового сооружения в период эксплуатации оценивается контролирующими показателями:
- контролирующие показатели - назначенные проектом показатели состояния (измеряемые и рассчитываемые), которые для работающего сооружения должны периодически определяться и сравниваться с предельно допустимыми и критическими их значениями (данными в проекте и уточненными в период эксплуатации);
- предельно допустимые показатели (ПДЗ) - показатели состояния сооружения, при которых выполняются требования нормативных документов (СНиП), т.е. такие показатели, при которых обеспечивается нормативная надежность сооружения;
- критические значения (КЗ) - показатели состояния сооружения, при которых не обеспечивается его нормативная надежность.
10.2 Плотина считается работоспособной и исправной при выполнении следующих условий:
- значения контролирующих показателей состояния соответствуют предельно допустимым, установленным для работоспособного исправного состояния сооружения;
- визуальными наблюдениями не обнаружено потенциально опасных повреждений и неблагоприятных процессов (приложение В).
При исправном работоспособном состоянии плотины проводятся контрольные наблюдения и текущий ремонт.
10.3 Плотина считается работоспособной, но неисправной в тех случаях, когда:
- визуальными наблюдениями обнаружены повреждения;
- количественный показатель (показатели) состояния не соответствует предельно допустимым значениям (ПДЗ), установленным для работоспособного исправного состояния.
При работоспособном неисправном состоянии сооружение продолжает выполнять заданные функции. Проводятся дополнительные исследования с целью выяснения причин неисправности и способу их устранения. Устранение повреждений может быть выполнено при нормальной эксплуатации сооружения.
10.4 Состояние плотины считается неработоспособным в случаях, когда:
- визуальными наблюдениями обнаружены повреждения;
- один (или несколько) измеренных контролирующих показателей находится в диапазоне между предельно допустимым значением, соответствующим работоспособному, но неисправному состоянию и критическим значением показателя состояния.
На плотину, находящуюся в неработоспособном состоянии, снижаются нагрузки, наблюдения проводятся по специально разработанной программе, выполняются исследования с целью прогноза ее состояния и решения вопросов ремонта или усиления.
10.5 Состояние плотины оценивается как аварийное (предельное) в тех случаях, когда:
- визуальными наблюдениями обнаружены нарушения или процессы, развитие которых может привести к разрушению (т.е. аварии) плотины;
- один или несколько показателей состояния сооружения достигли критических значений (КЗ).
Аварийное (предельное) состояние плотины обязывает эксплуатационный персонал срочно выполнять работы в соответствии с планом противоаварийных мероприятий и обеспечить безопасность плотины путем ограничений режима ее эксплуатации. После устранения угрозы аварии выполняются исследования по выявлению причин, приведших к аварии, разрабатывается комплекс мероприятий по восстановлению эксплуатационных функций плотины в прежнем или новом режиме. На период выполнения ремонтных мероприятий могут быть установлены дополнительные ПДЗ показателей состояния. В отдельных случаях рассматриваются условия консервации сооружения.
10.6 Различают следующие виды ремонтов плотин из грунтовых материалов:
- текущие;
- капитальные;
- предотвращающие аварии;
- послеаварийные;
- ремонты при реконструкции сооружений.
10.7 К текущим ремонтам относится выполнение следующих ремонтных работ:
- заделка промоин и других поверхностных деформаций на гребне и откосах плотины;
- ремонт креплений верхового и низового откосов при их незначительных повреждениях;
- заделка трещин на гребне и откосах плотины, при которых не требуется снижение бьефа в водохранилище;
- восстановление оползшего откоса (если его оползание не повлекло разрушение плотины);
- расчистка дренажных канав;
- доведение гребня плотины до проектной отметки при осадках и др.
Необходимость такого рода ремонтных работ, обычно, устанавливается визуальными и инструментальными наблюдениями, не требует специальных обоснований, применения больших технических средств.
10.8 К капитальным ремонтам относятся следующие виды работ:
- замена бетонного крепления верхового откоса при сниженном уровне воды верхнего бьефа;
- заделка глубоких трещин на гребне плотины путем прохода траншей и заполнения их уплотняемым грунтом при сниженном уровне воды верхнего бьефа;
- замена заиленного дренажа при сниженном уровне верхнего бьефа и др.
Необходимость такого ремонта обосновывается на основе анализа результатов визуальных наблюдений, показаний КИА, выполненных дополнительных исследований (геофизическими, и другими методами), соответствующими расчетами.
Эти работы требуют применения специальных технических средств.
10.9 Необходимость предотвращающего аварию ремонта возникает, если визуальными наблюдениями и показаниями КИА обнаружены следующие нарушения в работе плотины из грунтовых материалов:
- подъем поверхности депрессии с выходом на откос;
- выходы сосредоточенного фильтрационного потока, грифоны;
- вынос частиц грунта;
- повышение поверхности депрессии (выше принятых предельных значений);
- увеличение фильтрационного расхода (выше принятых предельных значений);
- мутность профильтровавшейся воды;
- продольные и поперечные трещины на гребне плотины с прогрессирующим их удлинением и раскрытием (трещины откола);
- оползание откоса (верхового или низового), грозящее разрушением плотины;
- осадка гребня (выше предельных значений);
- воронки на гребне или откосах и др.
При обнаружении указанных нарушений необходимо усилить контроль за сооружением, установить причину нарушений, наметить план первоочередных мероприятий. Одним из первоочередных мероприятий является снижение напора на сооружение при постоянном контроле его состояния.
В зависимости от причины нарушения, которая в ряде случаев устанавливается только в результате выполнения научно-исследовательских, а иногда и инженерно-геологических работ, разрабатывается план (проект) ремонтных работ.
Ремонтные работы могут выполняться двух видов - первоочередные и основные.
Первоочередные работы замедляют или приостанавливают разрушительные процессы в плотине.
Основные работы выполняются после окончательного установления причины нарушения, выполнения соответствующих расчетов, обоснований, проекта ремонта. Такие работы выполняются с привлечением специальных технических средств и не планируемых материальных затрат.
10.10 Аварии на плотинах из грунтовых материалов приводят к разрушению напорного фронта в результате: перелива через гребень, нарушения фильтрационной прочности в теле, основании, сопряжениях с бетонными сооружениями и берегами, обрушения откосов и др.
Восстановительные работы выполняются на основе:
- анализа условий эксплуатации сооружения;
- установления причин аварии;
- исполнительной съемки в месте аварии;
- инженерно-геологических и научно-исследовательских работ;
- проектных работ по восстановлению;
- оценки целесообразности проведения восстановительных работ или консервации сооружения.
В приложении Б.15 приводятся основные виды нарушений (отказов) грунтовых плотин, способы их обнаружения, возможные причины и способы ремонта.
10.11 При реконструкции плотин из грунтовых материалов, как правило, увеличивается их высота и соответственно напор на сооружение. Изменяя в целом конструкцию плотины, можно сохранить некоторые ее элементы, выполнив их ремонт. К таким элементам следует отнести дренажи, крепления откосов, негрунтовые ПФУ, если в них не обнаружены нарушения. Ремонт указанных элементов плотин осуществляют при выполнении их надежного сопряжения с возводимой частью плотины и с учетом условий работы всего реконструируемого сооружения.
(в дополнение к разделу 3 Стандарта)
1 створ плотины: Линия между двумя установленными знаками на противоположных берегах реки, обозначающая место строительства плотины.
2 высота плотины: Вертикальный размер профиля плотины h, измеряемый от подошвы наиболее глубоко заложенной ее части (грунтового экрана, ядра и т.п.) до гребня (рисунок Б.1.1).
Размеры бетонного зуба, шпоры, шпунта, завесы, парапета, а также строительный подъем гребня в понятие высоты плотины не входят.
3 ширина плотины понизу: Горизонтальный размер профиля плотины b, измеряемый между крайними нижними точками верхового и низового откосов, включая перемычки, если они входят в тело плотины.
Размеры понура, разбираемой части низовой перемычки и т.п. в понятие ширины плотины не входят.
4 длина плотины: Горизонтальный размер плотины L - измеряемый между крайними точками гребня вдоль ее оси (которая может быть непрямой).
Размеры завесы, парапета, устоев, сопрягающих грунтовую плотину с бетонными сооружениями, в понятие ее длины не входят.
5 крутизна откосов плотины: Отношение высоты откосов hi профиля плотины от крайней нижней точки до гребня к их заложению bi (горизонтальной проекции).
Крутизна обычно выражается через величину, обратную m (пологость, коэффициент откоса):
hi/bi = 1/m. (Б.1.1)
6 ось плотины: Линия, условно проведенная вдоль плотины, как правило, по середине гребня.
7 профиль плотины условно может быть разделен на три части (рисунок Б.1.2).
7.1 нижняя (цокольная) часть плотины (высота hн): Сопряжение плотины с основанием.
В этой части расположены сопрягающие с основанием устройства (понур, железобетонные плиты, цементационные, дренажные галереи).
7.2 средняя часть плотины (высота hc): Основная часть плотины.
7.3 верхняя (гребневая) часть плотины (высота hв): Часть плотины выше НПУ и до гребня плотины.

а - поперечный профиль плотины; б - продольный профиль плотины
1 - естественная поверхность основания; 2 - проектный контур основания; 3 - контур цементации
Рисунок Б.1.1 - Плотины из грунтовых материалов
Термины и определения, применяемые при гидротехническом строительстве в северной строительно-климатической зоне
8 принцип строительства I: Вечномерзлые грунты основания плотины сохраняются в мерзлом состоянии при ее строительстве и эксплуатации, а талые грунты противофильтрационного устройства плотины и его основания замораживаются до начала заполнения водохранилища и сохраняются в мерзлом состоянии при эксплуатации.
9 принцип строительства II: Допускается оттаивание многолетнемерзлых грунтов основания в ходе строительства и эксплуатации плотины или искусственное их оттаивание на заданную глубину до начала заполнения водохранилища.
10 мерзлая плотина: Плотина, водонепроницаемость которой обеспечивается мерзлым состоянием грунтов противофильтрационного устройства и его основания.
11 талая плотина: Плотина, грунты тела и основания которой имеют положительную температуру или находятся частично в мерзлом состоянии и позволяют существовать фильтрационному потоку в теле и основании или только в основании плотины.
12 таломерзлая плотина: Плотина, у которой отдельные по напорному фронту участки возводятся по разным принципам строительства. Сопряжения между талыми и мерзлыми участками плотины осуществляются за счет использования охлаждающих устройств.
13 талик: Участок горной породы с положительной температурой, расположенный в массиве многолетнемерзлых пород.
13.1 талик сквозной: талик, прорезающий всю толщину многолетнемерзлых грунтов в основании и сопрягающийся с подмерзлотными талыми породами.
14 мерзлотная завеса: Льдогрунтовая стенка, создаваемая в массиве талого грунта с помощью охлаждающих устройств, обладающая водонепроницаемостью и способностью выдерживать механические нагрузки.
14.1 висячая мерзлотная завеса: Завеса, нижняя часть которой не сопрягается с кровлей многолетнемерзлых грунтов.
14.2 глухая мерзлотная завеса: Завеса, которая сопрягается с толщей многолетнемерзлых грунтов основания.
15 замораживающие системы: комплексы, состоящие из отдельных или объединенных в группы охлаждающих устройств, установленных в теле и (или) основании плотины, для замораживания и охлаждения грунта.
16 сезоннодействующие охлаждающие устройства (СОУ): теплообменные устройства различного типа, применяющиеся для охлаждения и замораживания грунта за счет естественных температур воздуха зимой или охлаждаемого агента (воздуха или жидкости) летом.

h - высота плотины; hн - цокольная часть плотины; hc - средняя часть плотины; hв - верхняя часть плотины.
Рисунок Б.1.2 - Основные фрагменты плотины.
Значительная роль в поиске оптимальных решений для грунтовых плотин принадлежит эффективному использованию местных грунтовых материалов, в том числе и некондиционных, а именно: слабопрочных, переувлажненных, требующих обогащения.
На рисунке Б.2.1 представлены кривые, позволяющие сделать сравнительную оценку (по объемам) разных типов грунтовых плотин, построенных в различных странах. Кривые построены на основе таких показателей как объем плотины, ее максимальная высота и длина по гребню. Данные получены из 19-ти Национальных Комитетов стран - участниц Международной Комиссии по большим плотинам, по ста каменноземляным и каменно-набросным плотинам, построенным за последние 30 лет.
Анализ этих данных показал, что в основном плотины из грунтовых материалов возводятся высотой не более 250 м при объемах не более 30 млн. м3. Наряду со строительством земляных и каменноземляных плотин с грунтовыми противофильтрационными устройствами (ядрами, экранами), все более широкое распространение во многих странах получили каменно-набросные плотины с экранами и диафрагмами из асфальтобетона и железобетона, металла и полимерных материалов. Последние характеризуются высокой экономичностью (по объему).
Широкое строительство каменно-набросных плотин стало возможным прежде всего благодаря созданию высокомеханизированных комплексов по возведению негрунтовых противофильтрационных устройств, а также использованию мощных виброкатков для качественного уплотнения упорных призм до плотности грунта, при которой деформации тела плотины не могут привести к нарушению надежной работы противофильтрационных элементов. Применение виброкатков обеспечивает получение высокой плотности материала упорных призм и высоких значений прочностных характеристик грунтов, вследствие чего объем плотин может быть уменьшен на 15-25% в зависимости от их конструкции.
Для большинства каменно-набросных плотин с негрунтовыми противофильтрационными устройствами их верховые и низовые откосы близки к углу естественного откоса материала призмы и изменяются от 1:1,3 до 1:1,5 (при строительстве плотин на скальных основаниях).
Существенное снижение деформаций материала упорных призм позволяет создать простые конструкции негрунтовых противофильтрационных элементов без сложных вертикальных и горизонтальных деформационных швов.
Кривые 1 - 3, 5 (рисунок Б.2.1), характеризующие зависимость Сo = f(L/H), показывают, что наименее экономичными (по объему) каменноземляными плотинами являются плотины, построенные в СССР (кривая 1) и в Индии (кривая 2). Более экономичными каменноземляными плотинами являются плотины, построенные в Норвегии (кривая 5), что и не удивительно, если учесть, что большинство из них располагается на скальных основаниях и имеют верховые откосы в пределах 1:1,4 - 1:1,35 при высоте плотин, достигающей 120 - 140 м.
Однако наиболее экономичные (по объему) плотины - это каменно-набросные, с асфальтобетонными (кривая 4) и железобетонными экранами (кривая 6).
В таблице Б.2.1 приведены примеры средней интенсивности возведения высоких каменноземляных плотин с грунтовыми ядрами. Уплотнение грунтов в настоящее время выполняется преимущественно виброкатками массой 8 - 25 т.

Коэффициент С0 (приведенная ширина, м), получен из формулы:
V = C0·H·L;
где L - длина плотины по гребню, м;
H - высота плотины максимальная, м;
V - объем плотины, м3
Рисунок Б.2.1 - Кривые сравнительной экономичности (по объему) отдельных видов грунтовых плотин, построенных в различных странах (составлены на основе проектных данных по объему, высоте и длине плотины).
Таблица Б.2.1
|
№ п/п |
Страна |
Название плотины |
Высота плотины, м |
Число лет строительства плотины |
Средняя интенсивность отсыпки плотины в год, млн. м3 |
Метод уплотнения |
|
1 |
Пакистан |
Мангла |
138,0 |
6 |
10,590 |
Пневмокаток: 5-6 проходов |
|
2 |
Канада |
Ла Гранд-2 |
128,0 |
3 |
6,450 |
Виброкаток 10 т: 4 прохода |
|
3 |
Канада |
Ла Гранд-4 |
168,0 |
5 |
4,640 |
Виброкаток 10 т: 4 прохода |
|
4 |
Индия |
Биас |
115,0 |
14 |
3,870 |
Виброкаток: 4 прохода Трактор 24: 6 проходов |
|
5 |
Колумбия |
Бата |
237,0 |
4 |
2,900 |
Пневмокаток: 5-6 проходов |
|
6 |
СССР |
Чарвакская |
168,0 |
8 |
2,360 |
Пневмокаток Д-326: 6 проходов |
|
7 |
СССР |
Нурекская |
300,0 |
26 |
2,250 |
Виброкаток А-8, А-12 и ПВК-70; груженый автосамосвал |
|
8 |
СССР |
Колымская |
130,0 |
7 |
2,18 |
Груженый автосамосвал |
1 Поровое давление необходимо учитывать при проектировании и строительстве грунтовых плотин, имеющих в основании толщу илов или слабого водонасыщенного глинистого грунта. В этих случаях поровое давление должно учитываться при расчетах устойчивости откосов и деформации плотин в строительный период и начальный период эксплуатации, а также при размещении КИА (в обязательном порядке и во всех случаях). В остальных грунтовых плотинах при расчетах деформаций основания и тела плотины из грунтовых материалов, а также при определении устойчивости плотины, если коэффициент порового давления ru,max к концу ее возведения превышает величину run в какой-либо части тела плотины и ее основания.
Указанные условия определяются критерием:
ru,max = rис·rио. (Б.3.1)
2 Величину rис определяют по графику на рисунке Б.3.1 в зависимости от напряжения σ, равного давлению вышележащего грунта на горизонтальную площадку, и параметра П.
Параметр П определяют по графику на рисунке Б.3.2 для начального значения степени влажности грунта Sr,in и отношения amax/ein, где ein - начальное значение коэффициента пористости; amax - максимальное значение коэффициента уплотнения, найденного по компрессионной зависимости.
3 Величину ru определяют по графику на рисунке Б.3.3 в зависимости от коэффициента степени консолидации С0v, равного:
(Б.3.2)
где Cv,min - наименьшее значение коэффициента консолидации;
t - время роста нагрузки σ до наибольшего значения σmax (рисунок Б.3.4 а, б);
d = h (рисунок Б.3.4 a); d = h/2 (рисунок Б.3.4 б);
t - время возведения плотины (рисунок Б.3.4 в, г);
d = hm1 (рисунок Б.3.4 в);
d = bum/2 (рисунок Б.3.4 г).
4 При оценке величины ru,max рекомендуется вначале определить rис. Если rис ≤ run, то поровое давление можно не учитывать.
В тех случаях, когда rис > run, необходимо определить величину rио, а затем ru,max = rис ruо
Величину Cv,min рекомендуется определять экспериментально.
В случае неоднородного грунта следует принимать для расчета характеристики грунта с наибольшими величинами Sr,in и a.

Рисунок Б.3.1 - Номограмма для определения порового давления ruс.

Рисунок Б.3.2 - Номограмма для определения параметра П.

Рисунок Б.3.3 - График зависимости коэффициента порового давления rи0 от С0v.

а - слой на водоупоре; б - слой на дренаже; в - однородная плотина; г - ядро каменноземляной плотины
Рисунок Б.3.4 - Различные случаи определения коэффициента порового давления rи0.
1. В проектах плотин I-III классов необходимо предусматривать установку контрольно-измерительной аппаратуры (КИА) для проведения наблюдений за работой и состоянием сооружений и их оснований как в процессе строительства, так и в период эксплуатации, используя результаты этих наблюдений для оценки надежности объекта, своевременного выявления дефектов, назначения ремонтных мероприятий, предотвращения аварий и улучшения условий эксплуатации. Натурные наблюдения могут быть контрольными и специальными.
2. Контрольные натурные наблюдения следует проводить в целях изучения основных параметров работы плотины и основания, комплексного анализа их состояния и оценки эксплуатационной надежности. Состав и объем контрольных наблюдений следует назначать в зависимости от класса плотины, ее конструктивных особенностей, климатических, инженерно-геологических, в том числе геокриологических, гидрогеологических, сейсмических условий, а также условий возведения и требований эксплуатации и экологической безопасности.
При наблюдениях, как правило, следует определять:
- отметки уровней воды верхнего и нижнего бьефов;
- положение депрессионной поверхности в теле плотины и берегах;
- эффективность работы дренажа и противофильтрационных устройств;
- расходы воды, фильтрующейся через плотину и ее основание, а также в берегах и местах примыкания плотины к бетонным сооружениям;
- мутность, температуру, а при необходимости - и химический состав профильтровавшейся воды и воды в водохранилище вблизи плотины по всей его глубине;
- поровое давление в глинистых элементах тела плотины и основания;
- осадку тела плотины, основания и береговых примыканий;
- горизонтальные смещения гребня, берм и противофильтрационных устройств;
- напряжения и деформации в теле плотины, противофильтрационных устройствах, а также в основании;
- сейсмические колебания;
- ледовые воздействия.
В состав контрольных наблюдений следует включать систематические визуальные наблюдения за состоянием креплений и местными деформациями откосов и гребня плотины, водосбросных кюветов, появлением выходов профильтровавшейся воды, размывами откосов и берегов, появлением наледей, заилением и зарастанием дренажных траншей.
В северной строительно-климатической зоне, помимо указанного состава наблюдений, следует измерять температуру воды в верхнем бьефе, включая температуру придонного слоя воды в водохранилище, температуру грунтов тела и основания плотины, а также проводить наблюдения за работой и состоянием СОУ.
3 Для плотины IV класса и их оснований следует предусматривать комплексные визуальные наблюдения. Инструментальные наблюдения следует, как правило, ограничивать наблюдениями за смещениями, осадкой, положением депрессионной поверхности и фильтрационными расходами. При соответствующем обосновании допускается не проводить инструментальных наблюдений.
4. Специальные натурные наблюдения проводят в целях получения данных для уточнения методов и результатов расчета и модельных исследований, обоснования конструктивных решений, методов производства работ и улучшения условий эксплуатации плотин.
5. Проект натурных наблюдений должен включать:
- программу наблюдений с изложением цели, задач, состава, объема, методики с указанием сроков, номенклатуры и технических характеристик КИА;
- общие схемы и рабочие чертежи размещения и монтажа КИА в плотине, основании, береговых примыканиях и отдельных элементах, прокладки и коммуникации кабельных линий и устройства измерительных пультов;
- рабочие чертежи закладных деталей и монтажных приспособлений для установки КИА;
- спецификации устанавливаемой КИА, вторичных приборов, вспомогательного оборудования, кабелей;
- инструкцию по установке КИА, прокладке кабельных линий и оборудованию пультов;
- смету на приборы, вспомогательное оборудование, кабельную продукцию, проведение наблюдений, обработку и анализ результатов.
Номенклатуру, число приборов и их местоположение в теле плотины, основании, береговых примыканиях и отдельных элементах сооружения назначают исходя из задач состава и объема наблюдений и исследований. При этом следует стремиться к автоматизации всех наблюдений.
6. В проект должны быть включены требования по периодичности проведения, обработке и систематизации натурных наблюдений за работой и состоянием сооружения и его основания, как в период строительства, так и в период эксплуатации.
7. При расчетах плотин всех классов должны устанавливаться критериальные значения параметров состояния плотин и их оснований, контролируемые натурными наблюдениями. Значения критериальных параметров включают в проект.
8. Критериальные значения параметров состояния плотины принимаются равными расчетным значениям для основного и особого сочетания нагрузок и могут уточняться в процессе строительства и эксплуатации.
9. Данные, полученные в период строительства, могут служить основанием для внесения соответствующих изменений в проект.
1. Теплофизические характеристики грунта (теплопроводность λ и объемная теплоемкость С) определяют опытным путем в соответствии с ГОСТ 26263-84 «Грунты. Метод лабораторного определения теплопроводности мерзлых грунтов».
2. При расчетах температурного состояния сооружений II - IV классов и их оснований, а также при выполнении предварительных теплотехнических расчетов расчетные значения теплофизических характеристик талых и мерзлых песков, супесей, суглинков, глин, заторфованных грунтов и торфа допускается принимать по аналогам.
3. Для супесчано-суглинистых грунтов, укладываемых в противофильтрационные устройства плотин, рекомендуется принимать расчетные значения теплофизических характеристик по аналогам по плотности и влажности, а для больших значений плотности уложенного грунта и оптимальных влажностей - по таблице Б.5.1.
4. Расчетные значения теплофизических характеристик дресвяно-щебенистых грунтов с супесчано-суглинистым заполнителем, грунтовых смесей с содержанием крупных фракций (диаметром более 2 мм) Рк = (0,1-1,0) д.е. (в долях единицы) и супесчано-суглинистых грунтов с содержанием крупнообломочных включений Рк > 0,1 д.е. по массе допускается принимать по таблице Б.5.2.
5. Для засоленных хлоридами Na и Са искусственных грунтов и грунтовых смесей, используемых для укладки в тело плотины, теплофизические характеристики рекомендуется определять по таблице Б.5.3.
Таблица Б.5.1
Грунты |
|||||||
|
талые |
мерзлые |
||||||
|
Плотность сухого грунта ρd,th, т/м3 |
Суммарная влажность wtot, д.е. |
Теплопроводность λth,
|
Теплоемкость Cth,
|
Плотность сухого грунта ρd,tf, т/м3 |
Суммарная влажность wtot, д.е. |
Теплопроводность, λf,
|
Теплоемкость Cf,
|
|
- |
- |
- |
- |
1,7 |
0,03 |
0,56 (0,51) |
1,35 (320) |
|
1,8 |
0,02 |
0,47 (0,41) |
1,40 (330) |
- |
- |
- |
- |
|
2,2 |
0,03 |
1,13 (0,98) |
2,30 (550) |
2,2 |
0,03 |
1,14 (0,98) |
2,05 (490) |
|
- |
- |
- |
- |
1,6 |
0,06 |
0,52 (0,44) |
1,35 (320) |
|
1,9 |
0,08 |
1,13 (0,98) |
2,15(510) |
1,9 |
0,07 |
0,92 (0,79) |
2,20 (325) |
|
2,1 |
0,08 |
1,18 (1,02) |
2,50 (595) |
2,1 |
0,08 |
1,26 (1,08) |
2,25 (535) |
|
2,2 |
0,07 |
1,87 (1,61) |
2,50 (595) |
2,2 |
0,07 |
1,09 (0,94) |
1,80 (420) |
|
1,6 |
0,12 |
0,63 (0,54) |
2,05 (490) |
1,6 |
0,11 |
0,54 (0,49) |
1,80 (420) |
|
1,8 |
0,12 |
0,85 (0,73) |
2,30 (550) |
1,8 |
0,12 |
0,78 (0,67) |
2,20 (525) |
|
2,2 |
0,12 |
1,55 (1,33) |
3,00 (715) |
2,2 |
0,13 |
0,84 (0,72) |
2,75 (655) |
|
1,6 |
0,13 |
0,68 (0,58) |
2,15 (510) |
1,6 |
0,13 |
0,76 (0,66) |
1,75 (420) |
|
1,8 |
0,13 |
1,02 (0,87) |
2,30 (550) |
1,8 |
0,13 |
1,12 (0,97) |
2,35 (560) |
|
2,0 |
0,13 |
1,31 (1,12) |
3,05 (725) |
2,0 |
0,13 |
1,37 (1,14) |
2,55 (610) |
|
1,6 |
0,19 |
1,09 (0,93) |
2,80 (665) |
1,6 |
0,19 |
1,09 (0,94) |
2,25 (535) |
|
1,8 |
0,19 |
1,31 (1,13) |
3,00 (715) |
1,8 |
0,19 |
1,20 (1,03) |
2,30 (550) |
|
1,9 |
0,19 |
1,82 (1,39) |
3,20 (760) |
1,9 |
0,19 |
1,35 (1,16) |
2,70 (645) |
|
1,6 |
0,23 |
1,21 (1,04) |
3,15 (750) |
1,6 |
0,24 |
1,05 (0,91) |
2,30 (550) |
|
1,8 |
0,24 |
1,56 (1,35) |
3,35 (795) |
1,8 |
0,24 |
1,20 (1,03) |
2,35 (560) |
Таблица Б.5.2
|
Содержание крупных фракций d > 2 мм ρк |
Плотность сухого грунта ρ, т/м3 |
Суммарная влажность грунта wtot |
Теплопроводность грунта,
|
Объемная теплоемкость грунта,
|
||
|
λth |
λf |
Cth |
Cf |
|||
|
|
1,60 |
0,04 |
0,40 (0,34) |
0,48 (0,41) |
1,53 (365) |
1,03 (244) |
|
|
1,60 |
0,08 |
0,63 (0,55) |
0,63 (0,54) |
1,86 (444) |
1,59 (380) |
|
0,10 |
1,60 |
0,13 |
0,88 (0,76) |
0,74 (0,64) |
2,37 (565) |
1,60 (380) |
|
|
1,60 |
0,16 |
1,19 (1,02) |
1,26 (1,09) |
2,54 (605) |
1,95 (465) |
|
|
1,60 |
0,21 |
1,20 (1,03) |
1,28 (1,10) |
3,32 (790) |
2,30 (550) |
|
|
1,60 |
0,12 |
0,83 (0,72) |
0,77 (0,66) |
2,32 (550) |
1,51 (360) |
|
0,20 |
1,60 |
0,16 |
0,88 (0,76) |
1,04 (0,90) |
2,42 (580) |
1,93 (460) |
|
|
1,60 |
0,21 |
1,11 (0,96) |
1,27 (1,09) |
3,10 (740) |
1,97 (470) |
|
|
1,60 |
0,05 |
0,44 (0,38) |
0,38 (0,33) |
1,60 (380) |
0,87 (205) |
|
|
1,60 |
0,08 |
0,65 (0,56) |
0,59 (0,51) |
2,05 (485) |
1,40 (340) |
|
0,30 |
1,60 |
0,14 |
0,81 (0,70) |
- |
2,25 (535) |
- |
|
|
1,60 |
0,22 |
1,08 (0,93) |
- |
2,80 (660) |
- |
|
|
1,60 |
0,04 |
0,36(0,31) |
0,33 (0,28) |
1,38 (330) |
1,21 (290) |
|
0 45 |
1,60 |
0,12 |
0,65 (0,56) |
0,72 (0,62) |
2,18 (520) |
1,48 (350) |
|
|
1,60 |
0,16 |
0,81 (0,70) |
0,76 (0,66) |
2,18 (520) |
1,54 (390) |
|
|
1,80 |
0,20 |
1,13 (0,97) |
1,13 (0,97) |
3,18 (760) |
2,43 (580) |
|
|
1,60 |
0,12 |
0,80 (0,69) |
0,85 (0,73) |
2,13 (730) |
1,42 (340) |
|
0,60 |
2,00 |
0,16 |
1,63 (1,41) |
1,66 (1,43) |
2,66 (635) |
2,27 (540) |
|
|
1,80 |
0,20 |
1,70 (1,47) |
1,64 (1,41) |
3,18 (760) |
2,50 (600) |
|
|
1,70 |
0,04 |
0,37 (0,32) |
0,55 (0,77) |
1,63 (390) |
1,16 (280) |
|
|
1,60 |
0,08 |
0,49 (0,42) |
0,65 (0,56) |
1,87 (445) |
1,59 (380) |
|
0,70 |
1,60 |
0,12 |
0,92 (0,79) |
0,77 (0,66) |
2,11 (500) |
1,61 (385) |
|
|
1,85 |
0,16 |
1,51 (1,30) |
1,45 (1,25) |
2,50 (600) |
2,10 (500) |
|
|
1,85 |
0,17 |
1,63 (1,41) |
1,70 (1,74) |
3,01 (720) |
2,38 (550) |
|
|
1,60 |
0,04 |
0,36 (0,31) |
0,41 (0,35) |
1,44 (345) |
0,93 (220) |
|
|
1,60 |
0,09 |
0,71 (0,61) |
0,59 (0,51) |
1,91 (450) |
1,53 (364) |
|
0,85 |
1,70 |
0,12 |
1,00 (0,86) |
0,97 (0,84) |
2,25 (540) |
1,35 (321) |
|
|
1,85 |
0,16 |
1,77 (1,53) |
- |
2,74 (650) |
2,31 (550) |
|
|
1,80 |
0,17 |
1,80 (1,55) |
1,51 (1,30) |
3,11 (740) |
2,23 (530) |
|
|
1,60 |
0,04 |
0,42 (0,36) |
0,42 (0,36) |
1,50 (360) |
0,88 (210) |
|
|
1,60 |
0,09 |
0,88 (0,76) |
0,80 (0,69) |
1,98 (470) |
1,47 (350) |
|
1,00 |
1,60 |
0,12 |
1.01 (0,87) |
1,05 (0,91) |
2,09 (500) |
1,60 (380) |
|
|
1,60 |
0,16 |
1,07 (0,92) |
1,49 (1,28) |
2,28 (540) |
2,12 (510) |
|
|
1,60 |
0,21 |
1,35 (1,16) |
1,64 (1,40) |
2,88 (690) |
2,10 (500) |
|
Обозначения, принятые в таблице: λth λf - теплопроводность соответственно талого и мерзлого грунтов; Cth, Cf - объемная теплоемкость соответственно талого и мерзлого грунтов. |
||||||
Таблица Б.5.3
|
Концентрация порового раствора К, т/м3 |
Плотность сухого засоленного грунта ρ, т/м3 |
Суммарная влажность грунта wtot |
Теплопроводность грунта,
|
Объемная теплоемкость грунта,
|
||
|
λth |
λth |
Cth |
Cf |
|||
|
Засоление хлоридами Na |
||||||
|
|
1,55 |
0,13 |
0,90 (0,78) |
0,70 (0,60) |
2,45 (580) |
1,55 (370) |
|
|
1,80 |
0,13 |
0,99 (0,85) |
0,86 (0,74) |
2,95 (700) |
1,80 (430) |
|
|
1,90 |
0,13 |
1,20 (1,03) |
1,06 (0,91) |
3,20 (760) |
2,05 (490) |
|
|
1,60 |
0,19 |
1,08 (0,93) |
1,12 (0,97) |
2,50 (595) |
2,50 (595) |
|
0,04 |
1,80 |
0,19 |
1,27 (1,09) |
1,04 (0,90) |
2,95 (720) |
2,80 (665) |
|
|
1,95 |
0,19 |
1,43 (1,23) |
1,24 (1,07) |
3,30 (785) |
3,00 (715) |
|
|
1,60 |
0,22 |
1,19 (1,03) |
1,24 (1,07) |
2,65 (630) |
2,60 (705) |
|
|
1,80 |
0,22 |
1,44 (1,24) |
1,26 (1,08) |
3,35 (800) |
2,40 (570) |
|
|
1,55 |
0,26 |
1,28 (1,10) |
1,15 (1,03) |
3,10 (740) |
2,95 (705) |
|
|
1,60 |
0,13 |
0,97 (0,84) |
0,78 (0,67) |
2,25 (535) |
3,80 (905) |
|
|
1,80 |
0,13 |
1,14 (0,98) |
1,04 (0,89) |
2,85 (680) |
4,25 (1015) |
|
|
2,00 |
0,13 |
1,40 (1,21) |
1,28 (1,10) |
2,30 (550) |
4,45 (1060) |
|
|
1,60 |
0,17 |
1,0 (0,86) |
0,83 (0,72) |
2,35 (560) |
3,30 (785) |
|
0,16 |
1,85 |
0,17 |
1,19 (1,03) |
1,01 (0,87) |
2,70 (645) |
4,60 (1100) |
|
1,95 |
0,17 |
1,51 (1,30) |
1,0 (0,86) |
3,00 (715) |
4,55 (1085) |
|
|
|
1,60 |
0,21 |
1,16 (1,00) |
1,02 (0,88) |
2,70 (645) |
4,10 (975) |
|
|
1,70 |
0,20 |
1,27 (1,09) |
1,43 (1,23) |
2,85 (680) |
4,35 (1035) |
|
|
1,80 |
0,20 |
1,55 (1,34) |
1,28 (1,10) |
3,10 (740) |
5,70 (1360) |
|
|
1,60 |
0,25 |
1,24 (1,07) |
1,16 (1,00) |
2,80 (665) |
4,45 (1060) |
|
|
1,60 |
0,13 |
0,86 (0,74) |
0,91 (0,79) |
2,15 (510) |
1,95 (465) |
|
|
1,80 |
0,13 |
1,08 (0,93) |
0,92 (0,80) |
2,50 (595) |
1,95 (465) |
|
|
2,00 |
0,13 |
1,27 (1,09) |
1,16 (1,00) |
2,85 (680) |
2,10 (500) |
|
|
1,60 |
0,17 |
0,93 (0,80) |
0,72 (0,62) |
2,35 (560) |
1,70 (405) |
|
0,26 |
1,80 |
0,16 |
1,12 (0,97) |
1,05 (0,91) |
2,70 (645) |
2,30 (550) |
|
|
2,00 |
0,17 |
1,38 (1,18) |
1,06 (0,92) |
3,05 (730) |
2,35 (560) |
|
|
1,60 |
0,19 |
1,01 (0,87) |
1,01 (0,87) |
2,65 (630) |
2,05 (490) |
|
|
1,80 |
0,19 |
1,30(1,12) |
1,11 (0,96) |
3,05 (730) |
2,20 (525) |
|
|
1,60 |
0,21 |
1,21 (1,04) |
0,94 (0,81) |
2,85 (680) |
2,75 (655) |
|
Засоление хлоридами Са |
||||||
|
|
1,70 |
0,13 |
0,95 (0,82) |
0,92 (0,79) |
2,65 (630) |
1,95 (465) |
|
|
1,80 |
0,13 |
0,88 (0,76) |
0,93 (0,80) |
2,75 (655) |
2,05 (490) |
|
|
2,00 |
0,13 |
1,44 (1,24) |
1,20 (1,03) |
2,75 (655) |
2,25 (535) |
|
|
1,60 |
0,17 |
0,98 (0,85) |
1,0 (0,86) |
2,65 (630) |
2,35 (560) |
|
0,05 |
1,80 |
0,17 |
1,29(1,11) |
1,14 (0,98) |
3,05 (725) |
2,50 (595) |
|
|
2,00 |
0,17 |
1,42 (1,22) |
1,24 (1,07) |
3,15 (750) |
2,95 (700) |
|
|
1,50 |
0,22 |
0,86 (0,75) |
0,94 (0,81) |
2,55 (610) |
2,35 (560) |
|
|
1,60 |
0,23 |
0,99 (0,85) |
1,04 (0,90) |
3,05 (730) |
2,75 (655) |
|
|
1,80 |
0,22 |
1,24 (1,07) |
1,64 (1,41) |
3,15 (750) |
2,70 (645) |
|
|
1,60 |
0,13 |
0,55 (0,47) |
0,54 (0,47) |
2,85 (680) |
2,20 (525) |
|
|
1,90 |
0,13 |
1,45 (1,25) |
1,07 (0,92) |
2,95 (705) |
3,30 (785) |
|
|
2,00 |
0,13 |
1,55 (1,34) |
1,13 (0,97) |
3,05 (725) |
3,70 (780) |
|
|
1,60 |
0,15 |
0,84 (0,72) |
0,73 (0,63) |
2,55(610) |
2,95 (700) |
|
0,12 |
1,80 |
0,15 |
1,45 (1,25) |
0,92 (0,79) |
2,95 (705) |
3,25 (775) |
|
|
2,00 |
0,15 |
1,59 (1,37) |
0,94 (0,81) |
3,20 (760) |
3,85 (915) |
|
|
1,60 |
0,21 |
0,90 (0,78) |
1,16 (1,00) |
2,75 (665) |
3,90 (930) |
|
|
1,80 |
0,21 |
1,36 (1,17) |
0,91 (0,79) |
2,88 (690) |
3,90 (930) |
|
|
1,55 |
0,12 |
0,70 (0,60) |
0,64 (0,55) |
2,10 (500) |
1,50 (360) |
|
|
1,80 |
0,12 |
0,81 (0,70) |
0,98 (0,84) |
2,30 (550) |
1,95 (465) |
|
0,27 |
2,00 |
0,12 |
1,20 (1,03) |
1,15 (0,99) |
2,40 (570) |
2,05 (490) |
|
1,60 |
0,15 |
0,90 (0,78) |
0,79 (0,68) |
2,20 (525) |
1,90 (450) |
|
|
|
1,80 |
0,15 |
1,18 (1,02) |
0,91 (0,78) |
2,60 (620) |
1,91 (455) |
|
|
2,00 |
0,15 |
1,21 (1,04) |
0,94 (0,81) |
2,80 (665) |
2,15(510) |
|
|
1,60 |
0,11 |
0,71 (0,61) |
0,63 (0,54) |
2,30 (545) |
1,55 (370) |
|
|
1,90 |
0,11 |
1,21 (1,04) |
1,12 (0,96) |
2,50 (595) |
2,05 (490) |
|
|
2,00 |
0,11 |
1,34 (1,16) |
1,19 (1,03) |
2,55 (610) |
2,05 (490) |
|
|
1,60 |
0,13 |
0,97 (0,84) |
0,70 (0,60) |
2,35 (560) |
1,90 (450) |
|
|
1,75 |
0,13 |
1,06 (0,91) |
0,90 (0,78) |
2,40 (570) |
2,10 (500) |
|
0,39 |
2,00 |
0,13 |
1,33 (1,15) |
0,93 (0,80) |
2,75 (655) |
2,20 (525) |
|
|
1,60 |
0,16 |
0,72 (0,62) |
0,47 (0,41) |
2,65 (630) |
1,50 (360) |
|
|
1,80 |
0,16 |
1,12 (0,96) |
1,02 (0,87) |
2,70 (645) |
2,05 (490) |
|
|
2,00 |
0,16 |
1,35 (1,16) |
1,12(0,96) |
2,90 (690) |
2,50 (595) |
|
|
1,60 |
0,18 |
1,08 (0,93) |
0,71 (0,61) |
2,65 (630) |
1,90 (450) |
|
|
1,80 |
0,18 |
1,35 (1,16) |
0,99 (0,85) |
3,10 (740) |
2,85 (680) |
|
Обозначения, принятые в таблице: λth λf - теплопроводность соответственно талого и мерзлого грунтов; Cth, Cf - объемная теплоемкость соответственно талого и мерзлого грунтов. |
||||||
1 Перекрытие рек способом отсыпки грунтов в воду допускается только при скоростях потока, не способных размывать и уносить мелкие фракции грунта тела плотины, т.е. частицы, которые определяют водоупорные свойства тела однородных плотин (рисунки Б.6.1, Б.6.2).

mh - коэффициент верхового откоса; mt - коэффициент низового откоса;
Ц - цокольная часть плотины от основания до гребня дренажной призмы; зона А - часть тела плотины, возводимая послойной укладкой и укаткой грунта или отсыпкой грунтов в воду; зона 3 тела плотины отсыпана из грунта более однородного состава; Фн - слой обратных фильтров; ДП - дренажная призма; О - О - закатанная поверхность
Рисунок Б.6.1 - Однородная грунтовая плотина, возведенная двумя способами: отсыпкой грунтов в воду и послойной укладкой и укаткой грунтов

mh - коэффициент верхового откоса; mt - коэффициент низового откоса; Ц - цокольная часть плотины от основания до гребня дренажной призмы; зона А - часть тела плотины, возводимая послойной укладкой и укаткой грунта или отсыпкой грунтов в воду; зона 3 тела плотины отсыпана из грунта более однородного состава; Фн - слой обратных фильтров; ДП - дренажная призма; О - О - закатанная поверхность; ВГ - верхняя часть плотины, возводимая только послойной укладкой и укаткой грунта; Фв - сопрягающие переходные зоны грунта, которые подбираются из условия непроницаемости, когда материал тела сложен из несвязных грунтов, и из условия отслаивания - когда материал тела - связный грунт.
Рисунок Б.6.2 - Однородная грунтовая плотина с двумя банкетами.
2. При возведении однородных плотин без создания перемычек высота первого слоя отсыпки грунтов в воду определяется отметкой гребня дренажного банкета (рисунок Б.6.1) или верхового банкета (со стороны верхнего бьефа) (рисунок Б.6.2) над основанием, а толщина слоя воды - отметкой уровня воды в реке, который по мере отсыпки грунта может подниматься.
3. При возведении однородных плотин необходимо выделить два фрагмента:
- цокольную часть плотины, поднимающуюся от основания плотины до отметки гребня дренажа и возводимую отсыпкой грунтов в воду (каменный банкет, слой обратных фильтров водоупорной части плотины);
- верхнюю часть плотины, расположенную выше отметки гребня дренажа до отметки гребня плотины, возводимую из тех же грунтов, что и цокольная водоупорная часть плотины.
4. Верхнюю часть плотины выше отметки гребня дренажного банкета можно возводить послойной укладкой с уплотнением, а также отсыпкой грунтов в воду при наличии дамб обвалования до отметок сооружения, при которых размеры карт отсыпки еще позволяют вести работы этим способом.
5. Верхняя часть плотины, с отметки определяемой в проекте, должна возводиться послойной укладкой с уплотнением грунта, предусмотренного для возведения тела плотины.
6. Поверхность грунта цокольной части плотины, как правило, является более уплотненной, вследствие большого числа проходов по ней груженого автотранспорта; поверхность уплотненного грунта может иметь значение коэффициента фильтрации значительно ниже, чем лежащий ниже грунт.
7. В проекте однородных грунтовых плотин при принятой технологии возведения ее цокольной части (от основания до отметки гребня дренажного банкета) способом отсыпки в воду и верхней части (от отметки дренажного банкета до отметки гребня плотины) способом послойной укладки с уплотнением необходимо учитывать возможность формирования при определенном напоре двух принципиально различных режимов фильтрации.
Фильтрационная прочность однородных плотин, возводимых двумя указанными выше способами зависит не только от надежного сопряжения грунта тела плотины с основанием и дренажным банкетом, но и от учета в конструкции и технологии возведения различных режимов фильтрации.
8. Для обеспечения безопасной эксплуатации однородных грунтовых плотин, возводимых отсыпкой грунтов в воду, необходимо, чтобы по всей длине плотины выполнялись следующие требования:
- первый слой фильтра надежно (с запасом) сопрягался с грунтом тела плотины;
- каждый последующий слой фильтра надежно (с запасом) сопрягался с предыдущим слоем;
- последующий слой фильтра надежно (с запасом) сопрягался с каменным банкетом - дренажной призмой.
9. Требования, указанные в пункте 8 настоящего приложения Б.6, могут быть выполнены при следующих условиях:
- коэффициент разнозернистости любого слоя фильтра должен быть не более 10 (η = d60/d10 ≤ 10) и уточняться с учетом глубины воды в реке;
- толщина слоев фильтра должна увязываться с глубиной воды в реке, возможной сегрегацией материала при отсыпке в воду, транспортирующей способностью потока и интенсивностью отсыпки материала фильтра.
Примечания
1. Конструкция фильтра должна обеспечивать нормальный отвод профильтровавшейся воды и практически не влиять на положение поверхности депрессии при стационарном режиме фильтрации и постоянном уровне верхнего бьефа.
2. Повышение поверхности депрессии, как правило, указывает на то, что происходит кольматаж обратного фильтра, а ее понижение - на то, что имеет место механическая суффозия, т.е. вынос частиц грунта (в основном из закольматированных участков фильтра).
3. Конструкция дренажного банкета после отсыпки каменной наброски и всех слоев обратного фильтра должна обеспечивать соблюдение условий пункта 1 настоящего приложения Б.6.
10. При наличии критического градиента напора (выпора или суффозии) на выходе фильтрационного потока в основании дренажного банкета необходимо также предусматривать устройство обратного фильтра, например, путем замыва пор каменного банкета в нижней его части на определенную высоту; высота этой части каменного банкета и крупность песка должны определяться фильтрационными исследованиями.
11. Однородность фильтрационных свойств тела грунтовой плотины, возводимой отсыпкой грунтов в воду, будет обеспечена при содержании мелкозема (т.е. фракций диаметром меньше 2 мм) в супесчаной морене в количестве не менее 40% по весу.
12. При возведении однородных плотин отсыпкой в воду необходимо выполнять проверку устойчивости низовых откосов плотин, исходя из условия, что в верхней части плотины (выше гребня дренажной призмы) грунт водонасыщен (расчетный случай строительного периода). Поверхность откоса должна быть защищена от промерзания.
13. При перекрытии рек способом отсыпки грунтов в воду необходимо на всю длину плотины последовательно возводить сначала каменный банкет, затем отсыпать слои обратного фильтра, после чего отсыпать грунты тела плотины. Сопрягаемую с обратным фильтром часть тела плотины (зона 3, рисунок Б.6.1), на ширину ~ 3-5 м рекомендуется отсыпать из более однородных грунтов, чем основное тело плотины; коэффициент фильтрации этого участка должен быть на порядок больше, чем у основного тела.
14. При необходимости, подготовку основания (например, разработку слоя аллювия) под переходные зоны и под тело плотины необходимо вести после перекрытия реки каменным банкетом с целью последующего надежного сопряжения водонапорной части тела плотины с основанием.
Примечание - Подготовка основания заключается в подводной разработке и выемке слоя аллювия с применением гидромеханического оборудования.
15 Отсыпку крупнообломочного материала переходных зон и обратных фильтров следует вести при наличии одного или двух банкетов в направлении от обоих берегов в сторону наибольших глубин в реке.
Отсыпку грунта в водоупорную цокольную часть плотины требуется проводить с высокой интенсивностью, не допуская размокания глинистого грунта, с постоянным превышением гребня над уровнем воды не менее чем на 1,5 - 2 м.
16 Сегрегация материала уложенных обратных фильтров и переходных зон будет более всего проявляться в наиболее глубоких сечениях русла реки. Для установления степени сегрегации следует осуществлять подводный осмотр. Если сегрегация грунтов фильтров достигла степени, при которой не обеспечивается требуемое сопряжение с материалом противофильтрационной части плотины, то необходимо отсыпать у подошвы откоса фильтра дополнительный слой фильтра.
Предварительная оценка параметров динамически устойчивого при воздействии волн профиля неукрепленного откоса плотин из песчаного грунта («профиля динамического равновесия») может быть выполнена по формулам:
m = mo + kλ(hcdl/do(λ/hcdl)1/3)1/2, (Б.7.1)
где m - коэффициент откоса;
mo - коэффициент естественного откоса грунта тела плотины под водой;
hcdl - высота расчетной волны, м;
λ - длина расчетной волны, м;
d0 - средневзвешенный диаметр частиц грунта тела плотины, м:
(Б.7.2)
где di - размер фракций, м;
pi - доля фракций, % по массе;
kλ - коэффициент, принимаемый: kλ = 0,37 для подводной части пляжного откоса от расчетного уровня воды в водохранилище (или в реке) до нижней границы размывающего действия волн (h1), определяемый по формуле:
h1 = 0,028(hcdlλ/do1/2)2/3, (Б.7.3)
где kλ = 0,17 для надводной части пляжного откоса от расчетного уровня воды до верхней границы размывающего действия волн (h2), зависящей от высоты наката, в первом приближении можно принять h2 = hcdl (рисунок Б.7.1).
Примечания
1. При определении крутизны динамически устойчивого откоса необходимо учитывать размывающее влияние косого подхода волн, особенно сильно проявляющееся при углах подхода α = 45° - 57°.
2. Профиль сооружений необходимо уточнять по данным лабораторных или натурных исследований на основе результатов эксплуатации земляных сооружений с неукрепленными откосами, построенных из аналогичных грунтов и в условиях, близких по волновым и ветровым воздействиям.

1 - расчетный уровень воды; 2 - участок откоса при kλ = 0,37; 3 - участок откоса при kλ = 0,17
Рисунок Б.7.1 - К определению крутизны верхового неукрепленного откоса земляной песчаной плотины
Сопряжение ядра грунтовых плотин со скальным основанием (рисунок Б.8.1) рекомендуется осуществлять созданием бетонной пробки с галереями на основе расчетного исследования напряженного состояния и прочности этой конструкции. Количество галерей определяется проектом.
Для выполнения расчетов с учетом взаимодействия всех элементов конструкции, работающей в условиях вертикальных нагрузок и напоров, рекомендуется использовать решения задач теории упругости.
За критерии прочности следует принимать предельно допустимые расчетные сопротивления бетона сжатию с учетом его напряженного состояния (объемного или плоского), которые определяются согласно действующих нормативных документов.
Расчеты выполняются в два этапа (двухэтапное выполнение расчета вызвано крупногабаритными размерами рассматриваемых сооружений и их элементов) для случая эксплуатации сооружения применительно к конкретному объекту.
На первом этапе определяется напряженно-деформированное состояние конструкций бетонной пробки и обделки галерей по основной расчетной статической схеме, в которой воспроизводится полностью бетонная пробка с галереями и примыкающие к ним ограниченные зоны грунтовой плотины и скального основания. Размеры расчетной области назначаются исходя из условия соблюдения принципа Сен-Венана.
На втором этапе расчета уточняется напряженное состояние конструкции обделки галерей и примыкающих к ним зон бетонной пробки. Расчетные статические схемы образуются на базе выделенных из основной расчетной схемы фрагментов, включающих по одной галерее. К боковым граням этих фрагментов сооружения прикладывается распределенная нагрузка, соответствующая значениям напряжений σx, σy, τxy, полученным на первом этапе расчета.
На основании проведенных расчетных исследований напряженно-деформированного состояния и прочности вариантов конструкций пробки и обделки галерей, в них выявляются зоны сжатого бетона, уровень напряжений в которых превышает соответствующее предельно допустимое расчетное сопротивление бетона с учетом корректировки его класса. Эти зоны бетона подлежат традиционному расчетному армированию либо косвенному дисперсному.
Анализ результатов расчета рассмотренных вариантов конструкций позволяет выявить и обосновать оптимальную конструкцию пробки с галереями применительно к конкретному объекту и условиям его эксплуатации.

1 - верховая призма плотины; 2 - ядро плотины; 3 - низовая призма плотины; 4 - переходные слои; 5 - бетонная пробка с галереями; 6 - температурно-деформационные швы; 7 - скальное основание
Рисунок Б.8.1 - Поперечное сечение бетонной пробки с галереями в основании ядра грунтовой плотины
Общие потери грунта при намыве земляных плотин (разность объема грунта, разработанного в карьере и проектного объема плотины) устанавливаются по проектным данным и могут складываться из следующих потерь:
- на обогащение грунта карьера (при сбросе мелких частиц вместе с водой);
- на унос грунта течением и волнением воды;
- на унос грунта ветром;
- потери при транспортировании пульпы;
- на вынос грунта за пределы профильного сооружения или штабеля фильтрационной водой;
- перемывы, допускаемые нормами.
Размеры этих потерь определяются в процентах от проектного объема плотины суммированием коэффициентов:
(Б.9.1)
где К1 - потери на уплотнение грунта (консолидацию в теле сооружения:
- для связных грунтов К1 = 1,5%;
- для песков и песчано-гравийных грунтов К1 = 0,75%;
К2 - потери на унос грунта ветром:
К2 =1,25%;
К3 - потери на вынос грунта фильтрационной водой за пределы проектного профиля:
- для крупного и средней крупности песка К3 = 0,50%;
- для мелкого и пылеватого песка К3 = 1,0%;
К4 - превышение над проектным объемом грунта, доставляемого средствами речного флота из подводного карьера:
К4 = 12%;
K5 - потери грунта при гидравлическом транспортировании пульпы:
К5 = 0,25%;
К6 - потери грунта при сбросе вместе с водой через водосбросные сооружения в процессе намыва; определяются расчетом в соответствии с рекомендациями (приложение Б.10); при отсутствии данных по гранулометрическому составу следует принимать:
К6 ≥ 3%;
К7 - потери на унос грунта течением и волнением воды при намыве подводной части плотины:
K7 = 1 - 2%;
К8 - коэффициент разуплотнения (переуплотнения) сооружения по сравнению с подводным карьером:
К8 = (ρdсоор/ρdnк)·100%;
Приведенные коэффициенты следует уточнить при опытном намыве в производственных условиях.
Необходимое количество грунта, которое следует разработать в карьере, равно:
Vкар = К·Vпр, где (Б.9.2)
где Vкар - объем грунта в карьере;
Vпр - объем грунта в сооружении (проектное значение).
Норму отмыва (НО) устанавливают по характеристике состава карьерного грунта (грунта выемки) с учетом принятой технологии намыва земляного сооружения.
Грунты песчано-гравийных и песчаных карьеров в зависимости от показателей их гранулометрического состава и технологии намыва делятся на пять групп (таблица Б.10.1).
Таблица Б.10.1
|
Номер группы грунта |
Грунт |
Вид технологии намыва |
Содержание фракций в составе грунта, % |
Отношение сумм процентного содержания фракций грунта d, мм Σd > 0,25 Σd > 0,10 |
Коэффициент разнозернистости К60,10 |
Размеры фракций грунта d90*, мм |
|
|
размер фракций грунта d, мм |
|||||||
|
d=0,10-0,25 |
d > 2,0 |
||||||
|
1 |
разнозернистые пески с гравием |
двусторонний с технологическим прудком |
< 50 |
> 5 |
> 1 |
2,5 - 300 |
> 2 |
|
2 |
среднезернистые пески |
Тоже |
< 0 |
< 5 |
> 1 |
< 5 |
< 2 |
|
3 |
мелкозернистые пески |
|
> 50 |
- |
- |
< 5 |
- |
|
4 |
мелкозернистые и пылеватые пески |
|
< 50 в большинстве случаев |
- |
<1 |
>5 в большинстве случаев |
- |
|
5 |
разнозернистые пески с гравием, среднезернистые и мелкозернистые пески |
односторонний со свободным откосом |
- |
- |
- |
- |
- |
|
* d90 - размеры фракций грунта, масса которых вместе с массой более мелких фракций составляет 90% массы всего грунта |
|||||||
Для каждой группы грунтов и принятой технологии намыва сооружения норму отмыва (НО) определяют по следующим формулам в процентах к объему намываемого сооружения:
- 1-ая группа:
НО = 0,1(d = 0,10 - 0,25 мм)% + 0,35(d = 0,05 - 0,10 мм)% +
+ 0,9(d = 0,01 - 0,05 мм)% + 0,9(d = 0,005 - 0,01 мм)% + 1,0(d < 0,005)%; (Б.10.1)
- 2-ая группа:
НО = 0,025(d = 0,10 - 0,25 мм)% + 0,35(d = 0,05 - 0,10 мм)%+
+ 0,8(d = 0,01 - 0,05 мм)% + 0,9(d = 0,005 - 0,01 мм)%; (Б.10.2)
- 3-я группа:
НО = 0,05(d = 0,10 - 0,25 мм)% + 0,35(d = 0,05 - 0,10 мм)%+
+ 0,9(d = 0,01 - 0,05 мм)% + 1,0(d < 0,005)%; (Б.10.3)
- 4-ая группа:
НО = 0,11(d = 0,05 - 0,10 мм)% + 0,5(d = 0,01 - 0,05 мм)% +
+ 0,9(d = 0,01 - 0,05 мм)% + 0,9(d < 0,005)%; (Б.10.4)
- 5-ая группа:
НО = 0,15(d = 0,10 - 0,25 мм)% + 0,5(d = 0,05 - 0,10 мм)% +
+ 0,9(d = 0,01 - 0,05 мм)% + 1,0(d < 0,005)%; (Б.10.3)
Примечания
1. Отмыв грунта при одностороннем намыве тонкозернистых и пылеватых грунтов, а также при намыве грунтов в воду без устройства обвалования устанавливают при проектировании технологических схем намыва сооружений с использованием аналогов или результатов опытного намыва.
2. В случаях, когда проектом установлена целесообразность использования для намыва сооружений карьерных грунтов или грунтов полезных выемок без предварительного удаления вскрышного слоя, средневзвешенный гранулометрический состав, по которому определяют норму отмыва, устанавливают по всей толще карьера (выемки) от поверхности до подошвы забоя.
1. Расчет границ зон фракционирования и осредненного зернового состава намытого грунта в поперечном сечении выполняют для неоднородных плотин.
Фракционирование грунта - процесс, положенный в основу конструкции намывных плотин и проявляющийся в раскладке зерен грунта по крупности по длине откоса намыва с постепенным уменьшением средней крупности намытого грунта по мере удаления от выпуска пульпы из распределительного пульпопровода.
2. Для неоднородных плотин с ядром, намываемых из песчано-гравийного грунта, содержащего пылеватые и глинистые фракции (рисунок Б.4, раздел 6 приложения Б), расчет границ зон фракционирования выполняют по формулам:
- расстояние от откоса плотины до внутренней границы боковой зоны Х1:
(Б.11.1)
- расстояние от откоса плотины до границы ядра Х2:
(Б.11.2)
3 Для неоднородных плотин с центральной зоной, намываемых из песчано-гравийных грунтов (рисунок Б.4 г, раздел 6 приложения Б) расчет расстояния от откоса плотины до границы центральной зоны Х3 выполняют по формуле:
(Б.11.3)
В формулах
Б.11.1 - Б.11.3
,
,
- содержание всех
фракций соответственно ≥ 2 мм, ≥ 0,1 мм, ≥ 0,25 мм в составе
карьерного грунта, %; L - расстояние от откоса до оси плотины.
Примечание - В расчетах по формулам Б.11.1 - Б.11.3 вводят осредненный состав карьерного грунта.
4 Осредненный
зерновой состав намытого грунта в пределах выделенных зон фракционирования
определяют с помощью графиков зависимостей
(рисунки Б.11.1 -
Б.11.5), построенных в результате обработки данных геотехнического контроля
намыва различных плотин.
На данных графиках:
α - процентное содержание составляющих частиц;
di - крупность составляющих частиц намытого грунта;
do - средневзвешенная крупность карьерного грунта:
(Б.11.4)
где doi - среднеарифметическое значение крупности i-й стандартной фракции в составе карьерного грунта;
pi - процентное содержание i-й стандартной фракции;
90 - суммарное содержание учитываемых фракций в составе карьерного грунта, %.
Примечания
При вычислении d0 отбрасываются все фракции мельче d5 и крупнее d95, где d5 и d95 - крупность частиц, соответствующая обеспеченности 5 и 95% по массе в составе карьерного грунта.
Отношение di/do снимают с осредненной кривой графиков для разной обеспеченности (10%, 20%, …).
Величину di (d10, d20, …) определяют по формуле:
(Б.11.5)
С помощью полученных значений di строят кривую зернового состава намытого грунта по каждой зоне.

Рисунок Б.11.1
- График зависимости
для однородных
песчаных плотин

I - боковая зона; II - центральная зона
Рисунок Б.11.2
- График зависимости
для неоднородных
плотин из мелкого песчано-гравийного грунта с центральной песчаной зоной

I - боковая зона; II - центральная зона
Рисунок Б.11.3
- График зависимости
для неоднородных плотин из крупного
песчано-гравийного грунта с центральной песчаной зоной

I - боковая зона; II - ядро
Рисунок Б.11.4
- График зависимости
для гравийных плотин с
ядром высотой < 30 м

I - боковая зона; II - промежуточная зона; III - ядро
Рисунок Б.11.5
- График зависимости
для гравийных
плотин с ядром высотой > 30 м
1. Грунтовые плотины со стальными диафрагмами могут быть рекомендованы:
- для строительства в северной строительно-климатической зоне;
- при отсутствии вблизи строительства грунтов пригодных для устройства ядра, экрана или обратных фильтров;
- для районов с очень влажным климатом;
- во всех других случаях - при соответствующем технико-экономическом обосновании их преимуществ перед другими видами плотин.
2. Плотины со стальными диафрагмами могут возводиться из каменной наброски, горной массы, песчаных, гравийных, галечниковых, дресвяных и щебеночных грунтов.
3. Стальные диафрагмы могут применяться в плотинах I - IV классов.
4. Стальную диафрагму рекомендуется располагать в теле плотины вертикально в плоскости, проходящей по оси гребня или по бровке верхового откоса.
5. Сопряжение стальной диафрагмы с основанием плотины и береговыми склонами должно осуществляться посредством бетонного зуба, плиты или цементационной потерны с устройством под опорным элементом диафрагмы периметрального шва из битумных или других гидроизоляционных материалов, либо другими способами, обеспечивающими смещение опоры диафрагмы по опорной плоскости при воздействии горизонтальных нагрузок, а также водонепроницаемость шва. С бетонными сооружениями, встроенными в плотину (водосброс, водоприемник и пр.), стальную диафрагму рекомендуется сопрягать заделкой ее в бетон устоев, но с устройством в ней в непосредственной близости от устоя вертикального деформационного шва-компенсатора, обеспечивающего смещения (без натяжения) диафрагмы под воздействием горизонтальных нагрузок.
6. Стальные диафрагмы следует выполнять из нелегированных углеродистых сталей с пределом прочности 300 - 400 МПа и относительным удлинением 20-30%. В условиях длительного воздействия на диафрагму низких температур наружного воздуха (<-40°С) по условиям производства работ рекомендуется применять сталь спокойного плавления типа ВСтЗГпс2 или ВСтЗГпс3.
7. В стальной диафрагме следует предусматривать вертикальные и горизонтальные деформационные швы, местоположение которых определяется соответствующими расчетами.
8. Количество и местоположение вертикальных деформационных швов в диафрагме назначаются исходя из эпюры ее плановых горизонтальных смещений от действия гидростатического давления с учетом возможных местных деформаций тела плотины, рельефа створа, геологического строения основания. Обязательным следует считать устройство в диафрагме вертикальных швов в местах резкого излома поверхности основания (седловине, буграх, бортах каньона и др.), а также в местах заделки диафрагмы в устои бетонных сооружений и на границах участков основания, сложенных грунтами, резко отличающимися по деформационным свойствам.
9 Количество и местоположение горизонтальных деформационных швов в стальной диафрагме назначают расчетом из условия обеспечения прочности диафрагмы на сжатие, которое возникает вследствие трения о ее поверхность грунтов призмы плотины при их осадке и действия собственного веса диафрагмы. Напряжение а в диафрагме определяют по формуле:
(Б.12.1)
где Q - вес диафрагмы;
N - нагрузка на диафрагму от трения грунта;
Ry - расчетное сопротивление стали сжатию по пределу текучести;
γn - коэффициент надежности по ответственности сооружения;
An - площадь поперечного сечения диафрагмы.
Примечание - Расчет ведется на единицу длины плотины.
Нагрузку на диафрагму на глубине x от трения грунта тела плотины определяют как произведение бокового давления на нее грунта на коэффициент трения грунта по стали:
(б.12.2)
где ρ1, ρ2, ρ3 - соответственно, плотность грунта верховой и низовой призм плотины и воды;
λ1, λ2 - коэффициенты бокового давления грунта призм плотины на диафрагму;
g - ускорение силы тяжести;
f - коэффициент трения грунта тела плотины по поверхности стальной диафрагмы;
x - глубина расположения расчетного сечения от гребня плотины.
Расстояние x1 от гребня плотины до первого горизонтального деформационного шва определяют подбором. Задавшись предварительно толщиной диафрагмы и ординатой x1, определяют значения Q(x1) и N(x1), а также проверяют условие прочности.
Местоположение второго, третьего и всех последующих швов определяют последовательными расчетами напряженного состояния фрагментов диафрагмы, расположенных между двумя соседними швами с ординатами xn и xn+1. В этом случае нагрузку N(x) вычисляют как разность:
N(x) = N(xn+1) - N(xn). (Б.12.3)
В
опорном фрагменте диафрагмы в пределах зоны его изгиба, равной
в формуле Б.12.1
учитывают влияние опорного момента и силы трения опоры по основанию (k -
коэффициент постели, EI - жесткость диафрагмы).
Для предварительного проектирования схемы разрезки диафрагмы горизонтальными деформационными швами рекомендуются графики, приведенные на рисунке Б.12.1.
10 В местах расположения в диафрагме вертикальных швов устраиваются также поперечные (герметичные) деформационные швы в ее опорном элементе по типу, приведенному на рисунке Б.12.2.

Рисунок Б.12.1 - Зависимость расстояния между горизонтальными швами диафрагмы по высоте Z, от толщины диафрагмы δ, величины коэффициента трения грунта по диафрагме f и высоты диафрагмы Н

1 - диафрагма, соединенная с бетонным зубом; 2 - уплотнение деформационного шва опорного элемента; 3 - опорный элемент диафрагмы; 4 - битумное покрытие; 5 - бетонный зуб
Рисунок Б.12.2 - Устройство деформационного шва в опорном элементе диафрагмы
11 Значения коэффициентов трения песчаных, гравийных и галечниковых грунтов тела плотины или переходных слоев по стальной диафрагме рекомендуется назначать по графикам на рисунке Б.12.3 с последующим их уточнением специальными испытаниями для конкретных случаев.

1 - грунт влажностью 2 - 7%; 2 - грунт влажностью 100%; 3 - грунт при покрытии диафрагмы битумом
Рисунок Б.12.3 - Зависимость коэффициента трения грунтов по стальной диафрагме от их крупности и влажности
12. Окончательные размеры конструктивных элементов профиля плотины, ее подземного контура, толщины диафрагмы, шага деформационных швов уточняют по данным статических, динамических и фильтрационных расчетов плотины.
13. Для определения горизонтальных смещений и прогибов диафрагмы рекомендуется использовать методику ее расчета по схеме балки конечной жесткости на упругом податливом основании, в качестве которого рассматривается низовая призма плотины. Податливость низовой призмы выражается коэффициентом постели k, изменяющимся по ее высоте.
Смещение опоры диафрагмы имитируется в расчетной схеме введением в опорное сечение реактивной силы трения Т0 и момента М0 (рисунок Б.12.4).

Р(х) - расчетная нагрузка на диафрагму; dp(x) - реактивные напряжения в грунте низовой призмы; М0, Т0 - соответственно реактивные момент и сила трения, действующие в опоре диафрагмы; хi - смещения диафрагмы; Н - высота диафрагмы
Рисунок Б.12.4 - Схема расчета диафрагмы как балки на упругом основании
14 Напряженно-деформированное состояние плотины со стальной диафрагмой рекомендуется рассчитывать численными методами в постановке упругой или упругопластической задачи с учетом поэтапного ее возведения и наполнения водохранилища. При расчете плотины с подвижной в опоре диафрагмой рекомендуется учитывать проскальзывание боковых призм плотины по основанию вблизи диафрагмы введением в расчетную схему скользящих опор.
В расчетах необходимо учитывать собственный вес с учетом взвешивающего действия воды, гидростатическое давление, силы трения боковых призм по диафрагме и в ее опорном сечении.
15. Исходя из того, что тонкая стальная диафрагма практически полностью передает активную горизонтальную нагрузку низовой призме, общую статическую устойчивость низовой призмы рекомендуется проверять на плоский сдвиг по поверхности основания.
16. Толщину стальной диафрагмы при соответствующем обосновании можно назначать, допуская работу стали в конструкции на пределе ее текучести. Диафрагма должна отвечать требованиям коррозионной долговечности.
Для северной строительно-климатической зоны значение толщины стальной диафрагмы с учетом коррозии и оценку ее долговечности рекомендуется производить, исходя из:
- расчетных значений скорости равномерной коррозии стали в водно-грунтовой среде ut = 0,004-0,005 мм/год;
- графика, приведенного на рисунке Б.12.5;
- формулы:
(Б.12.4)
где t - длительность коррозии, годы.

Рисунок Б.12.5 - Изменение средней скорости коррозии стальной диафрагмы в водно-грунтовой среде Северной строительно-климатической зоны
17 В условиях развития язвенной коррозии диафрагму рекомендуется оборудовать системой электрохимической (катодной) защиты. Расчетную скорость язвенной коррозии стальной диафрагмы в условиях северной строительно-климатической зоны рекомендуется принимать 0,02-0,05 мм/год.
При монтаже диафрагмы в ней рекомендуется устраивать сплошную полосу заземления.
Согласно требованиям Стандарта, в числе рекомендуемых методов расчета устойчивости откосов грунтовых плотин названы методы, оперирующие с расчлененной на вертикальные элементы призмой обрушения и с произвольной или круглоцилиндрической поверхностью сдвига, удовлетворяющие условиям равновесия в предельном состоянии.
В качестве таковых могут быть использованы методы, основанные на гипотезе наклонных сил взаимодействия между элементами призмы обрушения.
Угол наклона к горизонту сил взаимодействия может быть определен из условий равновесия призмы обрушения в предельном состоянии, которое достигается пропорциональным изменением характеристик прочности грунтов от расчетных значений tgφ и с до критических tgφк и ск. При произвольной поверхности сдвига для оценки устойчивости призмы обрушения сопоставляют проекции равнодействующих активных сил Fe и сил сопротивления Re на направление сил взаимодействия. При круглоцилиндрической поверхности сдвига можно сопоставлять как моменты равнодействующих этих сил F0, R0 относительно оси поверхности сдвига, так и их проекции.
Критерием устойчивости призмы обрушения является соотношение:
(Б.13.1)
где γlc, γc, γn - коэффициенты сочетаний нагрузок, условий работы, надежности по ответственности сооружения.
Откос устойчив, если обеспечена устойчивость призмы обрушения с наиболее опасной поверхностью сдвига.
Проекции равнодействующих определяют из условия равновесия элементов призм обрушения (рисунок Б.13.1) по формулам:
(Б.13.2)
где Q = qdx - равнодействующая активных сил, действующих на элемент призмы обрушения;
β - угол наклона к оси X силы взаимодействия Е между элементами призмы обрушения;
dx - ширина призмы;
δ - угол отклонения силы Q от вертикали;
α - угол наклона элемента поверхности сдвига к горизонту;
C = cds - сила сцепления, действующая на элемент поверхности сдвига, длина дуги которого ds.

Рисунок Б.13.1 - Схема сил, действующих на элемент призмы обрушения
Моменты равнодействующих определяют по формулам:
(Б.13.3)
где r - радиус поверхности сдвига;
b - возвышение точки приложения силы Q над поверхностью сдвига.
Угол β в обоих случаях допустимо определять по приближенной зависимости:
(Б.13.4)
Устойчивость откоса в предположении круглоцилиндрической поверхности сдвига можно проверять по формулам Б.13.2 и Б.13.3. Отношения R0/F0 и Re/Fe - разные механические понятия, поэтому оценки устойчивости по ним получаются разными. Однако эти оценки совпадают при R/F = 1 и достаточно близки при R/F < 1,3.
Если принять в качестве универсальной оценки устойчивости отношение tgφ/tgφk = c/ck, т.е. подобрать такие значения характеристик прочности, при которых R0 = F0 и Re = Fe, результаты расчета обоими способами должны совпадать. Такой расчет может служить контролем правильности определения угла β, т.е. соблюдения условий равновесия призмы обрушения в предельном состоянии для найденной наиболее опасной поверхности сдвига.
Влияние воды, насыщающей откос, допускается учитывать двумя способами:
- вес грунта в пределах каждого элемента определяют с учетом ее капиллярного поднятия, а по контуру элемента (поверхности откоса, поверхности сдвига и плоскостям раздела между элементами) определяют давление воды фильтрационным расчетом;
- вес грунта элемента определяют с учетом его взвешивания водой; на уровне ее поверхности к грунту прилагают капиллярные силы, и к насыщенному водой объему грунта элемента прилагают фильтрационные силы, определяемые расчетом.
Оба способа дают тождественные результаты и распространяются на неустановившуюся фильтрацию, в том числе при незавершенной консолидации грунта. При вычислении активной силы Fe и активного момента F0 давление воды по плоскостям раздела можно не учитывать: в сумме они равны нулю. При вычислении F0 можно не учитывать также давление воды по круглоцилиндрической поверхности сдвига, т.к. его момент равен нулю.
Влияние сейсмических воздействий на откос определяют в форме объемных сейсмических сил, действующих на объем грунта каждого элемента с учетом его насыщения водой, и изменения давления воды на поверхность откоса в пределах элемента.
В расчеты откосов с учетом сейсмических воздействий вводят динамические характеристики прочности грунтов, если они отличаются от статических, а также в соответствующих случаях учитывают возникновение избыточного порового давления как следствия сейсмических толчков.
Сейсмические воздействия относятся к особым нагрузкам; при их учете другие особые нагрузки можно не учитывать.
1. При расчете влияния асфальтобетонных диафрагм на работу плотины, асфальтобетон в диафрагме рассматривается как тяжелая жидкость с коэффициентом бокового давления n, равным показателю его ползучести (n < 1). Значения показателя ползучести, зависящие от состава асфальтобетона и от вязкости битума в его составе (от температуры асфальтобетона в конструкции), приведены в таблице Б.14.1.
Таблица Б.14.1 - Зависимость показателя ползучести асфальтовых материалов(n) от вязкости структурированного в их составе битума(ηδ,40) и от объемной концентрации в их составе минеральной части (Cv).
|
Cv |
Вязкость битума в составе асфальтобетона при сорокаминутном сопротивлении г) ηδ,40, пуаз |
||||||
|
·106 |
·107 |
·108 |
·109 |
·1010 |
·1011 |
·1012 |
|
|
0,5 |
0,69 |
0,66 |
0,62 |
0,58 |
0,51 |
0,41 |
0,27 |
|
0,6 |
0,58 |
0,57 |
0,55 |
0,53 |
0,48 |
0,37 |
0,25 |
|
0,7 |
0,46 |
0,47 |
0,47 |
0,45 |
0,40 |
0,32 |
0,21 |
|
0,8 |
0,30 |
0,32 |
0,34 |
0,34 |
0,32 |
0,25 |
0,16 |
|
0,9 |
0,15 |
0,16 |
0,16 |
0,16 |
0,15 |
0,13 |
0,08 |
2. Напряженно-деформированное состояние диафрагмы определяется из условия, что поведение асфальтобетона в диафрагме под нагрузкой описывается соотношением:
(Б.14.1)
где ε - относительная деформация асфальтобетона в диафрагме;
t - время работы асфальтобетона в диафрагме при напряжении σ;
A - модуль жесткости асфальтобетона (модуль деформации, приведенный ко времени нагружения 1 сек).
3. При расчетном определении сохранения прочности и сплошности асфальтобетонных диафрагм в теле плотины следует ориентироваться на следующие положения, установленные на основе натурных наблюдений:
- асфальтобетон в диафрагме ни при каких условиях ни разрушится, если действующие в нем напряжения не превышают предела его длительной прочности σдл.пр (равный пределу его текучести);
- при действии в диафрагме напряжений, превышающих предел текучести асфальтобетона, диафрагма не разрушится, если величина напряжений действующих в расчетной ее зоне в рассматриваемый момент времени не превышает их допустимые значения.
Действующие в асфальтобетоне диафрагмы в момент времени t напряжения могут быть определены по формуле:
(Б.14.2)
или по формуле:
(Б.14.3)
Допустимые их значения определяются по соотношению:
(Б.14.4)
В формулах Б.14.1 - Б.14.4:
σнач. - начальное (взятое за исходное) напряжение в асфальтобетоне конструкции;
t - время наблюдения (расчетное время), сек.;
m - показатель длительной прочности асфальтобетона конструкции; его примерные значения, зависящие от состава асфальтобетона и от вязкости битума в его составе при расчетной температуре, приведены в таблице Б.14.2;
R0 - предел прочности асфальтобетона диафрагмы при рассматриваемых условиях и схеме его нагружения, приведенной к односекундному сопротивлению.
Таблица Б.14.2 - Зависимость показателя длительной прочности асфальтовых материалов (m) от вязкости структурированного в их составе битума (ηδ,40) и от объемной концентрации в их составе минеральной части (Cv).
|
Cv |
Вязкость битума в составе асфальтобетона при сорокаминутном сопротивлении г) ηδ,40, пуаз |
||||||
|
·106 |
·107 |
·108 |
·109 |
·1010 |
·1011 |
·1012 |
|
|
0,5 |
0,24 |
0,29 |
0,36 |
0,43 |
0,34 |
0,18 |
0,08 |
|
0,6 |
0,24 |
0,28 |
0,32 |
0,38 |
0,31 |
0,17 |
0,09 |
|
0,7 |
0,24 |
0,27 |
0,32 |
0,32 |
0,26 |
0,16 |
0,10 |
|
0,8 |
0,22 |
0,26 |
0,30 |
0,25 |
0,21 |
0,16 |
0,11 |
|
0,9 |
0,22 |
0,25 |
0,23 |
0,19 |
0,14 |
0,12 |
0,12 |
При интенсивности нарастания напряжений в конструкции превышающих интенсивность их релаксации, расчет диафрагмы ведется по допустимым скоростям относительных деформаций асфальтобетона диафрагмы (в некоторых случаях - по допустимым предельным их значениям для асфальтобетона диафрагмы).
Случайные трещины (швы) в асфальтобетоне диафрагмы с течением времени закрываются и омоноличиваются, но только после того, как в трещине (шве) появляются сжимающие напряжения. Если значения сжимающих напряжений не превышают предел текучести (предел длительной прочности) асфальтобетона, трещины закрываются, но как только значение напряжения обжатия σобж. превысит предел текучести асфальтобетона, трещина в нем начинает омоноличиваться. Время омоноличивания трещины (шва) может быть определено по соотношению:
(Б.14.5)
Примечание - Соотношение действительно лишь при условии σобж. ≥ σдл.сж..
Таблица Б.15.1
|
№№ п/п |
Нарушения (отказ) |
Способы обнаружения |
Причины нарушения |
Исследования по устранению нарушения |
Способы ремонта |
|
1 |
2 |
3 |
4 |
5 |
6 |
|
1 |
Вертикальные поверхностные поперечные трещины на гребне |
Визуальные наблюдения |
Разница осадок на различных участках плотины |
Поверочные расчеты осадок. Инженерно-геологические изыскания |
Заделка трещин песком, если они неглубокие (выше ФПУ). Глубокие трещины заделываются при сниженном УВ несколькими способами: - проходка траншей с последующей заделкой глинистым грунтом; - создание «стены в грунте»; - инъекцирование верхней части плотины |
|
2 |
Вертикальные продольные наружные трещины на гребне ядра вблизи его верховой грани по контакту с переходными зонами |
Визуальные наблюдения, измерение осадок ядра со стороны верхнего (осадка больше) и нижнего (осадка меньше) бьефа |
Значительная осадка верховой призмы во время первого заполнения водохранилища или землетрясения |
Инженерно-геологические изыскания. Поверочные расчеты осадок |
Заделка песком неглубоких трещин, проход траншеи и заделка глубоких трещин (при сниженном уровне воды в бьефе) |
|
3 |
Продольные трещины откола большой протяженности при значительных горизонтальных смещениях и деформации нижней части откоса, развитие трещин в течение короткого времени |
Визуальные наблюдения; показания пьезометров |
- увеличение нагрузок на гребне; - подъем поверхности депрессии; - сейсмические воздействия; - температурные воздействия (промерзание - оттаивание); снижение прочностных свойств грунтов в теле плотины и основании |
- фильтрационные исследования; - инженерно- геологические исследования; - температурные расчеты; - расчеты устойчивости |
Ремонт низовой части плотины (пригрузка, создание дренажа, уположение откоса) |
|
4 |
Наличие воронок и просадок на гребне грунтовой плотины с ядром, увеличение фильтрационного расхода |
Визуальные наблюдения |
Внутренние горизонтальные трещины отрыва |
Дополнительные инженерно-геологические изыскания с бурением скважин с целью установления мест отрыва |
- снижение уровня воды в водохранилище; - цементация-инъекция; - создание «стены в грунте» |
|
5 |
Внутренние продольные горизонтальные трещины при наличии в основании сильносжимаемых грунтов |
Визуальные и инструментальные наблюдения увеличивающегося фильтрационного расхода при первом заполнении |
Разница в величине осадок на неоднородном основании с сильносжимаемыми слоями |
Анализ данных изысканий. Дополнительные инженерно -геологические изыскания |
- полная сработка водохранилища; - инъекция основания |
|
6 |
Внутренние продольные горизонтальные трещины в поверхностной зоне плотины |
Визуальные наблюдения ходов сосредоточенной фильтрации |
Промерзание поверхностной толщи грунта при незавершенных осадках |
Уточнение места деформаций. Дополнительные инженерно -геологические изыскания с бурением скважин, использованием геофизических методов т.п. |
- сработка водохранилища; - разработка траншеи в месте выхода сосредоточенного фильтрационного потока и заделка грунтом; - инъекция |
|
7 |
Выход фильтрационных вод на низовой откос |
Визуальные наблюдения, показания пьезометров |
Образование слабофильтрующих слоев в теле плотины |
Фильтрационные исследования, расчеты устойчивости |
- устройство наслонного дренажа; - укрепление откоса |
|
8 |
Заиление обратных фильтров дренажей |
Показания пьезометров перед дренажом (уменьшение разности уровней воды в дренаже и ближайшем пьезометре) |
Заиление обратных фильтров |
Фильтрационные исследования |
Ремонт или замена дренажа |
|
9 |
Разрушение бетонного крепления верхового откоса, швов между плитами |
Визуальные наблюдения деформаций плит, их разрушений, выноса материалов подготовки из-под плит |
Температурные и гидродинамические воздействия при сработке водохранилища, волновые воздействия |
Оценка состояния отдельных участков крепления для решения вопроса о целесообразности его ремонта или замены |
- сработка водохранилища; - разборка разрушенных участков крепления; - замена крепления или его ремонт, сопряжение с сохранившимися участками |
Сведения о разработчиках
Разработаны ОАО "ВНИИГ им. Б.Е. Веденеева" совместно с филиалом ОАО "Инженерный центр ЕЭС" - "Институт Гидропроект", ОАО "Инженерный центр ЕЭС" - Филиал "Институт Ленгидропроект", ОАО «НИИЭС», ОАО «СибНИИГ», Санкт-Петербургского государственного политехнического университета (СПб ГПУ), ООО «Гидроспецпроект» и ГУГНПЦ «Ленводпроект».
Исполнители:
от ОАО "ВНИИГ им. Б.Е. Веденеева" - Беллендир Е.Н. - д.т.н., Сольский СВ. докт. техн. наук, Глаговский В.Б. докт. техн. наук, Сапегин Д.Д. док. техн. наук, Гольдин А.Л. док. техн. наук, Радченко В.Г. канд. техн. наук, Караваев А.В. инж., Чугаева Г.А. инж., Павчич М.П. инж., Липовецкая Т.Ф. инж., Кривоногова Н.Ф. канд. геол.-мин. наук, Каган А.А. док. геол.-мин. наук, Кузнецов B.C. канд. техн. наук, Стулькевич А.В. инж., Бодрова А.В. инж., Филиппова Е.А. канд. техн. наук;
от ОАО "Инженерный центр ЕЭС" - "Институт Гидропроект" - Новоженин В.Д. канд. техн. наук, Парабучев И.А. док. геол.-мин. наук, Зарецкий Ю.К. док. техн. наук, Моисеев И.С. канд. техн. наук;
от ОАО "Инженерный центр ЕЭС" - Филиал "Институт Ленгидропроект" -
Суслопаров В.А. инж., Серов А.А. инж.;
от ОАО «НИИЭС» - Семенов И.В. канд. техн. наук; Щербина В.И. канд. техн. наук;
от ОАО «СибНИИГ» - Максимов И.А. канд. техн. наук, Мухетдинов Н.А. канд. техн. наук;
от СПб ГПУ - Кузьмин С.А. док. техн. наук, Телешев В.И. канд. техн. наук;
от ООО «Гидроспецпроект»: Воскресенский В.М. инж.; Малышев Л.И. док. техн. наук;
от ГУГНПЦ «Ленводпроект»: Кузнецов В.Н. инж.
ГИДРОТЕХНИЧЕСКИЕ
СООРУЖЕНИЯ ГЭС И ГАЭС.
УСЛОВИЯ СОЗДАНИЯ.
НОРМЫ И ТРЕБОВАНИЯ
ПРИЛОЖЕНИЯ
Книга 2
Настоящее приложение устанавливает обязательные требования, выполнение которых позволяет обеспечить прочность и устойчивость плотин, пропускную способность водосбросных сооружений; принципы конструирования плотин; расчетные схемы и расчетные зависимости, которыми необходимо руководствоваться в процессе проектирования; основные положения по обеспечению безопасности плотин.
Выполнение этих требований обеспечивает нормальное функционирование плотин в течение срока их службы.
Настоящее приложение разработано в развитие указаний СНиП 33-01-2003 «Гидротехнические сооружения. Основные положения».
Требования настоящего приложения распространяются на проектирование вновь строящихся и реконструируемых бетонных и железобетонных плотин, энергетических гидроузлов и систем борьбы с наводнениями, а также гидроузлов комплексного назначения.
При проектировании бетонных и железобетонных плотин, предназначенных для строительства в сейсмических районах, в условиях распространения просадочных, набухающих и закарстованных грунтов, в северной строительно-климатической зоне (ССКЗ) и приравненных к ней по природно-климатическим условиям районам (например, высокогорные районы) надлежит учитывать дополнительные требования, предъявляемые к таким сооружениям соответствующими нормативными документами.
Раздел 2 «Нормативные ссылки» Стандарта.
Раздел 3 «Термины и определения» Стандарта.
4.1 В зависимости от конструкции и технологического назначения бетонные и железобетонные плотины подразделяются на основные виды, приведенные в таблице В.1.
Вид, конструкцию и местоположение бетонных и железобетонных плотин в створе гидроузла, а также методы их возведения следует выбирать на основании технико-экономического сравнения вариантов с учетом: топографических, инженерно-геологических, гидрогеологических, геокриологических, геодинамических, в том числе сейсмических и климатических условий района строительства, условий пропуска строительных и эксплуатационных расходов воды, льда и плавающего сора, выбранного (в соответствии с 4.3 настоящего приложения) принципа строительства (для районов распространения многолетней мерзлоты), сейсмичности района, компоновки гидроузла, примыкания плотины к берегам и другим сооружениям, сроков и общей организации строительства (включая возможности каскадного строительства), наличия местных строительных материалов и условий эксплуатации плотин и других сооружений гидроузла, экологических требований, эстетических соображений, социальных вопросов.
4.2 На скальных основаниях в условиях широких створов (при lch/h ≥ 10, где lch - ширина ущелья по хорде на уровне гребня плотины, h - высота плотины) надлежит проектировать бетонные гравитационные и контрфорсные плотины, а в условиях узких створов (при lch/h ≤ 5) предпочтение должно отдаваться арочным и арочно-гравитационным, а также гравитационным, пространственно работающим плотинам. При 5 < lc/h < 10 на альтернативной основе могут рассматриваться бетонные плотины разных видов: гравитационные, контрфорсные, арочно-гравитационные и арочные.
Таблица В.1 - Основные виды бетонных и железобетонных плотин
|
Отличительные признаки |
Основные виды плотин |
|
А. По конструкции плотин |
Гравитационные: |
|
массивные (рисунок В.1, а), |
|
|
с широкими швами (рисунок В.1, б), |
|
|
|
с продольной полостью у основания (рисунок В.1, в), |
|
|
с экраном на напорной грани (рисунок В.1, г), |
|
|
с анкеровкой в основании (рисунок В.1, д), |
|
|
с анкерным понуром (раздел 9 настоящего приложения, рисунок В.8). |
|
|
Контрфорсные: |
|
|
с верховыми массивными оголовками контрфорсов (массивно-контрфорсные) (рисунок В.1, ж), |
|
|
с арочным напорным перекрытием (многоарочные) (рисунок В.1, з), |
|
|
с плоским напорным перекрытием (рисунок В.1, и). |
|
|
Арочные - при Вж/H ≤ 0,35: |
|
|
с защемленными пятами (рисунок В.1, к), |
|
|
с контурным (периметральным) швом (рисунок В.1, л), |
|
|
из трехшарнирных поясов (рисунок В.1, м), |
|
|
с гравитационными устоями (рисунок В.1, н). |
|
|
Арочно-гравитационные - при Вж/Н > 0,35. |
|
Б. По технологическому назначению |
Глухие (рисунок В.1, а, б, г, д, з - н). |
|
Водосбросные: |
|
|
с поверхностными водосливами (рисунок В.1, в, ж; рисунок В.2, а), |
|
|
|
с глубинными водосбросами (рисунок В.2, б), |
|
|
с многоярусными водосбросами (с поверхностными водосливами и глубинными водосбросами) (рисунок В.2, в). |
|
|
Станционные |
На нескальных основаниях бетонные и железобетонные плотины следует проектировать, как правило, в качестве водосбросных. Для глухих участков напорного фронта бетонные и железобетонные плотины могут проектироваться только при надлежащем обосновании.
Для районов распространения многолетней мерзлоты могут проектироваться все виды бетонных и железобетонных плотин (таблица В.1); возведение в этих условиях арочных плотин допускается при специальном обосновании (например, в тех случаях, когда механические характеристики грунтов основания мало меняются после его оттаивания).
4.3 При проектировании плотин и их оснований в районах распространения многолетней мерзлоты следует принимать один из следующих принципов строительства:
- принцип I - многолетнемерзлые грунты в основании и береговых примыканиях сохраняются в процессе строительства и в течение всего периода эксплуатации, а талые грунты замораживаются, обеспечивая водонепроницаемость и фильтрационную прочность противофильтрационных элементов подземного контура плотины, в том числе на контакте плотины с основанием; предусматриваются меры по охлаждению основания в эксплуатационный период;
- принцип II а - многолетнемерзлые грунты в основании и береговых примыканиях искусственно оттаиваются на определенную расчетную глубину до начала или в процессе возведения плотины;
- принцип II б - допускается оттаивание многолетнемерзлых грунтов в процессе строительства и эксплуатации; сооружение возводится и эксплуатируется без искусственного охлаждения или подогрева основания.

Гравитационные: а - массивные; б - с широкими швами; в - с продольной полостью у основания; г - с экраном на напорной грани; д - с анкеровкой в основании.
Контрфорсные: ж - массивно-контрфорсные; з - многоарочные; и - с плоским напорным перекрытием. Арочные: к - с защемленными пятами; л - с контурным (периметральным) швом; м из трехшарнирных поясов; н - с гравитационными устоями.
1 - расширенный шов; 2 - продольная полость; 3 - экран; 4 - предварительно напряженный анкер; 5 - верховые массивные оголовки контрфорсов; 6 - контрфорсы; 7 - арочное напорное перекрытие; 8 - плоское напорное перекрытие; 9 - контурный (периметральный) шов; 10 трехшарнирные пояса; 11 - шарниры; 12 - гравитационные устои.
Рисунок В.1 - Основные виды плотин на скальных основаниях

а - водосливная; б - с глубинными водосбросами, в - двухъярусная
Рисунок В.2 - Основные виды плотин на нескальном основании
4.4 При проектировании плотин для любых районов строительства следует предусматривать мероприятия, обеспечивающие минимальное нарушение окружающей природной среды.
4.5 Класс бетонных и железобетонных плотин следует устанавливать в соответствии со СНиП 33-01-2003 «Гидротехнические сооружения. Основные положения».
При определении класса плотины ее высота принимается равной высоте плотины в наиболее заглубленном участке створа. Длина этого участка вдоль гребня плотины принимается равной:
- для плотин на нескальном основании - размеру одной секции вдоль гребня плотины;
- для плотин на скальном основании - размеру одной секции вдоль гребня плотины или 1/50 длины плотины по гребню (принимается меньшее значение).
Высота плотины определяется по разности отметок гребня (исключая парапет) и подошвы сооружения под верховой гранью (без учета местных заглублений в основание для заделки крупных трещин, устройства зуба и т.д.).
Если наиболее глубокая часть створа выполнена в виде массивной пробки, служащей основанием для расположенной на ней плотины, то высота плотины определяется от верха пробки до гребня плотины.
Если отдельные участки напорного фронта выполнены из плотин разных видов, то класс их принимается равным классу плотины, расположенной в наиболее глубокой части створа.
5.1 Строительные материалы для бетонных и железобетонных плотин и их элементов должны удовлетворять требованиям строительных норм проектирования бетонных, железобетонных и стальных конструкций, государственных стандартов на строительные материалы и настоящего раздела.
5.2 В плотинах и их элементах в зависимости от условия работы бетона в отдельных частях плотины в эксплуатационный период надлежит различать четыре зоны (рисунок В.3):
I - наружные части плотин и их элементов, находящиеся под атмосферным воздействием, не омываемые водой бьефов;
II - наружные части плотин в пределах колебания уровней воды в верхнем и нижнем бьефах, а также части и элементы плотин, периодически подвергающиеся действию потока воды: водосбросы, водоспуски, водовыпуски, водобойные устройства и др.;
III - наружные, а также примыкающие к основанию части плотин, расположенные ниже минимальных эксплуатационных уровней воды верхнего и нижнего бьефов;
IV - внутренняя часть плотин, ограниченная зонами I - III, в том числе бетон конструкций, прилегающих к замкнутым полостям внутри плотин.
К бетону различных зон бетонных и железобетонных плотин всех классов необходимо предъявлять требования, приведенные в таблице В.2.
5.3 Толщину наружных зон плотин следует принимать с учетом вида плотин, напряженного состояния, размеров конструктивных частей и элементов плотин, величины действующего напора, но не менее 1,0 метра.
Таблица В.2- Требования, предъявляемые к бетону для различных зон плотины.
|
Определяемый параметр |
Зоны плотин |
|
|
бетонных |
Железобетонных |
|
|
Прочность на сжатие |
I, II, III, IV |
I, II, III, IV |
|
Прочность на растяжение |
I, II, III |
I, II, III |
|
Водонепроницаемость |
II, III |
II, III |
|
Морозостойкость |
I, II |
I, II |
|
Стойкость против агрессивного воздействия воды |
II, III |
II, III |
|
Сопротивляемость истиранию потоком воды при наличии взвешенных и влекомых наносов, а также стойкость против кавитации при скорости воды по поверхности бетона 15 м /с и более |
II |
II |
|
Тепловыделение при твердении бетона |
I, II, III, IV |
Предъявляется при соответствующем обосновании |
|
Примечание - Для плотин IV класса требования к бетону по тепловыделению допускается не предъявлять. |
||
5.4 Требования к бетону плотин по прочности на сжатие и растяжение, водонепроницаемости, морозостойкости и т.д. необходимо устанавливать дифференцированно, в соответствии с фактическими условиями работы бетона различных зон в период строительства и эксплуатации. При этом следует учитывать различие в уровне требований к бетону наружных и внутренних зон по высоте плотин.
5.5 Возраст (срок твердения) бетона, соответствующий его проектному классу по прочности на сжатие и растяжение и марке по водонепроницаемости, следует назначать с учетом сроков возведения сооружения и наполнения водохранилища.
Как правило, возраст монолитного бетона плотин, отвечающий его классу по прочности и марке по водонепроницаемости, следует принимать равным 180 суткам, возраст по морозостойкости - 28 суткам.
Для бетонных плотин высотой более 60 м и объемом бетона более 500 тыс. м указанный возраст по прочности и водонепроницаемости следует принимать, как правило, равным одному году.

а) глухая плотина; б) водосливная плотина; I - IV - зоны плотины
Рисунок В.3 - Распределение бетона тела плотины по зонам
5.6 Марки бетона по водонепроницаемости должны назначаться в зависимости от градиентов напора в соответствии с требованиями приложения Г Стандарта.
При защите напорной грани гидроизоляцией (экраном) водонепроницаемость бетона зоны III допускается принимать на марку ниже по сравнению с маркой при незащищенной напорной грани.
Для частей и элементов плотин, периодически омываемых водой (зона II), марка бетона по водонепроницаемости принимается не ниже W8; при действии на бетон потока воды с влекомыми наносами, а также при предъявлении к бетону требований по стойкости к кавитации марка бетона по водонепроницаемости принимается в соответствии с 5.14 настоящего приложения.
В агрессивной воде - среде марку бетона по водонепроницаемости следует принимать с учетом агрессивности среды.
5.7 Для сооружений, возводимых в северной строительно-климатической зоне, марки бетона по водонепроницаемости для зоны III должны быть не ниже: для бетонных конструкций - W4, для железобетонных конструкций - W6, при этом срок твердения (возраст) бетона, отвечающий его проектной марке по водонепроницаемости, следует принимать равным: для железобетонных конструкций - 28 суток, для массивных конструкций, возводимых в теплой опалубке - 60 суток.
5.8 Марки бетона по морозостойкости следует назначать в зависимости от климатических условий района строительства плотины и расчетного числа циклов попеременного замораживания и оттаивания в год в соответствии с требованиями приложением Г Стандарта.
5.9 Для плотин, возводимых в северной строительно-климатической зоне, марки бетона по морозостойкости в 28-дневном возрасте должны быть не менее, приведенных в таблице В.3.
Таблица В.3 - Марки бетона по морозостойкости
|
Зона плотин |
Марки бетона по морозостойкости для плотин |
|
|
бетонных |
железобетонных |
|
|
Надводная зона (зона I) |
F150 |
F200 |
|
Водосливы и водосбросы (зона II) |
F400 |
F400 |
|
Подводная (зона III) |
- |
F100 |
|
Внутренняя (зона IV) |
- |
- |
|
Переменного уровня (зона II) при числе циклов попеременного замораживания и оттаивания в год: |
|
|
|
≤50 |
F150 |
F200 |
|
51-75 |
F200 |
F300 |
|
76-100 |
F300 |
F400 |
|
101-150 |
F400 |
F500 |
|
151-200 |
F500 |
F600 |
|
Примечания 1. При числе расчетных циклов более 200 следует применять специальные виды бетонов (с комплексными добавками) или конструктивную теплозащиту. 2. Для массивных конструкций, возводимых в теплой опалубке, срок твердения (возраст) бетона, отвечающий его марке по морозостойкости, допускается принимать равным 60 суток. 3. Для конструкций, для бетона которых проектом установлены классы по прочности на растяжение, указанные марки по морозостойкости должны быть повышены на одну ступень. |
||
5.10 Для сооружений в северной строительно-климатической зоне марки бетона по морозостойкости должны назначаться с учетом эффективности применения теплозащиты напорной или низовой граней плотины.
5.11 Классы бетонов по прочности на сжатие и растяжение следует принимать в соответствии с указаниями приложения Г Стандарта в зависимости от значений расчетных сопротивлений бетона, определенных согласно указаниям 5.13 настоящего приложения.
Число и зональное размещение различных классов бетона в сооружении должны приниматься так, чтобы на каждом этапе возведения плотины требовалась одновременная укладка не более четырех классов бетона; увеличение их числа допускается только при надлежащем обосновании.
5.12 Для бетона плотин объемом бетона более 1,0 млн.м следует наряду с установленными в приложении Г Стандарта классами бетона по прочности на сжатие принимать промежуточные значения классов. Характеристики этих бетонов (расчетные и нормативные сопротивления, модуль упругости и др.) следует принимать по интерполяции.
Классы бетона по прочности определяются напряженным состоянием материала сооружений в конкретных сечениях, а составы бетона должны соответствовать предъявляемым требованиям к морозостойкости, прочности, водонепроницаемости и к распалубочной (технологической) прочности, если последнее требование указано в проекте.
5.13 Расчетные сопротивления бетона плотин в возрасте 180 суток (или 1 год) следует определять, исходя из устанавливаемых при проектировании расчетных сопротивлений бетона, требуемых ко времени нагружения сооружения эксплуатационными нагрузками, с учетом реального возраста, который будет иметь бетон к указанному времени, и условий возведения плотины по формулам:
на сжатие:
Rb = Rbτ/(γτc γη);
Rb,ser = Rbτ,ser/(γτc γη);
на растяжение:
Rbt = Rbtτ/(γτc γη);
Rbt,ser = Rbtτ,ser/(γτc γη),
где Rb, Rbt, Rb,ser и Rbt,ser - расчетные сопротивления бетона на сжатие и растяжение соответственно для предельных состояний первой и второй групп в возрасте 180 суток (или 1 год);
Rbτ, Rbtτ, Rbτ,ser и Rbtτ,ser - сопротивления бетона на сжатие и растяжение соответственно для предельных состояний первой и второй групп, требуемые по расчетам плотины на прочность ко времени нагружения сооружений эксплуатационными нагрузками и определяемые в соответствии с требованиями разделов 10, 11 и 12 настоящего приложения;
γτc γτt - коэффициенты, учитывающие влияние возраста бетона на его прочность при сжатии и растяжении соответственно, определяемые по таблице В.4;
γη - коэффициент, учитывающий различие в прочности бетона в контрольных образцах и сооружении и принимаемый равным:
1.0 - при механизированном изготовлении, транспортировке и подаче с распределением и уплотнением бетонной смеси ручными вибраторами;
1.1 - при автоматизированном приготовлении бетонной смеси, полностью механизированных транспортировке, укладке и уплотнении бетонной смеси.
5.14 При предъявлении к бетону зоны II требований к сопротивляемости истиранию потоком воды с влекомыми наносами или стойкости против кавитации марка бетона по водонепроницаемости должна быть не ниже W10, по морозостойкости не ниже F200, а класс бетона по прочности на сжатие не ниже В25.
5.15 Прочность бетона конструкций, предназначенных для эксплуатации в особо суровых климатических условиях (со среднемесячной температурой наиболее холодного месяца - минус 20º С и ниже) к моменту замерзания бетона должна быть:
- для немассивных элементов плотин в зоне переменного уровня воды и в зонах сооружения, контактирующих с мерзлым грунтом, - не менее 100 % проектной прочности; для других зон и частей плотины - не ниже 70 % проектной прочности;
- для массивных элементов плотин в зоне переменного уровня воды - не ниже 70 % проектной прочности, а для надводной, подводной зон и зон контакта с мерзлым грунтом - не ниже 50 % проектной прочности.
5.16 Класс бетона и раствора омоноличивания должен быть не ниже класса бетона омоноличиваемых конструкций, если последний не ниже В25. В других случаях класс бетона и раствора омоноличивания должен быть на одну ступень выше класса бетона омоноличиваемой конструкции.
5.17 Для возведения плотин следует применять портландцемент, сульфатостойкий портландцемент и портландцемент с минеральными добавками. Во всех случаях содержание в клинкере С3А должно быть не более 8 %.
Для надводной и подводной зон плотины (зоны II и III) допускается применение и других видов портландцемента, а для подводной (зона III) и внутренней (зона IV), кроме того, - шлакопортландцемента или пуццоланового портландцемента.
Потребность строительства плотины в цементе должна определяться с учетом продолжительности его транспортировки от завода поставщика и условий его хранения на строительстве.
Число видо-марок цемента должно быть, как правило, не более двух, трех, причем следует ограничиваться одним - двумя заводами-поставщиками цемента.
Таблица В.4 - Коэффициенты, учитывающие влияние возраста бетона на его прочность
|
Возраст бетона ко времени нагружения сооружения, год |
Коэффициент γτc |
Коэффициент γτt |
|
|
для районов со среднегодовой температурой наружного воздуха 0°С и выше |
для районов с отрицательной среднегодовой температурой наружного воздуха |
||
|
0,5 |
1,0/0,9 |
1,0/0,9 |
1,0/0,9 |
|
1,0 |
1,1/1,0 |
1,05/1,0 |
1,05/1,0 |
|
2,0 |
1,15/1,10 |
1,10/1,05 |
1,10/1,05 |
|
≥ 3,0 |
1,20/1,15 |
1,15/1,10 |
1,15/1,1 |
Примечания1 В числителе приведены значения коэффициентов γτc и γτt при возрасте бетона 180 суток, в знаменателе - при возрасте бетона 360 суток. 2 При секционной разрезке коэффициент γτc следует принимать как для районов со среднегодовой температурой наружного воздуха 0ºС и выше. 3 Для плотин I класса коэффициенты γτc и γτt допускается уточнять путем экспериментальных исследований бетонов принятых составов. |
|||
5.18 Для плотин I и II классов следует разрабатывать специальные технические условия на цемент, согласовывая и утверждая их в установленном порядке.
5.19 Для обеспечения требуемой морозостойкости бетона марок F200 и выше, а также для повышения водонепроницаемости бетона и его технологических свойств следует предусматривать применение воздухововлекающих, а также комплексных добавок.
5.20 Для внутренних зон гравитационных и арочно-гравитационных плотин следует предусматривать возможность применения жестких бетонных смесей, уплотняемых укаткой (укатанных бетонов), а также малоцементных бетонных смесей с использованием золы уноса.
5.21 При проектировании составов бетона необходимо проводить исследования по оценке реакционной способности заполнителей - их способности вступать в реакцию со щелочами цемента.
6.1 Ширину и конструкцию гребня глухой плотины следует принимать в зависимости от вида плотины, условий производства работ, использования гребня в эксплуатационный период для проезда, прохода или других целей, но не менее 2 м.
6.2 Превышение гребня глухой плотины над уровнем воды в верхнем бьефе следует определять согласно приложению Б.
6.3 Размеры быков водосбросных плотин следует назначать в зависимости от типа и конструкции затворов, размеров водосбросных отверстий, эксплуатационных и аварийных выходов из продольных галерей, размеров и конструкции мостовых пролетных строений. При этом толщина пазового перешейка быка во всех случаях должна назначаться не менее 0,8 м.
6.4 Отметку верха быка водосливной плотины со стороны верхнего бьефа следует назначать с учетом отметки гребня глухой плотины, типа затворов, условий маневрирования ими, подъемных и транспортных механизмов, наличия мостового перехода и его габаритов по высоте.
Отметку верха быков следует принимать наивысшей из определенных по каждому из перечисленных условий.
6.5 Очертания быков в плане со стороны верхнего бьефа должно обеспечивать плавный вход воды в водосбросное отверстие и минимальное сжатие потока.
В случае пропуска льда оголовок быка следует проектировать заостренной формы.
6.6 Очертание в плане и высота быков со стороны нижнего бьефа определяется общими конструктивными требованиями с учетом прочностных и гидравлических условий, расположения мостовых конструкций и других сооружений, а также незатопления верха быков.
6.7 Раздельные и береговые устои в пределах водосбросных участков плотин следует конструировать с учетом требований, предъявляемых к обтекаемым поверхностям быков.
6.8 При проектировании автомобильных и железнодорожных мостов по быкам и устоям, к быкам и устоям следует предъявлять дополнительные требования как к мостовым опорам.
6.9 Размещение турбинных водоводов приплотинных ГЭС внутри тела гравитационных плотин или по их низовой грани должно быть обосновано технико-экономическим сравнением вариантов с учетом климатических условий района строительства, технологии укладки бетона и монтажа оборудования.
6.10 При сопряжении отдельных частей плотины (водосбросной части с глухой и станционной) надлежит избегать выступов напорной грани одной плотины по отношению к другой, за исключением бычков и оголовков.
6.11 Вдоль верховой грани плотин следует предусматривать устройство дренажа в виде вертикальных дрен (скважин), имеющих выходы в продольные галереи. Устройство горизонтальных дрен, приуроченных к ярусам бетонирования и имеющих выход в смотровые шахты, расположенные в межсекционных швах плотины, должно быть специально обосновано в проекте.
6.12 Диаметр вертикальных дрен следует принимать 10-30 см; расстояние между осями дрен - 2-3 м.
Горизонтальные дрены площадью поперечного сечения 400-800 см2 следует располагать в горизонтальных швах плотины.
6.13 Расстояние от напорной грани плотины до оси дренажа adr, а также до верховой грани продольных галерей (6.16 настоящего приложения) должно назначаться на менее 2 м при соблюдении условия
(Hd γn/adr) ≤ Jcr,m;
где Hd - напор над расчетным сечением;
Jcr,m - критический (предельный) градиент напора для бетона плотины;
γn - коэффициент надежности по ответственности сооружения, принимаемый в соответствии с 8.13 настоящего приложения.
Значение критического градиента напора надлежит принимать в зависимости от марки бетона по водонепроницаемости: от Jcr,m = 10 при W4 до Jcr,m = 50 при W20. При изменении марки бетона по водонепроницаемости на 1 ступень критический градиент напора увеличивается на 5 единиц.
Примечание - Для зон арочных и арочно-гравитационных плотин, а также арочных напорных перекрытий контрфорсных плотин, где бетон испытывает объемное сжатие, допускается принимать значение критического градиента напора на 25 % больше приведенного выше.
6.14 Для уменьшения противодавления на плотину в ее основании, как правило, следует предусматривать устройство дренажа в виде вертикальных или наклонных скважин или горизонтальных дренажных устройств.
6.15 Как правило, дренажные устройства следует размещать в зонах тела плотины и основания, имеющих в период эксплуатации положительные температуры.
В тех случаях, когда дренажные устройства попадают в постоянные или сезонные зоны с отрицательными температурами, следует предусматривать эксплуатационный подогрев дренажных устройств или соответствующих частей сооружения (например, полостей контрфорсной плотины с низовым перекрытием).
6.16 В теле плотины должны предусматриваться продольные и поперечные галереи. По высоте плотины галереи рекомендуется располагать примерно через 25 м.
Одну из продольных галерей следует проектировать выше максимального уровня нижнего бьефа для обеспечения самотечного отвода воды из всей вышележащей части плотины. Из нижележащих галерей необходимо предусматривать откачку воды. Выпуск воды в нижний бьеф во всех случаях должен осуществляться ниже минимального уровня.
6.17 Размеры галерей, устраиваемых для цементации основания и строительных швов плотины, создания и восстановления вертикального дренажа, должны приниматься минимальными, обеспечивающими провоз и работу бурового, цементационного и другого оборудования, с учетом размещения трубопроводов для охлаждения бетона и кабельных коммуникаций.
Ширину галерей, предусмотренных для сбора и отвода воды, контроля за состоянием бетона плотины и уплотнения швов, размещения КИА и различного рода коммуникаций, следует назначать не менее 1,2 м, высоту не менее - 2,0 м.
Пол галереи, предусмотренный для сбора и отвода воды, рекомендуется проектировать с уклоном не более 1:40 в сторону водосливного лотка.
6.18 В плотинах, имеющих несколько ярусов галерей, необходимо предусматривать сообщение между ними путем устройства маршевых лестниц или лифтов.
Каждый нижележащий ярус галерей должен иметь аварийные выходы в вышележащий. Каждая продольная галерея должна иметь не менее двух аварийных выходов, расположенных на расстоянии не более 300 м друг от друга.
6.19 С целью повышения технологичности плотин при их конструировании надлежит предусматривать:
- применение наиболее простых по форме профилей плотин с минимальной площадью внешних поверхностей;
- минимально необходимое число шахт, лестничных клеток и потерн;
- разрезку плотин на укрупненные секции с устройством в необходимых случаях швов-надрезов;
- устройство межсекционных швов и швов-надрезов с применением сборного железобетона.
6.20 В растянутой зоне на напорной грани бетонных, а при обосновании и железобетонных плотин следует рассматривать целесообразность устройства гидроизоляции (асфальтовой штукатурной, литой асфальтовой, пропиточной битумной, штукатурной минеральной, окрасочной полимерной, полимерной и полимербитумной). При этом марку бетона по водонепроницаемости следует определять с учетом указаний 5.6 - 5.7 настоящего приложения.
6.21 При среднемесячной температуре наружного воздуха в наиболее холодном месяце года ниже минус 25º С в зоне переменного уровня воды следует рассматривать целесообразность устройства по бетонным поверхностям (кроме водосливных) теплогидроизоляции из легкого асфальтобетона, эпоксидно-каменноугольных и поливинилхлоридных пенопластов и других теплогидроизоляционных материалов.
6.22 Для плотин, возводимых в северной строительно-климатической зоне, следует рассматривать целесообразность устройства постоянной теплоизоляции открытых поверхностей, особенно теплогидроизоляции в зоне переменного уровня воды.
6.23 Толщину наружной зоны в пределах переменного уровня воды следует принимать не менее 1,5 м и не менее глубины проникновения отрицательной температуры за зимний сезон.
6.24 Толщину износостойких и кавитационностойких облицовок водосливов следует принимать в пределах 1,0 - 2,0 м, при этом, как правило, должна быть обеспечена возможность бетонирования облицовки одновременно с укладкой бетона в прилегающую часть тела плотины.
6.25 Толщину защитной зоны для наружных частей плотин, подвергающихся воздействию атмосферных осадков и знакопеременных температур, но не омываемых водой водоемов, следует принимать не менее 1,0 м.
Если к бетону этих частей плотины предъявляются требования морозостойкости, не превышающие такие требования к бетону внутренней зоны сооружения, то в этих случаях указанные наружные части плотины допускается не выделять в самостоятельные защитные зоны.
6.26 При проектировании бетонных и железобетонных плотин следует предусматривать устройство деформационных (постоянных и временных) и строительных швов.
К постоянным деформационным швам относятся неомоноличиваемые межсекционные швы и температурные швы-надрезы (вертикальные и горизонтальные). Постоянные деформационные швы учитываются в расчетной схеме сооружения.
К временным деформационным швам относятся омоноличиваемые межсекционные швы в неразрезных плотинах и межстолбчатые и иные швы в пределах секций плотин.
Строительные швы (вертикальные и горизонтальные) определяются размерами блоков бетонирования.
6.27 Размеры секций плотин и блоков бетонирования должны определяться в зависимости от:
- вида и высоты плотин, размера секций зданий ГЭС, а также расположения в плотинах водопропускных отверстий, в том числе турбинных водоводов;
- климатических условий района строительства с учетом обеспечения монолитности бетона плотины между швами;
- методов возведения плотины;
- формы поперечного сечения русла, геологического и геокрилогического строения и деформируемости основания плотины.
6.28 При выборе вида деформационных швов и расстояний между ними следует соблюдать требования приложения Г Стандарта.
6.29 Ширину постоянного деформационного шва следует назначать на основе сопоставления расчетных данных по ожидаемым деформациям смежных секций плотины с учетом предусматриваемой проектом конструкции шва, деформативных свойств материала его заполнения и обеспечения независимости перемещения секций плотины относительно друг друга.
При предварительном назначении конструкций постоянных деформационных швов их ширину следует принимать:
- температурных - 0,5 - 1 см на расстоянии не более 5 м от лицевых граней и гребня, а внутри тела плотины - 0,1 - 0,3 см;
- температурно-осадочных - 1 - 2 см в пределах фундаментной плиты плотины и водобоя при любых нескальных и полускальных грунтах основания;
- выше фундаментной плиты плотины на нескальных грунтах основания - не менее 5 см.
6.30 В конструкциях постоянных деформационных швов следует предусматривать:
- уплотнение, обеспечивающее его водонепроницаемость;
- дренажное устройство для отвода профильтровавшейся через уплотнение или в его обход воды;
- устройство смотровых шахт и галерей для наблюдения за состоянием межсекционных швов и ремонта уплотнений.
6.31 Уплотнения постоянных деформационных швов плотин следует подразделять:
- по расположению в шве - на вертикальные, горизонтальные и контурные (рисунок В.4);
- по конструкции и материалам - на диафрагмы из металла, резины и пластических масс (рисунок В.5, а);
- шпонки и прокладки из асфальтовых материалов (рисунок В.5, б);
- инъекционные (цементация и битумизация) (рисунок В.5, в);
- брусья из бетона и железобетона (рисунок В.5, г).
Для плотин III и IV классов в зонах ниже уровня мертвого объема (УМО) допускается применять уплотнения из антисептированных деревянных элементов, изготовленных из древесины, устойчивой к воздействию воды.
6.32 При проектировании конструкций уплотнения деформационных швов плотин необходимо соблюдать следующие условия:
- материал уплотнения должен непосредственно примыкать к бетону образующих швов секций;
- величина напряжения на контакте асфальтового материала уплотнения с бетоном в рассматриваемом сечении должна быть не менее величины внешнего гидростатического давления воды в том же сечении;
- средние градиенты фильтрационного напора через бетон по контуру уплотнений шва не должны превышать величин, приведенных в 6.13 настоящего приложения;
- конструкция деформационного шва должна быть работоспособна во всем диапазоне температурных воздействий.
При определении действующего среднего градиента напора в уплотнениях постоянных швов плотин общий путь фильтрации следует принимать равным:
- при изменении температуры бетона в зоне до 6º С - пути фильтрации в обход асфальтовых шпонок, металлических или резиновых диафрагм с учетом пути фильтрации на длине цементируемых или битуминизированных участков швов между диафрагмами и шпонками;
- при изменении температуры бетона в зоне швов свыше 6º С - только пути фильтрации в обход асфальтовых шпонок, металлических или резиновых диафрагм без учета пути фильтрации на длине цементируемых или битуминизированных участков швов.
6.33 В проекте следует предусмотреть омоноличивание временных вертикальных швов до подъема уровня воды перед плотиной. Сроки и порядок омоноличивания межстолбчатых швов следует назначать, исходя из проектной температуры омоноличивания массива с учетом температурного изгиба столбов и использования ее для улучшения напряженного состояния плотины.
При проектировании плотин допускается предусматривать устройство временных широких швов, заполненных бетоном (замыкающие блоки). Сроки омоноличивания широких швов устанавливаются с учетом выравнивания температур между бетонными массивами и окружающей средой, стабилизации осадок и наполнения водохранилища.

1 - шов t = 0,5 - 1 см; 2 - шов t = 0,1 - 0,3 см; 3 - шов t = 1 - 2 см; 4 - шов t ≥ 5 см; 5, 6, 7 - соответственно вертикальное, горизонтальное и контурное уплотнения; 8 - дренажное устройство; 9 - смотровая шахта; 10 - смотровая галерея
Рисунок В.4 - Схемы расположения уплотнений в постоянных деформационных швах плотин на скальном (а, б) и нескальном (в, г) основаниях

а - диафрагмы из металла, резины и пластических масс; б - шпонки и прокладки из асфальтовых материалов; в инъекционные (цементация и битумизация) уплотнения; г - брусья и плиты из бетона и железобетона; 1 - металлические листы; 2 - профилированная резина; 3 - асфальтовая мастика; 4 - железобетонная плита; 5 - скважины для цементации; 6 - цементационные клапаны; 7 - железобетонный брус; 8 - асфальтовая гидроизоляционная прокладка
Рисунок В.5 - Схема основных уплотнений деформационных швов бетонных и железобетонных плотин
6.34 Длину водосливного фронта плотины, размеры и число поверхностных и глубинных водопропускных устройств, их размещение и порядок включения следует принимать на основании требований по обеспечению заданной пропускной способности сооружений гидроузла и выполнения различных других функций этих устройств (опорожнение водохранилища, обводнение территорий в нижнем бьефе, сброс льда и мусора, пропуск наносов и т.п.) с учетом допустимых при данных инженерно-геологических условиях удельных расходов воды, требований к гидравлическому режиму руслового потока в бьефах, влияния сбросных расходов на другие сооружения гидроузла и деформации русла в нижнем бьефе, условий производства работ.
Величины сбросных расходов для расчетных и поверочных случаев должны приниматься в соответствии с требованиями Стандарта.
Для плотин I, II, и III классов технико-экономическое сравнение разработанных вариантов следует производить по результатам физического и численного моделирования, аналитических расчетов; для плотин IV класса сравнение вариантов следует производить по результатам расчетов с использованием эмпирических зависимостей и аналогов.
6.35 Основным профилем оголовков водосливных плотин всех классов следует принимать безвакуумный профиль, сопрягающийся с водосливной гранью плавно или, если это обосновано гидравлическими расчетами или исследованиями, с уступом. При сопряжении с уступом следует, как правило, обеспечивать подвод воздуха под уступ. Уклон водосливной грани и ее протяженность следует назначать исходя из конструктивных особенностей профиля плотины. При напорах до 12 м очертание оголовков водосливных плотин допускается принимать трапецеидальным или прямоугольным.
Применение вакуумных оголовков, а также трапецеидальных или прямоугольных при напорах, превышающих 12 м, должно быть обосновано технико-экономическими расчетами, а в необходимых случаях - гидравлическими расчетами и экспериментальными исследованиями. При этом необходимо обеспечить значение вакуума (с учетом пульсации давления), исключающее возникновение кавитации; предотвратить срыв вакуума (устройством плавно очерченных устоев и удлиненных быков, размещением пазов затворов за пределами зоны вакуума и т.п.)
При проектировании поверхностных водосбросов следует рассматривать целесообразность гашения части энергии в пределах водосливной грани за счет ступенчатой поверхности.
6.36 При проектировании водосбросных (водоспускных, водовыпускных) сооружений плотин, их механического оборудования и крепления нижнего бьефа, обтекаемых потоком со скоростью более 15 м/с, следует предусматривать мероприятия, направленные на защиту сооружений от кавитации и кавитационной эрозии:
- плавное очертание обтекаемых поверхностей, обеспечивающее отсутствие или допустимое (с учетом пульсации давления) значение вакуума;
- сглаживание местных неровностей;
- подвод воздуха в зоны возможного возникновения кавитации (уступы, дефлекторы, пазы-аэраторы и их сочетания с соответствующими воздухоподводящими устройствами, обеспечивающие отрыв транзитного потока и воздухонасыщение его придонного и пристенного слоев);
- специальные безэрозионные конструкции затворов, их пазов и камер затворов;
- использование в качестве гасителей энергии: гидравлического прыжка на гладком водобое, водобойного колодца, водобойной стенки или безэрозионных гасителей;
- использование бетонов с повышенной кавитационной стойкостью, в том числе специальных бетонов на основе полимерных вяжущих (полимербетонов), а в необходимых случаях - металлической облицовки.
Принимаемые решения должны быть обоснованы технико-экономическими расчетами, выполненными для плотин I, II, III классов с учетом результатов гидравлических исследований и расчетов, а для плотин IV класса - расчетами и сопоставлениями с аналогами.
6.37 Высотное положение входного оголовка глубинного водосброса, наклон его оси, форму профиля и гидравлический режим на тракте следует принимать с учетом общей компоновки гидроузла, конструктивных особенностей плотины, концевого участка
водосброса, применяемого механического оборудования, диапазона изменения уровней воды в верхнем бьефе, определяемого по режиму пропуска расходов воды и льда.
Кромки входного участка глубинных водосбросов, всегда работающего в напорном режиме течения, должны иметь плавное очертание; площадь живого сечения подобных водосбросов (водоспусков, водовыпусков) следует, как правило, уменьшать к выходному сечению.
При расположении камеры затворов во входном оголовке или в средней части тракта глубинного водосброса необходимо предусматривать подвод воздуха за затворы. Устье воздуховода следует максимально (по конструктивным условиям водосброса) приближать к затвору; оно должно быть защищено от попадания струй и брызг воды.
6.38 Конструкцию концевых участков поверхностного и глубинного водосбросов следует выбирать в зависимости от величины удельного расхода воды на выходе, характеристик грунтов основания, а также требований, предъявляемых к основным гидравлическим режимам сопряжения бьефов.
6.39 Для создания поверхностного режима сопряжения бьефов в конце водосброса следует предусматривать носок-уступ с горизонтальной или наклонной поверхностью; формирующийся при этом незатопленный режим должен быть устойчивым; поток не должен вызывать опасного размыва русла и берегов реки на прилегающем к сооружению участке. Поверхностный режим сопряжения следует принимать с учетом пропуска льда и других плавающих тел.
6.40 При донном режиме сопряжения бьефов следует предусматривать сопряжение водосливной поверхности с водобоем плавным или посредством небольшого уступа. Отметку поверхности водобоя и рисбермы, их длину и толщину, следует назначать на основании гидравлических исследований и технико-экономического сравнения с учетом всего комплекса мероприятий, влияющих на гидравлические условия в нижнем бьефе (гасители энергии, обеспечивающие образование затопленного прыжка на водобое и благоприятные условия для маневрирования затворами; переходные крепления от бетонной рисбермы к незакрепленному руслу, ковш за переходным креплением и др.). Следует принимать меры, исключающие повреждение элементов крепления твердыми материалами (камни, металл и др.).
6.41 Сопряжение бьефов при разнице в их уровнях свыше 100 м следует, как правило, производить отбросом струи, для чего в конце водосбросного тракта необходимо устраивать носок-трамплин, форма которого зависит от выполняемой им задачи: расширение струи для уменьшения глубины размыва русла, сужение или поворот струи для исключения обрушения берегов.
Во избежание образования баров при размыве русла отброшенной струей следует рассматривать возможность устройства искусственной ямы размыва.
Выбор принципа строительства водопропускных сооружений, возводимых в районах распространения многолетнемерзлых грунтов, следует осуществлять так же, как и для самой плотины.
При осуществлении принципа I (с сохранением основания в мерзлом состоянии, в соответствии с 4.3 настоящего приложения) должны предусматриваться специальные теплоизоляционные и противофильтрационные мероприятия.
6.42 При проектировании водопропускных сооружений следует предусматривать мероприятия, исключающие возможность замерзания воды или образования наледей на
элементах их тракта, обеспечивая самотечное опорожнение, а в необходимых случаях -специальные теплозащитные затворы.
6.43 Механическое оборудование водопропускных сооружений следует проектировать с учетом требований Стандарта.
В составе механического оборудования водопропускных сооружений следует предусматривать основные, аварийно-ремонтные и ремонтные затворы. Отказ от установки аварийно-ремонтных или ремонтных затворов должен быть обоснован.
Для поверхностных водосбросов следует отдавать предпочтение затворам с незатопленными опорно-ходовыми частями, например, сегментными.
При всех режимах работы водосброса конструкция механического оборудования, формы пазовых конструкций и закладных деталей должны обеспечивать безкавитационные режимы с наименьшей вибрацией.
6.44 Удаление (съем) грунта в основании плотины должно быть минимальным и обосновано расчетами плотин на прочность и устойчивость с учетом мероприятий по укреплению грунта основания.
6.45 Выравнивание контактных поверхностей скальных оснований бетонных плотин не допускается. Сопряжение арочных, арочно-гравитационных и пространственно работающих гравитационных плотин с косогорными участками основания должно производиться, как правило, без уступов.
6.46 При проектировании бетонных и железобетонных плотин следует учитывать изменение свойств грунтов в процессе строительства и эксплуатации, в том числе в связи с изменением геокриологических условий; в случае необходимости следует предусматривать мероприятия по улучшению прочностных, деформационных и фильтрационных свойств грунтов оснований:
- закрепление и уплотнение грунтов основания или его части цементационными или другими вяжущими растворами;
- дренирование глинистых водонасыщенных грунтов;
- устройство подпорных стен, поддерживающих склоны и откосы массивов и анкеровку неустойчивых скальных массивов;
- разделку горным способом крупных трещин, разломов и пустот в скальных массивах с последующим заполнением их бетоном или железобетоном в виде отдельных пробок, шпонок, сплошных полос или решеток;
- сохранение грунтов в мерзлом состоянии или искусственное их промораживание;
- предварительное протаивание с последующим закреплением и уплотнением;
- предотвращение сплывов оттаивающих массивов рыхлых многолетнемерзлых грунтов в береговых примыканиях плотин (сохранение растительного покрова, удаление рыхлых многолетнемерзлых грунтов от краев скальной врезки плотин, уполаживание и утепление откосов рыхлых многолетнемерзлых грунтов.
6.47 Во всех случаях, когда основание плотины сложено фильтрующими слабоводоустойчивыми и быстрорастворимыми грунтами, необходимо предусматривать специальные противофильтрационные мероприятия, предотвращающие суффозионные процессы или обеспечивающие снижение их до допустимых пределов.
Для грунтов, устойчивых к химической и механической суффозии, противофильтрационные устройства должны быть обоснованы технико-экономическими расчетами.
Противофильтрационные мероприятия для оснований, сложенных мерзлыми грунтами, должны проектироваться с учетом прогноза изменения их температурного режима и свойств в процессе строительства и эксплуатации сооружений.
Противофильтрационные устройства в основании плотины надлежит сопрягать с аналогичными устройствами в берегах и в примыкающих к плотине сооружениях гидроузла.
6.48 Противофильтрационную завесу следует предусматривать, как правило, до слабоводопроницаемых или практически водонепроницаемых грунтов. Глубина завесы при отсутствии водоупора определяется расчетом с учетом инженерно-геологических условий, степени проницаемости грунтов, величины противодавления в основании плотины, наличия дренажа и т.д.
При расчетном обосновании глубины противофильтрационной завесы следует учитывать прогноз геокриологических условий в основании сооружения.
6.49 Цементационная завеса, как правило, должна размещаться за пределами зоны растяжения основания с обязательным обеспечением возможности ее контроля и восстановления в процессе эксплуатации.
Критические средние градиенты напора на противофильтрационной завесе Jcr,m следует принимать:
а) для нескальных грунтов основания - в соответствии с указаниями 9.43 настоящего приложения;
б) для скальных грунтов основания
Jcr,m = Jadm γn
где Jadm - допустимый градиент напора на завесе, принимаемый в соответствии с приложением А Стандарта;
γn - 8.13 настоящего приложения.
7.1 Нагрузки, воздействия и их сочетания на бетонные и железобетонные плотины должны определяться согласно в соответствии с требованиями Стандарта и его приложений.
7.2 При расчетах плотин на основные сочетания нагрузок и воздействий следует учитывать:
постоянные нагрузки и воздействия:
а) собственный вес сооружения, включая вес постоянного технологического оборудования (затворы, подъемные механизмы и пр.), местоположение которого на сооружении не меняется в процессе эксплуатации;
б) силовое воздействие воды при нормальном подпорном уровне (НПУ) верхнего бьефа, уровне нижнего бьефа, соответствующем пропуску через сооружение минимального по технологическим и экологическим требованиям расхода и нормальной работе дренажных и противофильтрационных устройств:
- давление воды на верховую и низовую грани плотины;
- пригрузка основания со стороны верхнего и нижнего бьефов;
- силовое воздействие фильтрующейся воды;
в) вес грунта, сдвигающегося с плотиной, и боковое давление грунта со стороны верхнего и нижнего бьефов;
временные длительные нагрузки и воздействия:
г) давление наносов, отложившихся перед плотиной;
д) температурные воздействия, определяемые для проектных условий строительства и эксплуатации сооружения при среднемноголетних климатических характеристиках;
е) поровое давление в водонасыщенном, в том числе в оттаивающем льдистом грунте при нормальной работе дренажных и противофильтрационных устройств, НПУ в верхнем бьефе и уровне в нижнем бьефе, соответствующем минимальному по технологическим и экологическим требованиям расходу;
кратковременные нагрузки и воздействия:
ж) силовое воздействие воды при уровнях в верхнем и нижнем бьефах, соответствующих пропуску через сооружение расхода основного расчетного случая, устанавливаемого в соответствии с Стандартом, и нормальной работе дренажных и противофильтрационных устройств (взамен подпункта б):
- давление воды на верховую и низовую грани плотины;
- пригрузка со стороны верхнего и нижнего бьефов;
- силовое воздействие фильтрующейся воды;
- динамические нагрузки от потока сбрасываемой воды;
з) давление льда, определяемое при его средней многолетней толщине;
и давление волны, определяемое при средней многолетней скорости ветра; к) нагрузки от подъемных, перегрузочных и транспортных устройств и других конструкций и механизмов (мостовых и подвесных кранов и т.п.); л) нагрузки от плавающих тел.
7.3 При расчетах плотин на особые сочетания нагрузок и воздействий следует учитывать постоянные, временные длительные, кратковременные нагрузки и воздействия и одну из следующих особых нагрузок и воздействий:
а) силовое воздействие воды при форсированном подпорном уровне (ФПУ) верхнего бьефа, уровне нижнего бьефа, соответствующем пропуску через сооружение расхода поверочного расчетного случая, устанавливаемого в соответствии со Стандартом, и нормальной работе дренажных и противофильтрационных устройств (взамен 7.2, б, ж настоящего приложения):
- давление воды на верховую и низовую грани плотины;
- пригрузка основания со стороны верхнего и нижнего бьефов;
- силовое воздействие фильтрующейся воды;
- динамические нагрузки от потока сбрасываемой воды;
- давление воды на верховую и низовую грани плотины;
- пригрузка основания со стороны верхнего и нижнего бьефов;
- силовое воздействие фильтрующейся воды;
- поровое давление в водонасыщенном, в том числе оттаивающем сильнольдистом грунте основания;
б) силовое воздействие воды, обусловленное выходом из работы одного из противофильтрационных устройств (цементационной завесы, шпунта, понура) на участке длины плотины, равном не менее ширины одной секции (а для неразрезных плотин - на участке длины плотины не менее половины ее ширины по подошве), или нарушением проектного состояния подземного контура сооружения в случае строительства плотины на основании с многолетнемерзлыми грунтами по принципу I или II, при НПУ в верхнем бьефе и уровне в нижнем бьефе, соответствующем минимальному по технологическим и экологическим требованиям (взамен 7.2, б, е, ж настоящего приложения):
- давление воды на верховую и низовую грани плотины;
- пригрузка основания со стороны верхнего и нижнего бьефов;
- силовое воздействие фильтрующейся воды;
- поровое давление в водонасыщенном грунте основания.
в) температурные воздействия, определяемые для года с максимальной амплитудой колебаний среднемесячных температур, а также для года с максимально низкой среднемесячной температурой (взамен 7.2, д настоящего приложения);
г) давление льда, определяемое при максимальной многолетней толщине льда обеспеченностью 1 % (взамен 7.2, з настоящего приложения);
д) давление волны, определяемое при максимальной многолетней скорости ветра обеспеченностью 2 % - для сооружений I и II классов и 4 % - для сооружений III и IV классов (взамен 7.2, и настоящего приложения);
е) сейсмические воздействия.
7.4 Состав особых нагрузок, учитываемых в расчетах плотин на особые сочетания, определяется проектной организацией в зависимости от особенностей конструкции проектируемого сооружения и условий его строительства и эксплуатации.
В основные и особые сочетания нагрузок и воздействий следует включать только те из кратковременных нагрузок и воздействий (7.2., ж, з, и, к, л настоящего приложения), которые могут действовать одновременно.
7.5 При определении величины пригрузки основания водой в верхнем бьефе (7.2, б, 7.2, ж, 7.3, а, 7.3, б настоящего приложения) необходимо учитывать разницу в давлении воды на основание до и после возведения сооружения.
7.6 Нагрузки и воздействия для строительного периода плотины и ремонтного случая следует принимать по основному и особому сочетаниям, а величины этих нагрузок и воздействий должны определяться в зависимости от конкретных условий возведения и ремонта сооружения.
7.7 Нагрузки и воздействия должны приниматься в наиболее неблагоприятных, но возможных сочетаниях, отдельно для эксплуатационного и строительного периодов.
7.8 Коэффициент надежности по нагрузкам при расчете плотины следует принимать в соответствии с приложением В.2 настоящего приложения.
7.9 При расчете общей прочности и устойчивости плотин коэффициенты надежности по нагрузке для собственного веса, температурных, влажностных и динамических воздействий, а также для всех грунтовых нагрузок при расчетных значениях характеристик грунтов tgφI,II; cI,II; γI,II, определяемых в соответствии с приложением А Стандарта, должны приниматься равными единице.
7.10 Плотность бетона для плотин I, II и III классов следует определять на основе результатов испытания образцов, изготовленных из подобранных составов бетона.
Для бетона наружных зон плотины, где по условиям обеспечения морозостойкости предусмотрена марка бетона F200 и выше, необходимо учитывать снижение плотности бетона на 4-5 % из-за обязательного в соответствии с ГОСТ 26633-91 «Бетоны тяжелые и мелкозернистые. Технические условия» введения в бетон воздухововлекающих добавок.
Плотность бетона для плотин IV класса - во всех случаях, а для плотин I, II и III классов - на предварительных стадиях проектирования, допускается принимать по таблице В.5.
7.11 Интенсивность давления воды на наружные грани плотины следует принимать равной
p' (1 - a2,d),
где p - гидростатическое давление,
a2,d - коэффициент эффективной площади противодавления в материале плотины, определяемый в соответствии с 7.16 настоящего приложения.
Примечание - При определении давления воды на наружные грани плотины следует принимать a2,d = 0 в тех случаях, когда согласно указаниям 7.13 настоящего приложения силовое воздействие фильтрующейся воды в водонасыщенных зонах плотины не учитывается.
Таблица В.5 - Плотность бетона
|
Плотность заполнителей, г/см3 |
Объемная масса бетона, кг/м3, при максимальной крупности заполнителя, мм |
|||
|
20 |
40 |
80 |
120 |
|
|
2,55 - 2,60 |
2290 2240 |
2330 2290 |
2370 2320 |
2390 2340 |
|
2,60 - 2,65 |
2320 2280 |
2370 2320 |
2410 2360 |
2430 2380 |
|
2,65 - 2,70 |
2360 2310 |
2400 2360 |
2450 2400 |
2470 2420 |
|
2,70 - 2,75 |
2390 2340 |
2440 2390 |
2490 2440 |
2500 2460 |
|
А0; % |
2,0 |
1,0 |
0,5 |
0,3 |
Примечания1. В числителе приведены значения объемной массы вибрированного бетона, в знаменателе - укатанного бетона. 2. При применении воздухововлекающих добавок приведенные значения объемной массы бетона следует умножать на величину
где А0 - содержание вовлеченного воздуха в бетоне без воздухововлекающих добавок; Ав - содержание вовлеченного воздуха в бетоне с воздухововлекающими добавками. 3. В случае применения заполнителей с плотностью 2,50-2,55; 2,45-2,50 и 2,35-2,40 приведенные в таблице значения объемной массы бетона с плотностью заполнителей 2,55-2,60 следует умножать соответственно на коэффициенты 0,98; 0,97 и 0,95. 4. При отсутствии данных о плотности заполнителя плотность бетона следует принимать при плотности заполнителя 2,65-2,70 г/см3 |
||||
7.12 Интенсивность давления воды на свободные поверхности основания в верхнем и нижнем бьефах (пригрузка основания) следует принимать равной
p' (1 - α2,f),
где α2,f - коэффициент эффективной площади противодавления в грунте основания, в соответствии с 7.16 настоящего приложения.
Пригрузку основания в верхнем и нижнем бьефах допускается не учитывать в расчетах устойчивости и прочности:
- плотин всех классов высотой менее 60 м, расположенных на скальном основании;
- плотин III и IV классов, расположенных на нескальном грунте;
- плотин I и II классов высотой более 60 м, расположенных на скальном основании - на предварительных стадиях проектирования;
- плотин I и II классов, расположенных на нескальных грунтах - на предварительных стадиях проектирования.
7.13 Силовое воздействие фильтрующейся воды следует учитывать в виде (рисунок В.6):
- поверхностных сил интенсивностью
p (α2,f - α2,d),
приложенных по нормали к подошве плотины (противодавление),
где р - гидродинамическое давление в потоке фильтрующейся воды, определенное в соответствии с 7.16 настоящего приложения;
- объемных сил в основании плотины интенсивностью qf, причем горизонтальная qfx и вертикальная qfy проекции вектора qf равны:
qfx = -d (р·α2,f)/(dx),
qfу = -d (р·α2,f)/(dу),
При этом удельный вес грунта основания принимается в водонасыщенном состоянии.
При α2,f = const в расчетной области основания интенсивность объемных сил равна
qf = -Jp α2,f,
где Jp - градиент гидродинамического давления, 7.16 настоящего приложения;
- объемных сил в водонасыщенных зонах плотины части сооружения, расположенных между напорной гранью и дренажем и между подошвой плотины и уровнем нижнего бьефа интенсивностью qd, причем горизонтальная qdx и вертикальная qdy проекции вектора qd равны:
qdx = - d(р·α2,d) / (dx),
qdy = - d(р·α2,d) / (dy).
При этом удельный вес бетона принимается в водонасыщенном состоянии. При α2,d = const в расчетной области водонасыщенных зон плотины интенсивность объемных сил равна qd.
Силовое воздействие фильтрующейся воды следует учитывать:
- в полном объеме: при расчетах прочности устойчивости плотин I и II классов высотой более 60 м без гидроизолирующего экрана на напорной грани, расположенных на скальном основании;
- только в виде противодавления и объемных сил в основании: при расчетах прочности и устойчивости плотин I и II классов высотой более 60 м с гидроизолирующим экраном на напорной грани, расположенных на скальном основании; при расчетах прочности и устойчивости плотин II класса высотой более 60 м, расположенных на скальном основании; при расчетах прочности и устойчивости плотин I и II классов, расположенных на нескальном основании;
- только в виде противодавления: при расчетах прочности и устойчивости плотин всех классов высотой менее 60 м, расположенных на скальном основании; при расчетах прочности и устойчивости плотин III и IV классов, расположенных на нескальном основании.
Силовое воздействие фильтрующейся воды допускается учитывать только в виде противодавления - на предварительных стадиях проектирования плотин I и II классов высотой более 60 м, расположенных на скальном основании, и плотин I и II классов, расположенных на нескальном основании.
Примечания
1. В тех случаях, когда силовое воздействие фильтрующейся воды учитывается только в виде противодавления и объемных сил в основании или только в виде противодавления, следует принимать α2,d = 0.
2. В тех случаях, когда силовое воздействие фильтрующейся воды учитывается только в виде противодавления, удельный вес грунта принимается во взвешенном состоянии.
7.14 Если в водонасыщенных частях плотины и основания значения коэффициента α2 изменяются скачкообразно от значения α'2 до значения α"2, причем α'2 > α"2, то на границе областей с различными значениями α2 следует прикладывать нормальные к линии раздела областей поверхностные силы интенсивностью
p (α'2 - α"2),
направленные в сторону области с α"2 (пример - контактное сечение, рисунок В.6).
Примечание - Под коэффициентом α2 следует принимать коэффициент α2,d для водонасыщенных частей плотины и α2,f для водонасыщенных областей основания.

1 - сухая часть плотины; 2 - водонасыщенная часть плотины; 3 - дренаж плотины; 4 - объемные силы фильтрующейся воды в водонасыщенных зонах плотины; 5 -давление на низовую грань плотины; 6 - пригрузка основания со стороны нижнего бьефа; 7 -противодавление по подошве плотины; 8 - дренаж основания; 9 - цементационная завеса; 10 - объемные силы фильтрующейся воды в основании; 11 - пригрузка основания со стороны верхнего бьефа; 12 -давление на верховую грань плотины
Рисунок В.6 - Схема силового воздействия воды
7.15 Значения коэффициента α2,d и α2,f следует принимать по таблице В.6.
Следует принимать α2,d = 0 в случаях:
- расчетов устойчивости плотин всех классов и видов;
- расчетов прочности плотин всех классов с контролируемым гидроизолирующим экраном на напорной грани;
- расчетов прочности плотин всех классов, расположенных на нескальном основании.
Допускается принимать α2,d = 0 в расчетах прочности плотин II, III, IV классов, расположенных на скальном основании.
Таблица В.6 - Значения коэффициентов α2,d и α2,f
|
№№ п.п |
Характеристика бетона, грунтов основания и их напряженного состояния |
α2,d и α2,f на стадии проектирования |
|
|
проект, рабочее проектирование |
предварительная стадия |
||
|
1 |
Бетон при наличии растягивающих напряжений |
1,0 |
1,0 |
|
2 |
Бетон в условиях осевого или двухосного сжатия |
по результатам исследований |
0,40 |
|
3 |
Бетон в условиях объемного сжатия |
по результатам исследований |
α2,d = 0,5 (1 - σ1/Rb) |
|
4 |
Бетон мерзлый |
0,0 |
0,0 |
|
5 |
Крупнообломочные, песчаные, полускальные сильнотрещиноватые грунты (независимо от характера их напряженного состояния), а также скальные в растянутой зоне |
1,0 |
1,0 |
|
6 |
Трещиноватые скальные грунты в зоне сжатия |
по результатам исследований |
0,75 |
|
7 |
Слабо и средне трещиноватые скальные грунты в зоне сжатия |
по результатам исследований |
0,60 |
|
8 |
Плотные глинистые и суглинистые грунты |
по результатам исследований |
0,50 |
|
9 |
Любой грунт в мерзлом состоянии |
0,0 |
0,0 |
|
Примечание - Экспериментальные исследования по определению коэффициента α2,d для бетона и α2,f для грунтов основания следует проводить, с учетом водопроницаемости исследуемых материалов, режима заполнения и колебаний уровня воды водохранилища, эффективности противофильтрационных устройств на напорной грани, в швах плотины и в основании, включая береговые примыкания. |
|||
7.16 Значения гидродинамического давления р и его градиент Jp в потоке фильтрующей воды в расчетных областях фильтрации основания и тела плотины определяется фильтрационными расчетами согласно 8.25-8.28 настоящего приложения.
На наружных гранях плотины и свободных поверхностях основания в верхнем и нижнем бьефах значения р совпадают с величиной гидростатического давления.
На линии, разделяющей водонасыщенную и сухую части плотины (кривая депрессии), р = 0.
На подошве плотины гидродинамическое давление определяется по формуле:
р = (hv + hf) γw,
где hv - ордината пьезометрического напора в рассматриваемой точке под взвешивающими воздействиями нижнего бьефа;
hf - то же при фильтрации под действием расчетного напора;
γw - удельный вес воды.
Значения hv определяются как разность отметок уровня воды в нижнем бьефе и рассматриваемой точке. Значения hf следует определять в соответствии с указаниями 8.25-8.28 настоящего приложения.
Для плотин высотой менее 60 м на скальных основаниях значения hf допускается находить по эпюрам, приведенным на рисунке В.7 настоящего приложения, при этом величину hf по оси противофильтрационной завесы Has и по оси дренажных устройств Hdr следует принимать по таблице В.7.

a - гравитационная плотина с цементационной завесой в основании; б - гравитационная плотина без цементационной завесы; в - гравитационная плотина с продольной полостью у основания; г - гравитационная плотина с расширенными швами и массивно-контрфорсная плотина; д - контрфорсная плотина с плоским перекрытием; е - арочная плотина
Рисунок В.7 - Эпюры пьезометрического напора по подошве плотины
Таблица В.7 - Значения Has/Hd и Hdr/Hd.
|
Виды плотин |
Значения Has/Hd при сочетаниях нагрузок |
Значения Hdr/Hd при всех сочетаниях нагрузок |
|
|
основные и особые при ФПУ и нормальной работе противофильтрационных завес |
особые в случае нарушения нормальной работы противофильтрационных завес |
||
|
Гравитационные без полостей у основания, с цементационной завесой (рисунок В.7, а) классов: |
|
|
|
|
I |
0,40 |
0,50 |
0,20 |
|
II |
0,40 |
0,50 |
0,15 |
|
III и IV |
0,30 |
0,35 |
0,05 |
|
То же, без цементационной завесы (рисунок В.7, б) классов: |
|
|
|
|
I |
- |
- |
0,30 |
|
II |
- |
- |
0,20 |
|
III и IV |
- |
- |
0,10 |
|
Гравитационные с продольной полостью у основания с цементационной завесой (рисунок В.7, в) классов: |
|
|
|
|
I - IV |
0,30 |
0,35 |
0,10 |
|
То же, без цементационной завесы классов |
|
|
|
|
I - IV |
- |
- |
0,15 |
|
Гравитационные с широкими швами и массивно-контрфорсные с цементационной завесой (рисунок В.7, г) классов |
|
|
|
|
I - IV |
0,20 |
0,25 |
0,05 |
|
То же без цементационной завесы классов |
|
|
|
|
I - IV |
- |
- |
0,10 |
|
Арочные и арочно-гравитационные плотины с цементационной завесой (рисунок В.7, г) классов |
|
|
|
|
I - IV |
0,40 |
0,60 |
0,20 |
|
То же, без цементационной завесы |
- |
- |
0,30 |
|
Примечание - Для контрфорсных плотин с плоским или арочным перекрытием эпюра пьезометрического напора при фильтрации под действием расчетного напора Hd принимается по треугольнику с ординатой hf = 0 на низовой грани напорного перекрытия плотины. |
|||
7.17 Динамические нагрузки при осуществлении сбросов воды следует определять для плотин I и II классов по результатам расчетов и экспериментальных исследований, для плотин III и IV классов - по результатам расчетов или аналогам.
7.18 Поровое давление в грунтах учитывается при проверке устойчивости на сдвиг и прогнозе осадок плотины при возведении ее на глинистых, а при обосновании, также на оттаивающих сильнольдистых грунтах в соответствии с приложением А Стандарта.
7.19 При расчете устойчивости плотин давление наносов Pws, кН, со стороны верхнего бьефа на 1 м длины сооружения допускается определять по формуле:
Pws = 0,5 γws h2ws tg2(45° - φws/2),
где γws - удельный вес грунта наносов во взвешенном состоянии;
hws - высота наносов перед плотиной;
φws - угол внутреннего трения грунта наносов, град.
При учете давления наносов следует учитывать изменяющиеся по глубине их физико-механические характеристики, определяемые для конкретного гидроузла на основании исследований или принимаемые по аналогу.
7.20 Температурные воздействия следует принимать по данным многолетних наблюдений за температурой воздуха и грунтов основания в створе плотины и прогноза температуры воды в водохранилище, выполненного по материалам наблюдений на водохранилищах - аналогах или специального расчета.
Температурные воздействия фильтрующейся воды в основании плотины разрешается принимать на основе линейной интерполяции между температурой воды придонного слоя водохранилища со стороны верхнего бьефа и температурой воды водотока со стороны нижнего бьефа.
При проектировании бетонных и железобетонных плотин на основаниях с многолетнемерзлыми грунтами в состав расчетного обоснования проектов надлежит включить:
- температурные расчеты по определению эксплуатационного состояния плотины и основания без их искусственного подогрева или охлаждения в процессе эксплуатации - независимо от выбора принципа строительства плотины;
- теплотехнические расчеты для назначения мер по эксплуатационному охлаждению или подогреву сооружения и основания в случае выбора строительства по принципу I или принципу II а.
Расчеты выполняются с учетом зависимости теплофизических характеристик грунта от его температуры, теплового влияния фильтрующейся воды и теплоты фазовых преобразований в грунте.
7.21 При проектировании бетонных и железобетонных плотин сейсмические воздействия следует принимать в соответствии с приложением Д Стандарта. При этом плотины I и II классов должны рассчитываться на два уровня сейсмических воздействий: проектное землетрясение (ПЗ) и максимальное расчетное землетрясение (МРЗ); остальные плотины - только на ПЗ.
8.1 Расчеты бетонных и железобетонных плотин должны производиться в соответствии с нормами Стандарта.
8.2 Расчеты бетонных и железобетонных плотин надлежит производить по методу предельных состояний:
- предельные состояния первой группы (по непригодности к эксплуатации) - расчеты сооружения на общую прочность и устойчивость, а также на местную прочность его элементов;
- предельные состояния второй группы (по непригодности к нормальной эксплуатации) - расчеты сооружения по образованию трещин, а также по раскрытию строительных швов в бетонных и трещин в железобетонных конструкциях.
8.3 Для плотин I и II классов в дополнение к расчетам, как правило, рекомендуется проведение экспериментальных исследований; для плотин III и IV классов такие исследования допускается выполнять при надлежащем обосновании.
Расчеты плотин на прочность и устойчивость
8.4 Расчеты на общую прочность и устойчивость, по деформациям и по раскрытию трещин, а также расчеты по раскрытию строительных швов с учетом очередности возведения плотины, должны выполняться для всей плотины в целом или для отдельных ее секций (или отдельных “столбов”).
8.5 Расчеты на местную прочность и по образованию трещин должны производиться для отдельных конструктивных элементов сооружения; для бетонных конструкций расчеты по образованию трещин следует выполнять только для элементов, ограниченных строительными и конструктивными швами.
8.6 Расчеты плотин, их оснований и отдельных элементов на прочность и устойчивость должны производиться для наиболее неблагоприятных расчетных случаев эксплуатационного и строительного периодов с учетом последовательности возведения и нагружения плотины и прогноза изменения температурного режима.
8.7 Расчет прочности и устойчивости части плотин (пусковой профиль) всех классов в случае, когда проектом предусмотрены возведение и сдача в эксплуатацию гидроузла отдельными очередями, должны выполняться на все нагрузки и воздействия, установленные для рассматриваемого этапа строительства, при этом условия прочности плотин и устойчивости для периода временной эксплуатации следует принимать такими же, как и для периода постоянной эксплуатации.
В проекте должна предусматриваться очередность возведения плотины и ее отдельных элементов, при которой усилия, возникающие в строительный период, как правило, не вызывают необходимости в дополнительном армировании или другом утяжелении сооружения.
8.8 Расчеты на прочность плотин I - III классов, возводимых на скальных основаниях, должны выполняться методами теории упругости и геомеханики с учетом возможного раскрытия строительных швов в сооружении и трещин в скальном основании.
Расчеты на прочность плотин I - III классов, возводимых на нескальных основаниях, должны выполняться с учетом пространственной работы фундаментной плиты и других несущих элементов конструкции. При этом внутренние усилия следует определять с учетом неупругого поведения конструкций, вызванного трещинообразованием в бетоне.
Расчеты на прочность плотин IV класса, а также предварительные расчеты плотин I - III классов выполняются, как правило, упрощенными методами строительной механики.
8.9 При определении напряженно-деформированного состояния плотины и основания методами теории упругости и геомеханики следует учитывать:
- наличие ориентированных вдоль оси плотины полостей (продольные галереи, помещения машинного зала гидроэлектростанций и т.д.) в случае, если максимальный из габаритных размеров поперечного сечения полости составляет более 10% от ширины расчетного сечения плотины на отметке заложения полости; наличие ориентированных в вертикальном направлении или вдоль потока полостей (расширенные швы, турбинные водоводы, поперечные галереи и т.д.) в случае, если площадь горизонтального сечения полости составляет более 5% площади горизонтального расчетного сечения плотины;
- различие прочностных и деформационных характеристик материала плотины и основания;
- неоднородность основания и наличие в нем крупных трещин и разломов, а также многолетнемерзлых пород (сплошная или островная мерзлота), оттаивающих в процессе эксплуатации;
- неоднородность, в том числе анизотропию, свойств бетона в теле плотины;
- возможность раскрытия строительных швов и трещин и нарушения сплошности основания в растянутых зонах;
- очередность возведения, а также способы и сроки омоноличивания плотины.
8.10 В тех случаях, когда в сооружении возможно раскрытие строительных швов, появление и раскрытие трещин, а в основании - нарушение сплошности в растянутых зонах, должен производиться расчет сооружения на прочность по образующимся вторичным схемам. При этом для определения вторичной схемы статической работы сооружения рас- чет его напряженно-деформированного состояния следует выполнять с использованием среднестатистических значений прочностных и деформативных характеристик материалов, а оценка прочности сооружения по вторичной схеме статической работы осуществляется на расчетные значения механических характеристик материалов с учетом коэффициентов, указанных в 8.13 настоящего приложения.
Отказ от расчета сооружения по вторичной схеме, кроме случаев, оговоренных в нормах, допускается при специальном обосновании, включающем установление соответствующих условий прочности сооружения.
8.11 Зоны и величина раскрытия межстолбчатых и межблочных швов со стороны низовой грани, а в ряде случаев - и верховой грани плотины, а также межсекционных швов в неразрезных плотинах определяются с учетом собственного веса сооружения, гидростатического давления и температурных воздействий строительного и эксплуатационного периодов, учитывая начальный режим твердения бетона, температуру замыкания строительных швов, полное остывание кладки до среднемноголетней эксплуатационной температуры плотины и сезонные колебания температуры наружного воздуха и воды в водохранилище.
При определении глубины раскрытия строительных швов используются либо методы механики разрушения, либо методы нелинейной теории упругости; в последнем случае считается, что сечения, проходящие по межстолбчатым швам, не воспринимают растягивающих напряжений, нормальных к указанным сечениям. Прочность на растяжение межблочных швов определяется согласно указаниям приложения Г Стандарта.
8.12 Расчеты бетонных и железобетонных плотин на сейсмические воздействия должны выполняться в соответствии с указаниями приложения Д Стандарта и разделов 10, 11 и 12 настоящего приложения.
8.13 При расчетах бетонных и железобетонных плотин необходимо вводить следующие коэффициенты:
- коэффициент надежности по ответственности (назначению сооружения) γn и коэффициент сочетаний нагрузок γlc, принимаемые согласно приложению В.2, таблица В.2.1;
- коэффициент условий работы γcd, принимаемый по таблице В.8.
Таблица В.8 - Значения коэффициента условий работы γcd
|
№№ п.п |
Виды расчетов плотин и факторы, обуславливающие введение коэффициентов условий работы |
Коэффициент условий работы γcd |
|
1 |
Расчеты устойчивости бетонных и железобетонных плотин на полускальных и нескальных основаниях. |
1 |
|
2 |
Расчеты устойчивости гравитационных и контрфорсных плотин на скальных основаниях: |
|
|
|
- для поверхностей сдвига, проходящих по трещинам в массиве основания |
1 |
|
|
- для поверхностей сдвига, проходящих по контакту бетон-скала и в массиве основания частично по трещинам, частично по монолиту. |
0,95 |
|
3 |
Расчеты общей и местной прочности бетонных плотин: |
|
|
|
- для основных сочетаний нагрузок и воздействий |
0,90 |
|
|
- для особых сочетаний нагрузок и воздействий без учета сейсмических |
1,00 |
|
|
- то же, с учетом сейсмических воздействий на уровне ПЗ |
1,10 |
|
|
- то же, с учетом сейсмических воздействий на уровне МРЗ |
1,20 |
|
4 |
Расчеты общей и местной прочности железобетонных плотин и их элементов: |
|
|
|
- для случаев, когда определяющей является прочность бетона в конструкциях: |
|
|
|
железобетонных-плитных и ребристых при толщине плиты (ребра) 60 см и более |
1,15 |
|
|
железобетонных-плитных и ребристых при толщине плиты (ребра) менее 60 см |
1,00 |
|
|
- то же, для случаев, когда определяющей является прочность не напрягаемой арматуры: |
|
|
|
железобетонных элементов |
1,00 |
|
|
сталежелезобетонных конструкций |
0,80 |
Примечания1. При расчете устойчивости плотин с учетом сейсмических воздействий на уровне МРЗ значения коэффициентов γcd, в позициях 1 и 2 таблицы умножаются на коэффициент 1,10. 2. При расчетах прочности и устойчивости арочных и арочно-гравитационных плотин коэффициенты условий работы, приведенные в таблице В.8, следует умножать на коэффициент γcdа, значения которого приведены в 12.22 настоящего приложения. 3. При расчетах общей и местной прочности бетонных и железобетонных плотин всех видов для случае, когда определяющей является прочность напрягаемой арматуры, а также при учете многократно повторяющихся нагрузок на элементы плотин коэффициенты условий работы принимаются согласно приложения Г Стандарта. |
||
8.14 При расчетах общей прочности и устойчивости плотин, а также местной прочности отдельных элементов должно соблюдаться одно из следующих условий, обеспечивающих недопущение наступлений предельных состояний:
γn γlc F ≤ γcdR,
γn γlc σd ≤ γcd Ф (Rs, Rb),
где γn γlc γcd - коэффициенты, принимаемые согласно 8.13 настоящего приложения;
F, R - соответственно расчетные значения обобщенного силового воздействия и обобщенной несущей способности сооружения;
σd - расчетное значение напряжения;
Ф - функция, вид которой определяется в зависимости от характера напряженно-деформированного состояния плотины;
Rs, Rb - соответственно расчетные сопротивления арматуры и бетона, определяемые согласно приложения Г Стандарта.
8.15 В расчетах бетонных плотин на общую прочность и по деформациям в случаях, когда в расчетной схеме профиля сооружения наличие швов не учитывается, расчетное значение модуля деформации бетонной кладки плотины Ebd следует принимать:
- для плотин, возводимых столбчатыми массивами или с перевязкой блоков бетонирования:
Ebd = Eb [(1 - 0,04 nj)];
- для плотин, возведенных послойным методом бетонирования
Ebd = 0,75 Eb [1 - 0,04(3/hbl - 1)],
где Eb - начальный модуль упругости бетона;
nj - число вертикальных швов бетонирования на подошве секции плотины;
hbl - высота блока бетонирования.
При этом в статических расчетах расчетный модуль деформации Ebd должен быть в пределах 0,65Eb ≤ Ebd ≤ 35000 МПа.
Для динамических расчетов модуль деформации бетонной кладки должен назначаться с учетом указаний приложения Д Стандарта, при этом значение Ebd должно быть ограничено величиной 45000 МПа.
8.16 В расчетах бетонных плотин на общую прочность и по деформациям в случаях, когда наличие швов учитывается в расчетной схеме профиля сооружения, в расчетах термонапряженного состояния бетонных плотин, по раскрытию трещин и строительных швов и при анализе данных натурных наблюдений о напряженном состоянии сооружения расчетное значение модуля деформации бетонной кладки следует принимать Ebd = Eb или по данным его определения в самом сооружении.
8.17 В расчетах прочности железобетонных элементов плотин расчетное значение модуля деформации Ebd следует принимать равным начальному модулю упругости бетона Eb, принимаемому в соответствии с приложением Г Стандарта.
8.18 Начальный модуль упругости бетона бетонных плотин Eb в возрасте t менее 180 суток следует определять по формуле:
Eb = 100000/{1,7 + {360/[a(5,2 + lnt/180)]}},
где a - безразмерный параметр, принимаемый по таблице В.9.
При возрасте бетона 180 суток и более начальный модуль упругости бетона бетонных плотин допускается принимать по таблице В.10.
Таблица В.9 - Значения параметра a
|
Осадка конуса бетонной смеси, см |
Максимальный размер крупного заполнителя Dmax, мм |
Параметр a при проектном классе бетона по прочности на сжатие |
|||||||
В5 |
В7,5 |
В10 |
В12,5 |
В15 |
В20 |
В25 |
В30 |
||
|
|
40 |
27 |
37 |
45 |
54 |
62 |
77 |
90 |
106 |
|
< 4,0 |
80 |
32 |
44 |
56 |
66 |
77 |
98 |
116 |
133 |
|
|
120 |
37 |
52 |
66 |
77 |
90 |
116 |
139 |
162 |
|
|
40 |
20 |
28 |
35 |
41 |
47 |
58 |
68 |
80 |
|
4 - 8 |
80 |
25 |
37 |
42 |
50 |
58 |
71 |
86 |
102 |
|
|
120 |
29 |
40 |
50 |
60 |
68 |
86 |
102 |
116 |
|
|
40 |
12 |
15 |
18 |
22 |
26 |
35 |
42 |
50 |
|
> 8 |
80 |
14 |
19 |
24 |
29 |
33 |
42 |
52 |
60 |
|
|
120 |
17 |
23 |
29 |
35 |
40 |
50 |
60 |
68 |
Таблица В.10 - Значения начального модуля упругости бетона Ев
|
Осадка конуса бетонной смеси, см |
Максимальный размер крупного заполнителя, Dmax, мм |
Начальные модули упругости бетона при сжатии и растяжении Ев·10-3, МПа, при проектном классе бетона по прочности на сжатие |
|||||||
|
В5 |
В7,5 |
В10 |
В12,5 |
В15 |
В20 |
В25 |
В30 |
||
|
|
40 |
23,5 |
28,0 |
31,0 |
33,5 |
35,5 |
38,5 |
40,5 |
42,5 |
|
< 4 |
80 |
26,0 |
30,5 |
34,0 |
36,5 |
38,5 |
41,5 |
43,5 |
45,0 |
|
|
120 |
28,0 |
33,0 |
36,5 |
38,5 |
40,5 |
43,5 |
43,5 |
47,0 |
|
|
40 |
19,5 |
24,0 |
27,0 |
29,5 |
31,5 |
34,5 |
37,0 |
39,0 |
|
4 - 8 |
80 |
22,5 |
28,0 |
30,0 |
32,5 |
34,5 |
37,5 |
40,0 |
42,0 |
|
|
120 |
24,5 |
29,0 |
32,5 |
35,0 |
37,0 |
40,0 |
42,0 |
43,5 |
|
|
40 |
13,0 |
16,0 |
18,0 |
21,0 |
23,0 |
27,0 |
30,0 |
32,5 |
|
> 8 |
80 |
15,0 |
19,0 |
22,0 |
24,5 |
26,5 |
30,0 |
33,0 |
35,0 |
|
|
120 |
17,5 |
21,5 |
24,5 |
27,0 |
29,0 |
32,5 |
35,0 |
37,0 |
8.19 Расчетные сопротивления бетона снижаются (или повышаются) путем умножения на коэффициенты условий работы бетона γbi, учитывающие влияние на прочность бетона сочетания нагрузок, градиенты деформаций по сечению, формы поперечного сечения элемента, сложного напряженного состояния, строительных швов, многократного повторения нагрузок, других факторов и определяемые в соответствии с приложением Г Стандарта.
8.20 При проектировании поверхностных и глубинных водосбросных отверстий плотин следует выполнять расчет прочности опорных конструкций затворов (пазов, консолей и т.п.). Расчеты прочности этих конструкций следует выполнять методами теории упругости с учетом совместной работы стальных опорных деталей и бетонного основания.
При проектировании нагрузок на опорный рельс паза, превышающих 2500 кН/м, кроме расчетов прочности пазовых конструкций рекомендуется выполнять экспериментальные исследования на моделях этих конструкций.
8.21 При определении прочностных, деформационных и фильтрационных характеристик грунтов оснований бетонных и железобетонных плотин и при выборе расчетных схем следует обращать особое внимание на наличие в грунтовых массивах различных зон ослабления:
- в основаниях из нескальных грунтов - областей из просадочных грунтов, из грунтов мягкопластичной или текучей консистенции, из заторфованных грунтов, из грунтов рыхлого сложения;
- в многолетнемерзлых грунтах - горизонтов с повышенной льдистостью и зон контактов мерзлых и талых грунтов;
- в основаниях из скальных грунтов - систем мелких и средних трещин, единичных крупных трещин и разломов, выветрелых и сильно выветрелых областей и зон разгрузки, распученных зон в мерзлых грунтах.
Фильтрационные расчеты плотин
8.22 Расчеты общей фильтрационной прочности грунтов основания следует производить при осредненных градиентах напора в расчетной области фильтрации в соответствии приложением А Стандарта.
При проектировании плотин, расположенных в районах распространения многолетнемерзлых пород, следует учитывать процесс постепенного оттаивания основания и береговых зон, а также промерзания отдельных участков.
8.23 Расчеты местной прочности противофильтрационных элементов плотин (понура, зубьев, инъекционной завесы) и грунта основания следует производить в соответствии приложением А Стандарта:
- на участке выхода фильтрационного потока в нижний бьеф и в дренажные устройства;
- на границе неоднородных грунтов;
- в местах расположения крупных трещин;
- на границе мерзлых и талых пород (в основании и берегах);
- на участках расположения островной мерзлоты.
8.24 Проверку отсутствия высачивания подземных вод на склоны и подтопления окружающей сооружение территории следует производить посредством сопоставления расчетных и допустимых уровней депрессионной поверхности фильтрационного потока, для мерзлых грунтов - с учетом прогноза их оттаивания.
8.25 Фильтрационные расчеты тела плотины и основания допускается в большинстве случаев выполнять, считая фильтрацию подчиняющейся линейному закону и режим ее установившимся. При быстро изменяющихся уровнях воды в бьефах расчеты следует выполнять при неустановившемся режиме фильтрации. При расчете фильтрации в трещиноватых бортах и основаниях необходимо рассматривать возможность возникновения турбулентной фильтрации.
8.26 Характеристики фильтрационного потока (уровни, давления, градиенты напора, расходы) для плотин I, II и III классов надлежит определять расчетом на ЭВМ, принимая задачу:
- для русловых участков плотины - двумерной в вертикальных разрезах;
- для береговых участков - двумерной в вертикальных разрезах по линии тока или пространственной.
Для плотин IV класса и при предварительных расчетах плотин I, II и III классов характеристики фильтрационного потока допускается определять приближенными аналитическими методами (коэффициентов сопротивлений, фрагментов и др.).
8.27 При определении характеристик фильтрационного потока необходимо учитывать влияние:
- дренажных и противофильтрационных устройств;
- потерн, полостей и широких швов в плотине на контакте с основанием;
- водопроницаемости бетона и строительных швов;
- напряженно-деформированного состояния основания и тела плотины;
- температуры подземных вод и их минерализации;
- температурного режима основания и его прогноза и изменения фильтрационных характеристик грунтов во времени.
Гидравлические расчеты и исследования плотин
8.28 Гидравлические расчеты и исследования водопропускных, водосбросных, водовыпускных и водоспускных устройств плотин выполняются для условий пропуска строительных и эксплуатационных расходов с целью:
- определения пропускной способности;
- обоснования рациональных очертаний, размеров и конструкций трактов и их механического оборудования;
- установления режимов течения при различных расходах, уровня верхнего и нижнего бьефов и открытых затворов;
- обоснования способов сопряжения бьефов и гашения энергии;
- обоснования способов борьбы со сбойностью течения в нижнем бьефе;
- определения гидродинамических нагрузок и воздействий на элементы трактов и механического оборудования;
- обоснования способов пропуска льда, шуги, сора и других плавающих тел;
- прогноза местных и общих деформаций русел в бьефах (включая заиление и занесение водохранилищ) и их влияния на изменение зависимости уровней воды от расходов;
- прогноза явлений кавитации и кавитационной эрозии и обоснования мероприятий по борьбе с ними;
- разработки схем и способов маневрирования затворами;
- обоснования способа пропуска наносов;
- разработки мероприятий по защите сооружений и оборудования от гидроабразивных повреждений.
8.29 Гидравлические расчеты и исследования надлежит проводить на основной и поверочные расчетные случаи, устанавливаемые согласно СНиП 33-01-2003 «Гидротехнические сооружения. Основные положения».
Другие расчетные случаи могут быть приняты для обоснования принимаемых технических решений при надлежащем обосновании.
8.30 Для обоснования технических решений, принимаемых при проектировании водопропускных устройств плотин I и II классов в дополнение к расчетам следует проводить гидравлические исследования с использованием физических и механических моделей. Для сооружений III и IV классов такие исследования допускается выполнять при надлежащем обосновании.
Конструирование плотин и их элементов
9.1 Конструирование водосбросных бетонных и железобетонных плотин и их элементов на нескальных основаниях следует выполнять в соответствии с требованиями раздела 6 настоящего приложения и указаниями настоящего раздела.
9.2 Для водосбросных бетонных и железобетонных плотин на нескальных основаниях надлежит различать следующие основные элементы (рисунок В.8):
- фундаментные плиты;
- быки и устои;
- водосливы и глубинные (донные) водосбросы;
- деформационные швы и их уплотнения;
- водобой, рисберма, переходное крепление;
- противофильтрационные устройства (понур, шпунты, буробетонные сваи и стенки, зубья, противофильтрационные завесы);
- дренажные устройства.

1 - паз ремонтного затвора; 2 - паз рабочего затвора; 3 - промежуточный бык;4 - дренажная галерея; 5 - низовой участок фундаментной плиты; 6 - гасители энергии; 7 - водобой; 8 - рисберма; 9 - предохранительный ковш;10 - переходное деформируемое крепление; 11 - горизонтальный дренаж водобоя и рисбермы;12 - дренажные колодцы; 13 - обратный фильтр; 14 - вертикальный дренаж основания; 15 - горизонтальный дренаж фундаментной плиты; 16 - верховой подплотинный шпунт; 17 - горизонтальный дренаж понура; 18 - понурный шпунт; 19 - надшпунтовая балка; 20 - крепление пригрузки; 21 - пригрузка понура; 22 - анкерный понур 23 - гибкий участок анкерного понура;24 - верховой участок фундаментной плиты; 25 - водослив; 26 - гребень водослива
Рисунок В.8 - Отдельные части и элементы водосливной плотины с анкерным понуром на нескальном основании
9.3 Водосбросные бетонные и железобетонные плотины на нескальных основаниях температурно-осадочными швами разбиваются на секции, включающие 1, 2, 3 и более водосбросных отверстия, длина которых зависит от вида грунтов основания, его однородности и определяется на основании технико-экономического сопоставления вариантов.
Температурно-осадочные швы устраиваются, как правило, по оси быков.
При однородном основании допускается не разбивать плотину на секции, устраивая в отдельных случаях швы-надрезы.
9.4 Величину заглубления фундаментной плиты плотины в основание следует устанавливать с учетом требований статической устойчивости, гидравлических и фильтрационных условий, возможности промораживания ограниченного по толщине слоя грунта основания.
При необходимости следует предусматривать устройство низового бетонного зуба или низового шпунтового ограждения.
9.5 Торец фундаментной плиты плотин с понуром из связных грунтов следует проектировать наклонным в сторону верхнего бьефа.
9.6 В пределах секции плотин следует предусматривать жесткое соединение быков с фундаментной плитой. Допускается предусматривать раздельное возведение быков и фундаментной плиты с последующим омоноличиванием швов.
9.7 Сопрягающий устой, входящий в состав береговой секции плотины, следует располагать, как правило, на общей с береговой секцией фундаментной плите. Допускается сопрягающий устой проектировать в виде подпорной стены, при этом в температурно-осадочном шве между устоем, водосливом и фундаментной плитой должны предусматриваться уплотнения.
9.8 Сопрягающие устои в пределах понура, водобоя и рисбермы следует проектировать в виде подпорных стен, с учетом использования их в качестве струенаправляющих конструкций.
9.9 При проектировании плотины, в зависимости от пролета водосливных отверстий, климатических и инженерно-геологических условий района строительства следует предусматривать жесткую заделку водослива в быки или устройство между ними температурных швов, прорезающих водослив в плоскости боковой грани быка от гребня до верха фундаментной плиты. При водосливных отверстиях пролетом более 30 м следует предусматривать устройство температурных швов в теле водослива.
9.10 Глубинные водосбросы плотин на нескальных основаниях надлежит проектировать в виде замкнутых железобетонных рам.
9.11 При проектировании водосбросных плотин на нескальных основаниях в качестве основной формы сопряжения бьефов следует принимать донный режим с затопленным гидравлическим прыжком, предусматривая в необходимых случаях устройство гасителей энергии и растекателей потока.
При надлежащем обосновании допускается принимать поверхностный незатопленный или затопленный гидравлический прыжок.
9.12 При донном режиме сопряжения бьефов в качестве основных надлежит принимать следующие типы гасителей энергии:
- сплошная водобойная стенка;
- водобойный колодец;
- водобойная стенка с расположенными ниже нее неглубоким водобойным колодцем;
- прорезная водобойная стенка;
- гаситель в виде нескольких рядов шашек или пирсов;
- комбинированные из разных указанных и других типов гасителей при надлежащем экспериментальном обосновании.
Конструкция гасителя наряду с гашением энергии должна обеспечивать устойчивость потока и исключать опасность возникновения сбойных течений. Расстояние от сжатого сечения потока до гасителя следует принимать равным от 3,0 до 4,5 высоты прыжка. Для обеспечения кавитационной безопасности гасителей следует предусматривать использование их безэрозионных форм или применять их установку на большем расстоянии от сжатого сечения.
9.13 При поверхностном режиме сопряжения бьефов следует путем выбора соответствующих инженерных решений с использованием физической модели обеспечивать устойчивость режима течения в пределах крепления нижнего бьефа.
9.14 Окончательный выбор режима сопряжения бьефов необходимо выполнять на основании технико-экономического сравнения вариантов с учетом размещения и размеров гидроэлектростанции, судоходных и других сооружений, глубин в нижнем бьефе, конструкций водобоя, рисбермы и переходных креплений, условий возникновения кавитации, сбойности течения и прогноза деформаций русла в нижнем бьефе на различных этапах маневрирования затворами, а также условий пропуска строительных расходов.
9.15 Длина и профиль рисбермы, конструкция переходного крепления от рисбермы к незакрепленному руслу должны определяться на основе технико-экономического сопоставления вариантов, обеспечивающих нормальную эксплуатацию и защиту от подмыва сооружений гидроузла как в эксплуатационный, так и в строительный периоды.
9.16 Для плотин I, II и III классов рисберму следует проектировать, как правило, в виде плит из монолитного бетона или железобетона.
Для плотин IV класса рисберму допускается предусматривать в виде каменной наброски, габионных сеток, сборных бетонных или железобетонных плит, соединенных между собой арматурой, металлическими плитами или другими компенсационными связями.
9.17 Толщина плит водобоя и рисбермы определяется расчетом из условия обеспечения их устойчивости против опрокидывания и всплытия и обеспечения прочности под воздействием осредненных и пульсационных нагрузок.
Необходимо предусматривать разрезку их температурно-осадочными швами, дренирование подплитной области, устройство дренажных колодцев и др.
9.18 Тип и конструкцию дренажа подплитной области водобоя и рисбермы, размеры и размещение дренажных колодцев следует выбирать в зависимости от величины и распределения гидродинамического давления при различных сбросных расходах через плотину с учетом значений придонных скоростей. При этом должны быть исключены промораживание дренажных устройств, возникновение высокого осредненного давления в подплитной области, проникновение в подплитную область существенных импульсов пульсации давления, а также кавитационные повреждения. Для исключения возможности возникновения суффозионных явлений в обратных фильтрах и подстилающем слое разгружающие отверстия следует предусматривать в зонах устойчивого пониженного пьезометрического давления на водобое.
Допускается устраивать закрытые подплитные дренажи с выводом фильтрующейся воды в сопрягающих устоях, раздельных стенках, быках.
Выпуски дренажа должны размещаться в зонах пониженного давления, ниже минимального уровня нижнего бьефа.
В рисберме из сборных плит дренажные колодцы допускается не устраивать.
9.19 В конце бетонного крепления следует предусматривать устройства в виде вертикальной стены, предохранительного ковша, переходного деформируемого крепления или сочетания из этих конструкций (рисунок В.8).
9.20 Вертикальные стены в конце рисбермы или водобоя (в виде бетонной или железобетонной стены, шпунтовой стены плоской или ячеистой конструкции, буронабивных свай, ряжей, заполненных камнем и др.) для обеспечения устойчивости следует проектировать с учетом максимальной глубины возможного размыва грунта.
Отметку подошвы указанных стен, расположенных вблизи зон возможного размыва грунта, следует принимать в зависимости от наличия и конструкции переходного деформируемого крепления за ними.
9.21 Переходное деформируемое крепление надлежит проектировать в виде отдельных бетонных или железобетонных плит, шарнирно связанных между собой или с компенсационными связями; из гравийной или каменной наброски; габионных, фашинных креплений или иной конструкции тюфяков с пригрузкой их камнем или гравием, а также в виде сочетания этих типов креплений.
Тип крепления следует выбирать на основании сравнения технико-экономических показателей разработанных вариантов с учетом гидравлических условий, допустимой глубины размыва и других факторов, в частности, с учетом возможного криогенного пучения грунтов.
Подземный контур
9.22 Подземный контур бетонных и железобетонных плотин на нескальных основаниях в зависимости от инженерно-геологических и геокриологических условий следует предусматривать из следующих конструктивных элементов:
- понура;
- вертикальной преграды в виде шпунта, зуба или противофильтрационной завесы;
- дренажа горизонтального или вертикального.
9.23 Надлежит рассматривать следующие основные схемы подземного контура:
- схема 1 - бездренажные фундаментная плита и понур;
- схема 2 - горизонтальный дренаж фундаментной плиты;
- схема 3 - горизонтальный дренаж под фундаментной плитой и понуром;
- схема 4 - вертикальная преграда, пересекающая водопроницаемое основание на всю его глубину;
- схема 5 - сочетание из понура, вертикальной преграды, не доходящей до водонепроницаемого слоя, и дренажа, устраиваемого за вертикальной преградой.
При наличии в основании плотины перемежающихся слоев песчаных и глинистых грунтов, а также напорных грунтовых вод, следует рассматривать целесообразность устройства в подземном контуре плотины кроме дренажа под фундаментной плитой глубинных дренажных скважин.
9.24 Схему 1 следует применять при расположении плотины на песчаных грунтах и глубоком (более 20 м) залегании водоупора в случаях, когда общая устойчивость сооружения обеспечивается без специальных мер по снижению фильтрационного давления, а по условию фильтрационной устойчивости грунтов основания требуется предусматривать удлиненный подземный контур. В остальных случаях при указанных геологических условиях надлежит применять схему 2.
Схему 3 следует применять при наличии в основании глинистых грунтов, требующих для обеспечения устойчивости сооружения на сдвиг применения анкерного понура. При этом является обязательным устройство понурного шпунта или зуба.
Схему 4 надлежит применять при залегании водоупора на глубине не более 20 м. В этом случае понур допускается не предусматривать.
Схему 5 следует применять для плотин с напором более 10 м, возводимых на средних по проницаемости грунтах.
Понуры
9.25 Понуры по конструкции подразделяются на:
- жесткие - в виде покрытий из бетона и железобетона, в том числе, в виде анкерного понура;
- гибкие - выполненные из грунтов, асфальтовых, полимерных и других материалов, отвечающих требованиям деформативности, водонепроницаемости, прочности, стойкости к химической агрессии;
- смешанной конструкции из гибкого и жесткого участков (анкерные понуры).
9.26 Коэффициент фильтрации понура должен быть в 50 и более раз меньше коэффициента фильтрации грунтов основания.
Водонепроницаемые понуры следует предусматривать при грунтах основания из глины или суглинков.
Маловодопроницаемые (с коэффициентом фильтрации k ≤ 10-3 м/сут) - при песчаных грунтах и супесях.
Для плотин IV класса понур следует устраивать преимущественно из местных материалов (суглинков, глин, торфа, разложившегося не менее чем на 50 %).
9.27 Длину понура следует устанавливать на основании результатов расчетов фильтрационной прочности грунта основания и устойчивости плотины.
9.28 Толщина грунтового понура ta должна быть
ΔHua γn/Icr,m ≤ ta ≤ 0,5 м,
где ΔHua - потеря напора от начала подземного контура (от верхнего бьефа до рассматриваемого вертикального сечения понура);
Icr,m - критический средний градиент напора для материала понура, определяемый в соответствии с приложением Б Стандарта;
γn - по 8.13 настоящего приложения.
9.29 Гибкие водонепроницаемые понуры следует применять при возведении плотин на грунтах со значительной и неравномерной деформируемостью (лессовых, протаивающих, сильнольдистых и т.п.) и проектировать:
- литыми - из последовательно наносимых слоев литого гидроизоляционного материала с прокладкой армирующей рулонной стеклоткани;
- оклеечными - из рулонных гидроизоляционных материалов в несколько слоев, перекрывая каждым слоем стык нижерасположенного слоя.
9.30 Бетонные понуры следует проектировать в виде плит с гидроизоляцией по напорной грани и уплотнением швов между плитами и между понуром и граничащими сооружениями.
Для плотин IV класса при слабодеформируемых грунтах основания допускается применять бетонные понуры без гидроизоляционного покрытия. В этом случае толщину понура следует определять по критическом среднему градиенту напора для бетона Icr,m = 30.
9.31 Анкерный понур, как правило, следует предусматривать для плотин, расположенных на глинистых грунтах.
Жесткие участки анкерного понура следует проектировать в виде железобетонной плиты с оклеечной или литой гидроизоляцией и с выпусками арматуры, заделываемой в анкеруемое сооружение.
Гибкий участок должен воспринимать все деформации (сдвиг и осадку), возникающие в месте контакта с анкеруемым сооружением, и сохранять при этом полную водонепроницаемость.
9.32 Для понуров всех видов, за исключением бетонных, следует предусматривать пригрузку их грунтом, предохраняемым от размыва креплением в виде бетонных плит или каменной наброски.
9.33 Подготовку основания под понур необходимо предусматривать:
- для понуров из местных материалов при песчаных и супесчаных грунтах основания - уплотнением поверхности основания; в случае крупнообломочных грунтов основания - в виде песчаного переходного слоя толщиной не менее 10 см;
- для бетонного или анкерного понуров - уплотнением поверхности основания и укладкой слоя бетона толщиной 5 - 10 см;
- для понуров из асфальтовых или полимерных материалов - путем укладки слоя щебня или гравия, пропитанного битумом, или слоя бетона толщиной 5-10 см.
9.34 В сопряжениях понура с плотиной, с подпорными стенами, с раздельным устоем, с понурным шпунтом и в сопряжениях отдельных секций понура между собой необходимо предусматривать уплотнения согласно указаниям 6.29-6.33 настоящего приложения. При выборе конструкций уплотнений следует учитывать величины возможных деформаций граничащих сооружений.
Шпунтовые завесы
9.35 Вид шпунта (металлического, железобетонного или деревянного) для устройства шпунтовой завесы следует выбирать в зависимости от инженерно-геологических условий, расчетного напора и глубины погружения.
9.36 Общую глубину погружения шпунта следует принимать не менее 2,5 м, а глубину погружения шпунта в водонепроницаемый слой не менее 1 м.
9.37 Передача силовых нагрузок от сооружения на противофильтрационные шпунтовые завесы не допускается.
9.38 Верховую под плотинную шпунтовую завесу следует предусматривать при отсутствии понура.
Применение безшпунтовых схем подземного контура допускается в случае несвязых грунтов основания при наличии понура или при заглублении подошвы верхового зуба фундаментной плиты в водонепроницаемые грунты и при обеспечении низовым зубом фундаментной плиты фильтрационной прочности основания.
9.39 При применении в подземном контуре плотины висячих (не доходящих до водоупора) шпунтов расстояние между двумя смежными рядами шпунтов следует принимать не менее суммы глубин их погружения.
Зубья и противофильтрационные завесы
9.40 При проектировании бетонных и железобетонных плотин на нескальных основаниях с целью повышения их устойчивости следует предусматривать верховой и низовой подплотинные зубья.
Противофильтрационные бетонные и железобетонные зубья (преграды) следует предусматривать в случаях, когда применение шпунта невозможно по инженерно-геологическим и геокриологическим условиям.
9.41 Температурно-деформационный шов между противофильтрационным зубом и фундаментной плитой плотины следует устраивать при надлежащем обосновании.
9.42 При песчаных и крупнообломочных грунтах основания допускается предусматривать у верховой грани плотины противофильтрационную завесу или преграду, выполняемую в виде траншеи, заполненной бетоном или глинистым грунтом, буробетонной стенки.
Глубину противофильтрационной завесы, характеристики ее водонепроницаемости следует назначать в зависимости от напора на плотину, фильтрационных и суффозионных свойств грунта основания, требований по снижению противодавления на подошву плотины, с учетом изменения свойств многолетнемерзлых грунтов при их оттаивании.
9.43 Толщина противофильтрационной завесы tc должна быть
tc ≥ ΔНс γn/Icr,m
где ΔНс - потеря напора в данном сечении завесы;
γn - 8.13 настоящего приложения;
Icr,m - критический средний градиент напора на завесе.
В зависимости от вида грунтов основания величину Icr,m для завес следует принимать:
- в мелкозернистых песках 4
- в средне- и крупнозернистых песках 5
- в гравийно-галечниковом грунте 6
Дренажные устройства
9.44 Устройство горизонтального дренажа, выполняемого из крупнозернистого материала (щебня, гравия), геотекстильных материалов, пористого бетона и т.п., защищенного от заиления обратным фильтром, следует предусматривать: для плотин на глинистых грунтах основания, а также на песчаных грунтах в случаях, когда для обеспечения устойчивости плотин недостаточно устройства понура или вертикальной противофильтрационной преграды; под водобоем, рисбермой, плитами крепления откосов, особенно в зонах пульсационного и волнового воздействия, при наличии в основании плотины размываемых грунтов.
9.45 Количество слоев обратного фильтра и зерновой состав надлежит определять согласно приложения Б Стандарта.
Толщину слоя горизонтального дренажа следует назначать с учетом конструктивных особенностей плотины и производственных условий, но не менее 20 см.
9.46 Отвод воды из горизонтального дренажа следует предусматривать в дренах водобоя или посредством дренажной системы, проходящей через тело плотины, сопрягающий или раздельный устой, в нижний бьеф. Выходные отверстия дренажной системы следует предусматривать в местах со спокойным режимом потока и располагать ниже минимального уровня нижнего бьефа.
Расчеты плотин на прочность и устойчивость
9.47 Расчеты плотин на нескальных основаниях на прочность и устойчивость следует производить в соответствии с указаниями раздела 8 настоящего приложения и настоящего раздела.
9.48 Величины контактных напряжений по подошве плотин на нескальных основаниях, критерии и методы определения прочности оснований надлежит определять согласно требованиям приложения А Стандарта.
9.49 При раздельном возведении быков, устоев и фундаментной плиты плотины на основании из песчаных грунтов реакция основания полностью возведенного сооружения должна определяться путем суммирования эпюры контактных напряжений для строительного периода под каждым элементом сооружения и эпюры напряжений, полученной от нагрузок, прикладываемых к сооружению после его омоноличивания.
Для основания плотины из глинистых грунтов контактные напряжения следует определять с учетом перераспределения их во времени за счет ползучести грунтов и фильтрационной консолидации, учитываемых в результате специальных исследований.
9.50 Секции плотин I и II классов следует рассчитывать на общую прочность как пространственные конструкции совместно с упругим основанием методами строительной механики или теории упругости с учетом перераспределения усилий вследствие трещинообразования.
Предварительные расчеты прочности плотин I и II классов, а плотин III и IV классов во всех случаях - допускается производить, рассматривая их статическую работу раздельно в поперечном (вдоль потока) и в продольном (поперек потока) направлениях согласно требованиям 9.51 - 9.52 настоящего приложения.
9.51 Расчет общей прочности плотины в поперечном направлении рекомендуется производить:
- водосливной плотины - как ребристой конструкции, ребрами жесткости которой являются быки и полубыки;
- двухярусной плотины с глубинными водосбросами - как правило, как конструкции коробчатого вида.
В расчетное сечение следует вводить только часть быков и полубыков по высоте. Допускается ограничивать расчетную высоту быков и полубыков наклонными плоскостями, проходящими под углом 45° к горизонтали через крайние точки сопряжения с фундаментной плитой.
Аналогично должна ограничиваться высота расчетного сечения водослива.
9.52 Расчет общей прочности секции плотины в продольном направлении рекомендуется производить:
- водосливной плотины - как балки на упругом основании;
- двухярусной плотины и плотины с глубинными водосбросами - как правило, как рамной конструкции на упругом основании.
При расчете общей прочности секции водосливной плотины в продольном направлении массив водослива вводится в расчетное сечение только в случае отсутствия температурных швов в пролете водослива. При наличии температурных швов между телом водослива и быком (полубыком) в расчетное сечение следует вводить часть водослива, ограниченную плоскостями, проходящими через основание шва под углом 45º к горизонтали.
При расчете общей прочности в продольном направлении секции двухярусной плотины или плотины с донными водосбросами фундаментную плиту, пролетные конструкции водосброса, быки и полубыки в расчетные сечения следует включать полностью.
9.53 В случаях, когда схема расчета плотины на общую прочность не учитывает особенности работы отдельных элементов (фундаментная плита, быки, водослив и др.) и приложения к ним местных нагрузок, указанные элементы следует дополнительно рассчитывать на местную прочность. Расчетные усилия, напряжения и количество арматуры в различных сечениях плотины следует определять с учетом результатов расчетов, как общей прочности секции плотины, так и местной прочности отдельных элементов.
Расчет анкерного понура
9.54 Распределение полной горизонтальной сдвигающей силы между анкерным понуром и плотиной независимо от вида грунта основания надлежит определять с учетом упругой деформации грунта в их основании и растяжения арматуры понура. При этом на протяжении всей длины понура должно отсутствовать состояние предельного равновесия, т.е. должно соблюдаться условие:
τmax < τlim = рua tgφ + c
где τmax - наибольшее касательное напряжение под понуром;
τlim - касательное напряжение под понуром, соответствующее состоянию предельного равновесия;
рua - интенсивность вертикального давления на понур;
φ, c - соответственно расчетные значения угла внутреннего трения, град, и удельного сцепления грунта основания.
В расчетах допускается принимать τmax = 0,8 τlim.
9.55 Горизонтальную силу, воспринимаемую понуром, следует учитывать при проверке устойчивости плотины на сдвиг при определении расчетного значения обобщенной силы предельного сопротивления.
Плотина с анкерным понуром должна проектироваться таким образом, чтобы коэффициент запаса устойчивости плотины на сдвиг без учета усилия, воспринимаемого понуром, был не менее 1,0.
Конструирование плотин и их элементов
10.1 Конструирование гравитационных плотин и их элементов следует выполнять в соответствии с разделом 6 настоящего приложения и указаниями настоящего раздела.
10.2 Исходный поперечный профиль гравитационной плотины должен иметь форму треугольника с вершиной на отметке нормального подпорного уровня воды в верхнем бьефе.
10.3 При проектировании гравитационных плотин на скальных основаниях (рисунок В.9) рекомендуется рассматривать техническую возможность и экономическую целесообразность применения наряду с массивными, гравитационных плотин облегченных видов, приведенных на рисунке В.1, б - д.
В плотинах с широкими швами (рисунок В.1, б) ширина шва должна быть не более половины ширины секции плотины.
Для массивных гравитационных плотин должна рассматриваться возможность применения для внутренних зон малоцементного жесткого бетона, в том числе бетона, уплотняемого укаткой.
Водонепроницаемость и долговечность такой плотины обеспечивается укладкой со стороны верхнего бьефа слоя из вибрированного бетона или путем устройства водонепроницаемого экрана. Со стороны нижнего бьефа зона малоцементного жесткого бетона защищается слоем из вибрированного бетона или путем установки сборных бетонных блоков специальной формы.
10.4 Для створов, в которых lch/h ≤ 5 (где lch - ширина ущелья по хорде на уровне гребня плотины, h - высота плотины), следует рассматривать целесообразность применения наряду с плотинами с постоянными температурными швами (разрезные плотины) плотин с частично или полностью омоноличенными поперечными температурными швами или без швов (неразрезные плотины).
10.5 Для улучшения напряженного состояния верховой грани гравитационной плотины (в случае наличия там растягивающих нормальных напряжений) и особенно приконтактной зоны плотины и основания при надлежащем обосновании рекомендуется устраивать горизонтальные швы-надрезы в сечениях, совпадающих с межблочными строительными швами. При этом первый от основания шов-надрез рекомендуется организовывать в ближайшем к скале межблочном шве. Со стороны верховой грани сооружения швы-надрезы должны иметь специальные уплотнения.
В качестве основного варианта устройства швов-надрезов рекомендуется омоноличивание этих швов в состоянии максимально возможного их раскрытия по глубине и ширине. В этих случаях швы снабжаются оборудованием для выполнения работ по их омоноличиванию, а также уплотнением со стороны дренажа тела плотины.
Если омоноличивание швов-надрезов не предусматривается, то такие швы должны быть дренированы с выходом в дренаж тела плотины.
С целью улучшения напряженного состояния приконтактной зоны плотины и основания дополнительно рекомендуется рассматривать целесообразность устройства выносной цементационной завесы, короткого бетонного понура с гидроизоляцией. Сопряжение его с напорной гранью плотины следует осуществлять в соответствии с указаниями 9.34 настоящего приложения.
10.6 Для обеспечения сейсмостойкости бетонных гравитационных плотин следует предусматривать:
- уширение поперечного профиля плотины в нижних сечениях;
- относительно небольшой оголовок или оголовок облегченного типа (коробчатого, контрфорсного и т.п.);
- использование топографии створа с опиранием несейсмостойких секций на секции, имеющие избыточный запас несущей способности;
- армирование тела плотины.
Рекомендуется рассматривать возможность применения обжатия зоны напорной грани предварительно напряженными анкерами.
10.7 Для снижения фильтрационного противодавления в основании гравитационных плотин должно предусматриваться устройство дренажа основания, а при необходимости и местных разгрузочных полостей на подошве плотины (рисунок В.9).
10.8 В тех случаях, когда основание плотины сложено грунтами со средним коэффициентом фильтрации k ≥ 0,1 м/сут, в составе подземного контура плотины должны предусматриваться противофильтрационные устройства (цементационная завеса, понур) и дренаж. При этом расстояние от напорной грани плотины до оси цементационной завесы должно быть, как правило, (0,10 - 0,25)b (где b - ширина подошвы плотины), если подземный контур плотины состоит только из цементационной завесы и дренажа.
Расстояние между дренажными и цементационными скважинами должно быть больше радиуса цементации и не менее 4 м.
Примыкание понура и размещение в этом случае цементационной завесы должно быть обосновано результатами фильтрационных исследований и расчетов прочности.
В тех случаях, когда грунты, слагающие основание плотины, водонепроницаемы или слабоводопроницаемы (k < 0,1 м/сут), включение в состав подземного контура, наряду с дренажом, цементационной завесы должно быть обосновано результатами фильтрационных исследований. Если устройство цементационной завесы не предусматривается, должна быть рассмотрена необходимость укрепительной цементации зоны контакта плотины с основанием.
10.9 Глубину заделки крупных разрывных нарушений в скальном основании следует определять по результатам расчетных и, при соответствующем обосновании, модельных исследований напряженного состояния плотины совместно с неоднородным основанием из условия обеспечения прочности и устойчивости гравитационной бетонной плотины.
10.10 Проектирование гравитационных плотин на основаниях из полускальных грунтов выполняется так же, как плотин на основании из скальных грунтов, но в расчеты таких плотин должны вводиться соответствующие характеристики свойств полускальных грунтов.
10.11 Способ сопряжения бьефов водосбросных гравитационных плотин: отбросом струи носками-трамплинами или глубинными водосбросами, донным гидравлическим или незатопленным поверхностным прыжком - принимается в зависимости от высоты сооружения, ширины створа, величины общего и удельного сбросного расхода, диапазона колебаний уровня нижнего бьефа, наличия и размеров русловой или приплотинной гидроэлектростанции, судоходных или других сооружений и характеристик грунтов дна и берегов в русле нижнего бьефа.

а - глухая плотина, б - водосливная плотина; 1 - гребень; 2 - противофильтрационные уплотнения; 3 - температурные швы; 4 - паз ремонтного заграждения; 5 - паз рабочего затвора; 6 - промежуточный бык водосливной плотины; 7 - гребень водослива; 8 - водосливная грань; 9 - смотровые галереи; 10 - дрены тела плотины; 11 - носок-трамплин; 12 - подошва; 13 - разгрузочная полость;14* - дренажная галерея; 15 - противофильтрационная (обычно цементационная) завеса; 16 - низовой клин; 17 - дренажные скважины основания; 18 - верховой клин; 19* - цементационная галерея; 20 - напорная грань; 21 - низовая грань
Рисунок В.9 - Отдельные части и элементы гравитационных плотин на скальном основании
__________________
*Допускается производить устройство цементационной завесы и дренажа из одной галереи
10.12 При сопряжении бьефов донным гидравлическим прыжком в качестве гасителей энергии для плотин I, II, III классов высотой более 25 м надлежит принимать водобойные колодцы, водобойные стенки или безэрозионные гасители. Для высоких плотин, когда скорости потока превышают 25 - 30 м/сек, рекомендуется предусматривать покрытие дна водобойного колодца бетонами с повышенной кавитационной стойкостью, а также следует предусматривать аэрацию придонной зоны потока. Для плотин всех классов высотой менее 25 м, допускается предусматривать гасители, указанные в 9.12 настоящего приложения и других типов при надлежащем обосновании.
При проектировании креплений русел в нижнем бьефе необходимо учитывать возможность неравномерных деформаций оснований при промерзании, криогенном пучении и протаивании полускальных пород.
Для уменьшения толщины водобоя следует предусматривать:
- анкерное крепление плит к основанию независимо от высоты плотины;
- устройство в плитах дренажных колодцев - в плотинах высотой до 25 м, а при гидравлическом обосновании - в плотинах высотой до 40 м с учетом указаний 6.18, 6.46 настоящего приложения.
- придание водобойной плите цилиндрической формы с распором ее в боковые стенки-устои (для узких ущелий).
Расчет плотин на прочность и устойчивость
10.13 Расчеты плотины и ее элементов на прочность, устойчивость и трещиностойкость, а также ее железобетонных конструкций на раскрытие трещин надлежит выполнять согласно требованиям приложений А и Г Стандарта, раздела 8 настоящего приложения и указаниям настоящего раздела.
10.14 Расчеты гравитационных плотин разрезной конструкции, имеющих плоские постоянные поперечные швы, на прочность и устойчивость следует производить по схеме плоской задачи, рассматривая отдельно одну секцию или условно вырезанный 1 пог.м плотины. Напряженное состояние плотины следует определять для каждого вида секций (глухих, водосливных, станционных) с учетом специфики их возведения и статической работы.
Напряженное состояние неразрезных плотин, работающих в сложных инженерно-геологических и пространственных условиях (несимметричность створа, действующих нагрузок и реакции основания, в том числе от береговых упоров), следует определять методами решения объемной задачи теории упругости, а при соответствующем обосновании - методами физического моделирования. Допускается расчеты неразрезных плотин выполнять аналогично расчетам арочных плотин, согласно указаниям раздела 12 настоящего приложения.
10.15 Расчеты общей прочности бетонных гравитационных плотин выполняются на полный состав нагрузок и воздействий основных и особых сочетаний в соответствии с указаниями раздела 7 настоящего приложения.
Допускается рассчитывать на сокращенный состав нагрузок и воздействий основных и особых сочетаний (п. 10.20 настоящего приложения) плотины I - III классов на начальных стадиях проектирования, а плотины IV класса - на всех стадиях проектирования.
10.16 В расчетах плотин на полный состав нагрузок и воздействий учитываются нагрузки и воздействия в соответствии с указаниями 7.2 - 7.5 настоящего приложения.
При этом:
- в качестве температурных воздействий рассматриваются изменения температурного состояния сооружения, определенные с учетом начального и проектного эксплуатационного температурного состояния основания, режима твердения бетона, температуры замыкания строительных швов, остывания бетонной кладки до проектного эксплуатационного состояния плотины, сезонных колебаний температуры наружного воздуха и воды в водохранилище, наличия эксплуатационного подогрева или охлаждения сооружения, а также, в случае нарушения эксплуатационного подогрева или охлаждения сооружения, перехода температурного режима сооружения от проектного к естественному;
- силовое воздействие фильтрующейся воды в теле плотины и основания принимаются в виде объемных и поверхностных сил согласно указаниям 7.13 настоящего приложения;
- сейсмические воздействия определяются согласно указаниям приложения Д Стандарта;
- при этом для плотин I и II классов расчет выполняется на два уровня сейсмических воздействий: ПЗ и МРЗ, а для плотин III и IV классов - только на ПЗ.
При обосновании в полный состав нагрузок и воздействий эксплуатационного периода для основного и особого сочетаний допускается включать воздействие набухания бетона верховой грани плотины.
10.17 Расчеты общей прочности плотин на полный состав нагрузок и воздействий производится:
а) для начального периода эксплуатации построенного сооружения, когда его остывание до среднемноголетних эксплуатационных температур еще не произошло;
б) для установившегося периода эксплуатации сооружения, когда оно полностью остыло до среднемноголетних температур.
Проверка условий общей прочности плотины в обоих случаях выполняется, как правило, для февраля и августа.
10.18 Расчеты плотины на полный состав нагрузок и воздействий эксплуатационного периода выполняются методами теории упругости с учетом возможного раскрытия строительных швов на гранях сооружения.
Глубина раскрытия строительных швов определяется расчетом в соответствии с указаниями 8.11 настоящего приложения.
В качестве основной допускается принимать расчетную схему с раскрытием строительных швов только на низовой грани плотины. В этом случае материал у верховой грани плотины, а также в основании сооружения условно принимается сплошным, а возможность раскрытия швов на верховой грани плотины, включая контактное сечение, косвенно учитывается в критериях прочности назначением соответствующих предельных глубин зоны растяжения.
Допускается также выполнять расчет плотины по схеме с раскрытием строительных швов на низовой и верховой гранях сооружения, включая и его контакт с основанием.
Напряжения и усилия, возникающие в сооружении при сейсмических воздействиях, определяются согласно указаниям приложения Д Стандарта. При этом для плотин I и II классов используются методы динамической теории, а для плотин III и IV классов - методы линейно-спектральной теории. В расчетах напряженно-деформированного состояния плотин с учетом сейсмических воздействий следует применять расчетные схемы, как правило, соответствующие таковым для расчета сооружения на нагрузки и воздействия основного сочетания.
10.19 Условия общей прочности гравитационных плотин, рассчитываемых на полный состав нагрузок и воздействий эксплуатационного периода по схеме с раскрытием строительных швов только на низовой грани сооружения, принимаются по таблице В.11, где: γn, γcd, γlc - коэффициенты, принимаемые согласно 8.13 настоящего приложения;
σз - максимальные главные сжимающие напряжения;
Rbτ - расчетное сопротивление бетона сжатию, требуемое ко времени нагружения сооружения эксплуатационными нагрузками;
b - ширина плотины по основанию;
bd - ширина расчетного горизонтального сечения;
dt - глубина зоны растяжения в горизонтальных сечениях плотины и в контактном сечении, определенная в предположении работы бетона у верховой грани плотины на растяжение;
t - размер секции в направлении оси плотины;
t1 - толщина стенки секций в пределах расширенных швов (толщина контрфорсов);
bh - толщина оголовка секции с расширенными швами по торцевому сечению;
a1 - расстояние от верховой грани до дренажа тела плотины;
а2 - расстояние от верховой грани плотины до оси цементационной завесы;
а3 - расстояние от верховой грани плотины до первого ряда дренажных скважин в основании;
η = 4 (t1/t - 1/2)2 - безразмерный коэффициент.
При расчете плотин по схеме с раскрытием строительных швов на низовой и верховой гранях сооружения, предельные значения глубины раскрытия швов на верховой грани dc в горизонтальных сечениях тела плотины получаются умножением величины dt из таблицы В.11 на коэффициент 1,33, а в контактном сечении плотины с основанием - на коэффициент 1,60.
Для оценки прочности бетонных плотин, рассчитываемых на МРЗ, должны использоваться специально разработанные индивидуальные критерии, принятые проектной организацией для конкретного сооружения. По этим критериям плотина должна обладать способностью воспринимать МРЗ без угрозы прорыва напорного фронта. При этом могут быть допущены иные повреждения плотины и основания, нарушающие нормальную эксплуатацию сооружения.
Примечание - В условиях прочности плотин (10.19 и др. настоящего приложения, таблицы В.11, В.12, рисунок В.10) напряжения, взятые по модулю, - сжимающие.
10.20 В расчетах прочности плотин на сокращенный состав нагрузок и воздействий температурные воздействия исключаются из рассмотрения, сейсмические воздействия во всех случаях представлены только на уровне ПЗ, а силовое воздействие фильтрующейся воды учитывается только в виде сил противодавления, приложенных на контакте «бетон-скала».
Таблица В.11 - Условия общей прочности гравитационных плотин, рассчитываемых на полный состав нагрузок и воздействий эксплуатационного периода
|
воздействий |
Условия прочности гравитационных плотин при t1/t: |
|
|
t1/t = 1,0 (массивные плотины) |
1,0 ≥ t1/t ≥ 0,50 (плотины с широкими швами) |
|
|
1. Во всех точках тела плотины |
||
|
Основные и все особые |
|
|
|
2. Горизонтальные сечения тела плотины |
||
|
Основные |
|
|
|
Особые, не включающие сейсмические воздействия |
|
|
|
Особые, включающие сейсмические воздействия на уровне ПЗ |
|
|
|
3. контактное сечение плотины с основанием |
||
|
Основные |
|
|
|
Особые, не включающие сейсмические воздействия |
|
|
|
Особые, включающие сейсмические воздействия на уровне ПЗ |
|
|
|
Примечания * Если на некоторой части напорной грани не выполняется данное условие прочности, то на этом участке верховой грани следует предусматривать дополнительные меры по предотвращению недопустимого раскрытия строительных швов гидроизоляции. ** Для гравитационных плотин без широких швов при невыполнении данного условия надлежит руководствоваться указаниями 7.23 настоящего приложения. *** В тех случаях, когда подземный контур плотины не содержит цементационной завесы, вместо а2 принимается а3 - для плотин без широких швов и bh, - для плотин с широкими швами. |
||
Таблица В.12 - Условия общей прочности гравитационных плотин, рассчитываемых на сокращенный состав нагрузок и воздействий эксплуатационного периода
|
нагрузок и воздействий |
Условия прочности гравитационных плотин при t1/t: |
|
|
t1/t = 1,0 (массивные плотины) |
1,0 ≥ t1/t ≥ 0,50 (плотины с широкими швами) |
|
|
1. Во всех точках тела плотины |
||
|
Основные и все особые |
|
|
|
2. Горизонтальные сечения тела плотины |
||
|
Основные |
|
|
|
Особые, не включающие сейсмические воздействия |
|
|
|
Особые, включающие сейсмические воздействия на уровне ПЗ |
|
|
|
3. Контактное сечение плотины с основанием |
||
|
Основные |
|
|
|
Особые, не включающие сейсмические воздействия |
|
|
|
Особые, включающие сейсмические воздействия на уровне ПЗ |
|
|
|
Примечания * Если на некоторой части напорной грани не выполняется данное условие прочности, то на этом участке верховой грани следует предусматривать дополнительные меры по предотвращению недопустимого раскрытия строительных швов гидроизоляции. ** Для гравитационных плотин без широких швов при невыполнении данного условия надлежит руководствоваться указаниями 7.23 настоящего приложения. *** В тех случаях, когда подземный контур плотины не содержит цементационной завесы, вместо a2 принимается a3 - для плотин без широких швов и bh - для плотин с широкими швами. |
||

а - массивной; б - с расширенными швами и контрфорсной; h - высота плотины: b - ширина плотины по основанию; t - длина секции; t1 - толщина секции в пределах расширенных швов (толщина контрфорса); bh - толщина торцевого сечения оголовка; а1 - расстояние от дренажа тела плотины до верховой грани; а2 - расстояние от оси цементационной завесы до верховой грани; а3 - расстояние от дренажа основания до верховой грани; Hd - напор над расчетным сечением; bd - ширина расчетного сечения; mu, mt - уклоны граней плотины соответственно верховой и низовой; σиy, σtз, σиc - соответственно нормальные напряжения, действующие по горизонтальным площадкам у верховой грани, по площадкам, перпендикулярным к низовой грани, по площадкам контактного сечения плотины с основанием у верховой грани.
Рисунок В.10 - Обозначения к расчету плотины на прочность
10.21 В расчетах прочности плотин на сокращенный состав нагрузок и воздействий эксплуатационного периода напряжения определяются методами сопротивления материалов, причем значения напряжений на верховой и низовой гранях сооружения (рисунок В.10) следует определять по формулам:


где σиy, σих, σty, σtx - нормальные напряжения по горизонтальным и вертикальным площадкам соответственно у верховой и низовой граней;
τuxy, τtxy - касательные напряжения по горизонтальным и вертикальным площадкам соответственно у верховой и низовой граней;
σи1, σи3, σt1, σt3 - максимальные растягивающие и максимальные сжимающие главные напряжения соответственно у верховой и низовой граней плотины;
σиc - нормальные напряжения, действующие по площадкам контактного сечения у верховой грани;
М - момент сил, приложенных к плотине выше расчетного сечения относительно центра тяжести этого сечения;
N - нормальная сила, равная сумме проекций на нормаль к расчетному сечению всех сил, действующих на плотину выше расчетного сечения;
bd - ширина расчетного сечения;
γw - удельный вес воды;
Hud, Htd, h - соответственно напоры над расчетным сечением со стороны верхнего и нижнего бьефов и напор над контактным сечением у верховой грани со стороны верхнего бьефа;
mu, mt - соответственно наклоны верховой и низовой граней на уровне расчетного сечения;
α - угол между плоскостью напорной грани плотины и вертикальной плоскостью, град;
δ - угол между плоскостью подошвы плотины и горизонтальной плоскостью, град.
В приведенных формулах нормальные растягивающие силы и напряжения приняты со знаком плюс, сжимающие - со знаком минус, изгибающий момент по часовой стрелке принят со знаком плюс, против часовой стрелки - со знаком минус.
10.22 Условия общей прочности гравитационных плотин, рассчитанных на сокращенный состав нагрузок и воздействий эксплуатационного периода, принимается по таблице В.12, где : γn, γlc, γcd, σ3, Rbτ, b, bd, dt, t, t1, bh, α2, α3, η - 10.19 настоящего приложения; σиy, σиc, γw, Hud - 10.21 настоящего приложения.
10.23 В тех случаях, когда при расчете общей прочности гравитационных плотин на особые сочетания нагрузок, включающие сейсмические воздействия на уровне ПЗ, глубина растянутой зоны у верховой грани тела плотины dt превышает ее предельное значение, равное 0,286bd, надлежит:
- при 0,286bd < dt < 0,320bd - оценивать прочность сооружения в сечении по условию
![]()
с определением значения напряжений σ3 без учета работы бетона на растяжение у верховой грани плотины;
- при dt ≥ 0,320bd - армировать верховую грань сооружения, рассматривая сечение тела плотины как железобетонное с обеспечением прочности бетона сжатой зоны по условию
![]()
Для плотин, рассчитываемых на сокращенный состав нагрузок и воздействий методами сопротивления материалов, максимальные главные сжимающие напряжения на низовой грани сооружения при выходе из работы бетона растянутой зоны допускается определять по формуле (без учета давления воды в раскрывшемся сечении):

где σиy, σty, mt, γw, Htd - 10.21 настоящего приложения.
Для облегчения напряженного состояния плотины при сейсмических воздействиях и уменьшения количества арматуры на верховой грани сооружения надлежит предусматривать конструктивные мероприятия, в том числе снижение массы оголовка плотины.
10.24 При проектировании плотин с гидроизоляционным экраном на верховой грани или с гидроизоляцией контакта верховой грани плотины с основанием следует составлять индивидуальные технические условия, содержащие в том числе критерии прочности таких сооружений
10.25 счете прочности верховых оголовков секций гравитационных плотин с широкими швами, независимо от высоты плотины, во всех точках оголовка должны выполняться условия прочности:

где σz - нормальные напряжения, действующие по вертикальным площадкам, перпендикулярным оси плотины;
γn, γlc, γcd - коэффициенты, принимаемые согласно п. 8.13 настоящего приложения;
Rbtτ, Rbτ - расчетные сопротивления бетона соответственно сжатию и растяжению, требуемого времени нагружения сооружения эксплуатационными нагрузками.
В зонах оголовка, испытывающих растяжение в направлении оси плотины, при соответствующем обосновании допускается установка конструктивной арматуры.
10.26 Местные напряжения в теле плотины вокруг отверстий потерн, проемов и полостей определяются расчетами методом теории упругости или по результатам экспериментальных исследований.
Концентрация напряжений во входных углах проемов не учитывается при оценке прочности тела плотины и назначении количества арматуры.
10.27 Расчеты прочности элементов конструкции гравитационной плотины следует производить на те же сочетания нагрузок и воздействий, что и расчет общей прочности плотины, а условия прочности принимать согласно приложения Г Стандарта.
10.28 Расчет устойчивости гравитационных плотин на сдвиг выполняется согласно приложения А Стандарта. Должна рассматриваться устойчивость плотины как по контакту сооружения с основанием, так и по другим возможным расчетным поверхностям сдвига, полностью или частично проходящим ниже подошвы плотины и определяемым наличием в основании слабых прослоек, полого падающих трещин, зон размыва, льдистых распученных грунтов, контакта талых и мерзлых грунтов, размещением в нижнем бьефе плотины каких-либо сооружений и т.д.
Наряду с расчетом устойчивости на сдвиг, должна рассматриваться устойчивость по схеме предельного поворота с разрушением основания в зоне низовой грани плотины.
10.29 При проверке устойчивости плотины следует учитывать совместную с ней работу на сдвиг здания ГЭС или других массивных сооружений, непосредственно примыкающих к плотине со стороны нижнего бьефа. Доля общего сдвигающего усилия, приходящаяся на здание станции или другое сооружение, определяется расчетом напряженного состояния контакта плотины и примыкающего к ней сооружения.
В расчетной схеме по определению сдвигающего усилия для здания станции следует учитывать конструкцию сопряжения здания станции с низовой гранью плотины. Для сооружений I и II классов высотой более 60 м при сложных инженерно-геологических условиях в дополнение к расчету, как правило, надлежит проводить исследования на моделях.
10.30 Расчеты устойчивости неразрезных плотин следует выполнять как для всего сооружения в целом, так и для отдельных его частей, определяемых в зависимости от неоднородности инженерно-геологических условий в основании, особенностей конструкции и условий возведения плотины. В расчетах необходимо учитывать возможность сдвига совместно с сооружением и части скального основания, а также реакцию береговых упоров.
10.31 При расчете плотин на нагрузки и воздействия строительного периода во всех точках тела плотины должны выполняться условия прочности:

где γn, γlc, γcd, Rbτ, Rbtτ - 10.26 настоящего приложения;
σ3, σ1 - максимальные главные соответственно растягивающие и сжимающие напряжения.
На всех этапах строительства должна быть обеспечена прочность и устойчивость на сдвиг отдельных элементов (в частности, столбов) плотины в соответствии с требованиями приложения Г и приложения А Стандарта.
10.32 Расчет плотин всех классов по образованию трещин от температурных воздействий выполняется для всех бетонных поверхностей, подверженных температурным воздействиям наружного воздуха в эксплуатационный период, а также для блоков бетонирования на температурные воздействия строительного периода.
Расчеты трещиностойкости производятся в соответствии с указаниями приложения Г Стандарта. Как правило, расчеты выполняются с применением методов механики хрупкого разрушения и с использованием характеристик бетона, полученных путем испытаний крупномасштабных образцов. Для плотин I - III классов на начальных стадиях проектирования, а для плотин IV класса - на всех стадия проектирования оценку трещиностойкости бетонных конструкций при температурных воздействиях допускается производить указанными в приложении Г Стандарта упрощенными методами.
Контрфорсные плотины и их элементы
11.1 Конструирование контрфорсных плотин и их элементов следует выполнять в соответствии с разделом 7 настоящего приложения и указаниями настоящего раздела.
11.2 При выборе контрфорсной плотины предпочтение следует отдавать массивно-контрфорсным плотинам (рисунок В.11).

1 - гребень; 2 - контрфорс; 3 - низовое перекрытие; 4 - противофильтрационные уплотнения; 5 - массивный оголовок; 6 - полости; 7 - низовой клин; 8 - перекрытия полостей; 9 - смотровые галереи; 10 - дренажная галерея; 11 - дренаж основания; 12 - противофильтрационная (обычно цементационная) завеса; 13 - цементационная галерея; 14 - верховой клин; 15 - дренаж плотины
Рисунок В.11 - Отдельные части и элементы массивно-контрфорсной плотины
11.3 Верховые оголовки контрфорсов массивно-контрфорсных плотин, как правило, следует проектировать с плоской напорной гранью. При обосновании допускается применение верховых оголовков контрфорсов с полигональным, круговым или иным выпуклым очертанием напорной грани. В теле оголовка следует предусматривать дренаж.
Напорные перекрытия многоарочных плотин, как правило, следует проектировать неразрезными в виде сводов, жестко соединенных с оголовком контрфорса. При обосновании допускается применение шарнирного или посредством конструктивного шва соединения арочных перекрытий с контрфорсами.
Плоские напорные перекрытия, как правило, надлежит проектировать разрезными в виде плит, свободно опертых на оголовки контрфорсов.
Толщина напорного перекрытия контрфорсных плотин должна определяться из условий обеспечения прочности, ограничения градиента напора фильтрационного потока допустимым пределом, размещения противофильтрационных устройств. При этом толщину напорного перекрытия допускается принимать переменной по высоте с сохранением непрерывного очертания верховой грани.
11.4 В случаях, когда необходимо создание поверхностных водосбросов, следует предусматривать устройство низового перекрытия полостей между контрфорсами. Допускается использование низового перекрытия для поддержания напорных турбинных водоводов.
11.5 В случаях, когда в полостях сооружения требуется поддерживать температурный режим, обеспечивающий проектные условия эксплуатации сооружения, его прочность и надежность, должно быть предусмотрено устройство низового перекрытия или теплоизоляционной стенки в сочетании при целесообразности с горизонтальными перекрытиями полостей и искусственным подогревом воздуха в полостях плотины.
Конструкцию низового перекрытия или теплоизоляционной стенки, а также меры по регулированию температурного состояния сооружения следует принимать из условия обеспечения работы дренажа массивного оголовка контрфорса, ограничения разности сезонных температур воздуха полостей плотины в допустимых проектом пределах и поддержания круглогодично постоянного по знаку температурного состояния.
11.6 При проектировании контрфорсных плотин для районов с суровыми природно-климатическими условиями массивно-контрфорсные плотины, как правило, а плотины многоарочные и с плоскими напорными перекрытиями - во всех случаях, должны снабжаться низовым перекрытием (или теплоизоляционной стенкой).
11.7 Толщину контрфорсов t1 (рисунок В.12) рекомендуется назначать:
- для массивно-контрфорсных плотин
t1 = (0,25 - 0,50) t,
где t - размер секции в направлении оси плотины;
- для плотин с арочным или плоским перекрытием
t1 = (0,15 - 0,25) t,
но не менее 0,06 acd,
где acd - расстояние расчетного сечения от гребня плотины.
При выполнении указанных требований расчет устойчивости контрфорсов на продольный изгиб допускается не производить.

а - для массивно-контрфорсных плотин; б - для плотин с неразрезным арочным перекрытием; в - для плотин с разрезным напорным перекрытием; t1 - толщина контрфорса; t - длина секции; bd ширина расчетного сечения
Рисунок В.12 - Схемы к расчету контрфорсов на прочность вдоль потока
11.8 Для контрфорсных плотин, располагаемых в сейсмических районах, в зависимости от местных условий следует предусматривать конструктивные решения, повышающие жесткость сооружения в направлении поперек потока: балки и ребра жесткости, попарное омоноличивание контрфорсов и т.д.
11.9 Цементационную завесу в основании контрфорсных плотин следует проектировать, если основание сложено породами со средним коэффициентом фильтрации k ≥ 0,1 м/сут; если породы, слагающие основание, практически водонепроницаемы или слабоводопроницаемы (k < 0,1 м/сут), то устройство цементационной завесы допускается только при специальном обосновании.
В случае отказа от устройства цементационной завесы следует предусматривать цементацию контакта плотины с основанием в зоне верховой грани сооружения.
Включение в состав подземного контура контрфорсной плотины дренажа основания должно быть обосновано фильтрационными исследованиями.
11.10 В плотинах I и II классов для устройства противофильтрационной завесы следует предусматривать в нижней части напорного перекрытия цементационную галерею. Проектами плотин III и IV классов, а в отдельных случаях и плотин II класса должна предусматриваться возможность выполнения цементационной завесы без устройства цементационной галереи непосредственно из полостей между контрфорсами.
11.11 При проектировании разрезки контрфорсов плотины строительными швами надлежит рассматривать возможность применения как цементируемых, так и объемных бетонируемых швов.
11.12 Способы сопряжения бьефов водосбросов принимаются как для водосбросов гравитационных плотин в соответствии с 10.11 настоящего приложения.
Для водосбросов, расположенных в пределах контрфорсов при сопряжении бьефов отбросом струй, конструкции носков-трамплинов должны обеспечивать распределение струй по площади русла в нижнем бьефе.
Низовые перекрытия контрфорсных плотин, используемые для пропуска сбросных расходов, должны проектироваться с учетом кавитационных воздействий и пульсационных нагрузок от сбрасываемого потока.
11.13 Проектирование конструкции водобоев контрфорсных плотин должно выполняться в соответствии с 10.12 настоящего приложения.
11.14 В случае пропуска строительных расходов воды через полости между контрфорсами в зависимости от крепости скальных грунтов, слагающих основание, надлежит рассматривать необходимость крепления бетоном поверхности основания между контрфорсами. При этом следует предусматривать дренаж бетонного крепления с разгрузочными отверстиями или дренажными отверстиями, размещенными с учетом указаний 9.18, 9.46 и 11.12 настоящего приложения.
Расчеты плотин на прочность и устойчивость
11.15 Расчеты плотин и их элементов на прочность, устойчивость и трещиностойкость, а также железобетонных конструкций - на раскрытие трещин надлежит выполнять согласно требованиям приложений А и Г Стандарта, раздела 8 настоящего приложения и указаниям настоящего раздела.
11.16 При проектировании контрфорсных плотин должны рассчитываться на общую прочность контрфорсы при их работе вдоль и поперек потока, а также напорные перекрытия.
11.17 В расчетах контрфорсов на общую прочность в плоскости вдоль потока следует рассматривать (рисунок В.12):
- для массивно-контрфорсных плотин - отдельно стоящую секцию;
- для плотин с неразрезным напорным перекрытием, монолитно соединенным с контрфорсом - контрфорс с примыкающей к нему частью напорного перекрытия в пределах половины пролета с каждой стороны контрфорса;
- для плотин с разрезным напорным перекрытием - отдельно стоящий контрфорс.
11.18 Расчеты общей прочности контрфорсов, как правило, выполняются на полный состав нагрузок и воздействий основных и особых сочетаний.
Допускается рассчитывать на сокращенный состав нагрузок и воздействий основных и особых сочетаний контрфорсы плотин I - III классов на начальных стадиях проектирования, а плотин IV класса – на всех стадиях проектирования.
11.19 Нагрузки и воздействия, учитываемые в расчетах по полному их составу, определяются в соответствии с 7.2 - 7.5 настоящего приложения.
При этом температурные и сейсмические воздействия определяются согласно указаниям 10.16 настоящего приложения.
11.20. Расчет общей прочности контрфорсов в плоскости вдоль потока на полный состав нагрузок эксплуатационного периода следует выполнять в соответствии с 10.17 и 10.18 настоящего приложения.
Условия общей прочности контрфорсов, рассчитываемых с учетом раскрытия строительных швов только на низовой грани сооружения, принимаются по таблице В.14, где γn, γlc, γcd, σ3, Rbτ, dt, t, t1, bh, α2, - 10.19 настоящего приложения; σи1, σиy, σuc, - 10.21 настоящего приложения.
При расчете общей прочности контрфорсов по схеме, учитывающей раскрытие строительных швов как на низовой, так и на верховой гранях сооружения, предельные значения глубин раскрытия швов на верховой грани dc в горизонтальных сечениях тела контрфорса получаются умножением значений dt из таблицы В.14 на коэффициент 1,33, а в контактном сечении плотины с основанием - на коэффициент 1,60.
11.21 В случае расчета контрфорсной плотины в плоскости вдоль потока на сейсмические воздействия на уровне МРЗ условия прочности контрфорсов следует назначать в соответствии с указаниями 10.19 настоящего приложения.
Примечание - В условиях прочности плотин (11.25 настоящего приложения, таблицы В.13, В.14) напряжения взяты по модулю в соответствии с 10.20 настоящего приложения.
Таблица В.13 - Условия прочности контрфорсов контрфорсных плотин при расчете их прочности на полный состав нагрузок и воздействий
|
Сочетания нагрузок и воздействий |
Условия прочности контрфорсов при t1/t: |
|
|
0,50 ≥ t1/t ≥ 0,25 (массивно-контрфорсные плотины) |
t1/t ≤ 0,25 (плотины с арочным или плоским напорным перекрытием) |
|
|
1. Во всех точках контрфорса |
||
|
Основные и все особые |
|
|
|
2. Горизонтальные сечения контрфорса |
||
|
Основные |
|
|
|
Особые, не включающие сейсмические воздействия |
|
|
|
Особые, включающие сейсмические воздействия на уровне ПЗ |
|
|
|
3. Контактное сечение контрфорса с основанием |
||
|
Основные |
|
|
|
Особые, не включающие сейсмические воздействия |
|
|
|
Особые, включающие сейсмические воздействия на уровне ПЗ |
|
|
|
* При проверке прочности у низовой грани допускается осреднять значения σ3 на участке расчетного горизонтального сечения шириной 4,0 м. ** В тех случаях, когда подземный контур плотины не содержит цементационной завесы, вместо а2 принимается br. |
||
Таблица В.14 - Условия прочности контрфорсов контрфорсных плотин при расчете их прочности на сокращенный состав нагрузок и воздействий
|
Сочетания нагрузок и воздействий |
Условия прочности контрфорсов при t1/t: |
|
|
0,50 ≥ t1/t ≥ 0,25 (массивно-контрфорсные плотины) |
t1/t ≤ 0,25 (плотины с арочным или плоским напорным перекрытием) |
|
|
1. Во всех точках контрфорса |
||
|
Основные и все особые |
|
|
|
2. Горизонтальные сечения контрфорса |
||
|
Основные |
|
|
|
Особые, не включающие сейсмические воздействия |
|
|
|
Особые, включающие сейсмические воздействия на уровне ПЗ |
|
|
|
3. Контактное сечение контрфорса с основанием |
||
|
Основные |
|
|
|
Особые, не включающие сейсмические воздействия |
|
|
|
Особые, включающие сейсмические воздействия на уровне ПЗ |
|
|
|
* Если на некоторой части напорной грани плотины не выполняются данные условия прочности, то на этом участке верховой грани следует предусматривать дополнительные меры по гидроизоляции и предотвращению недопустимого раскрытия строительных швов. |
||
11.22 В расчетах общей прочности контрфорса в плоскости вдоль потока на сокращенный состав нагрузок и воздействий напряжения следует определять методами сопротивления материалов. При этом значения нормальных напряжений, в горизонтальных сечениях контрфорса на верховой и низовой гранях (рисунок В.10) а uy и о ty надлежит определять с учетом величин модуля упругости бетона в отдельных частях плотины по формулам:

где Ared, Jred - соответственно площадь и момент инерции приведенного горизонтального сечения контрфорса;
xи, xt - расстояние от центра тяжести приведенного сечения контрфорса соответственно до верховой и низовой граней;
Eb1, Eb2, Eb3 - модули упругости бетона соответственно контрфорса, верхового и низового оголовков контрфорса, принимаемые в соответствии с 8.18, 8.19 настоящего приложения;
N, M - 10.21 настоящего приложения.
В этих формулах нормальные растягивающие силы и напряжения приняты со знаком плюс, сжимающие - со знаком минус; изгибающий момент по часовой стрелке принят со знаком плюс, против часовой стрелки - со знаком минус.
Размеры приведенного сечения контрфорса (рисунок В.13) определяются из условия:
- в направлении вдоль потока размеры приведенного и действительного сечения контрфорса равны;
- в направлении поперек потока размеры приведенного сечения контрфорса ti,red определяются по формуле:
ti,red = ti Ebi/Ebl,
где ti и Ebi - соответственно толщина и модуль упругости бетона отдельных частей контрфорса.

1 - контур приведенных сечений оголовков в случае приведения их модулей упругости бетона Еb2 и Еb3 к модулю упругости бетона контрфорса Еb1 (при Еb3 > Еb2 > Еb1)
Рисунок В.13 - Схема к определению размеров приведенного сечения контрфорса
11.23 Условия общей прочности контрфорсов плотин в плоскости вдоль потока, рассчитываемых на сокращенный состав нагрузок и воздействий эксплуатационного периода, принимаютuя по таблице В.14, где γn, γlc, γcd, σ3, Rbτ - 10.19 настоящего приложения, σиy, σи1, σис, γw, Hиd - 10.21 настоящего приложения.
11.24 При расчете контрфорсов в плоскости вдоль потока на сокращенный состав нагрузок и воздействий в дополнение к расчетам согласно 11.22 и 11.23 настоящего приложения допускается выполнять расчеты с применением специальных приемов, позволяющих уточнить напряженное состояние сооружения (например, путем более строгого учета сил противодавления). В этих случаях проектная организация самостоятельно устанавливает условия общей прочности контрфорсов.
11.25 Расчет прочности контрфорса в направлении поперек потока производится на сейсмические воздействия, направленные вдоль оси плотины и на гидростатическую нагрузку, если между контрфорсами плотины располагаются водосбросы.
Контрфорсы плотин в расчетах на прочность при изгибе в направлении поперек потока рассматриваются как вертикальные плиты, защемленные в основание. При расчете контрфорса на основное и особые сочетания нагрузок и воздействий, не включающие сейсмические, верховая и низовая грани расчетной плиты принимаются свободными; при расчете на особое сочетание нагрузок, содержащее сейсмические воздействия, верховая грань, а при наличии низового перекрытия и низовая грань плиты рассматриваются как свободно опертые. Жесткость плиты определяется с учетом верхового и низового оголовков.
При расчете контрфорсов на прочность в плоскости поперек потока независимо от высоты и класса сооружения для боковых граней контрфорсов следует соблюдать условия прочности:
- при расчете на основные и особые сочетания нагрузок и воздействий, не включающие сейсмические воздействия:
σy ≤ 0;
- при расчете на особое сочетание нагрузок и воздействий, включающее сейсмические воздействия на уровне ПЗ:
dt ≤ 0,2t1
где σy - нормальные суммарные напряжения по горизонтальным площадкам, определенные расчетами прочности контрфорса в плоскости вдоль потока на нагрузки и воздействия основных сочетаний в плоскости поперек потока на сейсмические воздействия или на гидростатическую нагрузку при пропуске расходов между контрфорсами;
dt - глубина зоны действия растягивающих напряжений у боковой грани контрфорса;
t1 - толщина контрфорса.
В случае расчета общей прочности контрфорсной плотины в направлении поперек потока на сейсмические воздействия на уровне МРЗ условия прочности контрфорсов следует назначать в соответствии с указаниями 10.19 настоящего приложения.
В схемах расчета контрфорсов на изгиб поперек потока следует учитывать конструкцию водосбросных устройств и других элементов, повышающих жесткость сооружения в этом направлении.
11.26 Расчет напорных перекрытий на прочность в зависимости от класса и высоты контрфорсной плотины следует выполнять на те же нагрузки и воздействия и их сочетания, что и расчет прочности контрфорсов.
В случае расчета прочности напорных перекрытий контрфорсной плотины на сейсмические воздействия на уровне МРЗ условия их прочности следует назначать в соответствии с указаниями 10.19 настоящего приложения.
11.27 При расчете верхового оголовка контрфорса массивно-контрфорсной плотины на прочность методом сопротивления материалов, принимается, что к оголовку на участке его примыкания к контрфорсу прикладываются равномерно распределенные нормальные силы, уравновешивающие внешнюю нагрузку на оголовки; при расчете оголовка методами теории упругости оголовок рассматривается как жестко защемленный в тело контрфорса.
При расчете верховых оголовков контрфорсов массивно-контрфорсных плотин на прочность, независимо от высоты сооружения, во всех точках оголовка должны выполняться условия прочности:

где γn, γlc, γcd, σz, Rbtτ, Rbτ - 10.25 настоящего приложения.
В зонах верхового оголовка контрфорса массивно-контрфорсной плотины, испытывающих растяжение в направлении оси плотины, следует предусматривать конструктивное армирование.
11.28 При расчете прочности арочного напорного перекрытия методами сопротивления материалов рассматривается однопролетная арка, а при расчете методами теории упругости однопролетная цилиндрическая оболочка. Расчеты выполняются с учетом реальной схемы опирания арочного напорного перекрытия на контрфорсы.
Плоские напорные перекрытия следует рассматривать при расчете методами сопротивления материалов как однопролетную балку, а при расчете методами упругости -как однопролетную плиту.
Условия прочности арочных и плоских напорных перекрытий следует принимать согласно указаниям приложения Г Стандарта.
11.29 Расчет элементов контрфорсной плотины на местную прочность следует производить на те же сочетания нагрузок и воздействий, что и расчет общей прочности плотины.
Расчет местной прочности водосливного носка, быков, раздельных и ограждающих стен, конструкций водоприемных отверстий турбинных водоводов и элементов строительных и эксплуатационных водосбросов, определение местных напряжений вокруг отверстий и других проемов в контрфорсах должен выполняться в соответствии с 10.25 и 10.26 настоящего приложения.
Расчет консольных выступов контрфорсов плотин с арочными и плоскими перекрытиями на местную прочность, а также расчет плит низового перекрытия надлежит производить согласно указаниям приложения Г Стандарта.
11.30 Расчет устойчивости контрфорсных плотин надлежит производить в соответствии с 10.29, 10.30 настоящего приложения.
Для массивно-контрфорсных плотин следует выполнять расчет устойчивости отдельно стоящих секций; для плотин с арочными и плоскими перекрытиями - отдельно стоящих контрфорсов.
11.31 Глубину заделки крупных разрывных нарушений в скальном основании следует определять по результатам расчета напряженного состояния плотины совместно со скальным основанием с учетом неоднородности основания, при этом должны выполняться условия прочности в соответствии с 11.20 настоящего приложения.
11.32 Расчет прочности контрфорсных плотин и их элементов в строительный период следует выполнять в соответствии с указаниями 10.33 настоящего приложения.
11.33 Бетонные конструкции контрфорсных плотин всех классов, независимо от высоты сооружений, следует рассчитывать по образованию трещин от температурных воздействий в соответствии с 10.34 настоящего приложения.
Конструирование плотин и их элементов
12.1 Конструирование арочных и арочно-гравитационных плотин и их элементов следует выполнять в соответствии с указаниями раздела 6 и настоящего раздела.
12.2 Створ арочной или арочно-гравитационной плотины следует выбирать путем технико-экономического сопоставления вариантов, исходя из минимума приведенных затрат. Предпочтительными являются створы с относительно малой шириной ущелья и с V-образной симметричной формой поперечного сечения, сложенные достаточно прочными и однородными по деформируемости породами.
12.3 Сопряжение арочной или арочно-гравитационной плотины с основанием осуществляется с врезкой ее примыканий в берега и приданием контуру плотины плавного очертания. Рациональная глубина врезки определяется, исходя их необходимости обеспечения устойчивости береговых упоров и благоприятного напряженного состояния в теле плотины и скальных примыканиях при минимуме суммарной стоимости приведенных затрат по комплексу плотина-основание в целом.
12.4 На начальных стадиях проектирования выбор конструкции и формы плотины допускается проводить на основании приближенных методов расчета и аналогов.
При вписывании плотины в скальный массив следует придерживаться принципа гладкости и непрерывности всех геометрических параметров плотины.
12.5 Вертикальные кривизны плотины устанавливаются исходя из условия обеспечения благоприятного напряженного состояния сооружения и при необходимости корректируются в соответствии с условием автостабильности (устойчивости отдельно стоящих столбов и секций в строительный период) с учетом схемы возведения плотины, конструкции и сроков замоноличивания межсекционных швов, использования поддерживающих конструкций (временных или постоянных), подъема уровня воды, а также возможности образования ледяных полей в верхнем бьефе плотины и давления льда.
12.6 Арочные и арочно-гравитационные плотины рекомендуется проектировать:
- при lch/h < 2 (где lch - длина хорды арки по гребню плотины, h - высота плотины) и треугольной формы ущелья - с арками кругового очертания постоянной толщины или с местными утолщениями у пят;
- при 2 ≤ lch/h ≤ 3, при трапецеидальной или близкой к ней форме ущелья - двоякой кривизны с арками переменной толщины и кривизны;
- при lch/h > 3 в симметричных створах - двоякой кривизны, с арками, как правило, постоянной толщины и кривизны, при этом кривизна в вертикальном направлении выбирается из условия получения оптимального напряженного состояния плотины;
- в несимметричных створах и на неоднородных основаниях - с арками некруглого очертания переменной толщины.
12.7 В целях борьбы с температурным трещинообразованием и неравномерными осадками следует предусматривать разрезку плотины поперечными (межсекционными) швами, которые необходимо омоноличивать перед заполнением водохранилища.
Выбор кривизны плотины как в горизонтальном, так и в вертикальном направлениях производится из условия оптимального напряженного состояния сооружения.
Поверхности швов арочных плотин следует проектировать штраблеными; отказ от устройства штраб должен иметь специальное обоснование.
Для плотин небольшой высоты, а также имеющих форму, близкую к цилиндрической, межсекционные швы проектируются плоскими вертикальными. В общем случае проектирование межсекционных швов арочных плотин определяется следующими конструктивными и прочностными требованиями:
- линии пересечения поверхности шва с горизонтальными арками должны быть ортогональными осям последних, образуя геликоидальную форму поверхности шва;
- траектории швов на срединной поверхности плотины должны быть максимально приближены к вертикали;
- поверхность шва должна иметь минимальные удаления от вертикальной плоскости;
- углы пересечения средних линий швов со средней линией поверхности контакта с основанием (или периметрального) шва должны, по возможности, быть близки к прямым.
12.8 Последовательность омоноличивания и температуры замыкания швов должна определяться с учетом напряженного состояния плотины, обеспечения необходимой для цементации величины раскрытия швов и технико-экономической целесообразности осуществления мероприятий по охлаждению бетонной кладки до принятых температур за- мыкания.
В проекте следует рассматривать целесообразность регулирования не только средних температур, но и температурных градиентов при замыкании. Наиболее простым способом регулирования температурных градиентов является установка змеевиков системы охлаждения с переменным по толщине плотины шагом.
12.9 При сопряжении плотины с основанием в необходимых случаях следует предусматривать:
- заделку разломов, сбросов, крупных трещин и пустот путем устройства бетонных и железобетонных решеток, пробок, шпонок или сплошных бетонных массивов, цементации;
- устройство подземных железобетонных стенок, контрфорсов, каркасов, свай для передачи усилия от плотины вглубь скального массива с повышенными прочностными характеристиками грунтов;
- применение анкеров, предварительно напряженных или ненапряженных, бетонных плит и подпорных стен или их сочетаний.
12.10 Опирание плотины на основание следует принимать по поверхности, нормальной к осям арок плотины. При этом по контуру плотины при необходимости надлежит предусматривать устройство конструкций, улучшающих условия опирания (береговые устои, седло, пробка, незамоноличенные строительные швы в верхней части береговых секций плотины и др.). Допускается очертание пяты арки принимать криволинейным или полигональным.
Для уменьшения напряжений на контакте плотины с основанием следует рассматривать устройство местного утолщения плотины по опорному контуру.
Арочную плотину необходимо отделять конструктивным швом от пробки, расположенной в наиболее узкой щелевидной части ущелья.
12.11 При проектировании сопряжения плотины с основанием в случае возникновения растягивающих напряжений на контакте плотины с основанием в зоне верховой грани следует предусматривать:
- наклон нижнего участка верховой грани путем смещения в нижний бьеф нижележащих горизонтальных сечений относительно вышележащих с целью компенсации растягивающих напряжений действием веса бетонной кладки;
- устройство шва-надреза (согласно указаниям 10.4 настоящего приложения);
- устройство выносной цементационной завесы, короткого бетонного понура с гидроизоляцей. Сопряжение его с напорной гранью плотины следует осуществлять в соответствии с требованиями 9.34 настоящего приложения.
Следует также рассматривать целесообразность устройства в основании перед плотиной вертикальной прорези (щели) глубиной (5-10) % от высоты плотины.
12.12 Водосбросные устройства арочных и арочно-гравитационных плотин следует проектировать с учетом соответствующих требований 6.35 - 6.42, 8.29 - 8.31 и 10.11 настоящего приложения.
При надлежащем обосновании допускается применять сопряжение бьефов свободным падением струи с водосливного оголовка (с устройством носка-трамплина или без него) на некрепленое или крепленое русло реки. При специальном обосновании допускается падение сбрасываемого потока на склоны ущелья выше уровня воды в нижнем бьефе.
Расчеты плотин на прочность и устойчивость
12.13 Расчеты арочных и арочно-гравитационных плотин следует производить в соответствии разд. 7 и 8 настоящего приложения и указаниями настоящего раздела.
12.14 Для плотин I и II классов, а также для плотин всех классов в особо сложных инженерно-геологических условиях и при применении новых конструктивных решений, не испытанных в эксплуатации, в дополнение к расчетным исследованиям целесообразно проведение экспериментальных исследований.
В этих случаях исследования рекомендуется проводить на геомеханических моделях с целью оценки запаса прочности системы «плотина - основание» по разрушающей нагрузке.
12.15 Расчет напряженно-деформированного состояния арочных и арочно-гравитационных плотин следует производить с учетом последовательности возведения плотины, омоноличивания швов и наполнения водохранилища, применяя: метод трехмерных конечных элементов в трехмерных условиях, метод пробных нагрузок при сращивании перемещений арок и консолей не менее трех видов; метод суперэлементов; численные методы, основанные на теории оболочек средней толщины.
Расчеты плотин IV класса, а также предварительные расчеты плотин всех классов допускается выполнять упрощенными методами (метод арки - центральной консоли, сокращенный метод пробных нагрузок, по теории тонких оболочек и др.).
В необходимых случаях выполняются расчеты с учетом раскрытия шва или разуплотнения скальных пород на контакте плотины с основанием со стороны верхнего бьефа, а также раскрытия строительных швов и трещин в теле плотины.
12.16 При расчете арочных и арочно-гравитационных плотин с учетом раскрытия строительных швов и трещин, оценка прочности сооружения производится по прочности бетона сжатой зоны.
Оценку прочности следует выполнять с учетом повышения расчетного сопротивления бетона при всестороннем сжатии.
12.17 Расчеты прочности и устойчивости плотин на сейсмические воздействия следует производить в соответствии с 10.16 и 10.20 настоящего приложения для наиболее неблагоприятного направления этих воздействий, а при расчете по динамической теории сейсмостойкости - с учетом трех (при решении пространственных задач) или двух (при решении плоских задач) компонент сейсмического воздействия.
При проектировании плотин на сейсмические воздействия следует выполнять расчеты прочности с учетом раскрытия строительных швов и трещин. Расчеты следует производить для различных уровней верхнего бьефа.
12.18 Для арочных и арочно-гравитационных плотин следует выполнять расчеты устойчивости береговых скальных упоров с учетом их напряженно-деформированного состояния при совместной работе упоров с плотиной.
Для плотин в широких створах (при lch/h > 3), кроме того, надлежит также выполнять расчет общей устойчивости плотины совместно со скальным основанием. Во всех случаях надлежит выполнять расчет местной прочности (устойчивости) в основании плотины.
12.19 При расчете устойчивости береговых упоров и напряженно-деформированного состояния основания плотин учитываются следующие нагрузки и воздействия: усилия, передающиеся от плотины, собственный вес скального блока, фильтрационные и сейсмические воздействия.
12.20 Расчет устойчивости береговых упоров должен производиться, исходя из анализа предельного состояния отдельных скальных блоков, выделяемых с учетом инженерно-геологических, геокриологических и топографических условий. Устойчивость берегового упора, определяется по результатам расчета наименее устойчивого скального блока.
12.21 Расчет общей устойчивости арочной и арочно-гравитационной плотины следует производить исходя из наиболее вероятной кинематической схемы перемещения плотины совместно с основанием в предельном состоянии.
Кинематическая схема потери устойчивости арочной плотины должна быть такой, чтобы в процессе виртуального перемещения силы сопротивления сдвигу не увеличивались бы. Этому условию удовлетворяют расчетные поверхности сдвига в скальном основании и береговых упорах, по которым при виртуальном перемещении хорды арок не укорачиваются.
12.22 При расчетах прочности и устойчивости арочных и арочно-гравитационных плотин, кроме коэффициентов условий работы γcd, приведенных в таблице В.8, следует учитывать коэффициенты условий работы γcda, приведенные в таблице В.15.
Таблица В.15 - Значения коэффициента условий работы арочных плотин
|
Виды расчетов |
Коэффициент условий работы |
|
1 Расчеты общей прочности арочных и арочно-гравитационных плотин: |
|
|
- по растяжению |
γtcda,1 = 2,4 |
|
- по сжатию |
γccda,1 = 0,9 |
|
2 Расчеты устойчивости: |
|
|
- общей устойчивости плотин при учете нагрузок основных и особых сочетаний без сейсмических воздействий; |
γcda,2 = 1,0 |
|
- общей устойчивости плотин при учете сейсмических воздействий на уровне ПЗ; |
γcda,2 = 1,1 |
|
- общей устойчивости плотин в широких створах (при lch/h > 3); |
γcda,3 = 1,1 |
|
- устойчивости береговых упоров плотин при учете нагрузок основных и особых сочетаний без сейсмических воздействий; |
γcda,2 = 0,75 |
|
- устойчивости береговых упоров при учете сейсмических воздействий на уровне ПЗ; |
γcda,2 = 0,80 |
|
- устойчивости береговых упоров плотин, возводимых на многолетнемерзлых породах. |
γcda,4 = 0,85 |
|
Примечание - При наличии нескольких факторов, действующих одновременно, в расчет вводится произведение соответствующих коэффициентов условий работы (например, при расчетах общей устойчивости плотин в широких створах с учетом сейсмических воздействий γcda = 1,1×1,1 =1,21). |
|
12.23 При расчете плотины следует учитывать влияние на ее несущую способность водоподъемных и водосбросных сооружений, расположенных в теле плотин.
При расчете арочной и арочно-гравитационной плотины на общую прочность без учета особенностей работы отдельных элементов (быки, гребень, водосливы, элементы водоприемника, напорные трубопроводы и др.) указанные элементы необходимо рассчитывать на местную прочность.
12.24 Расчеты напряженно-деформированного состояния и местной прочности основания арочных и арочно-гравитационных плотин I и II классов следует производить в соответствии с приложением А Стандарта. При этом учитывается возможность образования областей пластических деформаций в береговых примыканиях плотины. Если условия прочности для поверхностей ослабления скального массива не выполняются, следует предусматривать мероприятия согласно 12.9 настоящего приложения.
При наличии достоверных данных рекомендуется учитывать в расчетах напряженного состояния и оценке прочности основания естественное (бытовое) поле напряжений.
13.1 Для обеспечения безопасности плотин необходимо предусматривать комплекс инженерно-технических и организационных мероприятий, в том числе:
- установление в проекте критериев безопасности конкретного сооружения, характеризующих безопасность сооружения (перемещения, деформации, напряжения, фильтрационные расходы, пьезометрические напоры фильтрационных вод и др.);
- оснащение гидротехнических сооружений техническими средствами, обеспечивающими контроль за их состоянием, организация и проведение натурных наблюдений за состоянием сооружений;
- проведение регулярных обследований сооружений.
Натурные наблюдения
13.2 В проектах бетонных и железобетонных плотин I, II и III классов, в их основании и береговых примыканиях необходимо предусматривать установку контрольно-измерительной аппаратуры (КИА) для проведения натурных наблюдений за состоянием сооружений, их оснований и береговых примыканий как в период строительства, так и в процессе эксплуатации с применением, как правило, средств автоматизированного сбора информации о состоянии сооружения.
Для плотин IV класса установку КИА следует обосновать.
13.3 Натурные наблюдения на бетонных и железобетонных плотинах подразделяются на контрольные и специальные.
Состав и объем натурных наблюдений и исследований должны предусматриваться проектом, разрабатываемым совместно с научно-исследовательскими организациями, включающими, в том числе, схему размещения КИА и программу наблюдений.
13.4 Состав контролируемых на объекте параметров должен позволять оценивать прочность, устойчивость, водонепроницаемость и долговечность плотины, а также пропускную способность водопропускных сооружений гидроузла. Для этого необходимо знать, с одной стороны, действующие на сооружение нагрузки и воздействия, с другой стороны параметры его состояния.
В общем случае при осуществлении контрольных натурных наблюдений за работой бетонных плотин в состав наблюдаемых параметров входят:
- уровень воды в верхнем и нижнем бьефах;
- уровень наносов в водохранилище и их физико-механические характеристики;
- противодавление воды по контакту сооружения с основанием и в теле плотины;
- температура окружающего воздуха и воды водохранилища;
- параметры геологической среды (сопротивление сдвигу, коэффициент фильтрации, модуль деформации и др.);
- фильтрационный расход через тело плотины, основание и береговые примыкания;
- химический состав воды водохранилища и профильтровавшейся воды;
- химическая и механическая суффозия грунтов основания;
- физико-механические характеристики бетона различных зон плотины (прочность, водонепроницаемость, морозостойкость, динамический модуль упругости и др.);
- механические повреждения бетонной кладки;
- деформированное состояние сооружения (сдвиг, прогиб, наклон, осадка, раскрытие деформационных швов, взаимное смещение секций, трещины в бетонной кладке и раскрытие строительных швов и др.);
- температурное состояние плотины;
- напряженное состояние плотины, трещины в бетонной кладке плотин;
- гидравлика потока на водосбросных сооружениях и в бьефах;
-повреждения бетонных поверхностей водосливных граней, пазов затворов и зон переменного уровня воды;
- повреждения водобойных устройств (водобой, рисберма, переходное крепление);
- размывы основания в нижнем бьефе гидроузлов;
- напряженное и деформированное состояние береговых склонов.
В состав контрольных натурных наблюдений за работой железобетонных плотин или железобетонных элементов бетонных плотин (быки, турбинные водоводы и др.) кроме перечисленных выше показателей состояния могут быть включены также:
- потерю бетоном защитных свойств по отношению к арматуре (карбонизация бетона, его выщелачивание и т.п.);
- напряжения в арматуре, в том числе в арматуре анкерного понура;
- трещины в бетоне;
- трещины в защитном слое бетона вдоль стержней арматуры;
- отслоение защитного слоя бетона;
- коррозию арматуры;
- механические повреждения арматуры.
13.5 Контрольные наблюдения организуются для систематического наблюдения за состоянием сооружений и на этой основе - для оценки безопасности плотины в условиях ее нормальной эксплуатации, возможности возникновения аварийной ситуации в результате каких-либо чрезвычайных воздействий и для принятия мер, адекватных степени выявленной опасности, а в период строительства - для внесения при необходимости корректировки в условия производства строительных работ. Объем и содержание контрольных наблюдений должны соответствовать указаниям Стандарта.
13.6 Специальные наблюдения организуются с исследовательскими целями для получения данных, связанных с необходимостью подтверждения проектных решений, совершенствования методов расчетов, модельных исследований, определения в натурных условиях основных механических характеристик бетона, выбора оптимальных методов производства работ и условий эксплуатации. Объем и содержание специальных натурных наблюдений определяются программами исследований в соответствии с изучаемыми на данной плотине вопросами.
Для плотин, возводимых в северной строительно-климатической зоне, проектом должна предусматриваться организация натурных наблюдений на их гидромеханическом оборудовании.
13.7 Натурные наблюдения проводятся в строительный период, во время наполнения водохранилища и при эксплуатации.
Программа натурных наблюдений и исследований должна учитывать конкретные условия строительства и эксплуатации сооружений, содержать состав и контрольные значения характеристик измеряемых величин на строящемся и эксплуатируемом сооружении, соответствующих его нормальному (по проекту) состоянию при максимальных и иных возможных нагрузках и воздействиях, а также включать методические указания по диагностике сооружений для различных этапов его строительства и эксплуатации.
13.8 В проектах бетонных и железобетонных плотин I класса при расчетной сейсмичности площадки строительства 7 баллов и выше, а также плотин II класса при расчетной сейсмичности площадки строительства 8 баллов и выше следует предусматривать систему геодинамического мониторинга в соответствии с указаниями приложения Д Стандарта.
Обследование плотин
13.9 В соответствии со статьей 9 Закона Российской Федерации «О безопасности гидротехнических сооружений» в целях контроля за состоянием гидротехнических сооружений, в том числе плотин, должны проводиться регулярные обследования сооружений.
13.10 Результаты обследований гидротехнических сооружений оформляются в виде Акта обследования установленной формы с заключением об уровне безопасности гидротехнических сооружений (соответствии сооружений нормативным критериям безопасности) и перечнем мер (в случае необходимости) повышения надежности и обеспечения безопасности гидротехнических сооружений.
Оценка безопасности плотин
13.11 Оценка безопасности плотин - главная задача и итоговый результат комиссий по их обследованию, фиксируемый в Актах обследования.
Оценка безопасности каждого конкретного сооружения гидроузла, в том числе бетонных и железобетонных плотин, осуществляется путем сравнения имеющихся на момент обследования значений контролируемых нагрузок и воздействий с принятыми в проекте и значений контролируемых показателей состояния плотины, определяющих ее прочность и устойчивость, а для водосбросных плотин - также пропускную способность, с нормативными критериями безопасности, содержащимися в разделах 8 - 12 настоящего приложения.
При этом должны быть приняты во внимание и в полной мере учтены закономерности и тенденции изменения значений контролируемых параметров системы “плотина-основание”, за которым ведутся наблюдения в ходе эксплуатации, и которые прямо или косвенно характеризуют состояние сооружения и происходящие в нем процессы. Значения контролируемых показателей состояния сооружения (перемещения, напряжения, пьезометрический напор, расход профильтровавшейся воды и др.), накопленные в результате натурных наблюдений, должны быть сопоставлены с критериальными значениями этих показателей.
13.12 Критериальные значения контролируемых показателей состояния конкретного сооружения устанавливаются в проекте и уточняются в процессе эксплуатации объекта.
А - площадь подошвы секции плотины;
Ared - площадь приведенного горизонтального сечения контрфорса;
As - площадь сечения арматуры;
Eb - начальный модуль упругости тяжелого бетона;
Ebd - расчетное значение модуля упругости тяжелого бетона;
Es - модуль упругости арматуры;
F - расчетное значение обобщенного силового воздействия;
Hu - напор со стороны верхнего бьефа;
Ht - напор со стороны нижнего бьефа;
Hd - напор над расчетным сечением;
Hdr - остаточный фильтрационный напор по оси дренажа;
Hos - остаточный фильтрационный напор по оси цементационной завесы;
Icz,m - критический средний градиент напора;
Jadm - допускаемый градиент напора;
Jred - момент инерции приведенного горизонтального сечения контрфорса;
М - момент силы, изгибающий момент;
N - нормальная сила;
Pws - давление наносов со стороны верхнего бьефа;
Q - сила сдвига;
R - расчетное значение обобщенной несущей способности;
Rb - призменная прочность бетона;
Rbt - сопротивление бетона осевому растяжению;
Uf - фильтрационное противодавление на отдельных участках подземного контура плотины;
Uv - взвешивающее противодавление;
Wx, Wy - моменты сопротивления сечения относительно осей х-х и у-у;
adr - расстояние от напорной грани плотины до оси дренажа;
b - ширина плотины по основанию;
t - ширина секции плотины;
dt - глубина зоны растяжения в горизонтальных сечениях тела плотины и контактном сечении;
dt, lim - предельная глубина зоны растяжения у верховой грани плотины;
g - ускорение свободного падения;
h - высота плотины;
hws - высота наносов перед плотиной;
k - коэффициент фильтрации;
ky - коэффициент постели грунтов при сжатии;
kx - коэффициент постели грунтов при сдвиге;
lu, lt - расчетная длина действия давления воды со стороны соответственно верхнего и нижнего бьефа;
mu, mt - наклоны верховой и низовой граней плотины на уровне расчетного сечения;
α2 - коэффициент эффективной площади противодавления;
γlc - коэффициент сочетания нагрузок;
γn - коэффициент надежности по назначению сооружения;
γcd - коэффициент условий работы плотин;
γcdа - коэффициент условий работы арочных плотин;
γws - удельный вес грунта наносов во взвешенном состоянии;
ρw - плотность воды;
v - коэффициент Пуассона грунта;
σ - нормальные напряжения;
τ - касательные напряжения.
Таблица В.2.1 - Значения коэффициентов сочетания нагрузок γlс
|
Группа предельных состояний |
Сочетание нагрузок |
γlс |
|
Расчеты по первой группе предельных состояний |
Основное сочетание нагрузок и воздействий в период нормальной эксплуатации; |
1,0 |
|
то же для периодов строительства и ремонта; |
0,95 |
|
|
Особые сочетания нагрузок и воздействий, включающие особые нагрузки повторяемостью 1 раз в 100 или менее лет; |
0,95 |
|
|
то же, включающее особые нагрузки повторяемостью 1 раз в 100 лет (в том числе сейсмические нагрузки уровня МРЗ повторяемостью 1 раз в 3000 лет). |
0,90 |
|
|
Расчеты по второй группе предельных состояний |
При всех сочетаниях нагрузок и воздействий |
1,0 |
Таблица В.2.2 - Значения коэффициента надежности по ответственности (назначению) сооружения γn
|
Группа предельных состояний |
Класс сооружения |
γn |
|
|
I |
1,25 |
|
|
II |
1,20 |
|
Расчеты по первой группе предельных состояний |
III |
1,15 |
|
|
IV |
1,10 |
|
Расчеты по второй группе предельных состояний |
Для всех классов |
1,0 |
|
Примечание - При расчете устойчивости естественных склонов γn следует принимать соответствующим классу рядом расположенного сооружения в том случае, если разрушение склона может привести сооружение в непригодное для эксплуатации сооружение; в остальных случаях следует принимать γn = 1,0. |
||
Сведения о разработчиках
Разработаны: ОАО «ВНИИГ им. Б.Е.Веденеева» с участием ОАО «НИИЭС», ОАО «Институт Гидропроект» и ОАО «Ленгидропроект», внесены РАО «ЕЭС России» Минтопэнерго России.
Исполнители:
А.В. Караваев, инж. (руководитель темы), Судаков В.Б., д.т.н., Дурчева В.Н., к.т.н., Ламкин М.С., к.т.н., Кривоногова Н.Ф., к.т.н., Векслер А.Б., инж., Рубинштейн Г.Л., инж., Швайнштейн A.M., к.т.н., Мгалобелов Ю.Б., д.т.н, Сергеев И.П., инж., Лашманова В.С., инж., Боярский В.М., инж., Суслопаров В.А., инж., Рубин О.Д., д.т.н.
ГИДРОТЕХНИЧЕСКИЕ
СООРУЖЕНИЯ ГЭС И ГАЭС.
УСЛОВИЯ СОЗДАНИЯ.
НОРМЫ И ТРЕБОВАНИЯ
ПРИЛОЖЕНИЕ
Книга 3
Требования настоящего приложение распространяются на проектирование вновь строящихся, реконструируемых и ремонтируемых речных и морских бетонных и железобетонных гидротехнических сооружений всех классов, входящих в состав энергетических и воднотранспортных гидроузлов; сооружений для борьбы с наводнениями и защиты территории от затопления и подтопления; а также при расчетной оценке состояния эксплуатируемых сооружений (в том числе с учетом данных натурных наблюдений и обследований).
В проектах сооружений, предназначенных для строительства в сейсмических районах, в Северной строительно-климатической зоне, в районах распространения просадочных, набухающих и слабых по физико-механическим свойствам грунтов, должны соблюдаться дополнительные требования, предъявляемые к таким сооружениям соответствующими нормативными документами.
Основные буквенные обозначения, принятые в настоящем приложении, приведены в справочном приложении Г.1.
Термины и определения, использованные в данном документе, кроме приведенных ниже, даны в трактовке СО 34.21.307-2005 «Безопасность гидротехнических сооружений. Основные понятия. Термины и определения».
2.1 бетонная конструкция: Конструкция, выполненная из бетона без арматуры или с небольшим количеством арматуры, установленной по конструктивным соображениям; расчетные усилия от собственного веса и внешних нагрузок и воздействий в бетонной конструкции воспринимаются бетоном.
2.2 железобетонная конструкция: Конструкция выполненная из бетона и рабочей стальной арматуры; расчетные усилия от собственного веса и внешних нагрузок и воздействий в железобетонной конструкции воспринимаются бетоном и рабочей арматурой.
2.2.1 сталежелезобетонная конструкция: Конструкция, выполненная из бетона, рабочей стержневой арматуры и внешней рабочей арматуры из листового проката; расчетные усилия от собственного веса и внешних нагрузок и воздействий в сталежелезобетонной конструкции воспринимаются бетоном и рабочей стержневой и листовой арматурой.
2.2.2 сталебетонная конструкция: Конструкция, выполненная из бетона и внешней рабочей арматуры из листового проката; расчетные усилия от собственного веса и внешних нагрузок и воздействий в сталебетонной конструкции воспринимаются бетоном и листовой арматурой.
3.1 При проектировании бетонных и железобетонных конструкций гидротехнических сооружений необходимо соблюдать требования, изложенные в Приложении Ж и в других приложениях к Стандарту.
3.2 Выбор типа бетонных и железобетонных конструкций (монолитных, сборно-монолитных, сборных, в том числе предварительно напряженных и заанкеренных в основание) должен производиться исходя из условий технико-экономической целесообразности их применения в конкретных условиях строительства с учетом максимального снижения трудоемкости, энергоемкости и стоимости строительства.
При выборе элементов сборных конструкций следует рассматривать целесообразность применения предварительно напряженных конструкций из высокопрочных бетонов и арматуры.
Типы конструкций, основные размеры их элементов, а также степень насыщения железобетонных конструкций арматурой необходимо принимать на основании сравнения технико-экономических показателей вариантов.
3.3 Элементы сборных конструкций должны отвечать условиям механизированного изготовления на специализированных предприятиях.
Следует рассматривать целесообразность укрупнения сборных конструкций с учетом условий их изготовления, транспортировки и грузоподъемности монтажных механизмов.
3.4 Для монолитных конструкций следует предусматривать унифицированные размеры, позволяющие применять инвентарную опалубку.
3.5 Конструкции узлов и соединений элементов в сборных конструкциях должны обеспечивать надежную передачу усилий, прочность самих элементов в зоне стыка, а также связь дополнительно уложенного бетона в стыке с бетоном конструкции.
3.6 При проектировании конструкций гидротехнических сооружений, недостаточно апробированных практикой проектирования и строительства, для сложных условий статической и динамической работы конструкции (когда характер напряженно-деформированного состояния с необходимой достоверностью не может быть определен расчетом) в дополнение к расчетам необходимо предусматривать проведение экспериментальных исследований.
3.7 Для обеспечения требуемой водонепроницаемости и морозостойкости конструкций необходимо предусматривать следующие мероприятия:
укладку бетона соответствующих марок по водонепроницаемости и морозостойкости со стороны напорной грани и наружных поверхностей (особенно в зонах переменного уровня воды);
применение поверхностно-активных добавок к бетону (воздухововлекающих, пластифицирующих и др.);
устройство противофильтрационных элементов (уплотнений) в деформационных швах и применение специальной технологии подготовки горизонтальных строительных швов.
3.8 Для уменьшения противодавления воды в расчетных сечениях следует предусматривать устройство дренажа со стороны напорной грани.
Бетон
4.1 Бетон для бетонных и железобетонных конструкций гидротехнических сооружений должен удовлетворять требованиям ГОСТ 26633-91 «Бетоны тяжелые и мелкозернистые. Технические условия» и указаниям настоящего раздела.
4.2 При проектировании бетонных и железобетонных конструкций гидротехнических сооружений в зависимости от вида и условий работы необходимо устанавливать показатели качества бетона, основными из которых являются следующие:
- классы бетона по прочности на сжатие, которые отвечают значению гарантированной прочности бетона, МПа, с обеспеченностью q = 0,95. В массивных сооружениях допускается применение бетонов со значениями гарантированной прочности с обеспеченностью q = 0,90.
Для внутренней зоны бетонных гравитационных плотин допускается применение бетонов со значениями гарантированной прочности с обеспеченностью q = 0,85.
В проектах необходимо предусматривать следующие классы бетона по прочности на сжатие: В5; В7,5; В10; В12,5; В15; В17,5; В20; В22,5; В25; В27,5; В30; В35; В40.
При надлежащем обосновании допускается устанавливать промежуточные значения классов бетона по прочности на сжатие, отличающиеся от перечисленных выше. Характеристики этих бетонов следует принимать по интерполяции.
- классы бетона по прочности на осевое растяжение.
Эту характеристику устанавливают в тех случаях, когда она имеет главенствующее значение и контролируется на производстве.
В проектах необходимо предусматривать следующие классы бетона по прочности на осевое растяжение: Bt0,8; Bt1,2; Bt1,6; Bt2,0; Bt2,4; Bt2,8; Bt3,2.
- марки бетона по морозостойкости.
В проектах необходимо предусматривать следующие марки бетона по морозостойкости: F50; F75; F100; F150; F200; F300; F400; F500; F600; F700; F800; F1000.
- марки бетона по водонепроницаемости.
В проектах необходимо предусматривать следующие марки бетона по водонепроницаемости: W2; W4; W6; W8; W10; W12; W14; W16; W18; W20.
4.3 К бетону конструкций гидротехнических сооружений могут предъявляться дополнительные, устанавливаемые в проектах и подтверждаемые экспериментальными исследованиями требования: по прочности на сдвиг горизонтальных строительных швов, предельной растяжимости, сопротивляемости истиранию потоком с донными и взвешенными наносами, стойкости против кавитации, тепловыделению при твердении бетона, отсутствию вредного взаимодействия щелочей цемента с заполнителями и др.
Значения предельной растяжимости бетона и сдвиговой прочности горизонтальных строительных швов приведены соответственно в таблицах Г.2.6 и Г.2.8 рекомендуемого приложения Г.2.
4.4 Требования к бетону конструкций гидротехнических сооружений по прочности на сжатие и растяжение, морозостойкости, водонепроницаемости и т.д. необходимо устанавливать дифференцированно по зонам сооружения, при этом требования к техническим характеристикам бетона должны соответствовать фактическим условиям работы бетона различных зон и частей сооружений в период строительства и эксплуатации.
4.5 Срок твердения (возраст) бетона, отвечающий его классам по прочности на сжатие, на осевое растяжение и марке по водонепроницаемости, принимается, как правило, для конструкций речных гидротехнических сооружений 180 сут., для сборных и монолитных конструкций морских и речных портовых сооружений - 28 сут. Срок твердения (возраст) бетона, отвечающий его проектной марке по морозостойкости, принимается 28 сут.
Примечание - Если известны сроки фактического нагружения конструкций, способы их возведения, условия твердения бетона, вид и качество применяемого цемента, то допускается устанавливать класс и марки бетона в ином возрасте.
4.6 Классы бетона по прочности на сжатие и растяжение должны назначаться в зависимости от уровня напряжений в расчетных зонах сооружения с учетом фактического времени нагружения конструкций.
Для железобетонных элементов из тяжелого бетона, рассчитываемых на воздействие многократно повторяющейся нагрузки, и железобетонных сжатых стержневых конструкций (набережные типа эстакад на сваях, сваях-оболочках и т.п.) следует применять бетон класса по прочности на сжатие не ниже В20.
Для предварительно напряженных элементов следует принимать бетон класса по прочности на сжатие: не менее В15 - для конструкций со стержневой арматурой; не менее В30 - для элементов, погружаемых в грунт забивкой или вибрированием.
4.7 Требования по морозостойкости предъявляются только к бетону, который находится в зоне переменного уровня воды, и наружному надводному бетону. Марку бетона по морозостойкости следует назначать в зависимости от климатических условий района строительства и числа расчетных циклов (смен) попеременного замораживания и оттаивания в течение года (по данным долгосрочных наблюдений), с учетом эксплуатационных условий.
Для конструкций и частей сооружений в зоне переменного уровня воды (включая 0,5 - метровую зону над ней) марку бетона по морозостойкости следует принимать по таблице Г.1.
Таблица Г.1
|
Климатические условия |
Марка бетона по морозостойкости при числе циклов попеременного замораживания и оттаивания в год |
|||||
|
≤25 |
26-50 |
51-100 |
101-150 |
151-200 |
201-250 |
|
|
Умеренные |
F50 |
F100 |
F150 |
F200 |
F300 |
F400 |
|
Суровые |
F100 |
F150 |
F200 |
F300 |
F400 |
F600 |
|
Особо суровые |
F200 |
F300 |
F400 |
F500 |
F600 |
F800 |
|
Примечания 1 Климатические условия характеризуются среднемесячной температурой наиболее холодного месяца: умеренные - выше -10° С; суровые - от -10 до -20° С включительно; особо суровые - ниже -20° С. Среднемесячные температуры наиболее холодного месяца для района строительства определяются по нормативным документам, а также по данным гидрометеорологической службы. 2 При числе расчетных циклов > 250 следует применять бетоны с повышенной на одну ступень маркой по морозостойкости или постоянную теплозащиту. 3 При одновременном воздействии замораживания-оттаивания и агрессивной воды-среды необходимо учитывать требования, предъявляемые к материалам и конструкциям ГОСТ 10178-85 «Портландцемент и шлакопортландцемент. Технические условия», и применять бетоны более высоких марок по морозостойкости: при воздействии среднеагрессивной воды-среды - на одну ступень, а при воздействии сильноагрессивной воды-среды - на две ступени. |
||||||
Для напорных конструкций гидроузлов с водохранилищами многолетнего и годового регулирования стока в зоне сработки водохранилища до горизонта мертвого объема марки бетона по морозостойкости должны быть не ниже F100 - для умеренных, F150 - для суровых и F200 - для особо суровых климатических условий.
Для надводной зоны сооружений марки бетона по морозостойкости назначаются с учетом атмосферных воздействий, но не ниже F50 - для умеренных, F100 - для суровых и F150 - для особо суровых климатических условий.
Примечание - Для наружных зон сооружений и конструкций, где при основных сочетаниях нагрузок и воздействий имеют место растягивающие напряжения (деформации), следует применять бетоны с более высокой (не менее, чем на одну ступень) морозостойкостью.
4.8 Марку бетона по водонепроницаемости назначают в зависимости от градиента напора, определяемого как отношение максимального напора к толщине конструкции (или расстоянию от напорной грани до дренажа), и температуры контактирующей с сооружением воды, по таблице Г.2, а также с учетом агрессивности водной среды.
В нетрещиностойких напорных железобетонных конструкциях и нетрещиностойких безнапорных конструкциях морских сооружений проектная марка бетона по водонепроницаемости должна быть не ниже W4.
Таблица Г.2
|
Температура воды, °С |
Марки бетона по водонепроницаемости при градиентах напора |
|||
|
≤5 |
6-10 |
11-20 |
21-30 |
|
|
До 10 включительно |
W2 |
W4 |
W6 |
W8 |
|
Свыше 10 до 30 вкл. |
W4 |
W6 |
W8 |
W10 |
|
Свыше 30 |
W6 |
W8 |
W10 |
W12 |
|
Примечание - Для конструкций с градиентом напора свыше 30 следует назначать марку бетона по водонепроницаемости W14 и выше. |
||||
4.9 Следует предусматривать широкое применение добавок поверхностно-активных веществ (ЛСТ, СДО, С-З и др.), а также применение тонкодисперсных минеральных добавок, отвечающих требованиям соответствующих нормативных документов.
Области рационального применения добавок для бетонов гидротехнических сооружений приведены в приложении Г.3.
4.10 При предъявлении к бетону сооружений требований к сопротивляемости истиранию потоком воды с влекомыми наносами или стойкости против кавитации класс бетона по прочности на сжатие должен быть не ниже В25, марка бетона по морозостойкости - не ниже F300, марка бетона по водонепроницаемости - не ниже W8.
4.11 Если по технико-экономическим расчетам для бетонных и железобетонных конструкций гидротехнических сооружений целесообразно использовать бетоны на напрягаемом цементе, а для снижения нагрузки от собственного веса конструкции - легкие бетоны, то классы и марки таких бетонов следует принимать по приложению Ж Стандарта.
4.12 Для замоноличивания стыков элементов сборных конструкций, которые в процессе эксплуатации могут подвергаться воздействию отрицательных температур наружного воздуха или воздействию агрессивной воды, следует применять бетоны проектных марок по морозостойкости и водонепроницаемости не ниже принятых для стыкуемых элементов.
4.13 Класс бетона по прочности на сжатие и на осевое растяжение следует принимать по таблицам Г.3 и Г.4 в зависимости от значений расчетных сопротивлений бетона, определенных в соответствии с указаниями разделов 7, 8 и 9 настоящего приложения.
Таблица Г.3
|
Класс бетона по прочности на сжатие |
Нормативные и расчетные сопротивления бетона, МПа |
|||||
|
нормативные сопротивления; расчетные сопротивления для предельных состояний второй группы |
расчетные сопротивления для предельных состояний первой группы |
|||||
|
Сжатие осевое (призменная прочность) Rbn, Rb, ser |
Растяжение осевое Rbtn; Rbt, ser |
Сжатие осевое (призменная прочность) Rb |
Растяжение осевое Rbt |
|||
|
бетон вибрированный |
бетон укатанный |
бетон вибрированный |
бетон укатанный |
|||
|
В5 |
3,5(35,7) |
0,55(5,61) |
0,39(3,98) |
2,8(28,6) |
0,37(3,77) |
0,26(2,65) |
|
В7,5 |
5,5(56,1) |
0,70(7,14) |
0,58(5,92) |
4,5(45,9) |
0,48(4,89) |
0,39(3,98) |
|
В10 |
7,5(76,5) |
0,85(8,67) |
0,78(7,96) |
6,0(61,2) |
0,57(5,81) |
0,52(5,35) |
|
В12,5 |
9,5(96,5) |
1,00(10,2) |
0,95(9,70) |
7,5(76,5) |
0,66(6,73) |
0,63(6,42) |
|
В15 |
11,3(115) |
1,15(11,7) |
1,10(11,2) |
8,9(91,0) |
0,75(7,65) |
0,73(7,45) |
|
В 17,5 |
13,0(133) |
1,27(13,0) |
1,23(12,6) |
10,3(105) |
0,83(8,41) |
0,80(8,20) |
|
В20 |
14,9(152) |
1,40(14,3) |
1,38(14,1) |
11,7(120) |
0,90(9,18) |
0,90(9,15) |
|
В22,5 |
16,7(170) |
1,50(15,3) |
- |
13,1(134) |
0,97(10,0) |
- |
|
В25 |
18,5(189) |
1,60(16,3) |
- |
14,5(148) |
1,05(10,7) |
- |
|
В27,5 |
20,2(206) |
1,70(17,3) |
- |
15,8(161) |
1,12(11,4) |
- |
|
В30 |
22,0(224) |
1,80(18,4) |
- |
17,0(173) |
1,20(12,2) |
- |
|
В35 |
25,5(260) |
1,95(19,9) |
- |
19,5(199) |
1,30(13,3) |
- |
|
В40 |
29,0(296) |
2,10(21,4) |
- |
22,0(224) |
1,40(14,3) |
- |
Таблица Г.4
|
Класс бетона по прочности на растяжение |
Нормативные и расчетные сопротивления бетона при осевом растяжении, МПа |
|
|
нормативные сопротивления, расчетные сопротивления для предельных состояний второй группы Rbtn; Rbt, ser |
расчетные сопротивления для предельных состояний первой группы Rbt |
|
|
Вt 0,8 |
0,8(8,1) |
0,62(6,32) |
|
Вt 1,2 |
1,2(12,2) |
0,93(9,49) |
|
Вt 1,6 |
1,6(16,3) |
1,25(12,7) |
|
Вt 2,0 |
2,0(20,4) |
1,55(15,8) |
|
Вt 2,4 |
2,4(24,5) |
1,85(18,9) |
|
Вt 2,8 |
2,8(28,6) |
2,15(21,9) |
|
Вt 3,2 |
3,2(32,4) |
2,45(25,0) |
4.14 Расчетные сопротивления бетона для предельных состояний первой группы Rb и Rbt снижаются (или повышаются) путем умножения на коэффициенты условий работы бетона γbi, учитывающие влияние на его прочность сочетания нагрузок, различия в возрасте бетона в конструкции ко времени ее нагружения эксплуатационными нагрузками и в возрасте бетона, соответствующем его классу по прочности, различия в прочности бетона в сооружении и в контрольных образцах, схемы нагружения, градиента деформаций по сечению, формы поперечного сечения, сложного напряженного состояния, типа и размеров конструкций, строительных швов, многократного повторения нагрузок; схемы, коэффициента и дисперсности армирования, других факторов. Значения коэффициентов условий работы бетона приведены в таблице Г.5.
Расчетные сопротивления бетона для предельных состояний второй группы Rb, ser и Rbt, ser вводят в расчет с коэффициентом условий работы бетона γbi = 1, за исключением случаев, указанных в 8.2, 8.3, 8.4, 9.9, 9.13 настоящего приложения.
|
Факторы, обусловливающие введение коэффициента условий работы бетона |
Коэффициент условий работы бетона |
|
|
Обозначение |
Значение |
|
|
1 Бетонные конструкции |
|
|
|
- основное сочетание нагрузок и воздействий |
γb1 |
0,9 |
|
- особое сочетание нагрузок и воздействий без учета сейсмических |
γb1 |
1,0 |
|
- особое сочетание нагрузок и воздействий с учетом сейсмических |
γb1 |
1,1 |
|
- внецентренно сжатые элементы, не воспринимающие напор воды и не подверженные действию агрессивной среды, рассчитываемые без учета сопротивления растянутой зоны сечения |
γb2 |
1,3 |
|
- другие бетонные элементы |
γb2 |
1,0 |
|
- влияние градиента растягивающих деформаций по сечению |
γb3 |
4.15* |
|
- влияние формы поперечного сечения конструкций |
γb4 |
4.16* |
|
- влияние сложного напряженного состояния |
γb5 |
4.17*, 4.18* |
|
- влияние размеров конструкций |
γb6 |
9.9* |
|
2 Железобетонные конструкции |
|
|
|
- основное сочетание нагрузок и воздействий |
γb7 |
1,1 |
|
- особое сочетание нагрузок и воздействий без учета сейсмических |
γb7 |
1,2 |
|
- особое сочетание нагрузок и воздействий с учетом сейсмических: |
|
|
|
при расчете элементов с арматурой классов А-I, А-II, А-III, Вр-I по нормальным сечениям; |
γb7 |
1,3 |
|
то же с арматурой других классов; |
γb7 |
1,2 |
|
при расчете элементов по наклонным сечениям |
γb7 |
1,1 |
|
- влияние числа рядов арматуры |
γb8 |
4.19* |
|
- влияние коэффициента и дисперсности армирования |
γb9 |
4.20* |
|
- влияние неупругой работы бетона растянутой зоны |
γb10 |
4.21* |
|
- влияние плоского напряженного состояния при действии напряжений разного знака |
γb11 |
4.22* |
|
3 Бетонные и железобетонные конструкции |
|
|
|
- многократное повторение нагрузки |
γb12 |
4.23* |
|
- влияние на прочность бетона строительных швов: сжатого бетона |
γb13 |
1,0 |
|
растянутого бетона |
γb13 |
4.24* |
|
- влияние возраста бетона ко времени нагружения конструкции эксплуатационными нагрузками |
γb14 |
4.25*, а |
|
- влияние различия в прочности бетона в конструкции и в контрольных образцах |
γb15 |
4.25*, б |
|
* 4.15 - 4.25, 9.9 настоящего приложения Примечания 1 При одновременном действии нескольких факторов, влияющих на прочность бетона, в расчет вводится произведение соответствующих коэффициентов условий работы, но не менее у γb = 0,45 и не более γb = 2,0. 2 Коэффициент γb14 учитывается при обосновании прочности массивных конструкций, возводимых в течение 1 года и более. 3 Коэффициент γb15 учитывается при обосновании прочности конструкций, минимальный размер которых не менее 1,5 м.
|
||
4.15 Коэффициент условий работы бетонных конструкций, учитывающий влияние на прочность растянутого бетона градиента деформаций по сечению, определяется по формуле:
γb3 = 1 + c/ht (Г.1)
и принимается не более γb3 = 2,
где с - параметр, зависящий от класса бетона, его структуры, влажности и других факторов,
ht - высота растянутой зоны сечения, см, определенная в предположении упругой работы бетона.
Значения параметра с следует определять на основании экспериментальных исследований. Для сооружений I и II классов на предварительной стадии проектирования, а для сооружений III и IV классов во всех случаях параметр с допускается принимать по таблице Г.6.
|
Класс бетона по прочности на сжатие |
В5 |
В7,5 |
В10 |
В12,5 |
В15 |
В20 |
В25 |
в30 |
В35 |
В40 |
|
с, см |
8,0 |
7,9 |
7,7 |
7,5 |
7,3 |
6,7 |
6,1 |
5,5 |
4,9 |
4,4 |
4.16 Коэффициент условий работы бетонных конструкций, учитывающий влияние на прочность растянутого бетона формы их поперечного сечения, определяется по формуле:
γb4 = 1 - К (1 - 1/γb3), (Г.2)
где К - коэффициент, зависящий от формы сечения и соотношения его размеров.
Для прямоугольных, круговых, крестовых сечений, а также для тавровых сечений с полкой в сжатой зоне К = 0.
Для кольцевых сечений коэффициент К равен отношению размеров внутреннего диаметра к наружному.
Для тавровых сечений с полкой в растянутой зоне, для коробчатых и двутавровых сечений коэффициент К следует определять:
при (bf - b)/hf ≥ 6 по формуле:
К = 1 - hf /(2ht), (Г.3)
при (bf - b)/hf < 6 - по номограмме приложения Г.4.
Здесь bf и hf - ширина и высота поперечного сечения растянутой полки.
4.17 Коэффициент условий работы бетона бетонных конструкций, учитывающий влияние на его прочность двухосного сложного напряженного состояния определяется по формулам:
а) при действии напряжений разного знака:
- при проверке прочности сжатого бетона:
(Г.4)
- при проверке прочности растянутого бетона:
(Г.5)
где σ1 и σ3 - максимальные и минимальные значения главных напряжений в бетоне, МПа;
Rb, Rbt - расчетные сопротивления бетона на сжатие и растяжение.
б) при действии напряжений одного знака γb5 - 1,0.
4.18 Коэффициент условий работы бетона бетонных конструкций, учитывающий влияние на его прочность объемного сложного напряженного состояния, определяется по формулам:
а) при всестороннем сжатии:
(Г.6)
б) при двухосном сжатии с растяжением по третьей оси:
при проверке прочности сжатого бетона - по формуле Г.4;
при проверке прочности растянутого бетона:
(Г.7)
в) при двухосном растяжении со сжатием по третьей оси:
- при проверке прочности сжатого бетона:
(г.8)
- при проверке прочности растянутого бетона - по формуле Г.5,
где α2 - коэффициент эффективной пористости бетона,
σ2 - среднее по величине главное напряжение, МПа.
Для сооружений I и II классов коэффициент α2 надлежит определять экспериментальным путем. При отсутствии экспериментальных данных допускается коэффициент α2 определять по формуле:
(Г.9)
и принимать не менее α2 = 0,15.
4.19 Коэффициент условий работы растянутого бетона железобетонных конструкций, учитывающий влияние схемы армирования, принимается равным:
γb8 = 1,0 - при однорядном армировании, а также при обычном многорядном, когда расстояние между рядами арматуры или между стержнями в ряду > 8d (d - диаметр арматуры);
γb8 = l,2 - при многорядном армировании, когда расстояние между рядами арматуры и между стержнями в ряду ≤ 8d.
4.20 Коэффициент условий работы бетона центрально растянутых железобетонных элементов, учитывающий влияние коэффициента и дисперсности армирования, определяется по формуле:
(Г.10)
где μ - коэффициент армирования;
v = Еs/Еb;
Еs, Еb - начальные модули упругости арматуры и бетона при сжатии и растяжении;
d - диаметр арматуры в мм.
При 100μ/d ≤ 0,05 следует принимать γb9 = 1,0.
4.21 Коэффициент условий работы растянутого бетона железобетонных конструкций, учитывающий влияние его неупругой работы, определяется по формулам:
- при однорядном армировании растянутой зоны сечения, а также при обычном многорядном:
(Г.11)
и принимается не более
(Г.12)
- при многорядном дисперсном армировании, когда расстояние между рядами арматуры и стержнями в ряду ≤ 8d:
(Г.13)
и принимается не более
(Г.14)
В формулах Г.13 и Г.14
а - расстояние от растянутой грани сечения до оси ближайшего ряда растянутой арматуры;
ai" - расстояние между рядами арматуры;
с - параметр, определяемый по таблице Г.6;
ht - высота растянутой зоны сечения;
dh - диаметр стержней ближайшего к нейтральной оси ряда арматуры.
Примечание - При определении коэффициента γb10 рассматривается приведенное сечение, при этом наличие арматуры в сжатой зоне допускается не учитывать.
4.22 Коэффициент условий работы растянутого бетона железобетонных элементов, учитывающий влияние плоского напряженного состояния при действии напряжений разного знака, определяется по формуле:
(Г.15)
где σmc, σmt - главные сжимающие и растягивающие напряжения в бетоне.
При γb8·γb10 ≥ 2 следует принимать γb8·γb10 = 2,0.
4.23 Коэффициент условий работы бетона бетонных и железобетонных конструкций, учитывающий влияние многократного их нагружения определяется по формуле:
(Г.16)
где N - число циклов нагружения;
γ'b12 - коэффициент условий работы бетона при числе циклов нагружения N = 2·106, принимаемые по таблицам Г.7, Г.8.
Таблица Г.7
|
Состояние бетона по влажности |
Коэффициенты условий работы бетона γ'b12 при многократно повторяющейся нагрузке и коэффициенте асимметрии цикла ρb, равном |
|||||||
|
0-0,1 |
0,2 |
0,3 |
0,4 |
0,5 |
0,6 |
0,7 |
0,8 |
|
|
Естественной влажности |
0,65 |
0,70 |
0,75 |
0,80 |
0,85 |
0,90 |
0,95 |
1,0 |
|
Водонасыщенный |
0,45 |
0,50 |
0,60 |
0,70 |
0,80 |
0,85 |
0,95 |
1,0 |
|
Примечания 1. Коэффициент γ'b12 для бетонов, класс которых установлен в возрасте 28 сут., принимается в соответствии с экспериментальными данными. 2. Коэффициент ρb равен ρb = σb,тin/σb,тax, где σb,тin и σb,тax - соответственно наименьшее и наибольшее напряжение в бетоне в пределах цикла изменения нагрузки. |
||||||||
Таблица Г.8
|
Минимальное число циклов нагружения Nmin при коэффициенте асимметрии цикла ρb |
||||||||
|
0,1 |
0,2 |
0,3 |
0,4 |
0,5 |
0,6 |
0,7 |
0,8 |
0,9 |
|
3·103 |
6·103 |
104 |
2·104 |
3·104 |
6·104 |
2·105 |
2·106 |
108 |
При числе циклов N менее приведенных в таблице Г.8 следует принимать γb12 = 1,0.
4.24 Коэффициент условий работы растянутого бетона бетонных и железобетонных конструкций, учитывающий влияние швов бетонирования, следует определять на основании экспериментов.
Для сооружений I и II классов на предварительных стадиях проектирования, а для сооружений III и IV классов - во всех случаях допускается принимать γb13 = 0,5.
Для сжатого бетона во всех случаях следует принимать γb13 = 1,0.
4.25 Коэффициенты условий работы бетона, учитывающие влияние разницы в возрасте бетона ко времени нагружения конструкций эксплуатационными нагрузками с возрастом твердения бетона, соответствующем его классу по прочности на сжатие или растяжение, определяются экспериментально, а при отсутствии экспериментальных данных принимаются:
- коэффициент условий работы бетона, учитывающий различие в возрасте бетона, соответствующем его классу и ко времени нагружения сооружения - таблица Г.9.
Таблица Г.9
|
Возраст бетона ко времени |
Коэффициент γb14 |
||
|
при сжатии для районов |
При растяжении |
||
|
со среднегодовой температурой наружного воздуха 0° С и выше |
с отрицательной среднегодовой температурой наружного воздуха |
||
|
0,5 |
1,0/0,9 |
1,0/0,9 |
1,0/0,9 |
|
1,0 |
1,1/1,0 |
1,05/1,0 |
1,05/1,0 |
|
2,0 |
1,15/1,1 |
1,10/1,05 |
1,10/1,05 |
|
3,0 и более |
1,20/1,15 |
1,15/1,10 |
1,15/1,10 |
|
Примечание - В числителе приведены значения коэффициентов γbl4 и γbl5 при возрасте бетона контрольных образцов 180 суток, в знаменателе - при возрасте бетона 360 суток. |
|||
- коэффициент условий работы бетона, учитывающий различие в прочности бетона сооружения и контрольных образцов принимается равным:
γbl5 = 1,0 - при механизированном изготовлении, транспортировке и подаче бетонной смеси с распределением и уплотнением ручными вибраторами;
γbl5 = 1,1 - при автоматизированном приготовлении бетонной смеси, полностью механизированной ее транспортировке, укладке и уплотнении.
4.26 Начальный модуль упругости бетона естественного твердения массивных конструкций при сжатии и растяжении Еb следует принимать по таблице Г.10.
При расчете на прочность и по деформациям тонкостенных стержневых и плитных элементов модуль упругости бетона следует во всех случаях принимать по таблице 10 как для бетона с максимальным диаметром крупного заполнителя 40 мм и осадкой конуса, равной 8 см и более.
Модуль упругости бетонов, подвергнутых для ускорения твердения тепловой обработке при атмосферном давлении или в автоклавах, следует принимать по экспериментальным данным.
Модуль сдвига бетона Gb следует принимать равным 0,4 Еb.
Начальный коэффициент поперечной деформации (коэффициент Пуассона) v принимается равным: для массивных конструкций - 0,15, для стержневых и плитных конструкций - 0,20.
Таблица Г.10
|
Способ уплотнения бетонной смеси |
Осадка конуса бетонной смеси, см |
Максимальный размер крупного заполнителя, мм |
Начальные модули упругости бетона при сжатии и растяжении Еb·10-3, МПа, при классе бетона по прочности на сжатие |
|||||
В5 |
В7,5 |
В10 |
В12,5 |
|||||
|
Вибрирование |
<4 |
40 |
23,0 (235) |
28,0 (285) |
31,0 (315) |
33,5 (340) |
||
|
80 |
26,0 (265) |
30,0 (305) |
34,0 (345) |
36,5 (375) |
||||
|
120 |
28,5 (290) |
33,0 (340) |
36,5 (375) |
27,0 (275) |
||||
|
4-8 |
40 |
19,5 (200) |
24,0 (245) |
27,0 (275) |
29,5 (300) |
|||
|
80 |
22,5 (230) |
28,0 (285) |
30,0 (305) |
32,5 (330) |
||||
|
120 |
24,5 (250) |
29,0 (295) |
32,5 (330) |
35,0 (355) |
||||
|
>8 |
40 |
13,0 (135) |
16,0 (165) |
18,0 (185) |
21,0 (215) |
|||
|
80 |
15,5 (160) |
19,0 (195) |
22,0 (225) |
24,5 (250) |
||||
|
120 |
17,5 (180) |
21,5 (220) |
24,5 (250) |
27,0 (270) |
||||
|
Укатка |
Вдоль слоев бетонирования |
|||||||
|
- |
40 |
20,5 (210) |
25,0 (255) |
28,0 (285) |
30,0 (310) |
|||
|
- |
80 |
23,0 (235 |
27,0 (275) |
30,5 (310) |
33,0 (335) |
|||
|
Поперек слоев бетонирования |
||||||||
|
- |
40 |
16,0 (165) |
18,5 (190) |
20,5 (210) |
22,0 (225) |
|||
|
- |
80 |
18,0 (185) |
20,5 (210) |
22,5 (230) |
24,0 (245) |
|||
|
|
||||||||
|
|
В15 |
В17,5 |
В20 |
|||||
|
Вибрирование |
<4 |
40 |
35,5 (360) |
37,0 (380) |
38,5 (395) |
|||
|
80 |
38,5 (395) |
40,0 (410) |
41,5 (425) |
|||||
|
120 |
40,5 (415) |
42,0 (430) |
43,5 (445) |
|||||
|
4-8 |
40 |
31,5 (320) |
33,0 (335) |
34,5 (350) |
||||
|
80 |
34,5 (350) |
36,0 (370) |
37,5 (380) |
|||||
|
120 |
37,0 (380) |
38,5 (395) |
40,0 (410) |
|||||
|
>8 |
40 |
23,0 (235) |
25,5 (260) |
27,0 (275) |
||||
|
80 |
26,5 (270) |
28,5 (290) |
30,0 (305) |
|||||
|
120 |
29,5 (295) |
31,0 (315) |
32,5 (330) |
|||||
|
Укатка |
Вдоль слоев бетонирования |
|||||||
|
- |
40 |
32,0 (325) |
33,0 (340) |
35,0 (355) |
||||
|
- |
80 |
35,0 (350) |
36,5 (375) |
38,0 (390) |
||||
|
Поперек слоев бетонирования |
||||||||
|
- |
40 |
23,5 (240) |
25,0 (255) |
26,0 (265) |
||||
|
- |
80 |
25,5 (260) |
27,0 (275) |
28,0 (285) |
||||
|
|
||||||||
|
|
В22,5 |
В25 |
В27,5 |
|||||
|
Вибрирование |
<4 |
40 |
39,5 (405) |
41,0 (420) |
42,0 (430) |
|||
|
80 |
42,5 (435) |
43,5 (445) |
44,5 (455) |
|||||
|
120 |
44,5 (455) |
45,5 (465) |
46,5 (475) |
|||||
|
4-8 |
40 |
36,0 (365) |
37,0 (380) |
38,0 (385) |
||||
|
80 |
39,0 (400) |
40,0 (410) |
41,0 (420) |
|||||
|
120 |
41,0 (420) |
42,0 (430) |
43,0 (440) |
|||||
|
>8 |
40 |
28,5 (290) |
30,0 (305) |
31,5 (320) |
||||
|
80 |
31,5 (320) |
33,0 (335) |
34,0 (345) |
|||||
|
120 |
34,0 (345) |
35,0 (350) |
36,0 (365) |
|||||
|
Укатка |
Вдоль слоев бетонирования |
|||||||
|
- |
40 |
36,0 (365) |
37,0 (375) |
38,0 (385) |
||||
|
- |
80 |
39,0 (400) |
40,0 (410) |
41,0 (420) |
||||
|
Поперек слоев бетонирования |
||||||||
|
- |
40 |
27,0 (275) |
28,0 (285) |
29,0 (295) |
||||
|
- |
80 |
29,5 (300) |
30,5 (310) |
31,5 (320) |
||||
|
|
||||||||
|
|
в30 |
В35 |
В40 |
|||||
|
Вибрирование |
<4 |
40 |
43,0 (440) |
44,5 (455) |
46,0 (470) |
|||
|
80 |
45,0 (460) |
46,5 (475) |
47,5 (485) |
|||||
|
120 |
47,0 (480) |
48,5 (495) |
49,5 (505) |
|||||
|
4-8 |
40 |
39,5 (405) |
41,0 (420) |
42,5 (435) |
||||
|
80 |
42,0 (430) |
44,0 (450) |
45,5 (465) |
|||||
|
120 |
44,0 (450) |
45,5 (465) |
46,5 (475) |
|||||
|
>8 |
40 |
32,5 (330) |
34,5 (350) |
36,0 (365) |
||||
|
80 |
35,0 (360) |
36,5 (370) |
37,5 (385) |
|||||
|
120 |
37,0 (380) |
38,0 (390) |
39,0 (400) |
|||||
|
Укатка |
Вдоль слоев бетонирования |
|||||||
|
- |
40 |
39,0 (400) |
40,5 (415) |
- |
||||
|
- |
80 |
42,0 (430) |
44,0 (450) |
- |
||||
|
Поперек слоев бетонирования |
||||||||
|
- |
40 |
30,0 (305) |
31,5(320) |
- |
||||
|
- |
80 |
32,5 (330) |
34,0 (345) |
- |
||||
4.27 Плотность тяжелого бетона при отсутствии опытных данных допускается принимать по таблице Г.11.
Таблица Г.11
|
Плотность Заполнителя, г/см3 |
Средняя плотность бетона ρ, г/см3 при максимальной крупности заполнителя, мм |
||||
|
10 |
20 |
40 |
80 |
120 |
|
|
2,60 - 2,65 |
2,26 |
2,32 |
2,37 |
2,41 |
2,43 |
|
2,65 - 2,70 |
2,30 |
2,36 |
2,40 |
2,45 |
2,47 |
|
2,70 - 2,75 |
2,33 |
2,39 |
2,44 |
2,49 |
2,50 |
Арматура
4.28 Для армирования железобетонных конструкций гидротехнических сооружений следует применять арматурную сталь, отвечающую требованиям соответствующих государственных стандартов или утвержденных в установленном порядке технических условий и принадлежащую к одному из следующих видов:
- стержневая арматурная сталь:
- горячекатаная - гладкая класса A-I, периодического профиля классов А-II, А-III, A-IV, A-V; термически и термомеханически упрочненная - периодического профиля классов Ат-IIIС, Ат-IVC, Aт-VCK;
- упрочненная вытяжкой класса А-IIIв;
- проволочная арматурная сталь:
- холоднотянутая проволока обыкновенная - периодического профиля класса Вр-I.
Для закладных деталей и соединительных накладок следует применять, как правило, прокатную углеродистую сталь.
Марки арматурной стали для армирования железобетонных конструкций в зависимости от условий их работы и средней температуры наружного воздуха наиболее холодной пятидневки в районе строительства следует принимать по действующим нормативным документам.
Арматурную сталь классов А-IIIв, A-IV и A-V рекомендуется применять для предварительно напряженных конструкций.
4.29. Нормативные и расчетные сопротивления основных видов арматуры, применяемой в железобетонных конструкциях гидротехнических сооружений, в зависимости от класса арматуры должны приниматься по таблице Г.12.
При отсутствии сцепления арматуры с бетоном Rsc равно нулю.
При расчете арматуры по главным растягивающим напряжениям (балки-стенки, короткие консоли и др.) расчетные сопротивления арматуры следует принимать как для продольной арматуры на действие изгибающего момента.
При надлежащем обосновании для железобетонных конструкций гидротехнических сооружений допускается применять стержневую и проволочную арматуру других классов. Их нормативные и расчетные характеристики следует принимать по действующим нормативным документам.
4.30 Коэффициенты условий работы ненапрягаемой арматуры следует принимать по таблице Г.13, а напрягаемой арматуры - по действующим нормативным документам.
Коэффициент условий работы арматуры при расчете по предельным состояниям второй группы принимается равным единице.
Таблица Г.12
Вид и класс арматуры |
Нормативные сопротивления растяжению и расчетные сопротивления растяжению арматуры для предельных состояний второй группы, МПа Rsn; Rs, ser |
Расчетные сопротивления арматуры для предельных состояний первой группы, МПа |
||
|
растяжению |
сжатию Rsc |
|||
|
продольной Rs |
поперечной (хомутов, отогнутых стержней) Rsw |
|||
|
Стержневая арматура классов |
|
|
|
|
|
A-I |
235 (2400) |
225 (2300) |
175 (1800) |
225 (2300) |
|
А-II |
295 (3000) |
280 (2850) |
225 (2300) |
280 (2850) |
|
А-III, диаметром, мм |
|
|
|
|
|
6-8 |
390 (4000) |
355 (3600) |
285 (2900) |
355 (3600) |
|
10-40 |
390 (4000) |
365 (3750) |
290 (3000) |
365 (3750) |
|
A-IV |
590 (6000) |
520 (5200) |
405 (4150) |
400 (4000) |
|
A-V |
785 (8000) |
680 (6950) |
545 (5550) |
400 (4000) |
|
Упрочненная вытяжкой класса А-IIIв с контролем |
|
|
|
|
|
напряжений и удлинений |
540 (5500) |
490 (5000) |
390 (4000) |
200 (2000) |
|
только удлинений |
540 (5500) |
450 (4600) |
360 (3700) |
200 (2000) |
|
Проволочная арматура класса Вр-I, диаметром, мм |
|
|
|
|
|
3 |
410 (4200) |
375 (3850) |
270 (2750) |
375 (3850) |
|
4 |
405 (4150) |
365 (3750) |
265 (2700) |
365 (3750) |
|
5 |
395 (4050) |
360 (3700) |
260 (2650) |
360 (3700) |
|
Примечание - В сварных каркасах для хомутов из арматуры класса А-Ш, диаметр которых < 1/3 диаметра продольных стержней, Rsw равно 255 МПа. |
||||
|
Факторы, обусловливающие введение коэффициентов условий работы арматуры |
Коэффициенты условий работы арматуры |
|
|
Условное обозначение |
Значение |
|
|
Многократное повторение нагрузки |
γs1 |
4.31* |
|
Железобетонные элементы |
γs2 |
1,1 |
|
Сталежелезобетонные конструкции |
|
|
|
(открытые и подземные) |
γs3 |
0,9 |
|
* 4.31 настоящего приложения Примечание - При наличии нескольких факторов, действующих одновременно, в расчет вводится произведение соответствующих коэффициентов условий работы.
|
||
4.31 Расчетные сопротивления ненапрягаемой стержневой арматуры при расчете на выносливость следует определять по формуле:
R's = γs1Rs, (Г.17)
где γs1 - коэффициент условий работы арматуры, определяемый по формуле
(Г.18)
и принимаемый не более γs1 = 1,0.
Здесь γ's1 - коэффициент условий работы арматуры при числе циклов нагружения N = 2·106.
Значения γ's1 определяются:
для арматуры классов A-I, A-II, A-III - по формуле:
(Г.19)
здесь η0 - коэффициент, учитывающий класс арматуры, принимаемый по таблице Г.14;
ηs - коэффициент, учитывающий диаметр арматуры, принимаемый по таблице Г.15;
ηc - коэффициент, учитывающий тип сварного стыка, принимаемый по таблице Г.16;
ρs - коэффициент асимметрии цикла, ρs = σs,min,/σs,,max, где σs,min и σs,,max - соответственно наименьшее и наибольшее напряжения в растянутой арматуре.
Для других классов арматуры - по СНиП 2.03.01-84* «Бетонные и железобетонные конструкции». Формула Г.18 справедлива при N < 2·106.
При числе циклов нагружения N ≥ 2·106 следует принимать γs1 = γ's1.
Растянутая арматура на выносливость не проверяется, если коэффициент γ's1, определяемый по формуле Г.19, больше 1,0.
Таблица Г.14
|
Класс арматуры |
Коэффициент η0 |
|
A-I |
0,44 |
|
А-II |
0,32 |
|
А-III |
0,28 |
Таблица Г.15
|
Диаметр арматуры, мм |
До 20 |
30 |
40 |
60 и более |
|
Коэффициент ηs |
1 |
0,9 |
0,85 |
0,8 |
|
Примечание - Для промежуточных значений диаметра арматуры значение коэффициента ηs принимается по линейной интерполяции. |
||||
Таблица Г.16
|
Тип сварного соединения стержневой арматуры |
Коэффициент ηc |
|
Контактное стыковое типов: |
|
|
КС-М (с механической зачисткой) |
1,0 |
|
КС-О (без механической зачистки) |
0,8 |
|
Стыковое, выполненное способом ванной одноэлектродной сварки на стальной подкладке при ее длине: |
|
|
5 и более диаметров наименьшего из стыкуемых стержней |
0,8 |
|
1,5 - 3 диаметра наименьшего из стыкуемых стержней |
0,6 |
|
Стыковое с парными симметричными накладками |
0,55 |
|
Примечание - Для арматуры, не имеющей сварных соединений, значение коэффициента ηc принимается равным единице. |
|
4.32 Расчетные сопротивления арматуры при расчете на выносливость предварительно напряженных конструкций определяются по действующим нормативным документам.
4.33 Модули упругости ненапрягаемой и стержневой напрягаемой арматуры принимаются по таблице Г.17, а арматуры других видов - по действующим нормативным документам.
Таблица Г.17
|
Вид арматуры |
Класс арматуры |
Модуль упругости арматуры |
|
Стержневая |
|
|
|
|
A-I, А-II |
210 (2100) |
|
|
А-III |
200 (2000) |
|
|
A-IV, A-V |
190 (1900) |
|
|
А-IIIв |
180(1800) |
|
Арматурная проволока |
Вр-I |
170 (1700) |
4.34 При расчете железобетонных конструкций гидротехнических сооружений на выносливость неупругие деформации в сжатой зоне бетона следует учитывать снижением модуля упругости бетона, принимая коэффициенты приведения арматуры к бетону v' по таблице Г.18.
Таблица Г.18
|
Класс бетона по прочности на сжатие |
В15 |
В20 |
В25 |
в30 |
В35 |
В40 |
|
Коэффициент приведения v' |
25 |
23 |
20 |
18 |
15 |
10 |
5.1 При проектировании конструкций, испытывающих температурные и влажностные воздействия, для предотвращения трещинообразования необходимо предусматривать следующие конструктивные решения и технологические мероприятия.
Конструктивные решения:
- выбор наиболее рациональной конструкции в данных природных условиях;
- разрезка конструкции постоянными и временными температурно-усадочными швами;
- устройство теплоизоляции на наружных бетонных поверхностях;
- применение предварительно напряженной арматуры (для тонкостенных конструкций).
Технологические мероприятия:
- снижение тепловыделения бетона применением низкотермичных марок цемента, уменьшением расхода цемента за счет использования воздухововлекающих и пластифицирующих добавок, золы-уноса и др.;
- максимальное рассеивание начальной теплоты и экзотермии за счет наиболее выгодного сочетания высоты ярусов бетонирования и интервалов между укладкой ярусов при заданной интенсивности роста сооружения;
- регулирование температурного и влажностного режимов поверхностей бетонных массивов для защиты этих поверхностей от резких колебаний температуры среды и сохранения в теплое время года во влажном состоянии с помощью постоянной или временной теплоизоляции или теплогидроизоляции, поливки водой, устройства шатров с кондиционированием воздуха и т.п.;
- применение трубного охлаждения бетонной кладки;
- повышение однородности бетона, обеспечение его высокой растяжимости, повышение предела прочности на осевое растяжение;
- замыкание статически неопределимых конструкций, а также омоноличивание массивных конструкций при температурах бетона, близких к его минимальным эксплуатационным температурам.
Постоянные и временные швы
5.2 Для предотвращения образования трещин или уменьшения их раскрытия в монолитных бетонных и железобетонных сооружениях необходимо предусматривать постоянные температурно-усадочные швы, а также временные строительные швы.
Постоянные швы должны обеспечивать возможность взаимных перемещений частей сооружения как в процессе строительства, так и в процессе эксплуатации. Временные строительные швы должны обеспечивать:
- снижение температурно-усадочных напряжений в бетоне в процессе возведения сооружений;
- снижение усилий, вызванных неравномерной осадкой частей сооружений в строительный период;
- соблюдение требуемой интенсивности работ по возведению сооружения;
- унификацию армоконструкций, опалубки, сборных элементов и т.п.
5.3 Постоянные швы в сооружениях могут выполняться сквозными или в виде надрезов по поверхностям, подверженным значительным колебаниям температуры.
Расстояние между постоянными и временными швами следует назначать в зависимости от климатических и геологических условий, конструктивных особенностей сооружений, последовательности производства работ и т.п.
В частях массивных монолитных и сборно-монолитных сооружений, которые подвержены значительным колебаниям температуры и перемещения которых затрудняются связью со скальным основанием или с бетоном внутренних частей сооружения, расстояния между температурно-усадочными швами определяют расчетом в соответствии с требованиями раздела 9 настоящего приложения.
5.4 Для сборно-монолитных конструкций необходимо предусматривать мероприятия, обеспечивающие надлежащую связь по поверхностям контакта при омоноличивании конструкций.
5.5 Для уменьшения температурно-усадочных напряжений, а также влияния неравномерных осадок основания допускается устраивать временные расширенные швы, заполняемые бетоном (замыкающие блоки) после выравнивания температур и стабилизации осадок.
Продольное и поперечное армирование
5.6 В массивных железобетонных элементах гидротехнических сооружений, размеры которых превышают требуемые по расчету и назначены по конструктивным или технологическим соображениям, а в обделках гидротехнических туннелей - во всех случаях, минимальный процент армирования не нормируется, и сечение рабочей арматуры назначается в соответствии с расчетом.
Площадь сечения продольной арматуры остальных железобетонных элементов должна приниматься не менее 0,05% от площади расчетного сечения бетона.
5.7 Расстояние в свету между арматурными стержнями по высоте и ширине сечения должно обеспечивать совместную работу арматуры с бетоном и назначаться с учетом удобства укладки и уплотнения бетонной смеси.
Расстояние в свету между стержнями арматуры для немассивных конструкций следует принимать в соответствии с требованиями Приложения Е.
В массивных железобетонных конструкциях расстояния в свету между стержнями рабочей арматуры по ширине сечения определяются крупностью заполнителя бетона, но не менее 2,5 d, где d - диаметр арматуры.
5.8 Толщину защитного слоя бетона следует принимать:
- не менее 30 мм для рабочей арматуры и 20 мм для распределительной арматуры и хомутов в балках и плитах высотой до 1,5 м, а также в колоннах с меньшей стороной до 1,5 м;
- не менее 60 мм и не менее диаметра стержня для рабочей и распределительной арматуры массивных конструкций с минимальным размером сечения более 1,5 м.
Толщину защитного слоя бетона в железобетонных конструкциях морских гидротехнических сооружений необходимо принимать:
- для рабочей арматуры стержневой - не менее 50 мм;
- для распределительной арматуры и хомутов - не менее 30 мм.
Для сборных железобетонных элементов заводского изготовления при применении бетона класса по прочности на сжатие В15 и выше толщина защитного слоя может быть уменьшена на 10 мм против указанных выше величин.
При эксплуатации железобетонных конструкций в условиях агрессивной среды толщину защитного слоя необходимо назначать не менее 50 мм.
5.9 В нетрещиностойких железобетонных плитах и стенах сечением высотой 60 см и более с коэффициентом армирования μ ≤ 0,008 при надлежащем обосновании допускается многорядное расположение арматуры по сечению элемента, способствующее уменьшению максимальной ширины раскрытия трещин по высоте сечения.
5.10 Если стержни арматуры размещаются в два и более ряда, то диаметры стержней рядов должны отличаться друг от друга не более, чем на 40 %.
5.11 Из условия долговечности гидротехнических сооружений без предварительного напряжения диаметр арматуры следует принимать для рабочей стержневой арматуры из горячекатаной стали не менее 10 мм, для спиралей и для каркасов и сеток вязаных или изготовленных с применением контактной сварки - не менее 6 мм.
5.12 Продольные стержни растянутой и сжатой арматуры должны быть заведены за нормальное или наклонное к продольной оси элемента сечение, где они не требуются по расчету.
5.13 Распределительную арматуру для элементов, работающих в одном направлении, следует назначать в размере не более 10 % от площади рабочей арматуры в месте наибольшего изгибающего момента.
5.14 При выполнении сварных соединений арматуры следует выполнять требования действующих нормативных документов.
5.15 В конструкциях, рассчитываемых на выносливость, в одном сечении должно стыковаться, как правило, не более половины стержневой растянутой рабочей арматуры. Применение стыков внахлестку (без сварки и со сваркой) для растянутой рабочей арматуры в этих конструкциях не допускается.
5.16 В изгибаемых элементах при высоте сечения более 700 мм у боковых граней следует устанавливать конструктивные продольные стержни. Расстояние между ними по высоте должно быть не более 400 мм, площадь поперечного сечения - не менее 0,1 % от площади сечения бетона, имеющего размер, равный по высоте элемента расстоянию между этими стержнями, по ширине - половине ширины ребра элемента, но не более 200 мм.
5.17 У всех поверхностей железобетонных элементов, вблизи которых ставится продольная расчетная арматура, необходимо предусматривать также поперечную арматуру, охватывающую крайние продольные стержни. Расстояние между поперечными стержнями должно быть не более 500 мм и не более удвоенной ширины грани элемента.
5.18 Во внецентренно сжатых линейных элементах, а также в сжатой зоне изгибаемых элементов при наличии учитываемой в расчете сжатой продольной арматуры необходимо предусматривать установку хомутов.
Расстояние между хомутами следует принимать в вязаных каркасах не более 15 d, в сварных - не более 20 d, где d - наименьший диаметр сжатой продольной арматуры. В обоих случаях расстояние между хомутами должно быть не более 500 мм.
Конструкция поперечной арматуры должна обеспечивать закрепление сжатых продольных стержней от бокового выпучивания в любом направлении.
В местах стыковки рабочей арматуры внахлестку без сварки или если общее насыщение элемента продольной арматурой составляет более 3 %, хомуты следует устанавливать на расстоянии не более 10 d и не более 300 мм.
В массивных внецентренно сжатых элементах, рассчитанных без учета сжатой арматуры, расстояние между конструктивными поперечными связями (хомутами) допускается увеличивать до двух высот (ширин) элемента.
5.19 Расстояние между вертикальными поперечными стержнями в элементах, не имеющих отогнутой арматуры, и в случаях, когда поперечная арматура требуется по расчету, необходимо принимать:
- на приопорных участках (не менее 1/4 пролета) при высоте сечения ≤ 450 мм - не более h/2 и не более 150 мм;
при высоте сечения > 450 мм - не более h/3 и не более 500 мм;
при высоте сечения ≥ 2000 мм, - не более h/3;
- б) на остальной части пролета при высоте сечения 300 - 2000 мм - не более (3/4)h и не более 500 мм;
при высоте сечения > 2000 мм - не более (3/4)h.
5.20 В элементах, работающих на изгиб с кручением, вязаные хомуты должны быть замкнутыми с перепуском их концов на 30 диаметров хомутов, а при сварных каркасах все поперечные стержни обоих направлений должны быть приварены к угловым продольным стержням, образуя замкнутый контур.
5.21 Отверстия в железобетонных элементах следует располагать в пределах ячеек арматурных сеток и каркасов.
Отверстия с размерами, превышающими размеры ячеек сеток, должны окаймляться дополнительной арматурой. Суммарная площадь ее сечения должна быть не менее сечения прерванной рабочей арматуры того же направления.
5.22 При проектировании сталежелезобетонных конструкций надлежит обеспечивать совместную работу арматуры и стальной облицовки. Толщину облицовки следует принимать минимальной по условиям монтажа и транспортирования. В сталежелезобетонных элементах водоподводящего тракта ГЭС толщина стальной облицовки должна приниматься из условия Asi ≤ As (здесь Asi и As - площадь сечения соответственно стальной облицовки и стержневой арматуры в расчетном сечении элемента).
5.23 Арматура железобетонных конструкций должна предусматриваться в виде армоферм, армопакетов, сварных каркасов, сеток и штучной арматуры.
Типы армоконструкций следует назначать с учетом принятого способа производства работ. Они должны обеспечивать возможность механизированной подачи бетона и тщательной его проработки.
Установку арматуры в железобетонных конструкциях необходимо производить индустриальными методами при максимальной экономии металла на конструктивные элементы для закрепления ее в блоке бетонирования.
Увеличение площади сечения арматуры, определенной расчетом на эксплуатационные нагрузки, для восприятия нагрузок строительного периода, как правило, не допускается.
5.24 Открытые поверхности бетонных сооружений, находящиеся в зоне переменного уровня воды и подвергающиеся воздействию отрицательных температур, а также открытые поверхности сооружений, возводимых в условиях жаркого сухого климата, допускается армировать сетками из арматуры класса А-II диаметром 16 мм. Во всех остальных случаях конструктивное армирование открытых поверхностей бетонных сооружений допускается только при специальном обосновании.
Дополнительные указания по конструированию предварительно напряженных элементов
5.25 При конструировании предварительно напряженных элементов следует выполнять требования действующих нормативных документов на проектирование отдельных видов сооружений и требования 5.26 - 5.31 настоящего приложения.
5.26 Приварка и прихватка к натянутой арматуре каких - либо деталей не допускается.
Это требование не распространяется на приварку деталей к концам напрягаемой арматуры, выступающим из изделия, после передачи усилий обжатия бетона.
5.27 Продольную ненапрягаемую арматуру следует располагать ближе к наружной поверхности элемента с тем, чтобы поперечная арматура (хомуты) охватывала напрягаемую арматуру.
5.28 Стержневую напрягаемую арматуру в ребристых элементах следует располагать по оси каждого ребра элемента или симметрично ей.
5.29 Соединение по длине заготовок арматурных стержней из горячекатаной стали периодического профиля диаметром 10 мм и более, как правило, следует производить контактной стыковой сваркой.
При отсутствии оборудования для контактной сварки допускается применять дуговую сварку. Стержни арматуры класса А-IIIв необходимо сваривать до вытяжки. Сварные стыки растянутых стержней не рекомендуется располагать в местах наибольших усилий.
5.30 У концов предварительно напряженных элементов должна быть установлена дополнительная поперечная арматура (сварные сетки, охватывающие все продольные стержни арматуры, хомуты и т.п. с шагом 5-10 см) на длине участка не менее 60 % зоны передачи напряжений и не менее 20 см.
Если напрягаемая продольная арматура у торцов элемента располагается сосредоточенно у верхней или нижней грани, то на концевых участках необходимо предусматривать поперечную арматуру (не учитываемую в расчете на поперечные силы).
Суммарная площадь поперечной арматуры должна назначаться такой, чтобы эта арматура могла воспринять в конструкциях, не рассчитываемых на выносливость, 20 %, а в конструкциях, рассчитываемых на выносливость, 30 % усилия натяжения в продольной напрягаемой арматуре, которая расположена у одной грани сечения, с учетом первых потерь.
Суммарная площадь сечения дополнительной поперечной арматуры необходимо определять по формулам:
- для конструкций, не рассчитываемых на выносливость:
Asw,ad = 0,2(σsр/Rsw)Asp, (Г.20)
- для конструкций, рассчитываемых на выносливость:
Asw,ad = 0,3(σsр/Rsw)Asp, (Г.21)
где σsр - предварительное напряжение в арматуре с учетом первых потерь;
Asp - наибольшая из площадей сечения напрягаемой продольной арматуры, расположенной внутри хомутов у одной грани сечения.
5.31 Дополнительную поперечную арматуру рекомендуется предусматривать в виде сварных замкнутых хомутов из арматурной стали классов А-II или А-III.
Если, из условия опирания элемента, на его концевом участке устанавливают стальную опорную плиту, то дополнительную поперечную арматуру следует соединять с ней сваркой.
6.1 Расчеты бетонных и железобетонных конструкций необходимо производить по методу предельных состояний в соответствии с приложением Ж Стандарта.
Бетонные и железобетонные конструкции должны удовлетворять требованиям расчета по предельным состояниям первой группы при всех сочетаниях нагрузок и воздействий, а по предельным состояниям второй группы - только при основном сочетании нагрузок и воздействий.
Расчет по предельным состояниям, как правило, следует производить для всех стадий возведения, транспортирования, монтажа и эксплуатации конструкции.
6.2 Бетонные конструкции необходимо рассчитывать: по предельным состояниям первой группы:
- по прочности с проверкой устойчивости положения и формы конструкции в соответствии с разделом 7 настоящего приложения;
по предельным состояниям второй группы:
- по образованию трещин - в соответствии с разделами 8 и 9 настоящего приложения.
Железобетонные и сталежелезобетонные конструкции следует рассчитывать:
по предельным состояниям первой группы:
- по прочности с проверкой устойчивости положения и формы конструкции - в соответствии с разделом 7 настоящего приложения;
- по выносливости при многократно повторяющейся нагрузке в соответствии с разделом 7 настоящего приложения;
При проектировании сталежелезобетонных конструкций дополнительно необходимо рассчитывать прочность:
- металлической облицовки на действие транспортных, монтажных и строительных нагрузок - в соответствии со специально разработанными техническими условиями;
- анкеров, обеспечивающих совместную работу листовой арматуры и бетона.
по предельным состояниям второй группы:
- по образованию трещин - в тех случаях, когда по условиям нормальной эксплуатации сооружения не допускается их образование (трещиностойкие конструкции), или по ограничению величины раскрытия трещин (нетрещиностойкие конструкции) - в соответствии с разделом 8 настоящего приложения;
- по деформациям - в тех случаях, когда величина перемещений может ограничить возможность нормальной эксплуатации конструкции или находящихся на ней механизмов - в соответствии с разделом 8 настоящего приложения.
6.3 При расчетах бетонных и железобетонных конструкций гидротехнических сооружений надлежит соблюдать одно из следующих условий, обеспечивающих недопущение наступления предельных состояний:
![]()
![]()
где F, R - соответственно расчетные значения обобщенного силового воздействия (сила, момент), деформации или другого параметра, по которому производится оценка предельного состояния, и обобщенной несущей способности элемента;
Rb, Rs - соответственно расчетные сопротивления бетона и арматуры;
σ - расчетные напряжения (в бетоне или арматуре);
Ф - функция, вид которой определяется в зависимости от характера напряженно-деформированного состояния элемента, сроков его нагружения эксплуатационными нагрузками;
γn - коэффициент надежности по ответственности (назначению) сооружения, учитывающий капитальность и значимость последствий при наступлении тех или иных предельных состояний, принимаемый по приложению Ж Стандарта;
γlc - коэфициент сочетания нагрузок, принимаемый в соответствии с приложением Ж Стандарта;
γс - коэффициент условий работы, учитывающий тип сооружения или конструкции, вид материала, приближенность расчетных схем, вид предельного состояния и другие факторы и устанавливаемый нормативными документами на проектирование отдельных видов гидротехнических сооружений, их конструкций и элементов;
γb, γs - соответственно коэффициенты условий работы бетона и арматуры, определяемые по таблицам Г.5 и Г.13.
6.4 Сборно-монолитные конструкции, а также конструкции с несущей арматурой надлежит рассчитывать для двух стадий работы конструкции:
до приобретения бетоном, уложенным на месте использования конструкции, заданной прочности - на действие собственного веса этого бетона и других нагрузок, действующих на данном этапе возведения сооружения;
после приобретения бетоном, уложенным на месте использования конструкции, заданной прочности - на нагрузки, действующие при эксплуатации конструкции, включая собственный вес.
Расчет на прочность производится на расчетные нагрузки раздельно по двум стадиям без суммирования усилий и напряжений.
6.5 Для заанкеренных в основание плотин и других гидротехнических сооружений наряду с расчетом конструкций следует производить экспериментальные исследования для определения несущей способности анкерных устройств, релаксации напряжений в бетоне, скальном основании и анкерах. Необходимо предусматривать мероприятия по защите анкеров от коррозии.
Для предварительно напряженных конструкций рекомендуется в проекте предусматривать возможность повторного натяжения анкеров или их замены, а также проведение контрольных наблюдений за состоянием анкеров в бетоне.
6.6 При расчете элементов сборных конструкций на усилия, возникающие при подъеме, транспортировании и монтаже, нагрузку от собственного веса элемента следует вводить в расчет с коэффициентами динамичности, назначаемыми в соответствии с действующими нормативными документами.
6.7 Способ оценки прочности и трещиностойкости бетонных и железобетонных элементов (по усилиям или по напряжениям) определяется соотношением их размеров. В таблице Г.19 приведена классификация элементов и способы оценки наступления их предельных состояний в зависимости от соотношения их размеров.
|
№ № п/п |
Отношение размеров элемента |
Наименование элемента |
Способ оценки наступления предельного состояния |
|
|
по усилиям |
по напряжениям |
|||
|
А. Балочные конструкции - b ≤ 3h |
||||
|
1 |
l/h ≥ 6 |
Стержневой элемент - балка |
+ |
- |
|
2 |
3 ≤ l/h < 6 |
Короткая балка |
+ |
+ |
|
3 |
l/h < 3 |
Балка стенка |
- |
+ |
|
Б. Консольные конструкции - b ≤ 3h |
||||
|
4 |
l/h ≥ 3 |
Стержневой элемент - консоль |
+ |
- |
|
5 |
1,5 ≤ l/h < 3 |
Короткая консоль |
+ |
+ |
|
6 |
l/h < 1,5 |
Консольная стенка |
- |
+ |
|
В. Плитные конструкции - b > 3h |
||||
|
7 |
a/h ≥ 6 |
Тонкая плита |
+ |
- |
|
8 |
3 ≤ a/h < 6 |
Толстая плита |
+ |
+ |
|
9 |
a/h < 3 |
Объемный элемент |
- |
+ |
|
Г. Арочные и кольцевые конструкции |
||||
|
10 |
t/R ≤ 0,1 |
Тонкая арка, кольцо |
+ |
- |
|
11 |
0,1 < t/R ≤ 0,25 |
Арка, кольцо средней толщины |
+ |
+ |
|
12 |
t/R > 0,25 |
Толстая арка, кольцо |
- |
+ |
|
Примечание - В таблице приняты следующие обозначения: l - длина (пролет) балки или консоли; b и h - соответственно ширина и высота поперечного сечения элемента; а - длина меньшей стороны плиты; t - толщина арки, стенки кольца; R - радиус осевой линии арки, кольца. |
||||
6.8 При проверке несущей способности и пригодности к нормальной эксплуатации сооружения внутренние усилия (изгибающие и крутящие моменты, нормальные и перерезывающие силы), напряжения, перемещения и углы поворота следует определять, как правило, с учетом неупругого поведения конструкций, обусловленного трещинообразованием и ползучестью бетона, нелинейной зависимостью между напряжениями и деформациями материалов, а также с учетом последовательности возведения и нагружения сооружения.
Допускается усилия и напряжения в сечениях элементов определять в предположении упругой работы конструкции в тех случаях, когда методика расчета конструкций с учетом их неупругого поведения не разработана или расчет выполняется на предварительной стадии проектирования сооружения.
6.9 При расчете статически определимых стержневых элементов, тонких плит и арок по предельным состояниям первой и второй групп внутренние усилия (изгибающие и крутящие моменты, нормальные и перерезывающие силы), а также перемещения и углы поворота следует определять методами сопротивления материалов. При определении линейных перемещений и углов поворота необходимо учитывать изменение жесткости сечений в результате трещинообразования в бетоне. Условия трещинообразования следует принимать в соответствии с 8.2 настоящего приложения.
В статически неопределимых стержневых конструкциях, тонких плитах и арках внутренние усилия и перемещения следует определять методами строительной механики с учетом, как правило, неупругой работы, обусловленной изменением жесткости сечений в результате трещинообразования в бетоне.
6.10 При оценке прочности и трещиностойкости элементов по напряжениям (балки-стенки, консольные стенки, толстые арки и трубы и объемные элементы) последние определяются методами теории упругости или экспериментально с учетом указаний 6.8 настоящего приложения.
6.11 Проверку прочности и трещиностойкости коротких балок и консолей, толстых плит и арок средней толщины допускается производить как по напряжениям, так и по усилиям. Напряжения в расчетных сечениях элемента определяются методами теории упругости или экспериментально с учетом указаний 6.8 настоящего приложения, а усилия - по величинам равнодействующих эпюр напряжений в сечении: N = D - Z; М = Dz (здесь D и Z - равнодействующие эпюр сжимающих и растягивающих напряжений; z - плечо пары внутренних сил).
6.12 Плитные элементы консольного типа или опирающиеся по двум противоположным сторонам, нагрузка по ширине которых распределена равномерно, рассчитываются по прочности и трещиностойкости аналогично консольным или балочным элементам. Расчеты в этом случае производятся для участка плиты единичной ширины.
6.13 Величину противодавления воды в расчетных сечениях элементов следует определять с учетом условий работы конструкций в эксплуатационный период, а также с учетом конструктивных и технологоческих мероприятий, указанных в 3.7 настоящего приложения.
В элементах массивных напорных и подводных бетонных и железобетонных конструкций гидротехнических сооружений противодавление воды необходимо учитывать как объемную силу и определять по приложению В Стандарта.
В стержневых и плитных элементах противодавление воды следует учитывать как растягивающую силу, приложенную в рассматриваемом расчетном сечении, при этом объемный вес материала принимается без учета взвешивания.
Противодавление воды следует учитывать как при расчете сечений, совпадающих со швами бетонирования, так и монолитных сечений.
6.14 Усилие противодавления в расчетных сечениях напорных стержневых, плитных, арочных и кольцевых элементов следует принимать равным площади эпюры напряжений, обусловловленных воздействием противодавления. Указанные напряжения в отдельных точках сечения принимаются равными рα2b, где р - интенсивность гидростатического давления, α2b - коэффициент эффективной площади противодавления в бетоне.
Для трещиностойких элементов следует принимать линейный закон изменения интенсивности гидростатического давления воды от величины давления на напорной (верховой) грани до величины давления на низовой грани.
Для нетрещиностойких элементов линейный закон изменения гидростатического давления следует принимать только в пределах сжатой зоны сечения. В пределах трещин принимается равномерное давление, определяемое заглублением трещин под уровень воды.
Коэффициенты эффективной площади противодавления α2b для сооружений I и II классов следует определять на основании экспериментальных исследовний с учетом противофильтрационных устройств.
При отсутствии данных экспериментальных исследований в сечениях изгибаемых, внецентренно сжатых и внецентренно растянутых элементов допускается принимать следующие значения α2b:
1,0 - в растянутой зоне сечений и в зоне распространения трещин,
0 - в сжатой зоне сечений элементов.
Высота сжатой зоны бетона определяется исходя из гипотезы плоских сечений. В нетрещиностойких элементах работа растянутого бетона не учитывается, а форма эпюры напряжений бетона в сжатой зоне сечения принимается треугольной.
Вид напряженного состояния сечения при определении дополнительных напряжений устанавливается исходя из гипотезы плоских сечений при действии всех нагрузок без учета силы противодавления.
6.15 При расчете элементов бетонных и железобетонных конструкций гидротехнических сооружений допускается при специальном обосновании учитывать дополнительные связи строительного периода, носящие постоянный характер (эстакады, пазовые конструкции, балки подкрановых путей, дополнительная арматура для производства работ и т.п.).
6.16 Расчеты элементов бетонных и железобетонных конструкций, подлежащих усилению, при их ремонте или реконструкции, следует проводить с учетом фактических классов бетона, напряжений в бетоне и арматуре, имевших место к моменту начала реконструкции, и диаграмм деформирования бетона и арматуры.
6.17 При проектировании гидротехнических сооружений расчеты, которые не регламентированы настоящими нормами (расчеты предварительно напряженных конструкций, расчет сечений в общем случае, в том числе расчет на косое внецентренное сжатие и косой изгиб, расчет коротких консолей, расчет на продавливание и отрыв, расчет закладных деталей и др.), рекомендуется выполнять по указаниям действующих нормативных документов. При этом необходимо учитывать коэффициенты, принятые в настоящих нормах.
Расчет прочности бетонных элементов
7.1 Расчет прочности элементов, условия наступления предельных состояний которых выражаются через усилия (таблицу Г.19), следует производить для сечений, нормальных к их продольной оси, в соответствии с указаниями 7.2 - 7.7 настоящего приложения.
Расчеты прочности элементов, в которых условия наступления предельного состояния не могут быть выражены через усилия в сечениях, следует выполнять для площадок действия главных напряжений в соответствии с указаниями 7.2, 7.3, 7.8 и 7.9 настоящего приложения.
7.2 Внецентренно сжатые элементы, в которых по условиям эксплуатации допускается образование трещин, рассчитываются без учета сопротивления бетона растянутой зоны сечения.
Все изгибаемые элементы, а также внецентренно сжатые элементы, в которых по условиям эксплуатации не допускается образование трещин, рассчитываются с учетом сопротивления бетона растяжению.
7.3 Бетонные конструкции, прочность которых определяется прочностью бетона растянутой зоны сечения, допускается применять в том случае, если образование трещин в них не приводит к разрушению, к недопустимым деформациям или к нарушению водонепроницаемости конструкции. При этом должна быть проведена проверка трещиностойкости элементов таких конструкций с учетом температурно-влажностных воздействий в соответствии с требованиями раздела 9 настоящего приложения.
Изгибаемые элементы
7.4 Расчет бетонных изгибаемых элементов, симметричных относительно плоскости действия нагрузки, условия наступления предельного состояния которых выражаются через усилия, необходимо производить по формуле:
где γlс, γn - коэффициенты, принимаемые по приложению Ж Стандарта;
γс - коэффициент условий работы сооружения, принимаемый по строительным нормам и правилам на проектирование отдельных видов гидротехнических сооружений;
γb = γb1·γb2·γb3·γb4·γb13·γb14·γb15·- коэффициенты условий работы бетона, принимаемые по таблице Г.5;
Rbt - расчетное сопротивление бетона на растяжение;
Wt - момент сопротивления для растянутой грани сечения, определяемый в предположении упругой работы бетона.
Внецентренно сжатые элементы
7.5 Внецентренно сжатые элементы бетонных конструкций, симметричные относительно действия нагрузки, условия наступления предельного состояния которых выражаются через усилия, следует рассчитывать в предположении упругой работы бетона (рисунок Г.1) из условия ограничения величины краевых сжимающих и растягивающих напряжений по следующим формулам.
При расчете без учета сопротивления растянутой зоны сечения:
(Г.23)
где σс - краевое сжимающее напряжение;
φ - коэффициент, учитывающий влияние гибкости элементов и принимаемый по таблице Г.20;
![]()
Rb - расчетное сопротивление бетона на сжатие.
Таблица Г.20
|
l0/b для сечения прямоугольной формы |
l0/r для сечения произвольной симметричной формы |
Коэффициент φ |
|
<4 |
<14 |
1,0 |
|
4 |
14 |
0,98 |
|
6 |
21 |
0,96 |
|
8 |
28 |
0,91 |
|
10 |
35 |
0,86 |
|
Примечание - Обозначения, принятые в таблице : l0 - расчетная длина элемента; b - наименьший размер прямоугольного сечения; r - наименьший радиус инерции сечения. |
||

а - без учета сопротивления бетона растянутой зоны; б - с учетом сопротивления бетона растянутой зоны
Рисунок Г.1 - Схема усилий и эпюра напряжений в сечении, нормальном к продольной оси внецентренно сжатого бетонного элемента
Прямоугольные сечения рассчитываются по формуле:
(Г.24)
где А = bh - площадь поперечного сечения элемента;
η = e0/h - относительный эксцентриситет приложения нагрузки.
При расчете с учетом сопротивления растянутой зоны сечения:
(Г.25)
где Wс - момент сопротивления для сжатой грани сечения, определяемый в предположении упругой работы бетона; γb = γb1·γb2·γb14·γb15
где γb = γb1·γb2·γb3·γb4·γb13·γb14·γb15
По формуле Г.25 следует рассчитывать также внецентренно сжатые бетонные элементы с однозначной эпюрой напряжений при e0 < Wt/A.
7.6 При расчете гибких бетонных элементов при l/b > 12 или l/r > 35 следует учитывать влияние длительного действия нагрузки на несущую способность конструкции в соответствии с требованиями действующих нормативных документов с введением расчетных коэффициентов, принятых в настоящих нормах.
7.7 В элементах прямоугольного сечения, рассчитываемых по формуле Г.24, значение эксцентриситета расчетного усилия относительно центра тяжести сечения не должно превышать 0,3h при основном сочетании нагрузок и при особом сочетании нагрузок, не включающем сейсмические воздействия, и 0,325h - при особом сочетании нагрузок, включающем сейсмические воздействия.
Внецентренно сжатые бетонные элементы при e0 > 0,3h (или e0 > 0,325h) должны проверяться по условию недопущения образования продольных трещин откола:
где σyt - растягивающее напряжение, действующее по продольным площадкам на границе сжатой зоны.
Растягивающие напряжения σyt, a также высота зоны hyt, в пределах которой они действуют, определяются в общем случае расчетом МКЭ.
Для элементов, изготовленных из бетона класса В20 и выше, проверку по условию недопущения образования продольных трещин откола можно не делать, если выполняется условие:
(Г.28)
где γb = γb1·γb5·γb13·γb14·γb15
7.8 Бетонные изгибаемые и внецентренно сжатые элементы, условия наступления предельных состояний которых выражаются через усилия, в случае действия в расчетных сечениях значительных поперечных сил следует проверять по прочности наклонных сечений из условия:
(Г.29)
где γb = γb1·γb2·γb3·γb5·γb13·γb14·γb15
σmt - главное растягивающее напряжение в бетоне, действующее по наклонным площадкам.
Главные растягивающие напряжения определяются на уровне нейтральной оси, на уровне центра тяжести сечения, а также в местах резкого изменения ширины сечения, что характерно для тавровых, двутавровых, крестовых, коробчатых и других сечений.
Главные растягивающие и сжимающие напряжения в бетоне вычисляются по формуле:
(Г.30)
где σх и σу - нормальные напряжения в бетоне на площадках, перпендикулярных соответственно продольной и параллельной продольной оси элемента;
τху - касательные напряжения в бетоне.
Напряжения σх, σу и τху определяются в предположении упругой работы бетона. Напряжения σх и σу подставляются в формулу Г.30 со знаком "+", если они растягивающие, и со знаком "-" - если сжимающие.
Для элементов с переменной высотой сечения касательные напряжения τху следует определять по теории упругости или МКЭ. При значениях угла наклона одной грани по отношению к другой θ до 30° допускается τху определять по формуле:
(Г.31)
где у - расстояние от горизонтальной (вертикальной) грани элемента до точки, в которой определяются значения касательных напряжений;
Sy - статический момент части сечения, ограниченной горизонталью (вертикалью) на расстоянии у от горизонтальной (вертикальной) грани.
При определении коэффициента γb3 высота растянутой зоны сечения ht находится по эпюре напряжений в плоскости действия главных растягивающих напряжений. Если касательные напряжения в поперечном сечении элемента вызваны только действием перерезывающей силы, следует принимать γb3 = 1,0 (т.е. ht = ∞).
7.9 Бетонные элементы, условия наступления предельных состояний которых выражаются через напряжения, следует рассчитывать из условия ограничения величин главных растягивающих σтt и главных сжимающих σтс напряжений. Проверка прочности по главным растягивающим напряжениям производится по формуле Г.31. Проверку прочности по главным сжимающим напряжениям следует выполнять по формуле:
(Г.32)
где γb = γb1·γb2·γb14·γb15
Расчет прочности железобетонных элементов
7.10 Расчет прочности железобетонных элементов, условия наступления предельных состояний которых выражаются через усилия (таблица Г.19), надлежит производить для сечений, нормальных к их продольной оси, а также для наклонных к оси сечений наиболее опасного направления в соответствии с указаниями 7.11-7.18, 7.20 - 7.29, 7.31 настоящего приложения.
При наличии крутящих моментов следует проверить прочность сечений, ограниченных в растянутой зоне спиральной трещиной наиболее опасного из возможных направлений.
Кроме того, следует производить расчет элементов на местное действие нагрузки (смятие, продавливание, отрыв).
Расчет прочности железобетонных элементов, в которых условия наступления предельных состояний не могут быть выражены через усилия в сечениях, следует выполнять для площадок действия главных растягивающих напряжений в бетоне в соответствии с указаниями 7.19 и 7.30 настоящего приложения.
Расчет прочности сечений, нормальных к продольной оси элемента
7.11 Предельные усилия в сечении, нормальном к продольной оси элемента, следует определять, исходя из следующих предпосылок:
- сопротивление бетона растяжению принимается равным нулю;
- сопротивление бетона сжатию представляется напряжениями, равными Rb, распределенными равномерно по сжатой зоне бетона;
- растягивающие напряжения в арматуре принимаются не более расчетного сопротивления растяжению Rs (для стержневой арматуры) и Rsi (для листовой арматуры);
- сжимающие напряжения в арматуре принимаются не более расчетного сопротивления сжатию Rsc и R'si;
- при установке в сечении элемента арматуры разных видов и классов ее вводят в расчет прочности с соответствующими расчетными сопротивлениями.
Примечание - Допускается массивные элементы, высота поперечного сечения которых превышает 1,5 м, рассчитывать в предположении треугольной эпюры напряжений в бетоне сжатой зоны.
7.12 Расчет сечений, нормальных к продольной оси элемента, когда внешняя сила действует в плоскости оси симметрии сечения и арматура сосредоточена у перпендикулярных к указанной плоскости граней элемента, необходимо производить в зависимости от соотношения между относительной высотой сжатой зоны бетона ξ = x/h0 и относительной высотой сжатой зоны бетона ξR, при которой предельное состояние наступает одновременно с достижением в растянутой арматуре напряжения, равного расчетному сопротивлению Rs с учетом соответствующих коэффициентов условий работы арматуры. Относительная высота сжатой зоны ξ определяется из соответствующих условий равновесия элемента под действием системы внешних и внутренних сил.
Изгибаемые и внецентренно растянутые с большим эксцентриситетом железобетонные элементы, как правило, должны удовлетворять условию ξ ≤ ξR. Для элементов, симметричных относительно плоскости действия момента и нормальной силы, армированных ненапрягаемой арматурой, граничные значения надлежит принимать по таблице Г.21, а армированных напрягаемой арматурой - по действующим нормативным документам.
Таблица Г.21
|
Класс арматуры |
Граничные значения ξR при классе бетона |
||
|
В17,5 и ниже |
от В20 до В30 |
В35 и выше |
|
|
А-I |
0,70 |
0,65 |
0,60 |
|
А-II, А-III, Вр-I |
0,65 |
0,60 |
0,50 |
7.13 Если высота сжатой зоны бетона, определенная без учета сжатой арматуры < 2а', то сжатую арматуру в расчете следует не учитывать.
Изгибаемые элементы
7.14 Изгибаемые сталежелезобетонные (железобетонные) элементы из бетона класса В30 и ниже, симметричного относительно вертикальной оси поперечного сечения (рисунок Г.2), при ξ ≤ ξR должны удовлетворять следующему условию прочности:
(Г.33)
При этом положение нейтральной оси определяется из условия:
(Г.34)
В формулах Г.33 и Г.34
Rs, Rsс, Rsi, R'si - расчетные сопротивления соответственно растянутой и сжатой стержневой арматуры, растянутой и сжатой листовой арматуры;
Аb, As, A's, Asi, A'si - площадь поперечного сечения соответственно сжатой зоны бетона, растянутой и сжатой стержневой арматуры, растянутой и сжатой листовой арматуры;
Sb, S's, S'st - статические моменты площади поперечного сечения соответственно сжатой зоны бетона, сжатой стержневой и листовой арматуры относительно точки приложения равнодействующей усилий в растянутой стержневой и листовой арматуре.
Расчетные сопротивления листовой арматуры определяются по действующим нормативным документам.
Для элементов прямоугольного сечения
![]()
![]()
где h и b - соответственно высота и ширина поперечного сечения элемента;
а, а' - расстояние от равнодействующей усилии соответственно в растянутой As и сжатой A's стержневой арматуре до ближайшей грани бетонного сечения;
dsi, d'si - толщина соответственно растянутой Asi и сжатой A's листовой арматуры;
h0 = h-ys-d's - рабочая высота сечения.
Положение точки приложения равнодействующей усилий в растянутой стержневой и листовой арматуре (рисунок Г.2) определяется из условия:
При отсутствии в рассматриваемой конструкции какого-либо элемента армирования (сжатой листовой и стержневой арматуры, растянутой листовой арматуры) в формулах Г.33 и Г.34 следует принимать равными нулю соответствующие этим элементам армирования геометрические характеристики сечения.
Для железобетонных (не имеющих листовой арматуры) элементов прямоугольного сечения условия Г.33 и Г.34 принимают вид:
(Г.36)
(Г.37)
Проверку прочности сталежелезобетонных (железобетонных) элементов из бетона класса В30 и ниже при ξ > ξr допускается производить по формулам Г.35 - Г.39, принимая х = ξr h0.
Проверку прочности железобетонных элементов из бетона класса выше В30 следует производить с учетом расчетных коэффициентов, принятых в настоящих нормах.

Рисунок Г.2 - Схема усилий и эпюра напряжений в сечении, нормальном к продольной оси изгибаемого железобетонного элемента, при расчете его по прочности
Внецентренно сжатые элементы
7.15 Внецентренно сжатые сталежелезобетонные (железобетонные) элементы из бетона ВЗО и ниже симметричного относительно вертикальной оси поперечного сечения (рисунок Г.3) должны отвечать следующему условию прочности:
(Г.38)
где е - эксцентриситет приложения внешней продольной силы относительно точки
приложения равнодействующей усилий в растянутой арматуре.
При этом положение нейтральной оси определяется: при ξ ≤ ξr из условия:
(Г.39)
при ξ > ξr из условия:
(Г.40)
где σs σsi напряжения соответственно в растянутой стержневой и листовой арматуре, определяемые по формулам:
(Г.41)
(Г.42)
Для элементов прямоугольного сечения:
![]()
![]()
При отсутствии в рассматриваемой конструкции какого-либо элемента армирования (сжатой листовой и стержневой арматуры, растянутой листовой арматуры) в формулах Г.38 - Г.40 следует принимать равными нулю соответствующие этим элементам армирования геометрические характеристики поперечного сечения.
Для железобетонных (не имеющих листовой арматуры) элементов прямоугольного сечения условие прочности Г.38 принимает вид:
(Г.43)
При этом положение нейтральной оси определяется: при ξ ≤ ξr из условия:
(Г.44)
при ξ > ξr из условия:
(Г.45)
где σs - напряжение в растянутой стержневой арматуре, определяемое по формуле Г.41.
Проверку прочности внецентренно сжатых железобетонных элементов из бетона класса выше В30 следует производить в соответствии с требованиями действующих нормативных документов с учетом расчетных коэффициентов, принятых в настоящем приложении.

Рисунок Г.3 - Схема усилий и эпюр напряжений в сечении, нормальном к продольной оси внецентренно сжатого железобетонного элемента, при расчете его по прочности
7.16 Расчет внецентренно сжатых элементов любой формы при гибкости l0/r ≥ 35 и элементов прямоугольного сечения при l0/h ≥ 10 производится с учетом прогиба элемента как в плоскости эксцентриситета продольного усилия, так и в нормальной к ней плоскости в соответствии с требованиями действующих нормативных документов.
Внецентренно растянутые элементы
7.17 Проверку прочности внецентренно растянутых сталежелезобетонных (железобетонных) элементов следует производить в зависимости от положения продольной силы N.
Если продольная сила N приложена между равнодействующей усилий в арматуре Аs и Аsi с одной стороны и А's и А'si с другой стороны (рисунок Г.4, а), внецентренно растянутые элементы должны отвечать следующим условиям прочности:
(Г.46)
(Г.47)
Положение равнодействующей усилий в арматуре Аs и Аsi, определяется по формуле Г.35.
Положение равнодействующей усилий в арматуре А's и А'si определяется из условия:
(Г.48)
В сталежелезобетонных элементах прямоугольного сечения
![]()
При проверке прочности железобетонных (не имеющих листовой арматуры) элементов в формулах Г.46 - Г.47 следует принимать равными нулю величины Asi, A'si, dsi и d'si.
Если продольная сила N приложена за пределами расстояния между равнодействующими усилий в арматуре As и Asi, с одной стороны и A's и A'si с другой стороны (рисунок Г.4, б) внецентренно растянутые сталежелезобетонные (железобетонные) элементы при ξ ≤ ξR должны отвечать следующему условию прочности:
(Г.49)
При этом положение нейтральной оси определяется из условия:
(Г.50)
Для элементов прямоугольного сечения:
![]()
![]()
При отсутствии в рассматриваемой конструкции какого-либо элемента армирования (сжатой листовой и стержневой арматуры, растянутой листовой арматуры) в формулах Г.49 и Г.50 следует принимать равными нулю соответствующие этим элементам армирования геометрические характеристики поперечного сечения.
Для железобетонных (не имеющих листовой арматуры) элементов прямоугольного сечения условие прочности Г.49 принимает вид:
(Г.51)
При этом положение нейтральной оси определяется из условия:
(Г.52)
При ξ ≤ ξR расчет прочности внецентренно растянутых сталежелезобетонных (железобетонных) элементов следует производить по формуле Г.51, принимая х = ξR h0
Центрально растянутые элементы
7.18 К центрально растянутым относятся элементы, в которых линия действия продольной силы N совпадает с равнодействующей усилий во всей арматуре поперечного сечения элемента (е' = е ; рисунок Г.4, а).
Центрально растянутые сталежелезобетонные (железобетонные) элементы должны удовлетворять следующему условию прочности:
(Г.53)
Для элементов прямоугольного сечения Asi = bdsi.
Для железобетонных (не имеющих листовой арматуры) элементов условие Г.53 принимает вид:
(Г.54)

а - продольная сила N приложена между равнодействующими усилий в арматуре S S'; б - продольная сила N приложена за пределами расстояния между равнодействующими усилий в арматуре S и S'.
Рисунок Г.4 - Схема усилий и эпюра напряжений в сечении, нормальном к продольной оси внецентренно растянутого железобетонного элемента, при расчете его по прочности
7.19 Сталежелезобетонные элементы водоподводящего тракта ГЭС и ГАЭС (турбинные водоводы, их развилки и колена, турбинные блоки, затворные камеры и др.), сталежелезобетонные конструкции, расположенные в массиве гравитационных плотин и других сооружений, условия наступления предельных состояний которых выражаются через напряжения, при однозначной эпюре напряжений в расчетных сечениях рассчитываются из условий:
(Г.55)
(Г.56)
где σs и σsi - растягивающие напряжения соответственно в стержневой арматуре и в облицовке.
Расчет прочности сечений, наклонных к продольной оси элемента, на действие поперечной силы и изгибающего момента
7.20 При расчете на действие поперечной силы должно соблюдаться условие:
(Г.57)
где b - минимальная ширина элемента в сечении.
7.21 Расчет прочности сечений, наклонных к продольной оси элемента, на действие поперечной силы можно не производить, если соблюдаются условия:
а) для плитных конструкций, работающих пространственно, и для конструкций на упругом основании, за исключением вертикальных консолей подпорных стен:
(Г.58)
б) для всех остальных конструкций:
где Qb - поперечное усилие, воспринимаемое бетоном сжатой зоны в наклонном сечении, определяемое по формуле:
(Г.60)
где φ2 = 0,5 + 2ξ
φ = 1,0 - для элементов с высотой сечения h < 0,6 м;
0,83 - для элементов с высотой сечения h ≥ 0,6 м;
γj - коэффициент, учитывающий влияние строительных швов в зоне действия поперечных сил, принимаемый по таблице Г.22.
Таблица Г.22
|
Lj/hj |
≤0,45 |
0,46 - 0,64 |
≥ 0,65 |
|
γj |
1,0 |
1-[(lj/hj) - 0,45] |
0,80 |
|
Обозначения, принятые в таблице: lj - расстояние между сечением по шву и нормальным сечением, проходящим через конец наклонного сечения в сжатой зоне (рисунок Г.5, а); hj - высота сечения по шву. |
|||
Относительная высота сжатой зоны сечения ξ определяется по формулам:
- для изгибаемых элементов
(Г.61)
- для внецентренно сжатых во всех случаях и внецентренно растянутых элементов с большим эксцентриситетом
(Г.62)
где знаки "+" и "-" следует применять соответственно для внецентренно сжатых и внецентренно растянутых элементов.

а - нагрузка действует в сторону элемента; б - нагрузка действует в сторону от элемента
Рисунок Г.5 - Схема усилий в сечении, наклонном к продольной оси железобетонного элемента, при расчете его по прочности на действие поперечной силы
Для внецентренно растянутых элементов с малым эксцентриситетом следует принимать Qb = 0.
Угол между наклонным сечением и продольной осью элемента определяется по формуле:
(Г.63)
Значение tg β принимается не более 1,5 и не менее 0,5.
Допускается поперечное усилие Qb в условии Г.61 определять по формулам:
(Г.64)
но
не более ![]()
(Г.65)
где φs - коэффициент, учитывающий влияние продольной арматуры определяемый по формуле
(Г.66)
и принимаемый не более 2,0;
φп - коэффициент, учитывающий влияние продольных сил (с учетом противодавления), определяемый по формулам:
- при действии продольных сжимающих сил:
(Г.67)
принимаемый не более 0,5;
- при действии продольных растягивающих сил:
(Г.68)
принимаемый не более 0,8 по абсолютной величине;
с - длина проекции наклонного сечения на продольную ось элемента, отсчитывая от опоры.
В формулах Г.63 и Г.65 М и Q - соответственно изгибающий момент и поперечная сила в нормальном сечении, проходящем через конец наклонного сечения в сжатой зоне.
В общем случае расчета элемента следует задаваться рядом сечений с и определять Qb1 по формуле Г.64. При действии на элемент сосредоточенных сил значения с принимаются равными расстояниям от опоры до точки приложения этих сил.
При действии на элемент распределенной нагрузки интенсивностью g1 значение с определяется по формуле
(Г.69)
Если условие Г.59 при подстановке в правую часть Qb1 вместо Qb не удовлетворяется, следует задаться рядом наклонных сечений, для которых найти значения М и Q, по формуле Г.65 определить значение Qb2 и проверить условие Г.59 при Qb = Qb2.
Расчет поперечной арматуры не производится, если условие Г.59 соблюдается при подстановке в его правую часть одного из поперечных усилий Qb1 или Qb2.
7.22 Расчет поперечной арматуры в наклонных сечениях элементов постоянной высоты (рисунок Г.5) следует производить по формуле:
(Г.70)
где Q1 - поперечная сила, действующая в наклонном сечении, т.е. равнодействующая всех поперечных сил от внешней нагрузки, расположенных по одну сторону от рассматриваемого наклонного сечения;
- суммы поперечных усилий, воспринимаемых
соответственно хомутами и отогнутыми стержнями, пересекающими наклонное
сечение;
α - угол наклона отогнутых стержней к продольной оси элемента в наклонном сечении.
Если внешняя нагрузка действует в сторону элемента, как показано на рисунке Г.5,а, расчетную поперечную силу надлежит определять по формуле:
(Г.71)
где Q - поперечная сила в опорном сечении;
Qg - равнодействующая внешней нагрузки, действующей на элемент в пределах длины проекции наклонного сечения на продольную ось элемента;
V - сила противодавления, действующая в наклонном сечении, определяемая в предположении линейного распределения пьезометрического давления и α2b - 1,0.
Если внешняя нагрузка действует в сторону от элемента, как показано на рисунке Г.5, б, то Qg в формуле Г.71 не учитывается.
7.23 Если условие Г.59 при Qb = Qb1 и Qb = Qb2 не выполняется, расчет элементов, армированных хомутами, допускается производить по наиболее опасному наклонному сечению из условий:
(Г.72)
(Г.73)
где Qsw - поперечное усилие, воспринимаемое хомутами в пределах наиболее опасного наклонного сечения и определяемое по формуле:
(Г.74)
где qsw - усилие в хомутах на единицу длины элемента в пределах наклонного сечения, определяемое по формуле:
(Г.75)
где s - шаг хомутов.
При расчете элементов принимается наименьшее число хомутов, полученных из условий Г.72 и Г.73.
7.24 Расстояние между поперечными стержнями (хомутами), между концом предыдущего и началом последующего отгиба, а также между опорой и концом отгиба, ближайшего к опоре, должно быть не более величины smax, определяемой по формуле:
(Г.76)
7.25 Расчет элементов переменной высоты сечения на действие поперечной силы производится следующим образом:
если одна из граней элемента горизонтальна или вертикальна, а вторая наклонна, то ось элемента принимается соответственно горизонтальной или вертикальной. За рабочую высоту наклонного сечения следует принимать проекцию рабочей части наклонного сечения на нормаль к оси элемента:
- для элемента с наклонной сжатой гранью - у конца наклонного сечения в сжатой зоне (рисунок Г.6, а);
- для элемента с наклонной растянутой гранью - у начала наклонного сечения в растянутой зоне (рисунок Г.6, б);
если обе грани элемента наклонные, за ось элемента следует принимать геометрическое место точек, равноудаленных от граней элемента. За рабочую высоту сечения принимается проекция рабочей части наклонного сечения на нормаль к оси элемента.
7.26 Расчет сечений, наклонных к продольной оси элемента, на действие изгибающего момента следует производить для сечений, проверяемых на прочность при действии поперечных сил, а также для сечений, проходящих через точки изменения площади поперечного сечения продольной растянутой арматуры (точки теоретического обрыва арматуры или изменения ее диаметра), и в местах резкого изменения размеров поперечного сечения элемента по формуле:
(Г.77)
где М - момент всех внешних сил (с учетом противодавления), расположенных по одну сторону от рассматриваемого наклонного сечения относительно оси, которая проходит через точку приложения равнодействующей усилий в сжатой зоне и перпендикулярна плоскости действия момента;
- суммы моментов относительно той же оси
соответственно от усилий в продольной арматуре, в отогнутых стержнях и хомутах,
пересекающих растянутую зону наклонного сечения;
- плечи усилий в продольной арматуре, в
отогнутых стержнях и хомутах относительно той же оси (рисунок Г.7).
Если наклонное сечение расположено в зоне изменения знака изгибающего момента, проверку на изгиб следует производить относительно точек пересечения наклонного сечения с продольной арматурой, расположенной у обеих граней. При этом следует принимать Qb = 0.
Высота сжатой зоны в наклонном сечении, измеренная по нормали к продольной оси элемента, определяется в соответствии с требованиями 7.14 - 7.16 настоящего приложения.


а - наклонная грань сжата; б - наклонная грань растянута
Рисунок Г.6 - Схема усилий в сечении, наклонном к продольной оси железобетонного элемента, с наклонной гранью при расчете его по прочности на действие поперечной силы

Рисунок Г.7 - Схема усилий в сечении, наклонном к продольной оси железобетонного элемента, при расчете его по прочности на действие изгибающего момента
7.27 Элементы с постоянной или плавно изменяющейся высотой сечения допускается не рассчитывать по прочности наклонного сечения на действие изгибающего момента в одном из следующих случаев:
- если вся продольная арматура доводится до опоры или до конца элемента и имеет достаточную анкеровку;
- в плитных пространственно работающих конструкциях;
- если продольные растянутые стержни, обрываемые по длине элемента, заводятся за нормальное сечение, в котором они не требуются по расчету, на длину lg и более, определяемую по формуле:
(Г.78)
где Q - поперечная сила в нормальном сечении, проходящем через точку теоретического обрыва стержня;
Аs,inc; α - соответственно площадь сечения и угол наклона отогнутых стержней, расположенных в пределах участка длиной lg;
qsw - усилие в хомутах на единицу длины элемента на участке длиной lg, определяемое по формуле:
(Г.79)
здесь d - диаметр обрываемого стержня, см; если выполняется условие:
(Г.80)
в конструкциях на упругом основании, за исключением подпорных стен.
7.29 Расчет консоли, длина которой равна или меньше ее высоты в опорном сечении h (короткая консоль), следует производить по действующим нормативным документам.
7.30 Железобетонные элементы, наступление предельных состояний которых выражается через главные напряжения в бетоне, рекомендуется рассчитывать из следующих условий:
(Г.81)
где Кх, Ky, Kz - коэффициенты, учитывающие схему армирования элемента и влияние работы арматуры на сдвиг (нагельный эффект);
μх, μу, μz - коэффициенты армирования сечений, перпендикулярных соответственно осям х, у и z.
Значения коэффициентов Кх, Ky и Kz определяются экспериментально. Допускается значения коэффициентов Кх, Ky и Kz определять по графикам приложения Г.5 настоящего приложения в зависимости от диаметра арматуры и углов наклона αх, αу и αz траектории напряжений σmt к осям х, у и z.
При αi ≤ 20° следует принимать Ki = 1,0.
В случаях, когда главные растягивающие напряжения σmt воспринимаются арматурными стержнями, ориентированными по двум взаимно перпендикулярным направлениям (армирование ортогональными сетками), или только стержнями, ориентированными вдоль траектории напряжений σmt, в условиях Г.81 следует принимать:
- при армировании сетками:
![]()
- при армировании стержнями, параллельными вектору σmt:
![]()
7.31 При проектировании массивных железобетонных элементов прямоугольного сечения, предельные состояния которых выражаются через усилия, следует проверять прочность продольных сечений на уровне нейтральной оси и на уровне продольных строительных швов на действие вторичных (после образования трещин в растянутой зоне элемента) напряжений в бетоне из условий:
- на уровне нейтральной оси:
(Г.82)
- на уровне продольного строительного шва:
(Г.83)
(Г.84)
где σsw - растягивающие напряжения в хомутах на уровне ней тральной оси;
σsw,j, τsw,j - соответственно растягивающие и касательные напряжения в хомутах на уровне продольного строительного шва;
KR (Rsw, Rb) - критерий прочности на срез хомутов при их нагельной работе.
Критерий KR (Rsw, Rb) определяется экспериментально.
Для сооружений III и IV классов допускается принимать
(Г.85)
Растягивающие напряжения в хомутах на уровне нейтральной оси определяются по формуле:
(Г.86)
где σ't - максимальное вторичное растягивающее напряжение в бетоне на уровне нейтральной оси;
b - ширина сечения элемента;
т - число стержней хомутов в поперечном сечении элемента;
dsw, s - соответственно диаметр стержней и шаг хомутов.
Растягивающие напряжения в хомутах на уровне продольного строительного шва определяются по формуле:
(Г.87)
где σ't,i - максимальное вторичное поперечное растягивающее напряжение в бетоне на уровне продольного строительного шва.
Касательные напряжения в хомутах на уровне продольного строительного шва определяются по формуле:
(Г.88)
где τj - среднее значение касательных напряжений на уровне продольного строительного шва;
Rsh,j - прочность продольного строительного шва на сдвиг при наличии нормальных растягивающих напряжений σ't,j.
Значения τj определяются по формуле:
(Г.89)
где τ0j и τ'j - касательные напряжения на уровне продольного строительного шва на участке между нормальными трещинами в растянутой зоне элемента соответственно до образования нормальных трещин и после их образования.
Прочность продольного строительного шва на срез определяется по формулам:
- для необработанного шва:
(Г.90)
- для обработанного шва (снятие цементной пленки, устройство штраб и т.п.):
(Г.91)
Касательные напряжения в бетоне на уровне продольного строительного шва до образования нормальных трещин определяются по формуле:
(Г.92)
где Sj - статический момент части поперечного сечения, ограниченной строительным швом.
Вторичные напряжения в элементе σ't; σ't,j; τ0j определяются из расчетов элементов с трещинами численными методами или по методике вторичных полей напряжений на основе блочной модели элемента с трещинами при действии изгибающего момента М и перерезывающей силы Q.
Расчет выносливости железобетонных элементов
7.32 Расчет выносливости сечений, нормальных к продольной оси элемента должен производиться из условий:
- для сжатого бетона
(Г.93)
- для растянутой арматуры
(Г.94)
где σс и σs - максимальные значения соответственно сжимающих напряжений в бетоне и растягивающих напряжений в арматуре;
![]()
Сжатая арматура на выносливость не рассчитывается.
7.33 В трещиностойких элементах напряжения в бетоне о с и в арматуре о s определяются в зоне действия максимального изгибающего момента по расчету как для упругого тела по приведенным сечениям с учетом указаний 4.34 настоящего приложения.
В нетрещиностойких элементах площадь и момент сопротивления приведенного сечения следует определять без учета растянутой зоны бетона. Напряжения в арматуре следует определять согласно 8.7 настоящего приложения.
7.34 Расчет выносливости сечений, наклонных к продольной оси элемента, следует выполнять из условия:
(Г.95)
где σmt - главные растягивающие напряжения в бетоне;
![]()
Величину главных растягивающих напряжений в бетоне следует определять по формуле Г.30 с учетом указаний 7.8 настоящего приложения.
Для стержневых элементов прямоугольного сечения с параллельными растянутой и сжатой гранями допускается при определении главных растягивающих напряжений принимать σу = 0, а напряжения σх и τху определять по формулам:
(Г.96)
(Г.97)
где Ared и Ired - площадь и момент инерции приведенного сечения относительно его центра тяжести;
Sred - статический момент части приведенного сечения, лежащей по одну сторону от оси, на уровне которой определяются касательные напряжения;
у - расстояние от центра тяжести приведенного сечения до линии, на уровне которой определяются касательные напряжения;
b - ширина сечения на том же уровне.
В формуле Г.96 знак "+" принимается для внецентренно растянутых, а знак "-" - для внецентренно сжатых элементов.
Геометрические параметры приведенного сечения следует определять с учетом указаний 4.34 настоящего приложения.
Для элементов с переменной высотой сечения касательные напряжения τху следует определять с учетом указаний 7.8 настоящего приложения.
Если условие Г.95 не выполняется, то равнодействующая главных растягивающих напряжений должна быть полностью передана на поперечную арматуру при напряжениях в ней σs ≤ γs1Rs.
Расчет бетонных и железобетонных элементов по образованию трещин
8.1 Расчет бетонных и железобетонных элементов по образованию трещин следует производить:
- в случаях, когда по условиям эксплуатации трещины не допускаются;
- для выявления зон трещинообразования при расчете статически неопределимых стержневых и массивных конструкций в соответствии с 6.8 и 6.9 настоящего приложения;
- при наличии специальных требований норм проектирования отдельных видов гидротехнических сооружений.
К числу конструкций, в которых трещины не допускаются, относятся:
- напорные и безнапорные элементы, находящиеся в зоне переменного уровня воды и подвергающиеся периодическому замораживанию и оттаиванию при невозможности устройства необходимых защитных мероприятий;
- конструкции, к которым предъявляется требование водонепроницаемости в тех случаях, когда это требование невозможно обеспечить конструктивными и технологическими мероприятиями;
- элементы причальных набережных, погружаемые в грунт забивкой или вибрированием;
- лицевые элементы причальных набережных, сваи и сваи-оболочки для стадий изготовления, транспортировки и монтажа.
8.2 Расчет стержневых железобетонных элементов по образованию трещин, нормальных к их продольной оси, следует производить:
- для центрально растянутых элементов по формуле:
(Г.98)
где ![]()
При γb8·γb9 > 2 следует принимать γb8·γb9 = 2,0.
- для изгибаемых элементов по формуле:
(Г.99)
где ![]()
При γb8·γb10 >2 следует принимать γb8·γb10 = 2,0.
- для внецентренно сжатых элементов по формуле:
(Г.100)
где ![]()
При γb8·γb10 > 2 следует принимать γb8·γb10 = 2,0.
- для внецентренно растянутых элементов по формуле:
(Г.101)
где ![]()
При расчете по формуле Г.101 следует принимать:
γb9 - как для центрально растянутого элемента такого же поперечного сечения;
γb10 - как для изгибаемого элемента такого же поперечного сечения.
Примечание - В формулах Г.98 - Г.101 знак равенства соответствует условию образования трещин, знак неравенства - условию трещиностойкости.
8.3 Расчеты по образованию трещин, нормальных к продольной оси бетонных элементов, предельные состояния которых выражаются через усилия, следует производить по формулам Г.22 и Г.26, принимая в них γn = 1,0, γlс = 1,0 и Rbt,ser вместо Rbt.
8.4 Расчеты по образованию трещин по главным растягивающим напряжениям выполняются:
- для оценки трещиностойкости сечений, наклонных к продольной оси стержневых бетонных и железобетонных конструкций;
- для оценки трещиностойкости объемных бетонных и железобетонных конструкций, предельные состояния которых не могут быть выражены через усилия;
- для оценки трещиностойкости бетонных и железобетонных конструкций при действии многократно повторяющейся нагрузки.
Расчеты по образованию трещин в этих случаях выполняются из условия:
(Г.103)
где
- при расчетах бетонных элементов,
- при расчетах железобетонных элементов;
- при расчетах бетонных элементов при
действии многократно повторяющейся нагрузки;
- при расчетах железобетонных элементов при
действии многократно повторяющейся нагрузки.
Напряженное состояние элементов определяется в соответствии с указаниями 7.8 настоящего приложения. Проверка условия Г.102 производится для наружных граней элементов, в точках пересечения их с главными центральными осями инерции приведенного сечения, а для элементов таврового, двутаврового и коробчатого сечений также в местах примыкания сжатых полок к стенке.
При определении коэффициентов γb3 - для бетонных конструкций и γb10 - для железобетонных конструкций высота растянутой зоны сечения ht находится по эпюре напряжений в плоскости главных растягивающих напряжений.
Коэффициент γb8 вычисляется в зависимости от схемы армирования (однорядное или многорядное, дисперсное или обычное) области элемента, для которой производится проверка трещиностойкости.
Расчет железобетонных элементов по раскрытию трещин
8.5 В нетрещиностойких стержневых элементах расчет по раскрытию нормальных к продольной оси трещин следует выполнять из условия
(Г.103)
где асr - расчетная ширина раскрытия трещин, мм;
Δсr - допускаемая ширина раскрытия трещин, мм, определяемая по 9.8 настоящего приложения.
8.6 Ширину раскрытия трещин асr, мм, следует определять по формуле:
(Г.104)
где δ - коэффициент, принимаемый равным для элементов:
изгибаемых и внецентренно сжатых . . . . . . . . . . . . . 1,0
центрально и внецентренно растянутых . . . . . . . . . . 1,2;
φl - коэффициент, принимаемый равным:
при учете временного действия нагрузок:
при Fl/Fc < 2/3 . . . . . . . . . . . . . . . . . . . . . . . . . . . . . . . . 1,0
при Fl/Fc ≥ 2/3 . . . . . . . . . . . . . . . . . . . . . . . . . . . . . . . . 1,3,
здесь Fc и Fl - наибольшие обобщенные усилия (изгибающий момент, нормальная сила и т.п.) соответственно от действия полной нагрузки (постоянной, длительной, кратковременной) и от действия постоянной и длительной нагрузок;
при учете многократно повторяющейся нагрузки:
при воздушно-сухом состоянии бетона . . . . . . . . . . . . . . . . 2 - р е,
здесь ρs - коэффициент асимметрии цикла;
при водонасыщенном состоянии бетона . . . . . . . . . . . . . . . 0,9
η - коэффициент, принимаемый равным при арматуре:
стержневой периодического профиля . . . . . . . . . . . . . . . . . 1,0
гладкой стержневой . . . . . . . . . . . . . . . . . . . . . . . . . . . . . . . . 1,4
проволочной периодического профиля . . . . . . . . . . . . . . . . 1,2;
σs - напряжение в растянутой арматуре, определяемое в соответствии с 9.7 настоящего приложения без учета сопротивления бетона растянутой зоны сечения; с учетом фильтрационного давления воды, определяемого в соответствии с 7.13 и 7.14 настоящего приложения;
σs,bg - начальное растягивающее напряжение в арматуре от набухания бетона. Для конструкций, находящихся в воде, σs,bg = 20 МПа; для конструкций, подверженных длительному высыханию, в том числе во время строительства
σs,bg = 0;
μ - коэффициент армирования сечения, μ = As/(bh0), но не более 0,02;
d - диаметр стержневой арматуры, мм.
При различных диаметрах стержней следует принимать
![]()
здесь п - число стержней одного диаметра.
8.7 Напряжения в арматуре при расчетах ширины раскрытия трещин следует определять по следующим формулам:
- для изгибаемых элементов
(Г.105)
- для центрально растянутых элементов
(Г.106)
- для внецентренно растянутых и внецентренно сжатых элементов при больших эксцентриситетах
(Г.107)
- для внецентренно растянутых элементов при малых эксцентриситетах:
- для арматуры S
(Г.108)
- для арматуры S'
(Г.109)
В формуле Г.105 знак "+" принимается при внецентренном растяжении, "-" - при внецентренном сжатии.
В формулах Г.105 и Г.107 z (плечо внутренней пары сил) допускается принимать по результатам расчета сечений на прочность при расчетных нагрузках.
8.8 Допускаемую ширину раскрытия трещин Δcr, мм, для массивных напорных конструкций следует принимать не более величин, приведенных в таблицах Г.23, Г.24, Г.25 по условиям коррозионной стойкости, сохранности арматуры и по влиянию процессов замораживания-оттаивания.
Для сооружений II - IV классов предельная ширина раскрытия тещин определяется умножением полученных по таблицам значений Δcr, мм, на коэффициенты, равные соответственно 1,3; 1,6; 2,0. При этом ширина раскрытия трещин принимается не более 0,5 мм.
Для тонкостенных конструкций при отсутствии агрессивной среды допустимая ширина раскрытия трещин принимается в соответствии с указаниями действующих нормативных документов.
Приведенные в таблицах Г.23, Г.24, Г.25 значения Δcr принимаются с учетом применения арматуры классов A-I, А-II, А-III, Вр-I. При применении арматуры других классов предельная ширина раскрытия трещин принимается не более величин, полученных по настоящим таблицам.
При бикарбонатной щелочности воды-среды, меньшей 1 мг·экв/л, или суммарной концентрации ионов Сl и SO4, большей 1000 мг/л, значения Δcr следует уменьшать в два раза.
При среднегодовом значении бикарбонатной щелочности воды-среды, меньшей 0,25 мг·экв/л, и при отсутствии защитных мероприятий напорные конструкции следует проектировать трещиностойкими.
Значения Δcr при использовании защитных мероприятий следует устанавливать на основании специальных исследований.
При диаметрах арматуры 40 мм и более значение Δcr, допускается увеличивать на 25 %.
Для тонкостенных конструкций (с высотой сечения менее 1,5 м) ширину допускаемого раскрытия трещин Δcr следует умножать на коэффициент 0,5.
Таблица Г.23
|
Гидрокарбонатная щелочность воды W, мг·экв/л |
Максимальное значение В/Ц бетона при напоре Н, м |
Допускаемая ширина раскрытия трещин Δcr, мм, в сооружениях I класса по условию коррозионной стойкости |
||
|
10 |
50 |
200 |
||
|
≤0,25 |
0,50 |
0,48 |
0,45 |
Не допускается |
|
0,4 |
0,55 |
0,50 |
0,45 |
0,05 |
|
0,4 |
0,48 |
0,45 |
0,42 |
0,10 |
|
0,8 |
0,63 |
0,48 |
0,52 |
0,05 |
|
0,8 |
0,59 |
0,55 |
0,50 |
0,10 |
|
0,8 |
0,56 |
0,52 |
0,48 |
0,15 |
|
0,8 |
0,54 |
0,50 |
0,46 |
0,20 |
|
0,8 |
0,52 |
0,49 |
0,45 |
0,25 |
|
0,8 |
0,50 |
0,47 |
0,44 |
0,35 |
|
0,8 |
0,48 |
0,45 |
0,43 |
0,50 |
|
1,6 |
0,70 |
0,69 |
0,64 |
0,05 |
|
1,6 |
0,70 |
0,66 |
0,62 |
0,10 |
|
1,6 |
0,68 |
0,64 |
0,60 |
0,15 |
|
1,6 |
0,66 |
0,62 |
0,58 |
0,20 |
|
1,6 |
0,64 |
0,60 |
0,57 |
0,25 |
|
1,6 |
0,62 |
0,58 |
0,55 |
0,35 |
|
1,6 |
0,60 |
0,56 |
0,53 |
0,50 |
|
2,4 |
0,70 |
0,70 |
0,70 |
0,05 |
|
2,4 |
0,70 |
0,70 |
0,69 |
0,10 |
|
2,4 |
0,70 |
0,70 |
0,66 |
0,15 |
|
2,4 |
0,70 |
0,66 |
0,62 |
0,25 |
|
2,4 |
0,68 |
0,64 |
0,60 |
0,35 |
|
2,4 |
0,66 |
0,62 |
0,59 |
0,50 |
|
≥3,2 |
Не ограничивается |
|||
Таблица Г.24
|
Условия воздействия среды на конструкцию |
Градиент напора I |
Допускаемая ширина раскрытия трещин Δcr, мм, в сооружениях I класса по условию сохранности арматуры при суммарной концентрации ионов [Сl'] + 0,25 [SO4''] в водной среде, мг/л |
|||
|
<50 |
100 |
200 |
400-1000 |
||
|
Постоянное водонасыщение |
До 5 |
0,50 |
0,40 |
0,35 |
0,30 |
|
|
50 |
0,45 |
0,35 |
0,30 |
0,25 |
|
|
300 |
0,40 |
0,30 |
0,25 |
0,20 |
|
Периодические насыщения водой при числе циклов в год: |
|
|
|
|
|
|
<100 |
До 5 |
0,30 |
0,25 |
0,20 |
0,15 |
|
|
50 |
0,30 |
0,20 |
0,15 |
0,10 |
|
|
300 |
0,30 |
0,20 |
0,10 |
0,05 |
|
200-1000 |
До 5 |
0,25 |
0,20 |
0,15 |
0,10 |
|
|
50 |
0,20 |
0,15 |
0,10 |
0,05 |
|
|
300 |
0,20 |
0,10 |
0,10 |
0,05 |
|
Капиллярный подсос, брызги |
- |
0,20 |
0,15 |
0,10 |
0,05 |
Таблица Г.25
|
Расчетное число циклов замораживания |
Марка бетона по морозостойкости |
Допускаемая ширина раскрытия трещин Δcr, мм, в сооружениях I класса по условию замораживания и оттаивания |
|||||
|
в пресной воде в зоне припая льда при температуре воздуха, ° С |
на воздухе в зоне капиллярного поднятия воды при температуре воздуха, ° С |
||||||
|
-9±4 |
-19±5 |
-30±5 |
-9±4 |
-19±5 |
-30±5 |
||
|
|
F50 |
0,05 |
0 |
0 |
0,15 |
0,10 |
0 |
|
|
F100 |
0,10 |
0,05 |
0 |
0,20 |
0,15 |
0,10 |
|
50 |
F200 |
0,20 |
0,15 |
0,05 |
0,30 |
0,25 |
0,15 |
|
|
F300 |
0,30 |
0,25 |
0,15 |
0,40 |
0,30 |
0,20 |
|
|
F400 |
0,30 |
0,30 |
0,20 |
0,50 |
0,40 |
0,25 |
|
|
F50 |
0 |
0 |
0 |
0 |
0 |
0 |
|
|
F100 |
0,05 |
0 |
0 |
0,15 |
0,10 |
0 |
|
100 |
F200 |
0,15 |
0,10 |
0,05 |
0,25 |
0,15 |
0,10 |
|
|
F300 |
0,25 |
0,20 |
0,10 |
0,35 |
0,25 |
0,15 |
|
|
F400 |
0,30 |
0,25 |
0,15 |
0,40 |
0,30 |
0,20 |
|
|
F50 |
0 |
0 |
0 |
0 |
0 |
0 |
|
|
F100 |
0 |
0 |
0 |
0 |
0 |
0 |
|
200 |
F200 |
0,10 |
0,05 |
0 |
0,20 |
0,10 |
0,05 |
|
|
F300 |
0,20 |
0,10 |
0,05 |
0,30 |
0,20 |
0,10 |
|
|
F400 |
0,30 |
0,15 |
0,10 |
0,35 |
0,25 |
0,15 |
|
|
F50 |
0 |
0 |
0 |
0 |
0 |
0 |
|
|
F100 |
0 |
0 |
0 |
0 |
0 |
0 |
|
300 |
F200 |
0,05 |
0 |
0 |
0,15 |
0,05 |
0 |
|
|
F300 |
0,15 |
0,05 |
0 |
0,25 |
0,10 |
0,05 |
|
|
F400 |
0,25 |
0,10 |
0,05 |
0,30 |
020 |
0,10 |
Расчет элементов железобетонных конструкций по деформациям
8.9 Деформации железобетонных конструкций, а также усилия в элементах статически неопределимых конструкций определяются методами строительной механики с учетом трещин и неупругих свойств бетона.
При сложных статически неопределимых системах допускается определять перемещения по формулам сопротивления материалов.
8.10 При кратковременном действии нагрузки жесткость изгибаемых, внецентренно сжатых и внецентренно растянутых элементов следует определять по формулам:
- для трещиностойких элементов или их участков
Вк = 0,9 EbIred, (Г.110)
- для нетрещиностойких элементов или их участков
Вк = 1,1Eb(Ib + vIs) (Г.111)
Для определения жесткости нетрещиностойких участков изгибаемых элементов прямоугольного поперечного сечения допускается использовать зависимость и номограмму, приведенные в справочном приложении Г.6.
8.11 При одновременном действии кратковременных и длительных нагрузок жесткость изгибаемых, внецентренно сжатых и внецентренно растянутых элементов следует определять по формулам:
- для трещиностойких элементов или их участков
В = 0,8EbIred; (Г.112)
- для нетрещиностойких элементов или их участков
В = Вк(С + V)/(δC + V), (Г.113)
где С - обобщенное усилие от длительно действующих нагрузок;
V - обобщенное усилие от кратковременно действующих нагрузок;
δ - коэффициент снижения жесткости. Для тавровых сечений с полкой в сжатой зоне δ = 1,5, в растянутой зоне δ = 2,5, для прямоугольных, двутавровых, коробчатых и других замкнутых сечений δ = 2.
9.1 Учет температурных воздействий производится:
- при расчете прочности бетонных конструкций в соответствии с 8.3 настоящего приложения, а также при расчете их по образованию (недопущению) трещин в случаях, когда нарушение монолитности этих конструкций может изменить статическую схему их работы, вызвать дополнительные внешние воздействия или увеличение противодавления, привести к снижению водонепроницаемости и долговечности конструкции;
- при расчете статически неопределимых железобетонных конструкций, а также при расчете железобетонных конструкций по образованию (недопущению) трещин в случаях, указанных в 8.1 настоящего приложения;
- при определении деформаций и перемещений элементов сооружений для назначения конструкций температурных швов и противофильтрационных уплотнений;
- для назначения температурных режимов, требуемых по условиям возведения сооружения и нормальной его эксплуатации;
- при расчете тонкостенных железобетонных элементов непрямоугольного сечения (тавровых, кольцевых), контактирующих с грунтом.
Температурные воздействия допускается не учитывать в расчетах тонкостенных конструкций, если обеспечена свобода перемещений этих конструкций.
Перечень случаев учета температурных воздействий при соответствующем обосновании может быть дополнен (или сокращен) проектной организацией.
9.2 При расчете бетонных и железобетонных конструкций следует учитывать температурные воздействия эксплуатационного и строительного периодов.
Температурные воздействия строительного периода определяются с учетом экзотермии и других условий твердения бетона, включая конструктивные и технологические мероприятия по регулированию температурного режима конструкции, температуры замыкания строительных швов, полного остывания конструкции до среднемноголетних эксплуатационных температур, колебаний температуры наружного воздуха и воды в водоемах.
К температурным воздействиям эксплуатационного периода относятся климатические колебания температуры наружного воздуха, воды в водоемах и эксплуатационный подогрев (или охлаждение) сооружения.
Конкретный перечень температурных воздействий, учитываемых в расчетах бетонных и железобетонных конструкций основных видов гидротехнических сооружений, должен устанавливаться нормами на проектирование соответствующих видов сооружений.
9.3 В расчетах бетонных и железобетонных конструкций гидротехнических сооружений на температурные воздействия при соответствующем обосновании допускается учитывать тепловое влияние солнечной радиации.
9.4 Учет влажностных воздействий при расчете бетонных и железобетонных конструкций должен быть обоснован в зависимости от возможности развития усадки или набухания бетона этих конструкций.
Допускается не учитывать усадку бетона в расчетах:
- массивных конструкций;
- тонкостенных конструкций, находящихся под водой, контактирующих с водой или засыпанных грунтом, если были предусмотрены меры по предотвращению высыхания бетона в период строительства.
9.5 Температурные и влажностные поля конструкций рассчитываются методами строительной физики с использованием основных положений, принятых для нестационарных процессов.
9.6 Данные о температуре и влажности наружного воздуха и другие климатологические характеристики должны приниматься на основе метеорологических наблюдений в районе строительства. При отсутствии таких наблюдений необходимые сведения следует принимать по официальным данным Государственной гидрометеорологической службы.
Температура воды в водоемах должна определяться на основе специальных расчетов и по аналогам.
9.7 Для сооружений I класса теплофизические характеристики бетона устанавливаются на основании специальных исследований. Для сооружений других классов и при предварительном проектировании сооружений I класса указанные характеристики бетона допускается принимать по таблицам Г.2.1 и Г.2.2 рекомендуемого приложения Г.2.
9.8 Деформативные характеристики бетона, необходимые для расчета термонапряженного состояния конструкций, допускается принимать:
- начальный модуль упругости бетона, МПа, в возрасте менее 180 сут. - по формуле:
(Г.114)
где χ - безразмерный параметр, принимаемый по таблице Г.2.3 рекомендуемого приложения Г.2;
t - возраст бетона, сут.;
- начальный модуль упругости бетона в возрасте 180 сут. и более следует принимать в соответствии с 4.26 настоящего приложения.
Характеристики ползучести бетона принимаются по таблице Г.2.4 рекомендуемого приложения Г.2.
Для сооружений I класса деформативные характеристики бетона следует уточнять исследованиями на образцах из бетона производственного состава.
9.9 Расчет бетонных и железобетонных конструкций по образованию (недопущению) температурных трещин следует производить по формулам:
- при проверке образования трещин и определении их размеров:
(Г.115)
Для образования поверхностной трещины необходимо, чтобы условие Г.115 выполнялось в пределах зоны растяжения, глубина которой в направлении, перпендикулярном поверхности, была бы не менее 1,3dmax, где dmax - максимальный размер крупного заполнителя бетона;
- при недопущении трещин в конструкциях, рассчитываемых по второй группе предельных состояний:
(Г.116)
- при недопущении трещин в конструкциях, рассчитываемых по первой группе предельных состояний:
(Г.117)
В этих формулах:
А(t) - работа растягивающих напряжений, нормальных к плоскости трещины, на соответствующей им разности полных и вынужденных темературных деформаций; значение A(t) определяется в соответствии с 9.10 настоящего приложения;
Rbtn; Rbt - соответственно нормативное и расчетное сопротивление бетона на осевое растяжение, определяемое в соответствии с 4.13 настоящего приложения;
η - коэффициент перехода от нормативного сопротивления бетона на осевое растяжение к средней прочности на осевое растяжение бетона производственного состава, определяемый в соответствии с 9.11 настоящего приложения;
ψ (t) - коэффициент, учитывающий зависимость прочности бетона на осевое растяжение от возраста t и принимаемый в соответствии с 9.12 настоящего приложения;
Еb(t) - модуль упругости бетона, определяемый в соответствии с 9.8 настоящего приложения;
γb6 - коэффициент условий работы, равный для массивных сооружений - 1,15, для остальных - 1,0.
9.10 Значение работы А(t) находится по следующим формулам:
- для случая одноосного растяжения и плоского напряженного состояния:
(Г.118)
- для плоскодеформированного состояния:
(Г.119)
где τ - текущее время;
to - время схватывания бетона;
Т(τ) - температура бетона в момент времени τ;
α - температурный коэффициент линейного расширения бетона;
ε(τ) - деформации бетона, определяемые с учетом переменных во времени модуля упругости и ползучести бетона;
σ+(τ) - растягивающие напряжения в бетоне:
σ+(τ) = σ(τ) при σ(τ) > 0;
σ+(τ) = 0 при σ(τ) ≤ 0,
где σ(τ) - напряжения в бетоне, определенные с учетом переменных во времени модуля упругости и ползучести бетона.
9.11 Коэффициент η определяется по формуле
(Г.120)
где и - коэффициент, зависящий от установленной обеспеченности гарантированной прочности бетона и равный
1,64 при q = 0,95;
1,28 при q = 0,90 и
1,04 при q = 0,85;
v - коэффициент вариации прочности бетона производственного состава.
Для сооружений I и II классов значения коэффициента v устанавливаются путем испытаний образцов бетона производственного состава. Для сооружений других классов и при предварительном проектировании сооружений I и II классов допускается принимать
v = 0,135 при q = 0,95,
v = 0,173 при q = 0,90,
v = 0,213 при q = 0,85.
9.12 Значения ψ (τ) в зависимости от возраста бетона следует принимать для строительного периода по таблице Г.2.5 рекомендуемого приложения Г.2, для эксплуатационного периода, как правило, равным 1,0.
Для сооружений I и II классов коэффициент ψ (t) следует уточнять исследованиями на крупномасштабных образцах из бетона производственного состава.
9.13 Для сооружений I и II классов в технико-экономическом обосновании, а для сооружений Ш и IV классов - во всех случаях допускается расчет по образованию (недопущению) трещин от температурных воздействий производить по формуле:
(Г.121)
где σ(t) - температурные напряжения в момент времени t;
εlim - предельная растяжимость бетона, определяемая по таблице Г.2.6 рекомендуемого приложения Г.2;
φ(t) -коэффициент, учитывающий зависимость εlim от возраста бетона, определяемый по таблице Г.2.7 рекомендуемого приложения Г.2.
При определении коэффициента γb3 значения ht следует принимать равными длине участка эпюры растягивающих напряжений в пределах блока. В расчетах по формуле Г.121 следует принимать γb3 = 1 при ht ≥ 100 см или при наличии на участке эпюры растягивающих напряжений зоны с нулевым градиентом напряжений.
Усилия от внешних нагрузок и воздействий в поперечном сечении элемента
М - изгибающий момент;
N - продольная сила;
Q - перерезывающая сила.
Характеристики материалов
Rb, Rbt, Rb,ser, Rbt,ser - расчетные сопротивления бетона осевому сжатию и осевому растяжению соответственно для предельных состояний первой и второй групп в возрасте бетона 180 суток (или 1 год);
Rs, Rsi - расчетные сопротивления соответственно стержневой и листовой арматуры;
Rsw - расчетное сопротивление поперечной арматуры растяжению для предельных состояний первой группы при расчете сечений, наклонных к продольной оси элемента;
Rsс - расчетное сопротивление арматуры сжатию для предельных состояний первой группы;
Еb - начальный модуль упругости бетона при сжатии и растяжении;
Еs - модуль упругости арматуры ;
v - отношение соответствующих модулей упругости арматуры Es и бетона Еb.
Характеристики положения продольной арматуры в поперечном сечении элемента
S - обозначение продольной арматуры:
а) для изгибаемых элементов - расположенной в зоне, растянутой от действия внешних усилий;
б) для сжатых элементов - расположенной в зоне, растянутой от действия усилий или у наименее сжатой стороны сечения;
в) для внецентренно растянутых элементов - наименее удаленной от точки приложения внешней продольной силы;
г) для центрально растянутых элементов - всей в поперечном сечении элемента;
S' - обозначение продольной арматуры:
а) для изгибаемых элементов - расположенной в зоне, сжатой от действия внешних усилий;
б) для сжатых элементов - расположенной в зоне, сжатой от действия внешних усилий или у наиболее сжатой стороны сечения;
в) для внецентренно растянутых элементов - наиболее удаленной от точки приложения внешней продольной силы.
Геометрические характеристики
b - ширина прямоугольного сечения, ширина ребра таврового или двутаврового сечения;
h - высота прямоугольного, таврового или двутаврового сечения;
а, а' - расстояние от равнодействующей усилии соответственно в арматуре S и S' до ближайшей грани сечения;
h0, h'0 - рабочая высота сечения (h0 = h - а; h'0 = h - а');
х - высота сжатой зоны сечения (бетона);
ξ - относительная высота сжатой зоны бетона, равная х/h0;
s - расстояние между хомутами, измеренное по длине элемента;
e0 - эксцентриситет продольной силы N относительно центра тяжести приведенного сечения;
е, е' - расстояние от точки приложения продольной силы соответственно до равнодействующих усилий в арматуре S и S';
d - номинальный диаметр арматурных стержней;
А - площадь всего бетона в поперечном сечении;
Аb - площадь сечения сжатой зоны бетона;
Аred - площадь приведенного сечения элемента;
As, A's - площадь сечений арматуры соответственно S и S';
Asw - площадь сечения хомутов, расположенных в одной нормальной к продольной оси элемента плоскости, пересекающей наклонное сечение;
As,inс - площадь сечения отогнутых стержней, расположенных в одной наклонной к продольной оси элемента плоскости, пересекающей наклонное сечение;
I - момент инерции сечения бетона относительно центра тяжести сечения элемента;
Ired - момент инерции приведенного сечения относительно его центра тяжести;
Is - момент инерции площади сечения арматуры относительно центра тяжести сечения элемента;
Ib - момент инерции сжатой зоны бетона относительно центра тяжести сечения;
Sb - статический момент площади сечения сжатой зоны бетона относительно точки приложения равнодействующей усилий в арматуре S;
Ss, S's - статические моменты площади сечения всей продольной арматуры относительно точки приложения равнодействующей усилий соответственно в арматуре Ss и S's
Коэффициенты
γlc - сочетаний нагрузок;
γn - надежности по назначению сооружений;
γc - условий работы сооружения;
γb - условий работы бетона;
γs - условий работы арматуры;
μ - армирования, определяемый как отношение площади сечения арматуры S к площади поперечного сечения элемента b h0, без учета свесов сжатых и растянутых полок.
Химические добавки для бетонов
ЛСТ - лигно-сульфонаты технические;
СДО - смола древесная омыленная;
ЛХД - лесохимическая добавка;
С-З - супер пластификатор;
СНВ - смола нейтрализованная воздухововлекающая;
ПФЛХ - понизитель вязкости фенольный лесохимический;
СП - сахарная патока;
ХК - хлористый кальций;
СВЭК - смола воздухововлекающая экстракционная канифольная.
Таблица Г.2.1 - Теплофизические характеристики бетона
Характеристики бетона |
Буквенное обозначение |
Размерность |
Значение |
|
Температурный коэффициент линейного расширения |
αbt |
°C-1 |
1·10-5 |
|
Теплопроводность |
λb |
[Вт/(м·°С) ]/[ккал/(м·ч·°С)] |
2,67/2,3 |
|
Температуропроводность |
аT |
(м2/с)/(м2/ч) |
11·10-7/(4·10-3) |
|
Удельная теплоемкость |
сb |
[кДж/(кг·°С)]/[ккал(кг·°С)] |
1/0,24 |
|
Коэффициент теплоотдачи с открытой поверхности бетона: |
β |
[Вт(м2·°С)]/[ккал(м2·ч·°С)] |
|
|
в наружный воздух |
|
|
24/20 |
|
в воздух внутри полых швов, шахт, шатров |
|
|
(7-12)/(5-10) |
|
в воду |
|
|
∞ |
|
Примечание - Размерности и значения характеристик бетона приведены: в числителе в единицах СИ, в знаменателе - в действовавших системах (технической системы единиц). |
|||
Таблица Г.2.2 - Характеристики тепловыделения бетона
Тип цемента |
Марка цемента |
Тепловыделение бетона, кДж/ккал, на 1 кг цемента в возрасте бетона, сут |
|||
|
3 |
7 |
28 |
90 |
||
|
Портландцемент |
300 |
210/50 |
250/60 |
295/70 |
300 / 72 |
|
|
400 |
250/60 |
295/70 |
345 / 82 |
355/85 |
|
|
500 |
295/70 |
335/80 |
385/92 |
400/95 |
|
Пуццолановый портландцемент, |
300 |
175/42 |
230/55 |
270/65 |
280/67 |
|
шлакопортландцемент |
400 |
210/50 |
265/63 |
320/77 |
335/80 |
|
Параметр χ |
|||||||||||||
|
Осадка конуса бетонной смеси, см |
Максимальный размер крупного заполнителя, мм |
χ при классе бетона по прочности на сжатие |
|||||||||||
|
В5 |
В7,5 |
в10 |
В12,5 |
В15 |
В17,5 |
||||||||
|
|
40 |
27 |
37 |
45 |
54 |
62 |
69 |
||||||
|
<4 |
80 |
32 |
44 |
56 |
67 |
77 |
87 |
||||||
|
|
120 |
37 |
52 |
67 |
77 |
90 |
103 |
||||||
|
|
40 |
20 |
28 |
35 |
41 |
47 |
52 |
||||||
|
4-8 |
80 |
25 |
37 |
42 |
50 |
58 |
65 |
||||||
|
|
120 |
29 |
40 |
50 |
60 |
69 |
77 |
||||||
|
|
40 |
11 |
15 |
19 |
23 |
26 |
30 |
||||||
|
>8 |
80 |
15 |
19 |
24 |
29 |
33 |
37 |
||||||
|
|
120 |
18 |
24 |
29 |
35 |
40 |
45 |
||||||
|
Параметр χ |
|||||||||||||
|
Осадка конуса бетонной смеси, см |
Максимальный размер крупного заполнителя, мм |
χ при классе бетона по прочности на сжатие |
|||||||||||
|
В20 |
В22,5 |
В25 |
В27,5 |
в30 |
В35 |
В40 |
|||||||
|
|
40 |
77 |
83 |
90 |
98 |
106 |
125 |
146 |
|||||
|
<4 |
80 |
98 |
106 |
116 |
125 |
133 |
153 |
180 |
|||||
|
|
120 |
116 |
125 |
139 |
150 |
162 |
191 |
216 |
|||||
|
|
40 |
58 |
63 |
69 |
74 |
80 |
94 |
115 |
|||||
|
4-8 |
80 |
72 |
79 |
86 |
93 |
102 |
120 |
139 |
|||||
|
|
120 |
86 |
94 |
102 |
ПО |
116 |
132 |
154 |
|||||
|
|
40 |
35 |
38 |
42 |
46 |
50 |
62 |
74 |
|||||
|
>8 |
80 |
42 |
47 |
52 |
56 |
60 |
72 |
86 |
|||||
|
|
120 |
50 |
55 |
60 |
65 |
69 |
83 |
98 |
|||||
Таблица Г.2.4 - Характеристики ползучести бетона
|
Возраст загружения, сут. |
Мера ползучести бетона с (t, τ)·105, МПа-1, при длительности загружения (t-τ), сут. |
||||||||
|
0 |
10 |
25 |
50 |
100 |
200 |
500 |
1000 |
1500 |
|
|
0,125 |
0 |
9,00 |
16,00 |
20,00 |
24,00 |
27,00 |
31,00 |
32,00 |
32,00 |
|
10 |
0 |
1,10 |
1,76 |
2,23 |
2,67 |
3,06 |
3,48 |
3,60 |
3,60 |
|
30 |
0 |
0,85 |
1,41 |
1,80 |
2,18 |
2,52 |
2,89 |
3,00 |
3,00 |
|
112 |
0 |
0,50 |
0,90 |
1,18 |
1,45 |
1,70 |
1,92 |
1,98 |
1,98 |
|
205 |
0 |
0,35 |
0,67 |
0,88 |
1,09 |
1,26 |
1,42 |
1,46 |
1,46 |
|
512 |
0 |
0,21 |
0,46 |
0,65 |
0,80 |
0,91 |
0,98 |
1,00 |
1,00 |
|
1500 |
0 |
0,21 |
0,46 |
0,65 |
0,80 |
0,91 |
0,98 |
1,00 |
1,00 |
|
Коэффициент ψ (t) |
||||||||||||
|
Возраст достижения бетоном прочности по классу на сжатие, сут |
Коэффициент ψ (t) при возрасте бетона, сут. |
|||||||||||
|
3 |
7 |
14 |
28 |
45 |
90 |
180 |
360 |
|||||
|
180 |
0,31 |
0,47 |
0,62 |
0,78 |
0,85 |
0,93 |
1,00 |
1,07 |
||||
|
360 |
0,29 |
0,44 |
0,59 |
0,72 |
0,80 |
0,86 |
0,93 |
1,00 |
||||
|
Коэффициент ψ (t) |
||||||||||||
|
Возраст достижения бетоном прочности по классу на сжатие, сут |
Коэффициент ψ (t) при возрасте бетона, год |
|||||||||||
|
1,5 |
2,0 |
2,5 |
3,0 |
3,5 |
4,0 |
|||||||
|
180 |
1,12 |
1,18 |
1,23 |
1,27 |
1,32 |
1,37 |
||||||
|
360 |
1,05 |
1,10 |
1,15 |
1,19 |
1,23 |
1,27 |
||||||
|
Предельная растяжимость бетона |
|||||||||||||
|
Осадка конуса бетонной смеси, см |
Максимальный размер крупного заполнителя, мм |
Предельная растяжимость бетона εlim·105 при классе бетона по прочности на сжатие |
|||||||||||
|
В5 |
В7,5 |
В10 |
В12,5 |
В15 |
В17,5 |
||||||||
|
|
40 |
3,5 |
3,7 |
4,0 |
4,2 |
4,5 |
4,8 |
||||||
|
<4 |
80 |
3,0 |
3,2 |
3,5 |
3,7 |
4,0 |
4,3 |
||||||
|
|
120 |
2,7 |
3,0 |
3,2 |
3,5 |
3,7 |
4,0 |
||||||
|
|
40 |
4,0 |
4,2 |
4,5 |
4,7 |
5,0 |
5,3 |
||||||
|
4-8 |
80 |
3,5 |
3,7 |
4,0 |
4,2 |
4,5 |
4,8 |
||||||
|
|
120 |
3,2 |
3,5 |
3,7 |
4,0 |
4,2 |
4,5 |
||||||
|
|
40 |
6,0 |
6,2 |
6,4 |
6,5 |
6,7 |
6,9 |
||||||
|
>8 |
80 |
5,0 |
5,2 |
5,4 |
5,6 |
5,8 |
6,0 |
||||||
|
|
120 |
4,5 |
4,7 |
4,9 |
5Д |
5,3 |
5,6 |
||||||
|
Предельная растяжимость бетона |
|||||||||||||
|
Осадка конуса бетонной смеси, см |
Максимальный размер крупного заполнителя, мм |
Предельная растяжимость бетона εlim·105 при классе бетона по прочности на сжатие при классе бетона по прочности на сжатие |
|||||||||||
|
В20 |
В22,5 |
В25 |
В27,5 |
в30 |
В35 |
В40 |
|||||||
|
|
40 |
5,0 |
5,3 |
5,5 |
5,8 |
6,0 |
6,5 |
7,0 |
|||||
|
<4 |
80 |
4,5 |
4,8 |
5,0 |
5,3 |
5,5 |
6,0 |
6,5 |
|||||
|
|
120 |
4,2 |
4,5 |
4,7 |
5,0 |
5,2 |
5,7 |
6,2 |
|||||
|
|
40 |
5,5 |
5,8 |
6,0 |
6,3 |
6,5 |
7,0 |
7,5 |
|||||
|
4-8 |
80 |
5,0 |
5,3 |
5,5 |
5,8 |
6,0 |
6,5 |
7,0 |
|||||
|
|
120 |
4,7 |
5,0 |
5,2 |
5,5 |
5,7 |
6,2 |
6,7 |
|||||
|
|
40 |
7,0 |
7,2 |
7,4 |
7,6 |
7,7 |
8,0 |
8,5 |
|||||
|
>8 |
80 |
6,2 |
6,4 |
6,6 |
6,8 |
7,0 |
7,5 |
7,8 |
|||||
|
|
120 |
5,8 |
6,0 |
6,2 |
6,5 |
6,7 |
7,0 |
7,5 |
|||||
|
Коэффициент φ (t) |
||||||||||||
|
Возраст бетона, сут |
φ (t) при классе бетона по прочности на сжатие в возрасте 180 суток |
|||||||||||
В5 |
В7,5 |
В10 |
В12,5 |
В15 |
817,5 |
|||||||
|
3 |
0,94 |
0,89 |
0,84 |
0,80 |
0,76 |
0,74 |
||||||
|
7 |
0,95 |
0,90 |
0,86 |
0,83 |
0,80 |
0,78 |
||||||
|
14 |
0,96 |
0,92 |
0,89 |
0,89 |
0,84 |
0,82 |
||||||
|
28 |
0,97 |
0,95 |
0,93 |
0,91 |
0,90 |
0,89 |
||||||
|
45 |
0,98 |
0,97 |
0,95 |
0,94 |
0,93 |
0,92 |
||||||
|
90 |
0,99 |
0,99 |
0,98 |
0,98 |
0,98 |
0,98 |
||||||
|
≥ 180 |
1,00 |
1,00 |
1,00 |
1,00 |
1,00 |
1,00 |
||||||
|
Коэффициент φ (t) |
||||||||||||
|
Возраст бетона, сут |
φ (t) при классе бетона по прочности на сжатие в возрасте 180 суток |
|||||||||||
|
В20 |
В22,5 |
В25 |
В27,5 |
в30 |
В35 |
В40 |
||||||
|
3 |
0,71 |
0,69 |
0,66 |
0,64 |
0,63 |
0,61 |
0,60 |
|||||
|
7 |
0,76 |
0,74 |
0,73 |
0,72 |
0,71 |
0,70 |
0,70 |
|||||
|
14 |
0,81 |
0,80 |
0,79 |
0,78 |
0,78 |
0,77 |
0,77 |
|||||
|
28 |
0,88 |
0,87 |
0,87 |
0,86 |
0,86 |
0,86 |
0,86 |
|||||
|
45 |
0,92 |
0,92 |
0,92 |
0,91 |
0,91 |
0,91 |
0,91 |
|||||
|
90 |
0,98 |
0,98 |
0,98 |
0,98 |
0,98 |
0,98 |
0,98 |
|||||
|
≥ 180 |
1,00 |
1,00 |
1,00 |
1,00 |
1,00 |
1,00 |
1,00 |
|||||
Таблица Г.2.8 - Расчетные значения сдвиговых характеристик бетонной кладки по строительным швам
|
Характеристика сдвига |
Сооружения с секционной разрезкой на блоки |
Сооружения со столбчатой разрезкой на блоки |
||||
|
Вибрированный бетон класса |
Укатанный бетон класса |
Вибрированный бетон класса |
||||
|
В5-В17,5 |
В20-В40 |
В5-В17,5 |
В20-В30 |
В5-В17,5 |
В20-В40 |
|
|
Коэффициент трения - зацепления tgφ |
1,1 |
1,2 |
1,0 |
1,1 |
1,0 |
1,1 |
|
Сцепление С, МПа |
0,3 |
0,4 |
0,2 |
0,3 |
0,1 |
0,2 |
|
Примечания 1. Обеспеченность расчетных значений сдвиговых характеристик принята равной 90 % . 2. Приведенные расчетные значения сдвиговых характеристик достигаются при соблюдении "Правил производства бетонных работ при возведении гидротехнических сооружений (ВСН 31-83)". |
||||||
Таблица Г.3.1
|
Части массивных сооружений или конструкций |
Наименование добавок |
||||
|
Пластифицирующего действия |
Воздухововлекающего действия |
Пластифицирующе-вовлекающего действия |
Замедляющего действия |
||
|
ЛСТ |
С-3 |
лхд, сдо, СНВ(СВЭК) |
ПФЛХ |
СП |
|
|
1. Бетон и железобетон гидротехнических сооружений |
|
|
|
|
|
|
- частей, расположенных в зоне переменного горизонта воды |
|
|
|
|
|
|
а) в особо суровых климатических условиях |
|
|
+ |
± |
|
|
б) в суровых климатических условиях |
Å |
|
+ |
+ |
(+) |
|
в) в умеренных климатических условиях |
Å |
|
+ |
+ |
(+) |
|
- частей, постоянно находящихся под водой |
+ |
± |
+ |
+ |
(+) |
|
- надводных частей, эпизодически омываемых водой |
+ |
|
+ |
+ |
(+) |
|
- частей внутренних зон |
+ |
|
+ |
+ |
(+) |
|
2. Бетон водоводов и других конструкций, испытывющих растягивающие напряжения |
+ |
± |
+ |
± |
(+) |
|
3. Кавитационностойкие и износостойкие бетоны |
+ |
|
|
± |
(+) |
Продолжение таблицы Г.3.1
|
Части массивных сооружений или конструкций |
Наименование добавок |
||||
Комплексного действия |
ускоряюющего действия |
Микронаполнитель |
|||
|
ЛСТ+ЛХД или ЛСТ+СДО или ЛСТ+СНВ (СВЭК) |
с-3+лхд или с-3+сдо или с-3+снв (СВЭК) с-3+пвлх |
ХК |
зола уноса |
микрокремнезем |
|
|
1. Бетон и железобетон гидротехнических сооружений |
|
|
|
|
|
|
- частей, расположенных в зоне переменного горизонта воды |
|
|
|
|
|
|
а) в особо суровых климатических условиях |
+ |
± |
(+) |
|
|
|
б) в суровых климатических условиях |
+ |
± |
(+) |
|
|
|
в) в умеренных климатических условиях |
+ |
± |
(+) |
|
|
|
- частей, постоянно находящихся под водой |
+ |
± |
(+) |
+ |
|
|
- надводных частей, эпизодически омываемых водой |
+ |
|
(+) |
|
|
|
- частей внутренних зон |
+ |
|
(+) |
+ |
|
|
2. Бетон водоводов и других конструкций, испытывающих растягивающие напряжения |
+ |
± |
|
|
|
|
3. Кавитационностойкие и износостойкие бетоны |
+ |
± |
|
|
+ |
|
Примечание - Знак + означает целесообразность введения добавки; ± добавка может быть использована только после соответствующего технико-экономического обоснования; (+) добавка может быть использована только как регулятор сроков схватывания в сочетании с другой добавкой, обеспечивающей комплекс требований, предъявляемых к бетону в каждом конкретном случае; добавка используется либо в обычной, либо в повышенной дозировке. |
|||||


аi - угол наклона траектории главных растягивающих напряжений к осям х, у и z.

а = 4,4ξ3+13,2μ(1-ξ)2, (1)
Вk = аЕbIo, (2)
где Io - момент инерции сечения элемента с высотой ho.
Разработаны ОАО "ВНИИГ им. Б.Е. Веденеева" совместно с ОАО "НИИЭС", ОАО "Институт Гидропроект" и ОАО "Ленгидропроект", при участии ОАО "Ленморниипроект", ОАО "Институт Теплоэлектропроект" и Санкт-Петербургского государственного технического университета, внесены РАО "ЕЭС России" Минтопэнерго России.
Исполнители:
А.В. Караваев, инж. (руководитель темы); С.М. Гинзбург, к.т.н.; А.Д. Кауфман, к.т.н.; И.С. Калицева, к.т.н.; Л.В. Скородумова, инж.; В.Б. Судаков, д.т.н.; М.С. Ламкин, к.т.н.; Ю.Б. Мгалобелов, д.т.н.; И.П. Сергеев, инж.; B.C. Лашманова, инж.; В.М. Боярский, инж.; В.А. Суслопаров, инж.; С.Е. Лисичкин, к.т.н.; О.Д. Рубин, д.т.н.
ГИДРОТЕХНИЧЕСКИЕ
СООРУЖЕНИЯ ГЭС И ГАЭС.
УСЛОВИЯ СОЗДАНИЯ.
НОРМЫ И ТРЕБОВАНИЯ
ПРИЛОЖЕНИЯ
Д, Е, Ж, И
Настоящие нормы и правила распространяются на проектирование вновь строя-щихся, расширяемых и реконструируемых напорных и безнапорных гидротехнических сооружений в сейсмических районах.
То же, что в разделе 2 Стандарта.
В настоящем приложении используются следующие термины и определения (в дополнение к разделу 3 Стандарта):
3.1 абсолютное движение: Движение точек сооружения, определяемое как сумма переносного и относительного движений во время землетрясения.
3.2 акселерограмма; велосиграмма; сейсмограмма: Хронограмма ускорения (скорости, смещения) точки основания или сооружения в процессе землетрясения, имеющая одну, две или три компоненты.
3.3 временной динамический анализ; динамический анализ: Расчет сооружения на сейсмические воздействия по динамической теории расчета (ДТ); при этом состояние сооружения прослеживается в течение всего периода сейсмических колебаний, охваченного расчетной акселерограммой.
3.4 вторичная схема: Расчетная схема, отражающая состояние сооружения в период времени от момента окончания землетрясения до начала ремонтных работ.
3.5 детальное сейсмическое районирование; ДСР: Сейсмическое районирование территорий размещения гидротехнических сооружений для средних грунтовых условий в масштабах 1:500000 - 1:200000.
3.6 интенсивность сейсмического воздействия; I: Характеристика проявления землетрясения на рассматриваемой территории, измеряемая в баллах по сейсмической шкале MSK-64.
3.7 категория грунта по сейсмическим свойствам; категория I, II или III: Характеристика, выражающая способность грунта в примыкающей к сооружению части основания ослаблять (или усиливать) интенсивность сейсмических воздействий, передающихся от грунтового основания на сооружение.
3.8 компоненты Г1, Г2, В акселерограммы: Хронограммы ускорения точки основания или сооружения по направлениям зафиксированных координатных осей (Г1 -горизонтальная компонента с наибольшим максимальным пиковым ускорением; Г2 - вторая горизонтальная компонента; В - вертикальная компонента).
3.9 конструктивная нелинейность: Изменение расчетной схемы сооружения в процессе его нагружения, связанное с взаимными смещениями (например, раскрытием швов и трещин, проскальзыванием) отдельных частей сооружения и основания.
3.10 линейный временной динамический анализ; линейный динамический анализ: Временной динамический анализ, при котором материалы сооружения и грунты основания принимаются линейно-упругими, а геометрическая и конструктивная нелинейность в поведении системы “сооружение - основание“ отсутствует.
3.11 максимальное расчетное землетрясение; МРЗ: Землетрясение с расчетным сейсмическим воздействием, используемым для проверки сейсмостойкости наиболее ответственных сооружений из числа расположенных на данной строительной площадке.
3.12 нелинейный временной динамический анализ; нелинейный динамический анализ: Временной динамический анализ, при котором учитывается зависимость механических характеристик материалов сооружения и грунтов основания от уровня напряжений и характера динамического воздействий, а также возможны геометрическая и конструктивная нелинейность в поведении системы «сооружение-основание».
3.13 общее сейсмическое районирование; ОСР: Сейсмическое районирование территорий РФ и ее регионов для средних грунтовых условий в масштабах 1:2500000 и 1:5000000. ОСР-97 - набор карт общего сейсмического районирования территории Российской Федерации для средних грунтовых условий и для средних периодов повторяемости в 500 (карта А), 1000 (карта В) и 5000 (карта С) лет.
3.14 относительное движение: Движение точек сооружения относительно основания во время землетрясения под влиянием сейсмических сил (нагрузок).
3.15 переносное движение: Cовместное движение сооружения и основания во время землетрясения как единого недеформируемого целого с ускорениями (скоростями или смещениями) основания.
3.16 площадка гидротехнического сооружения; площадка строительства: Территория, на которой проектируется (или размещается) гидротехническое сооружение.
3.17 проектное землетрясение; ПЗ: Землетрясение с расчетным сейсмическим воздействием, используемым для проверки сейсмостойкости всех сооружений, расположенных на данной строительной площадке.
3.18 сейсмичность; исходная сейсмичность Iисх: Сейсмичность площадки гидротехнического сооружения, определяемая для нормативных периодов повторяемости и средних грунтовых условий с помощью детального сейсмического районирования (ДСР), уточнения исходной сейсмичности (УИС) или принятая равной нормативной сейсмичности.
3.18.1 нормативная сейсмичность Iнор: Сейсмичность района нахождения гидротехнического сооружения, определяемая для нормативных периодов повторяемости Тнорпов по картам ОСР-97.
3.18.2 расчетная сейсмичность площадки Iрас: Сейсмичность площадки гидротехнического сооружения, определяемая для нормативных периодов повторяемости и реальных грунтовых и (или) иных локальных условий с помощью сейсмического микрорайонирования (СМР).
3.19 расчетные акселерограммы; РА: Акселерограммы, моделирующие движения грунта в основании сооружения при расчетных землетрясениях.
3.20 расчетные сейсмические воздействия: Используемые в расчетах сейсмостойкости сооружений сейсмические воздействия, характеризуемые расчетными параметрами землетрясения; для гидротехнических сооружений приняты два уровня расчетных сейсмических воздействий (землетрясений): проектное землетрясение (ПЗ) и максимальное расчетное землетрясение (МРЗ).
3.21 резонансная характеристика грунта: Совокупность характерных периодов (или частот), на которых достигается резонансное усиление колебаний основания при прохождении сейсмических волн.
3.22 сейсмическое микрорайонирование; СМР: Определение сейсмичности площадки строительства для реальных грунтовых и (или) иных локальных условий, влияющих на усиление или ослабление сейсмичности.
3.23 сейсмические (инерционные) силы, сейсмические нагрузки: Силы (нагрузки), возникающие в системе "сооружение-основание" при колебаниях основания сооружения во время землетрясения; вычисляются с учетом интенсивности сейсмического воздействия и особенностей конструкции сооружения.
3.24 сейсмический район: Район с установленными и возможными очагами землетрясений, вызывающими на площадке строительства сейсмические воздействия интенсивностью 6 и более баллов.
3.25 сейсмическое воздействие: Движение грунта в основании инженерных сооружений во время землетрясения как результат прохождения сейсмических волн, излучаемых из очага землетрясения; официальные сведения о сейсмических воздействиях относятся к поверхности основания.
3.26 сейсмическое районирование: Определение сейсмичности рассматриваемых территорий для средних грунтовых условий с помощью комплекса сейсмологических, геологических и геофизических методов.
3.27 сейсмичность территории: Максимальная интенсивность сейсмических воздействий в баллах на рассматриваемой территории для принятого периода повторяемости землетрясения (в том числе площадки гидротехнического сооружения).
3.28 сейсмогенный разлом: Тектонический разлом, являющийся возможным очагом землетрясения.
3.29 скоростные характеристики грунта: Скорости распространения сейсмических (продольных и поперечных) волн в грунтах оснований.
3.30 спектр действия (реакции, ответа, отклика) однокомпонентной акселерограммы: Функция, связывающая между собой максимальное по модулю ускорение одномассового линейного осциллятора и соответствующий этому ускорению период (либо частоту) собственных колебаний того же осциллятора, основание которого движется по закону, определяемому данной акселерограммой.
3.31редние грунтовые условия: Грунты II категории.
3.31астотная (спектральная) характеристика грунта: Отношение амплитуды колебаний на поверхности исследуемого грунта к амплитуде колебаний на поверхности грунта, принятого за эталонный, в зависимости от частоты сейсмических колебаний.
В настоящем приложении используются следующие обозначения и сокращения (в дополнение к разделу 4 Стандарта):
ап - максимальное пиковое ускорение основания (максимальное значение модуля ускорения за время землетрясения), м·с-2;
апМРЗ - максимальное пиковое ускорение основания при максимальном расчетном землетрясении, м·с-2;
апПЗ - максимальное пиковое ускорение основания при проектном землетрясении, м·с-2;
Vp; Vp - скорости распространения продольных и поперечных сейсмических волн в грунтах оснований, м·с-1;
ТМРЗмакс - период колебаний, соответствующий максимальному пиковому ускорению при максимальном расчетном землетрясении, с;
ТПЗмакс - период колебаний, соответствующий максимальному пиковому ускорению при проектном землетрясении, с;
Т0,5МРЗ; Т0,3МРЗ - преобладающий период колебаний при максимальном расчетном землетрясении для фазы сейсмических колебаний длительностью соответственно τ0,5МРЗ; τ0,3МРЗ, с;
Т0,5ПЗ; Т0,3ПЗ - преобладающий период колебаний при проектном землетрясении для фазы сейсмических колебаний длительностью соответственно τ0,5ПЗ; τ0,3ПЗ, с;
ТповМРЗ - принятое значение среднего периода повторяемости (в годах) максимального расчетного землетрясения;
Тповнор - нормативные периоды повторяемости (в годах) землетрясений, принятые в ОСР-97 и равные 500 лет (Тпов500; карта А) и 5000 лет (Тпов5000; карта С);
ТповПЗ - принятое значение среднего периода повторяемости (в годах) проектного землетрясения;
Тсл - назначенный срок службы сооружения (в годах), определяемый действующими нормативными документами или техническими условиями Заказчика;
τМРЗ - общая длительность сейсмических колебаний при максимальном расчетном землетрясении, с;
τПЗ - общая длительность сейсмических колебаний при проектном землетрясении, с;
τ0,5МРЗ; τ0,3МРЗ - длительность фазы сейсмических колебаний основания, в течение которой величины пиковых ускорений при максимальном расчетном землетрясении достигают значений соответственно ≥ 0,5апПЗ и ≥ 0,3апПЗ, с;
τ0,5ПЗ; τ0,3ПЗ - длительность фазы сейсмических колебаний основания, в течение которой величины пиковых ускорений при проектном землетрясении достигают значений соответственно ≥ 0,5апПЗ и ≥ 0,3апПЗ, с.
Примечания
1 Значение периода повторяемости максимального расчетного землетрясения ТповМРЗ принимается равным 10000 лет; при соответствующем обосновании, по усмотрению Заказчика, для ВСФ значение ТповМРЗ допускается принимать в диапазоне от 5000 до 10000 лет.
2 Значение периода повторяемости проектного землетрясения ТповПЗ принимается по усмотрению Заказчика в диапазоне от назначенного срока службы сооружения до 500 лет (но не менее 100 лет).
5.1 Положения настоящих норм устанавливают специальные требования для гидротехнических сооружений, размещаемых или расположенных в районах с нормативной сейсмичностью Iнор, равной 6 баллам и более по сейсмической шкале MSK-64.
Указанные требования следует выполнять при проектировании, строительстве, вводе в эксплуатацию, эксплуатации, обследовании реального состояния, декларировании безопасности, реконструкции, восстановлении, консервации и ликвидации гидротехнических сооружений.
5.2 При определении нормативной сейсмичности надлежит использовать следующие карты общего сейсмического районирования ОСР-97: карту С - для водоподпорных сооружений в составе напорного фронта ВСФ I и II класса; карту А - для всех сооружений при расчете их на проектное землетрясение (ПЗ).
5.3 Для обеспечения сейсмостойкости проектируемых, строящихся и эксплуатируемых гидротехнических сооружений требуется:
- проведение на стадии проектирования комплекса специальных исследований с задачей установления исходной и расчетной сейсмичности площадки строительства, определения расчетных сейсмических воздействий, получение набора сейсмических расчетных воздействий;
- выполнение комплекса расчетов (а при необходимости и испытаний) по оценке прочности и устойчивости сооружений и их элементов с учетом динамического взаимодействия сооружений с водой и грунтом;
- применение конструктивных решений и материалов, повышающих сейсмостойкость сооружений;
- включение в проекты особо ответственных сооружений специального раздела о проведении в процессе эксплуатации сооружения слежения за опасными геодинамическими явлениями, в том числе - землетрясениями;
- периодическое обследование состояния гидротехнических сооружений и их оснований, в том числе после каждого перенесенного землетрясения силой 5 баллов и более.
5.4 Гидротехнические сооружения должны воспринимать ПЗ без угрозы для жизни и здоровья людей и с сохранением собственной ремонтопригодности (для ВСФ - при любом предусмотренном правилами эксплуатации уровне верхнего бьефа). При этом допускаются остаточные смещения, деформации, трещины и иные повреждения, не нарушающие нормальную эксплуатацию объекта.
ВСФ I и II классов должны обладать еще и способностью воспринимать МРЗ без угрозы собственного разрушения или прорыва напорного фронта. При этом допускаются любые иные повреждения сооружения и основания, в том числе нарушающие нормальную эксплуатацию объекта.
5.5 Исходная сейсмичность Iисх площадки ВСФ I или II класса и МНГС определяется для ПЗ и МРЗ методами детального сейсмического районирования (ДСР) или уточнения исходной сейсмичности (УИС). При этом составляется также сейсмотектоническая модель сейсмического района расположения объекта, включающая карту и характеристики основных зон возможных очагов землетрясений (ВОЗ).
Исходную сейсмичность остальных гидротехнических сооружений для ПЗ допускается принимать равной величине I500нор, определяемой по карте А ОСР-97.
В тех случаях, когда нормативная сейсмичность района на соответствующих картах ОСР-97 (5.1 настоящего приложения) превышает 9 баллов, исходная сейсмичность площадки строительства независимо от вида и класса гидротехнического сооружения должна определяться на основе ДСР или УИС.
5.6 Расчетная сейсмичность Iрас площадки ВСФ I или II класса и МНГС определяется для ПЗ и МРЗ инструментальными и расчетными методами сейсмического микрорайонирования (СМР).
Расчетная сейсмичность остальных гидротехнических сооружений определяется для ПЗ методами СМР; при отсутствии соответствующих исследований допускается величину Iрас принимать по таблице Д.1 с использованием результатов инженерно-
геологических изысканий на площадке строительства.
Как при сейсмическом микрорайонировании, так и при инженерно-геологических изысканиях, глубина слоя исследования сейсмических свойств грунта должна определяться, исходя из особенностей геологического строения площадки, но не менее 40 м от подошвы сооружения (для сооружений III и IV классов, не входящих в состав напорного фронта - не менее 20 м).
Категория грунта и его физико-механические и сейсмические характеристики должны определяться с учетом возможных техногенных изменений свойств грунтов в процессе строительства и эксплуатации сооружения.
В тех случаях, когда расчетная сейсмичность площадки определяется методами СМР, дополнительно устанавливаются скоростные, частотные и резонансные характеристики грунта основания сооружения.
1 В случаях, когда площадки гидротехнических сооружений сложены грунтами, по своему составу занимающими промежуточное положение между грунтами I и II или II и III категорий (например, основание сооружения представлено слоистыми грунтами), дополнительно к категориям грунта, указанным в таблице Д.1, допускается введение категорий I-II и II-III соответственно. При этом расчетная сейсмичность площадки Iрас при грунтах I - II категории принимается как при грунтах II категории, а при грунтах II - III категории - как при грунтах III категории.
2 На период нахождения водохранилища в опорожненном состоянии (например, в строительный или ремонтный периоды) расчетную сейсмичность площадки водоподпорных сооружений, при соответствующем обосновании, допускается понижать на 1 балл.
Таблица Д.1 - Расчетная сейсмичность площадки сооружения
|
Категория грунта по сейсмическим свойствам |
Грунты |
Расчетная сейсмичность площадки сооружения при исходной сейсмичности площадки, баллы |
||||
|
6 |
7 |
8 |
9 |
10 |
||
|
I |
Скальные грунты всех видов (в том числе многолетнемерзлые в мерзлом и талом состоянии) невыветрелые и слабовыветрелые; крупнообломочные грунты плотные маловлажные из магматических пород, содержащие до 30% песчано-глинистого заполнителя; выветрелые и сильновыветрелые скальные и нескальные твердомерзлые (многолетнемерзлые) грунты при температуре минус 2°С и ниже при строительстве и эксплуатации по принципу строительства I (сохранение грунтов основания в мерзлом состоянии); скорость распространения поперечных волн Vs > 700м/с; соотношение скоростей продольных и поперечных волн Vp/Vs = 1,7 - 2,2 вне зависимости от степени водонасыщения. |
- |
- |
7 |
8 |
9 |
|
II |
Скальные грунты выветрелые и сильновыветрелые, в т.ч. многолетнемерзлые, кроме отнесенных к I категории; крупнообломочные грунты, за исключением отнесенных к I категории; пески гравелистые, крупные и средней крупности плотные и средней плотности маловлажные и влажные; пески мелкие и пылеватые плотные и средней плотности маловлажные; пылевато-глинистые грунты с показателем текучести JL ≤ 0,5 при коэффициенте пористости е < 0,9 - для глин и суглинков и е < 0,7 - для супесей; многолетнемерзлые нескальные грунты пластичномерзлые или сыпучемерзлые, а также твердомерзлые при температуре выше минус 2°C при строительстве и эксплуатации по принципу I; Vs=250 - 700 м/с; Vp/Vs = 1,7 - 2,2 для неводонасыщенных грунтов; Vp/Vs = 2,2 - 3,5 для водонасыщенных грунтов. |
- |
7 |
8 |
9 |
>9 |
|
III |
Пески рыхлые независимо от степени влажности и крупности; пески гравелистые, крупные и средней крупности плотные и средней плотности водонасыщенные; пески мелкие и пылеватые плотные и средней плотности влажные и водонасыщенные; пылевато-глинистые грунты с показателем текучести JL>0,5; пылевато-глинистые грунты с показателем текучести JL≤0,5 при коэффициенте пористости е ≥ 0,9 - для глин и суглинков и е ≥ 0,7 - для супесей; многолетнемерзлые нескальные грунты при строительстве и эксплуатации по принципу II (допущение оттаивания грунтов основания); Vs < 250 м/с; Vp/Vs = 1,7 - 3,5 для неводонасыщенных грунтов; Vp/Vs > 3,5 для водонасыщенных грунтов. |
7 |
8 |
9 |
>9 |
>9 |
5.7 На начальной (предпроектной) стадии при выборе площадки гидротехнического сооружения исходную сейсмичность допускается определять по картам А и С ОСР-97 (для ПЗ и МРЗ соответственно), а расчетную сейсмичность - по таблице Д.1 на основании результатов инженерно-геологических изысканий.
5.8 Строительство гидротехнических сооружений на площадках с расчетной сейсмичностью 9 баллов при наличии грунтов III категории по сейсмическим свойствам требует специального обоснования.
Строительство гидротехнических сооружений на площадках с расчетной сейсмичностью более 9 баллов допускается только по согласованию с Госстроем РФ.
5.9 Проектирование надводных зданий, крановых эстакад, опор ЛЭП и других объектов, входящих в состав гидроузлов, следует производить в соответствии с СО 153.34.11.7-2003; при этом расчетную сейсмичность площадки строительства следует принимать в соответствии с настоящим приложением.
В случае размещения этих объектов на гидротехнических сооружениях или в контакте с ними сейсмическое воздействие задается движением, передаваемым со стороны основного сооружения.
6.1 Сейсмические воздействия учитываются в тех случаях, когда величина Iрас составляет 7 баллов и более.
Сейсмические воздействия включаются в состав особых сочетаний нагрузок и воздействий.
6.2 Значение периода повторяемости проектного землетрясения ТПЗпов принимается по усмотрению Заказчика в диапазоне от назначенного срока службы сооружения до 500 лет (но не менее 100 лет).
Значение периода повторяемости максимального расчетного землетрясения ТМРЗпов принимается равным 10000 лет; при соответствующем обосновании, по усмотрению Заказчика, значение ТМРЗпов допускается принимать в диапазоне от 5000 до 10000 лет для ВСФ.
6.3 Для ВСФ I или II класса должны быть установлены расположение и характеристики основных зон ВОЗ сейсмического района, включая параметры сейсмических воздействий и направление подхода к сооружению сейсмических волн из расположенных в указанных зонах очагов землетрясений.
На основе выполненных исследований для площадки гидротехнического сооружения устанавливаются величины максимальных пиковых ускорений основания при проектном землетрясении апПЗ и максимальном расчетном землетрясении апМРЗ (с обеспеченностью не менее 50%), нижняя граница которых определяется согласно указаниям 7.4 настоящего приложения.
Расчетные сейсмические воздействия допускается моделировать расчетными акселерограммами (РА), масштабированными (при необходимости) по величинам апПЗ и апМРЗ. Расчетные акселерограммы подбираются с учетом данных о скоростных, частотных и резонансных характеристиках грунтов, залегающих в основании сооружения. Непосредственно для расчетов задаются компоненты Г1, Г2 и В расчетной акселерограммы.
Используются следующие РА:
- из числа записей, произведенных на площадке или в районе сооружения;
- аналоговые из числа записей, сделанных в районах, сходных с районом площадки строительства по сейсмотектоническим, геологическим и другим сейсмологическим условиям;
- синтезированные, сформированные в соответствии с указанными ниже расчетными параметрами сейсмического воздействия соответственно для ПЗ и МРЗ;
- общая длительность сейсмических колебаний τПЗ или τМРЗ;
- длительность фазы сейсмических колебаний основания τ0,5ПЗ (τ0,3ПЗ) или τМРЗ0,5 (τМРЗ0,3);
- период колебаний с максимальным пиковым ускорением ТПЗмакс или ТМРЗмакс;
- преобладающий период колебаний Т0,5ПЗ (Т0,3ПЗ) или Т0,5МРЗ (Т0,3МРЗ).
При этом спектр действия синтезированной акселерограммы не должен быть ниже огибающей спектров действия отобранных аналоговых акселерограмм во всем диапазоне учитываемых частот сейсмических колебаний.
Приведенные параметры задаются в виде своих компонент Г1, Г2 и В.
Примечание - Объем и состав сейсмологических исследований окончательно устанавливается Генеральным проектировщиком и согласовывается Заказчиком.
6.4 Для гидротехнических сооружений, не перечисленных в п. 4.3, характеристикой расчетного сейсмического воздействия служит величина сейсмического ускорения основания, определяемая в соответствии с указаниями 7.6 настоящего приложения.
6.5 В расчетах гидротехнических сооружений и их оснований учитываются следующие сейсмические нагрузки:
распределенные
по объему сооружения и его основания (а также боковых засыпок и наносов)
инерционные силы
интенсивностью
(Д.1)
где
- плотность материала
в точке наблюдения
с координатами
(в общем случае) x 1, x2, x3
соответственно по осям 1, 2, 3;
- вектор ускорения точки
в момент
времени t в абсолютном движении системы
«сооружение-основание»;
- распределенное по поверхности контакта сооружения с водой гидродинамическое давление, вызванное инерционным влиянием колеблющейся с сооружением части жидкости;
- гидродинамическое давление, вызванное возникшими при землетрясении волнами на поверхности водоема.
В необходимых случаях учитываются взаимные подвижки блоков в основании сооружения, вызванные прохождением сейсмической волны.
Учитываются также возможные последствия таких связанных с землетрясениями явлений, как:
- смещения по тектоническим разломам;
- проседание грунта;
- обвалы и оползни;
- разжижение грунта.
Отказ от учета инерционных свойств основания допускается при специальном обосновании.
7.1 Гидротехнические сооружения, в зависимости от вида и класса сооружения и уровня расчетного землетрясения (ПЗ или МРЗ), рассчитываются на сейсмические воздействия методами динамической теории (ДТ) или линейно-спектральной теории (ЛСТ). Общая схема использования различных методов расчета сооружений на сейсмические воздействия приведена в таблице Д.2.
Примечание - Перечень сооружений I и II классов, относящихся к ВСФ, может быть расширен по усмотрению проектной организации за счет напорных трубопроводов большого диаметра и иных объектов, разрушение которых по своим последствиям идентично прорыву напорного фронта.
Таблица Д.2 - Схема использования методов расчета гидротехнических сооружений на сейсмические воздействия
|
Расчетное землетрясение |
Класс сооружения |
||
I - II |
III - IV |
I - IV |
|
|
ВСФ |
ВСФ |
Остальные ГТС |
|
|
ПЗ |
ДТ |
ЛСТ |
ЛСТ |
|
МРЗ |
ДТ |
- |
- |
7.2 В расчетах сейсмостойкости гидротехнических сооружений с
использованием динамической теории (ДТ) сейсмическое ускорение основания
задается расчетной акселерограммой землетрясения (РА), представляющей собой в
общем случае однокомпонентную, двухкомпонентную или трехкомпонентную (j =
1, 2, 3) функцию времени
. При этом смещения
(деформации, напряжения и усилия) определяются на всем временном интервале
сейсмического воздействия на сооружение.
В случае применения линейного динамического анализа максимальные и минимальные значения указанных величин за весь рассматриваемый временной интервал суммируются со значениями смещений (деформаций, напряжений и усилий), полученными от остальных нагрузок и воздействий, входящих в состав особого сочетания нагрузок и воздействий, включающего сейсмические воздействия.
Примечание - В качестве исходного сейсмического воздействия могут задаваться также велосиграммы либо сейсмограммы.
7.3 Гидротехнические сооружения рассчитываются по ДТ на ПЗ, как правило, с применением линейного временного динамического анализа, а на МРЗ - нелинейного или линейного временного динамического анализа.
Временной динамический анализ (линейный и нелинейный) производится с применением пошагового интегрирования дифференциальных уравнений; линейный динамический анализ допускается выполнять также методом разложения решения в ряд по формам собственных колебаний.
7.4 Расчеты гидротехнических сооружений по ДТ должны выполняться на расчетные акселерограммы с такими величинами максимального пикового ускорения в основании сооружения
(Д.2)
чтобы ускорения апПЗ (при расчете на ПЗ) и апМРЗ (при расчете на МРЗ) имели значения не менее чем определенные по формулам:
(Д.4)
где A500 и A5000 - расчетные амплитуды ускорения основания (в долях g), определенные для землетрясений с нормативными периодами повторяемости соответственно Т500пов и Т5000пов с учетом реальных грунтовых условий на площадке строительства; значения A500 и A5000 даны в таблице Д.3;
g - ускорение свободного падения;
kAПЗ и kAМРЗ - коэффициенты, учитывающие вероятность рассматриваемого сейсмического события за назначенный срок службы сооружения Тсл, а также переход от нормативного периода повторяемости в 500 лет Т500пов к принятому периоду повторяемости ТПЗпов и от нормативного периода повторяемости в 5000 лет Т5000пов к принятому ТМРЗпов соответственно; значения коэффициентов kAПЗ и kAМРЗ принимаются по таблице Д.4.
Таблица Д.3 - Значения величин A500 и A5000 (в долях g)
|
Категория грунта |
Iисх, баллы |
|||||||||
|
6 |
7 |
8 |
9 |
10 |
||||||
|
Iрас, баллы |
А |
Iрас, баллы |
А |
Iрас, баллы |
А |
Iрас, баллы |
А |
Iрас, баллы |
А |
|
|
I |
- |
- |
- |
- |
7 |
0,12 |
8 |
0,24 |
9 |
0,48 |
|
I-II |
- |
- |
7 |
0,08 |
8 |
0,16 |
9 |
0,32 |
- |
- |
|
II |
- |
- |
7 |
0,10 |
8 |
0,20 |
9 |
0,40 |
- |
- |
|
II-III |
7 |
0,06 |
8 |
0,13 |
9 |
0,25 |
- |
- |
- |
- |
|
III |
7 |
0,08 |
8 |
0,16 |
9 |
0,32 |
- |
- |
- |
- |
|
Примечания 1 Iисх имеет значения Iисх500 или Iисх5000, а Iрас соответственно - Iрас500 или Iрас5000 2 Допускается принимать Iисх500 = Iнор500 и Iисх5000 = Iнор5000.
|
||||||||||
Таблица Д.4 - Значения коэффициентов kАПЗ и kАМРЗ
|
Назначенный cрок службы Тсл, годы |
kАПЗ |
kАМРЗ |
|||||
|
ТПЗпов, годы |
ТМРЗпов, годы |
||||||
|
100 |
200 |
300 |
400 |
500 |
5000 |
10000 |
|
|
10 |
0,55 |
0,60 |
0,65 |
0,68 |
0,70 |
0,70 |
0,80 |
|
20 |
0,63 |
0,70 |
0,74 |
0,78 |
0,80 |
0,80 |
0,90 |
|
50 |
0,70 |
0,78 |
0,83 |
0,87 |
0,90 |
0,90 |
1,00 |
|
100 и более |
0,80 |
0,87 |
0,93 |
0,97 |
1,00 |
1,00 |
1,10 |
Расчетные акселерограммы, в дополнение к параметру ап, должны соответствовать также всем остальным параметрам, характеризующим расчетное сейсмическое во-действие и указанным в 6.3 настоящего приложения.
Если имеющихся сейсмологических данных недостаточно для установления значений расчетных ускорений апПЗ и апМРЗ, то на предварительной стадии проектирования допускается принимать, что значения апПЗ и апМРЗ определяются по формулам Д.3 и Д.4.
Примечание - Формулу Д.3, а также таблицы Д.3 и Д.4 следует применять и в том случае, когда сейсмичность площадки строительства по карте ОСР, соответствующей принятому периоду повторяемости ТПЗпов, оказывается меньше, чем по карте А. Если же указанные величины сейсмичности равны между собой, то значение коэффициента kAПЗ принимается по таблице Д.4 для ТПЗпов = 500 лет.
7.5 При выполнении динамического анализа сейсмостойкости гидротехнических сооружений следует использовать значения параметров затухания ξ, установленные на основе динамических исследований поведения сооружений при сейсмических воздействиях.
При отсутствии экспериментальных данных о реальных величинах параметров затухания в расчетах сейсмостойкости допускается применять параметры затухания ξ со значениями, не превышающими:
- 0,05 - для бетонных и железобетонных сооружений;
- 0,15 - для сооружений из грунтовых материалов;
- 0,08 - для скальных пород оснований;
- 0,12 - для полускальных и нескальных грунтов оснований.
7.6 В расчетах сооружений на ПЗ по ЛСТ материалы сооружения и основания считаются линейно-упругими; в поведении системы "сооружение-основание" отсутствует геометрическая, конструктивная или физическая нелинейность.
Сейсмическое
ускорение основания задается постоянной во времени векторной величиной
, модуль которой
определяется по формуле:
, (Д.5)
где kAПЗ, g и A500 - то же, что и в формуле Д.3.
7.7 В тех случаях, когда при расчете сейсмостойкости
сооружения по ЛСТ система «сооружение-основание» разбита на отдельные
дискретные объемы, то в качестве сейсмических нагрузок используются узловые
инерционные силы
,
действующие на элемент сооружения, отнесенный к узлу k, при i -ой форме
собственных колебаний.
В общем случае значения компонент узловых сил Pikj по трем (j = 1, 2, 3) взаимно ортогональным направлениям определяются по формуле:
, (Д.6)
где kf - коэффициент, отражающий недопустимость в сооружении повреждений;
kψ - коэффициент, учитывающий демпфирующие свойства конструкций;
mk - масса элемента сооружения, отнесенного к узлу k (с учетом присоединенной массы воды);
- сейсмическое ускорение основания;
βi (или β (Ti) - коэффициент динамичности, соответствующий периоду собственных колебаний сооружения Ti по i-й форме колебаний;
ηikj - коэффициент формы собственных колебаний сооружения по i-й форме колебаний:
(Д.7)
где Uikj - проекции по направлениям j смещений узла k по i-й форме собственных колебаний сооружения;
- косинусы углов между направлениями вектора
сейсмического воздействия и перемещениями Uisj.
Примечание - Указанные в пункте коэффициенты следует учитывать аналогичным образом в расчетах по методикам, позволяющим определять смещения, деформации, напряжения и усилия, возникающие в сооружении под влиянием сейсмического воздействия, без предварительного нахождения сейсмических нагрузок.
7.8 Для всех гидротехнических сооружений kf принимается равным 0,45.
Для водоподпорных сооружений значение коэффициента kψ принимается равным:
- для сооружений из грунтовых материалов.
- Для других видов гидротехнических сооружений значения коэффициента kψ допускается принимать на основе опыта проектирования этих сооружений с учетом сейсмических воздействий.
7.9 Значения коэффициента динамичности β(Ti) определяются по следующим зависимостям:
(Д.8)
(Д.9)
(Д.10)
где
β0, T 1, T2 - параметры, значения которых даны в таблице Д.5.
1 Значения kψβi должны составлять не менее 0,80.
2 В дополнение к расчетам, выполненным с применением указанных функций β(Ti), допускается производить расчеты, в которых используются спектры действия однокомпонентных расчетных акселерограмм, вычисленные при параметрах затухания колебаний, регламентируемых в 7.5 настоящего приложения.
Таблица Д.5 - Значения параметров β0, T 1, T2
|
Категория грунтов по сейсмическим свойствам |
β0 |
T1 |
T2 |
|
I |
2,5 |
0,10 |
0,375 |
|
I - II и II |
2,5 |
0,15 |
0,611 |
|
II - III и III |
2,5 |
0,20 |
0,882 |
Значения коэффициента динамичности β(Ti) также можно определить по графику на рисунке Д.1.

1 - для грунтов I категории;
2 - для грунтов I - II и II категорий;
3 - для грунтов II - III и III категорий.
Рисунок Д.1 - Зависимость коэффициента динамичности β от периода собственных колебаний сооружения Ti
7.10 При расчете сейсмостойкости сооружений по ЛСТ расчетные значения возникающих в сооружении смещений (деформаций, напряжений и усилий) с учетом всех учитываемых в расчете форм собственных колебаний сооружений следует определять по формуле:
, (Д.11)
где W - обобщенное значение расчетных смещений (деформаций, напряжений или усилий), возникших в рассматриваемых точках или сечениях под влиянием сейсмических воздействий;
Wi - обобщенное значение смещений (деформаций, напряжений или усилий), возникших в рассматриваемых точках или сечениях под влиянием сейсмических нагрузок (сил), соответствующих i-й форме собственных колебаний;
q - число учитываемых в расчетах форм собственных колебаний.
7.11 Плотность материалов сооружений и грунтов оснований следует определять согласно указаниям соответствующих ГОСТ, а также норм проектирования конкретных видов сооружений. При этом плотность материалов и грунтов устанавливается с учетом степени их водонасыщения.
Динамические деформационные и прочностные характеристики материалов сооружений и грунтов оснований при расчете сейсмостойкости гидротехнических сооружений следует определять экспериментально, в т.ч. с использованием геофизических методов. В случаях отсутствия соответствующих экспериментальных данных в расчетах по ЛСТ допускается использовать корреляционные связи между величинами статического модуля общей деформации Е0 (или статического модуля упругости Ес) и динамического модуля упругости Ед. Допускается также использование статических прочностных характеристик материалов сооружения и грунтов основания; при этом вводятся дополнительные коэффициенты условий работы, устанавливаемые нормами проектирования конкретных сооружений для учета влияния на эти характеристики кратковременных динамических воздействий.
7.12 При наличии в основании, боковой засыпке или теле гидротехнического сооружения водонасыщенных несвязных или слабосвязных грунтов следует выполнять исследования для оценки области и степени возможного разжижения этих грунтов при сейсмических воздействиях. Полученные в результате этих исследований данные об избыточном поровом давлении должны быть использованы при определении деформационных и прочностных характеристик указанных грунтов.
При этом следует учитывать также влияние возможных при сейсмических воздействиях других видов локальных разуплотнений и разрушений грунта (например, при наличии в указанных элементах сооружения глинистых тиксотропных грунтов - возможность текучести этих грунтов).
7.13 При расчетах гидротехнических сооружений на ПЗ оценка их прочности и устойчивости выполняется по критериям, принятым в нормах проектирования конкретных видов сооружений. Эти критерии должны соответствовать требованиям, предъявляемым к сооружениям при расчете их на ПЗ (5.4 настоящего приложения).
Для оценки прочности и устойчивости сооружений при расчете на МРЗ должны использоваться специально разработанные критерии, обеспечивающие выполнение требований 5.4 настоящего приложения и принятые проектной организацией.
При этом для оценки сейсмостойкости сооружений допускается применять вероятностные методы.
Для сооружений из грунтовых материалов, а также для береговых склонов предельные значения допустимых остаточных деформаций и повреждений (осадки, смещения, трещины и т.д.), соответствующие состояниям сооружений, указанным в 5.4 настоящего приложения, должны назначаться в результате специального обоснования с учетом природных условий площадки строительства, особенностей конструкции и условий эксплуатации сооружения.
Расчет сейсмостойкости сооружений на повторные сейсмические воздействия следует производить по вторичным схемам.
Для гидротехнических сооружений I и II классов на предварительных стадиях проектирования (при отсутствии оценок вероятности возникновения значимых повторных толчков на площадке рассматриваемого гидроузла) допускается производить проверку сейсмостойкости при повторных землетрясениях с интенсивностью, уменьшенной по сравнению с интенсивностью расчетного землетрясения на 1 балл.
7.14 Для определения напряженно-деформированного состояния гидротехнического сооружения при сейсмических воздействиях следует применять расчетные схемы, как правило, соответствующие таковым для расчета сооружения на нагрузки и воздействия основного сочетания. При этом следует учитывать направление сейсмического воздействия относительно сооружения и пространственный характер колебаний сооружения при землетрясении.
Допускается для ряда сооружений использовать двумерные расчетные схемы: для гравитационных плотин, подпорных стен и других массивных сооружений - расчеты по схеме плоской деформации; для арочных плотин и аналогичных им конструкций - расчеты при схематизации указанных сооружений оболочками средней толщины, а также пластинами, работающими в срединной плоскости как изгибаемые плиты. При специальном обосновании допускается использовать также одномерные расчетные схемы, применяемые для конструкций стержневого типа.
В расчетах учитывается масса жидкости, находящейся во внутренних полостях и резервуарах сооружений.
7.15 Размеры расчетной области основания в совокупности с другими грунтовыми массивами должны назначаться таким образом, чтобы при их увеличении возможно было пренебречь дальнейшим уточнением результатов расчета. Размеры расчетной области, занятой грунтовыми массивами, должны позволить проявиться предельным состояниям, характерным как для сооружения, так и для грунтовых массивов.
Для сооружений, входящих в состав напорного фронта, расчетная область основания, как правило, по своей нижней границе должна иметь размеры не менее 5H, а по глубине от подошвы сооружения - не менее 2H, где H - характерный размер сооружения (для водоподпорных сооружений H - высота сооружения).
Для других видов гидротехнических сооружений размеры расчетной области основания принимаются проектными организациями на основе опыта проектирования подобных сооружений.
Примечание - Если на глубине менее 2Н находятся породы, характеризуемые скоростями распространения упругих сдвиговых волн не менее 1100 м/с, то допускается совместить подошву расчетной области основания с кровлей указанных пород.
7.16
В расчетах сейсмостойкости сооружений по ЛСТ направление сейсмического
воздействия
должно выбираться таким образом, чтобы
воздействие оказалось наиболее опасным для сооружения.
При этом
водоподпорные гидротехнические сооружения следует рассчитывать на сейсмические
воздействия, в которых вектор
принадлежит вертикальной плоскости, нормальной к
продольной оси сооружения, а контрфорсные и арочные плотины - также и на
воздействия, у которых вектор
лежит в одной плоскости с продольной осью
сооружения.
При
отсутствии данных о соотношении горизонтальной и вертикальной компонент
сейсмического воздействия допускается рассматривать два значения угла между
вектором
и горизонтальной плоскостью: 0 и 30°.
Протяженные туннели допускается рассчитывать на сейсмическое воздействие в плоскости, нормальной к оси туннеля.
Отдельно стоящие гидротехнические сооружения, схематизируемые стержнями, рассчитываются на горизонтальные сейсмические воздействия в плоскостях наибольшей и наименьшей жесткости.
В расчетах сейсмостойкости по ДТ для каждой из компонент вектора смещения в принятой расчетной схеме определяются сейсмические воздействия в виде акселерограмм, полученных по компонентам РА (с учетом их пространственной ориентации). Расчет производится на совместное действие учитываемых компонент РА. При этом вычисленные величины (смещения, деформации, напряжения, усилия), характеризующие состояние сооружения при его колебаниях по каждой компоненте вектора смещения в принятой расчетной схеме, суммируются алгебраически во все моменты времени расчетного периода τПЗ или τМРЗ.
7.17 Число форм собственных колебаний q, учитываемых в расчетах с использованием разложения решения по указанным формам, выбирается таким образом, чтобы выполнялись условия:
, (Д12)
, (Д.13)
где ωq - частота последней учитываемой формы собственных колебаний;
ω1 - минимальная частота собственных колебаний;
ωc - частота, соответствующая пиковому значению на спектре действия расчетной акселерограммы.
При этом число используемых форм колебаний должно составлять не менее 25.
Примечание - На ранних стадиях проектирования при соответствующем обосновании допускается учитывать меньшее число форм колебаний, чем указано в настоящем пункте.
7.18 В расчетах прочности гидротехнических сооружений с учетом сейсмических воздействий в случае контакта боковых граней сооружения с грунтом (в том числе - наносами) следует учитывать влияние сейсмических воздействий на величину бокового давления грунта.
Конкретные методы определения бокового давления грунта при учете сейсмического воздействия в расчетах прочности сооружений принимаются проектными организациями с учетом особенностей конструкции сооружения и условий их эксплуатации.
7.19 Проверка устойчивости гидротехнических сооружений и их оснований с учетом сейсмических нагрузок должна производиться в соответствии с указаниями приложений А, Б Стандарта.
В тех случаях, когда по расчетной схеме при потере устойчивости сооружение сдвигается совместно с частью грунтового массива, в расчетах устойчивости сооружений и их оснований следует учитывать грунтовые сейсмические силы в сдвигаемой части расчетной области основания. Избрание иных схем учета грунтовых сейсмических сил требует соответствующего обоснования.
При расчете устойчивости откосов сооружений из грунтовых материалов и склонов с использованием ЛСТ сейсмические силы, действующие на сдвигаемую часть откосов и склонов, допускается определять инженерными методами (с учетом примененных методов проверки устойчивости).
Во всех случаях сдвигаемые грунтовые области (откосы сооружений из грунтовых материалов, склоны берегов и котлованов, засыпка подпорных стен, наносы, а также грунтовые массивы, слагающие основание) определяются из условия предельного равновесия этих областей с учетом всех нагрузок и воздействий особого сочетания, включающего сейсмические воздействия.
Конкретные методы определения предельного состояния сдвигаемых грунтовых массивов, в том числе и в случае нахождения бокового давления грунта при сдвиге, принимаются проектными организациями с учетом особенностей конструкций и условий эксплуатации сооружений.
Примечание - Если грунтовые массивы примыкают к боковым граням сооружения с двух сторон, то в расчетах устойчивости следует принимать, что сейсмические силы в обоих грунтовых массивах действуют в одном направлении и тем самым увеличивают общее давление грунта на одну из боковых граней сооружения и одновременно уменьшают давление на противоположную грань.
7.20 В тех случаях, когда при проектировании гидротехнического сооружения прогнозируется отложение у верховой грани сооружения наносов, следует учитывать влияние этих наносов в расчетах прочности и устойчивости сооружения при сейсмических воздействиях.
При этом следует принимать во внимание характерные особенности наносов как объекта расчета:
- переменная высота слоя наносов на разных временных этапах эксплуатации сооружения;
- возможность существенной неоднородности слагающих наносы грунтов и их физико-механических свойств по высоте слоя наносов;
- возможность изменения во времени состава и свойств грунтов, слагающих наносы.
Все основные характеристики состояния наносов у верховой грани сооружения для различных временных этапов эксплуатации сооружения должны быть определены при проектировании сооружения и уточняться в процессе эксплуатации объекта по данным натурных наблюдений и исследований. Особое внимание должно обращаться на установление возможности разжижения грунтов наносов при сейсмических воздействиях и размеров зоны этого явления.
7.21 В створе сооружения, в зоне водохранилища и нижнем бьефе подлежат проверке на устойчивость участки береговых склонов, потенциально опасные в отношении возможности обрушения при землетрясениях больших масс горных пород и отдельных скальных массивов, результатом чего могут быть повреждения основных сооружений гидроузла, образование волн перелива и затопление населенных пунктов или промышленных предприятий, разного рода нарушения нормальной эксплуатации гидротехнического сооружения.
Для береговых склонов назначенный срок службы принимается равным максимальному для сооружений данного гидроузла.
7.22 В расчетах устойчивости гидротехнических сооружений, их оснований и береговых склонов следует учитывать возникающие под влиянием сейсмических воздействий дополнительное (динамическое) поровое давление, а также изменения деформационных, прочностных и других характеристик грунта в соответствии с 7.12 настоящего приложения.
7.23 При расчете подземного сооружения по ЛСТ следует учитывать раздельно:
- сейсмическое давление грунта, вызванное прохождением в грунтовой среде сейсмических волн сжатия-растяжения и сдвига;
- инерционные сейсмические нагрузки от массы конструкции подземного сооружения и массы породного свода.
Подземные сооружения I и II классов на сейсмические воздействия на уровнях ПЗ и МРЗ рассчитываются по ДТ. В этих случаях напряженно-деформированное состояние сооружения определяется из единого динамического расчета системы, включающей вмещающую подземное сооружение грунтовую среду и само сооружение.
В расчетах подземных сооружений типа гидротехнических туннелей как по ДТ, так и ЛСТ следует учитывать сейсмическое давление воды.
7.24 В расчетах гидротехнических сооружений на сейсмические воздействия при определении периодов собственных колебаний и сейсмических нагрузок следует учитывать инерционное влияние колеблющейся совместно с сооружением части жидкости.
С этой целью к массе сооружения, отнесенной к точке k на смоченной поверхности сооружения, добавляется масса колеблющейся воды. Присоединенная масса воды определяется для каждой из компонент вектора смещений в принятой расчетной схеме сооружения.
Сейсмическое давление воды на сооружение допускается не учитывать, если глубина водоема у сооружения < 10 м.
7.25 Высоту гравитационной волны Δh, м, учитываемую при назначении превышения гребня плотины над расчетным горизонтом воды, в случае возможности сейсмотектонических деформаций (подвижек) дна водохранилища при землетрясениях интенсивностью I = 6 - 9 баллов, следует определять по формуле
Δh = 0,4 + 0,76(I - 6). (Д.14)
8.1 При необходимости размещения сооружений на участке тектонического разлома основные сооружения гидроузла (плотины, здания ГЭС, водосбросы) следует размещать на едином структурно-тектоническом блоке, в пределах которого исключена возможность взаимных подвижек частей сооружения.
При невозможности исключения взаимных подвижек частей сооружения в проекте должны быть разработаны специальные конструктивные мероприятия, позволяющие воспринять дифференцированные подвижки без ущерба для безопасности сооружения.
8.2 Строительство водоподпорных и других сооружений, входящих в состав напорного фронта, на оползнеопасных участках допускается только при осуществлении мероприятий, исключающих образование оползневых деформаций в основании сооружения и береговых склонах в створе сооружения.
8.3 При возможности нарушения устойчивости сооружения, а также развития чрезмерных деформаций в теле сооружения и в основании вследствие разжижения и других деструктивных изменений состояния грунтов в основании или теле сооружения под влиянием сейсмических воздействий следует предусматривать искусственное уплотнение или укрепление этих грунтов.
8.4 Для каменно-земляных плотин в сейсмических районах с верховой стороны ядер и экранов следует предусматривать устройство фильтров (переходных слоев), при этом подбор состава первого слоя фильтра должен обеспечивать кольматацию (самозалечивание) трещин, которые могут образоваться в противофильтрационном элементе при землетрясении.
8.5 Верховые водонасыщенные призмы плотин из грунтовых материалов следует проектировать из крупнозернистых грунтов с повышенными коэффициентами неоднородности и фильтрации (каменная наброска, гравелистые, галечниковые грунты и др.), которые обладают существенно ограниченной способностью к разжижению при сейсмических воздействиях. При необходимости уменьшения объема крупнозернистого материала в теле верховой призмы допускается введение горизонтальных слоев из крупнозернистых (крупнообломочных) сильнодренирующих материалов.
Примечание - Указания данного пункта не распространяются на гидротехнические сооружения из грунтовых материалов с экраном.
8.6 С целью повышения устойчивости верховой упорной призмы плотин из грунтовых материалов с ядрами или диафрагмами при сейсмических воздействиях надлежит разрабатывать мероприятия, обеспечивающие снижение избыточного порового давления в грунтах, в частности, максимальное уплотнение несвязных грунтов, крепление откосов каменной наброской, устройство дополнительных дренирующих слоев и т.д.
8.7 При проектировании плотин и других водоподпорных сооружений в сейсмических районах повышение их сейсмостойкости следует производить с помощью одного (или нескольких) мероприятий из нижеследующего перечня, осуществляя выбор на основании их технико-экономического сопоставления:
- уширение поперечного профиля плотины;
- облегчение верхней части сооружений за счет применения оголовков минимального веса, устройства верхней части сооружения в виде стенки, контрфорсной или рамной конструкции, выполнения полостей в пригребневой зоне сооружения и т. д.:
- заглубление подошвы сооружения до скальных пород;
- укрепление основания, сложенного нескальными грунтами, путем инъектирования этих грунтов;
- обжатие бетона у верховой грани бетонных плотин с помощью напрягаемых анкеров;
- защита напорной грани плотины из грунтовых материалов водонепроницаемым экраном;
- использование для массивных гравитационных плотин клиновой («токтогульской») разрезки сооружения на секции;
- применение пространственно работающих массивных гравитационных плотин;
- устройство периметрального шва для арочных плотин;
- использование сдвоенных контрфорсов, либо размещение распорных балок между контрфорсами для контрфорсной плотины;
- создание перед бетонной плотиной стационарной воздушной подушки, снижающей интенсивность гидродинамического давления на колеблющееся сооружение;
- устройство антисейсмических поясов;
- использование «армированного грунта» для возведения земляных плотин;
8.8 Для повышения сейсмостойкости эксплуатируемых плотин, имеющих дефицит сейсмостойкости, следует предусматривать инъекцию упорных призм грунтовых плотин цементными или иными растворами, а также следующие мероприятия из перечня, приведенного в 8.7 настоящего приложения:
- уширение поперечного профиля плотины;
- облегчение верхней части сооружений за счет применения оголовков минимального веса, устройства верхней части сооружения в виде стенки, контрфорсной или рамной конструкции, выполнения полостей в пригребневой зоне сооружения и т.д.:
- обжатие бетона у верховой грани бетонных плотин с помощью напрягаемых анкеров;
- использование сдвоенных контрфорсов, либо размещение распорных балок между контрфорсами для контрфорсной плотины;
- создание перед бетонной плотиной стационарной воздушной подушки, снижающей интенсивность гидродинамического давления на колеблющееся сооружение.
9.1 В проектах водоподпорных сооружений I и II классов при расчетной сейсмичности площадки строительства для ПЗ 7 баллов и выше, а также при возможности опасных проявлений других геодинамических процессов (современных тектонических движений, оползней, резких изменений напряженно-деформированного состояния или гидрогеологического режима верхних частей вмещающей геологической среды и др.), следует предусматривать создание комплексной системы геодинамического мониторинга, включающей:
- сейсмологический мониторинг за естественными и техногенными землетрясениями на участке плотины и в зоне водохранилища;
- инженерно-сейсмометрический мониторинг на сооружениях и береговых примыканиях;
- геофизический мониторинг физико-механических свойств и напряженно-деформированного состояния сооружения и основания, а также района расположения гидроузла;
- геодезический мониторинг деформационных процессов, происходящих в сооружении и основании, а также земной поверхности в районе водохранилища;
- тестовые динамические испытания сооружения;
- проведение поверочных расчетов сейсмостойкости и оценка сейсмического риска в случае изменения сейсмических условий площадки строительства, свойств основания и сооружения во время эксплуатации;
- систему регламентных мероприятий персонала действующего гидротехнического сооружения по предотвращению либо снижению негативного влияния опасных геодинамических процессов и явлений в период эксплуатации.
Конкретные составы и методы наблюдений и исследований определяются специализированной проектной или исследовательской организацией. Примерный состав геодинамических наблюдений и периодичность замеров в зависимости от характеристики объекта мониторинга и активности геодинамических процессов приведен в приложении Д.1.
Геодинамический мониторинг проводится комплексно и охватывает период от начала строительства до конца эксплуатации гидротехнического сооружения.
9.2 Сейсмологический мониторинг проводится для оперативного слежения за сейсмическим режимом и его изменением во времени. Специальной задачей исследований является выявление взаимосвязи сейсмичности района с режимом эксплуатации водохранилища.
Проект сейсмологического мониторинга разрабатывается с учетом расположения основных сейсмогенерирующих зон, величин максимально возможных магнитуд ожидаемых землетрясений, а также возможных изменений сейсмического фона за весь период наблюдений.
Для проведения сейсмологических наблюдений в головной части водохранилища размещается сеть высокочувствительных сейсмологических станций числом не менее четырех (по условию определения не только эпицентра, но и глубины очага землетрясения).
Одна из сейсмостанций локальной сети должна быть опорной и помимо сейсмологической аппаратуры иметь комплексы региональной сейсмологической и сейсмометрической аппаратуры.
9.3 Инженерно-сейсмометрический мониторинг должен обеспечивать оперативную информацию о реакции сооружения на сейсмические воздействия.
Наблюдения проводятся в специально выбранных точках сооружения, где оборудуются сейсмометрические пункты наблюдений, оснащенные автоматизированными приборными комплексами, позволяющими регистрировать смещения, скорости и ускорения сооружения и береговых примыканий при сейсмических воздействиях.
Схема размещения сейсмометрических пунктов наблюдений разрабатывается на основе результатов динамических расчетов сооружения, а также опыта натурных и модельных исследований. В зависимости от конструкции водоподпорного сооружения в его теле должно быть развернуто от 3-5 до 10-15 пунктов, в опорном контуре сооружения - до 6-8 пунктов наблюдения. Один комплект аппаратуры с трехкомпонентной регистрацией должен быть размещен на опорной сейсмологической станции.
До начала строительных работ инженерно-сейсмометрические наблюдения выполняются по контуру будущей плотины с целью уточнения каньонного эффекта.
9.4 Геофизический мониторинг проводится для контроля за изменением во времени физико-механических свойств и напряженно-деформированного состояния плотины и основания на различных масштабных уровнях.
Геофизический мониторинг выполняется по специальной программе, предусматривающей проведение регулярных, с установленной проектом периодичностью, повторных сейсмических, ультразвуковых и других исследований.
Сеть пунктов для проведения геофизических исследований развертывается на участке расположения основных сооружений гидроузла и в зоне водохранилища. Непосредственно места размещения пунктов определяются специализированными проектными и научно-исследовательскими организациями с учетом инженерно-геологических и сейсмотектонических условий района.
9.5 На водоподпорных сооружениях, указанных в 9.1 настоящего раздела, при сдаче их в эксплуатацию, а затем через каждые 5 лет, следует проводить силами специализированных организаций тестовые испытания по определению динамических характеристик этих сооружений (динамическое тестирование) с составлением динамических паспортов.
В процессе динамического тестирования должны быть определены собственные частоты и формы колебаний, затухание по формам, амплитудно-частотные характеристики динамической податливости.
Для возбуждения колебаний могут быть использованы следующие естественные и искусственные источники:
- фоновые колебания сооружения, связанные с режимной работой гидроагрегатов;
- специальные, приуроченные к динамическим исследованиям, пуски и остановки гидроагрегатов;
- микросейсмы;
- тестовые взрывы небольших зарядов ВВ;
- воздействие специальной тестирующей вибромашины.
Динамические характеристики сооружения устанавливаются при нормальном подпорном уровне и при уровне мертвого объема воды в водохранилище.
9.6 Все текущие данные геодинамического мониторинга должны поступать в специальный банк данных для совместной обработки и интерпретации. Данные об изменении геодинамической обстановки должны поступать и анализироваться в режиме, близком к реальному масштабу времени.
9.7 Все гидротехнические сооружения независимо от их назначения, класса, конструкции и материала изготовления должны подвергаться обследованию после каждого сейсмического воздействия интенсивностью 5 баллов и выше. При этом должны быть оперативно проанализированы показания всех видов КИА, установленной в сооружении, а также проведен осмотр сооружения. На основании установленных фактов проводится экспертная и расчетная оценка прочности, устойчивости и эксплуатационных качеств сооружения.
Осмотр сооружения и аналогичная оценка его состояния (прочности, устойчивости и эксплуатационных качеств) производится и в случае отсутствия в сооружении установленной КИА.
При осмотре сооружения надлежит зафиксировать, наряду с другими возможными проявлениями перенесенного сооружением землетрясения, наличие или отсутствие в сооружении повреждений в виде трещин и раскрытия швов бетонных сооружений и остаточных деформаций грунтовых сооружений и насыпей.
При наличии видимых повреждений, способных привести к аварии, следует оперативно оценить возникшую опасность и при необходимости - оповестить о ней административные органы и МЧС.
Таблица Д.1.1 - Примерный состав геодинамического мониторинга на гидротехнических объектах
|
№№ п/п |
Объект мониторинга |
Задачи мониторинга |
Вид геодинамических наблюдений |
Активность геодинамических (природных и техногенных) процессов |
Периодичность наблюдений в нормальном режиме |
|
|
Сейсмическая активность в баллах |
Активность прочих геодинамических процессов* |
|||||
|
1 |
2 |
3 |
4 |
5 |
6 |
7 |
|
1 |
Плотины всех видов при высоте сооружения 100 м и более. |
Контроль сейсмостойкости плотины. |
Инженерно-сейсмометрический мониторинг. |
Высокая: 8 и более баллов. Средняя: 7-8 баллов. |
Высокая, средняя. |
Ждущий режим. |
|
Контроль деформаций сооружения и основания. |
Геодезический мониторинг. |
Высокая Средняя Низкая |
Высокая Средняя Низкая |
Не менее 1 раза в 3 месяца. |
||
|
Контроль изменения физико-механических свойств и напряженно-деформированного состояния плотины и основания. |
Геофизический мониторинг: - сейсмотомография; - ультразвуковое профилирование и каротаж; - термометрия; - акустико-эмиссионные измерения. |
Высокая Средняя |
Высокая Средняя |
Не менее 1 раза в полгода. |
||
|
Контроль гидрогеодеформационных процессов. |
Пьезометрия, расходометрия. |
Высокая Средняя |
Высокая Средняя |
Не менее 1 раза в неделю или непрерывная регистрация. |
||
|
2 |
Глубокие водохранилища (с плотинами высотой 100м и более) |
Контроль сейсмического режима. Выявление вызванной сейсмичности. |
Сейсмологический мониторинг на локальной сети. |
Высокая: 8 баллов и более. Средняя: 7-8 баллов. Низкая: менее 7 баллов. |
Высокая, средняя, низкая. |
Ждущий режим. |
|
Контроль деформаций в районе водохранилища. |
Геодезический мониторинг. |
Высокая Средняя Низкая |
Высокая Средняя Низкая |
Не менее 1 раза в 3 месяца. |
||
|
Контроль за изменением физико-механических свойств и напряженно-деформированного состояния приповерхностных частей земной коры в районе водохранилища. |
Геофизический мониторинг: - сейсмопрофилирование в районе водохранилища; - электрометрия. |
Высокая Средняя |
Высокая Средняя |
Не менее 1 раза в полгода. |
||
|
Контроль гидрогеодеформационного поля. |
Пьезометрия, расходометрия. |
Высокая Средняя |
Высокая Средняя |
Не менее 1 раза в месяц. |
||
|
3 |
Водохранилища глубиной менее 100 м. |
Контроль оползневых процессов и процессов переработки берегов. |
Геофизический мониторинг: - акустико-эмиссионные измерения; - электрометрия. |
Высокая Средняя Низкая |
Высокая Средняя Низкая |
Не менее 1 раза в полгода |
|
4 |
Подземные гидротехнические сооружения - машинные залы, туннели и др. Подземные гидротехнические сооружения - машинные залы, туннели и др. |
Контроль напряженно-деформационного состояния вмещающего массива на различных масштабных уровнях сейсмичности. Контроль горного давления, прогноз горных ударов |
Ультразвуковой, акустико-эмиссионный и высокочастотный сейсмический каротаж вееров скважин. Ультразвуковой каротаж. Акустико-эмиссионное профилирование и каротаж. Гидроразрыв. |
Высокая Средняя |
Высокая Средняя |
Не менее 1 раза в 3 месяца |
|
5 |
Плотины всех видов и классов высотой менее 100 м. ГАЭС и другие гидротехнические сооружения |
Контроль прочности и деформативности несущих бетонных и железобетонных конструкций |
Ультразвуковое и высокочастотное сейсмическое профилирование |
Высокая Средняя |
Высокая Средняя |
1 раз в 3-5 лет, после землетрясений интенсивностью 7-8 баллов |
|
Контроль трубопроводов |
Акустико-эмиссионный мониторинг |
Высокая Средняя |
Высокая Средняя |
Непрерывно |
||
|
Ультразвуковые просвечивания несущих конструкций |
Высокая Средняя |
Высокая Средняя |
1 раз в 3-5 лет, после землетрясений интенсивностью 7-8 баллов |
|||
|
Контроль фильтрационных процессов |
Специальные электрометрические наблюдения |
Высокая Средняя |
Высокая Средняя |
1 раз в 3-5 лет, после землетрясений интенсивностью 7-8 баллов |
||
|
Пьезометрия, расходометрия |
Высокая Средняя |
Высокая Средняя |
Непрерывно |
|||
* Под активностью прочих геодинамических процессов подразумеваются современные изменения напряженно- деформированного состояния земной коры, теплового потока, гидрогеодеформационного поля, а также оползневые и обвальные процессы, вызванные природными и техногенными факторами.
Сведения о разработчиках
Разработаны ОАО "Всероссийский научно-исследовательский институт гидротехники им. Б.Е. Веденеева” (ОАО “ВНИИГ им. Б.Е. Веденеева”) и “Центром службы геодинамических наблюдений в электроэнергетической отрасли” (ЦСГНЭО) - филиалом филиала ОАО “Инженерный центр ЕЭС” - “Институт Гидропроект”.
Внесены Управлением технического нормирования Госстроя России.
Приняты Межгосударственной научно-технической комиссией по стандартизации и техническому нормированию в строительстве (МНТКС) в качестве межгосударственных строительных норм.
1.1 Правила настоящего приложения являются обязательными при выполнении комплекса работ по подготовке блоков бетонирования, приготовлению, транспортировке, подаче, укладке бетонной смеси, регулированию температурного режима бетонной кладки и уходу за бетоном до достижения заданных проектом характеристик бетона, включая контроль качества работ при возведении и реконструкции монолитных бетонных и железобетонных гидротехнических сооружений, во всех климатических зонах России.
Правила не распространяются на производство бетонных работ по подводному бетонированию, торкретированию, изготовлению сборных бетонных и железобетонных конструкций.
1.2 При возведении бетонных и железобетонных конструкций гидротехнических сооружений должны также выполняться требования Стандарта и других соответствующих государственных стандартов.
1.3 Для строительства (реконструкции) конкретных гидроузлов проектной организацией на основе Стандарта и настоящего приложения должны быть разработаны местные технологические правила, учитывающие особенности сооружений гидроузла и условий производства работ; эти технологические правила должны являться составной частью проекта - Технических условий на производство бетонных работ на объекте.
2.1 Организация бетонных работ, применяемые материалы и методы бетонирования должны обеспечивать получение бетонной кладки гидротехнических сооружений и конструкций, полностью удовлетворяющей требованиям проекта и действующих нормативных документов по прочности при сжатии и растяжении, водонепроницаемости, морозостойкости, стойкости против агрессивного воздействия воды, деформативным характеристикам, трещиностойкости и сдвиговым характеристикам.
2.2 Проектной организацией должны быть определены возможные источники поступления заполнителей, цемента, добавок и воды.
Число видомарок цемента должно быть, как правило, не более двух, а число поставщиков цемента (цементных заводов) - ограничиваться одним-двумя заводами.
Строительства крупных гидроузлов (с объемом бетона более 250 тыс. м3) должны снабжаться цементом по специальным техническим условиям, составленным Проектировщиком и утвержденным Заказчиком.
2.3 Работы по проектированию и подбору основных составов бетона должны быть закончены не позднее, чем за полгода до начала бетонных работ. Подбор составов бетона должен производиться в соответствии с действующими стандартами и техническими условиями по проектированию составов гидротехнических бетонов.
Для крупных гидроузлов проектирование, подбор и необходимые исследования бетонов для основных сооружений должны, как правило, производиться специализированными научно-исследовательскими организациями.
Утвержденные Проектировщиком составы бетона должны быть не позднее чем за полгода до начала бетонных работ переданы Подрядчику для апробации их лабораторией строительства в производственных условиях. К этому времени лаборатория строительства должна быть оснащена всем необходимым оборудованием.
2.4 Для сокращения сроков строительства, трудозатрат и стоимости гидротехнических сооружений производство бетонных работ должно осуществляться индустриальными методами с применением комплексной механизации. К началу бетонных работ все используемые механизмы должны быть освоены и опробованы.
2.5 При значительной разнице в требованиях к бетонам различных зон сооружений и конструкций и соответственно при значительной разнице в требованиях к качеству материалов для их приготовления в составе бетонных хозяйств для строительства крупных гидроузлов следует предусматривать возможность разделения технологических линий на две: для приготовления отдельно морозостойких (F ≥ 200) и кавитационностойких (износостойких) бетонов и отдельно - бетонов внутренней, подводной зон, и других бетонов.
Такие технологические линии должны быть рассчитаны на дифференцированную подготовку заполнителей в соответствии с требованиями действующих норм или использование заполнителей из разных источников.
2.6 Бетонные смеси должны приготовляться, как правило, на автоматизированных бетонных заводах или заводах-автоматах с программным управлением.
Примечание - Для бетонных заводов, предназначенных для приготовления кавитационно-стойких, высоко-морозостойких бетонов и бетонов для арочных плотин, для хранения фракционированных заполнителей рекомендуется использовать закрытые склады силосного типа.
2.7 Для строительства гидроузлов, как правило, следует применять серийно-выпускаемые бетонные заводы. Проектирование и строительство индивидуальных бетонных заводов допускается лишь при невозможности использования серийно-выпускаемых заводов.
Бетонные заводы должны быть оборудованы устройствами для введения в бетонную смесь пластифицирующих и воздухововлекающих добавок с раздельными трактами их дозирования, а при необходимости - и дисперсных минеральных добавок, а также устройствами для подогрева и охлаждения составляющих бетонных смесей и, при соответствующем обосновании, установками для контрольного грохочения крупного заполнителя.
Типы и мощности бетонных заводов следует устанавливать при разработке проектов организации строительства (ПОС) и технических условий на производство бетонных работ.
2.8 До начала укладки бетона в основные сооружения бетонное хозяйство строительства должно быть принято в постоянную эксплуатацию в соответствии с проектом.
Для строительства гидротехнических сооружений с объемом бетона более 1 млн.м3 при проектировании бетонного хозяйства допускается предусматривать разделение его на очереди, обеспечивающие последовательный ввод в эксплуатацию смесительных отделений с одновременным вводом технологических линий подготовки заполнителей равноценной мощности по полной проектной схеме.
2.9 Помещения бетонного хозяйства и коммуникации подачи заполнителей и бетонной смеси должны быть изолированы от влияния низких и высоких температур воздуха, инсоляции и снабжены необходимыми обогревательными, охладительными и обеспыливающими устройствами.
2.10 При строительстве каскада гидроэлектростанций следует предусматривать возможность полного или частичного использования одного и того же бетонного хозяйства для последовательного возведения двух-трех смежных гидроузлов с организацией массовых перевозок бетонных смесей на расстояния до 50 км.
2.11 Транспортирование бетонной смеси от бетонного завода к месту укладки должно производиться с применением средств и механизмов, предусмотренных Техническими условиями на производство работ на конкретном объекте.
Принятые способы транспортирования бетонной смеси должны гарантировать сохранение однородности, необходимой степени подвижности или жесткости и заданной температуры бетонной смеси.
2.12 Укладка бетонной смеси в блоки бетонирования должна производиться в последовательности, указанной Техническими условиями на производство бетонных работ на конкретном объекте. Размеры блоков бетонирования и тип применяемой разрезки сооружения на блоки бетонирования (секционная, столбчатая) должны определяться, исходя из расчетной интенсивности бетонных работ и термонапряженного состояния бетонной кладки в строительный и эксплуатационный периоды.
Расположение межсекционных деформационно-осадочных швов должно быть увязано с геологическими и топографическими условиями створа гидроузла.
2.13 При разработке требований к производству бетонных работ и температурному режиму возводимых массивных сооружений необходимо предусматривать возможность сочетания деформационно-осадочных швов с чисто температурными швами-надрезами, с тем, чтобы, в случае увеличения плановых размеров блоков бетонирования, обеспечить возможность полной комплексной механизации бетонных работ и сократить объем трудоемких вспомогательных работ (опалубочных, цементационных и т.д.).
2.14 Для рациональной организации механизированной укладки бетонной смеси в строительные блоки сооружений необходимо предусматривать следующее:
- производительность выбранных бетонных заводов, средств транспорта и укладки, занятых на подаче, разравнивании и уплотнении бетонных смесей, должна быть взаимно увязана и соответствовать расчетной интенсивности бетонирования сооружения;
- производительность механизмов, используемых на отдельных операциях (подаче, разравнивании, уплотнении), должна быть кратна расчетной производительности бетоноукладочного комплекта - расчетной интенсивности приходящегося на него потока бетонной смеси;
- технология укладки бетонной смеси (высота и число одновременно укладываемых слоев в блоке, перекрываемая площадь слоев, объем подаваемых порций бетонной смеси и др.) должна быть увязана с производительностью бетоноукладочных средств, занятых на ее подаче, разравнивании и уплотнении.
2.15 Уплотнение бетонной смеси в блоках сооружений или конструкций должно производиться с применением механизированных средств (с использованием подвесных вибропакетов или виброкатков) и только в исключительных случаях, при малых объемах или сложной конфигурации блоков - при помощи одиночных (ручных) глубинных или поверхностных вибраторов.
2.16 С целью улучшения термонапряженного состояния бетонных плотин и создания благоприятного температурного режима бетонной кладки простыми средствами их возведение должно вестись равномерно по всему фронту с перерывами в укладке смежных по высоте блоков в пределах 1-10 суток и с перепадами высот смежных секций, как правило, не более 1-2 м.
Напорная и низовая грани бетонных плотин во время строительства должны быть защищены от резких перепадов температур.
2.17 При разработке для конкретного гидроузла местных технологических правил бетонирования (1.3 настоящего приложения) в них следует включать типовые технологические карты на основные операции, выполняемые в ходе бетонных работ. Рекомендуемая форма технологических карт приведена в приложении Е.3.
2.18 Качество бетонной смеси и бетона на строительстве должно систематически контролироваться строительной лабораторией и технической инспекцией, состоящей из квалифицированных работников.
2.19 Контрольная документация технической инспекции и лаборатории строительства должна сохраняться и предъявляться приемочной комиссии при приемке сооружений в эксплуатацию, а затем передаваться Заказчику. Контрольная документация должна состоять из материалов, необходимых для суждения о заданных проектом свойствах бетона в сооружении, однородности и монолитности, а также о всех производственных обстоятельствах, имеющих значение для оценки качества бетона, надежности и безопасности сооружений.
2.20 Механизмы, применяемые для производства бетонных работ должны эксплуатироваться в соответствии с инструкциями заводов-изготовителей.
2.21 При производстве бетонных работ должны соблюдаться требования действующих нормативных документов по технике безопасности в строительстве.
Требования к бетону, к бетонной смеси и материалам для приготовления бетона
3.1 Марки бетона устанавливаются в соответствии со стандартами на проектирование бетонных и железобетонных плотин и конструкций гидротехнических сооружений. При этом должно быть назначено минимально необходимое число основных марок, приготовление и укладка которых должны вестись одновременно.
3.2 Для массивных гидротехнических сооружений с зональной разрезкой требования к прочности, водонепроницаемости и морозостойкости должны быть установлены дифференцированно, в строгом соответствии с фактическими условиями работы бетона различных зон и частей сооружений.
Для крупных бетонных плотин при равномерном их наращивании следует дифференцировать требования к бетону внутренней и подводной зон в высотном плане, если это не приводит к увеличению числа одновременно используемых марок бетона.
3.3 Марки бетона по прочности и водонепроницаемости должны назначаться в возрасте 180 сут., а для массивных бетонных сооружений с объемом бетона более 1 млн.м3 - 360 сут. Марки бетона по морозостойкости назначаются в возрасте 28 сут. или 60 сут.
В случае укладки бетона в осенне-зимний или зимний период, когда среднесуточная температура наружного воздуха < 0°С или минимальная суточная температура наружного воздуха ≤ +5°С, разрешается устанавливать показатели бетона по прочности в возрасте 28, 60 и 90 сут. Более ранние, чем 180 сут, сроки назначения марок бетона по прочности и водонепроницаемости устанавливаются при сокращенных сроках строительства, более раннем вводе конструкций в эксплуатацию или небольших объемах бетонных работ с соответствующим обоснованием выбранного марочного возраста в проекте.
В проектной документации и в заказных спецификациях, поступающих на бетонный завод, необходимо указывать установленный марочный возраст для каждой марки бетона.
3.4 Подвижность и жесткость бетонной смеси, укладываемой в монолитные конструкции, должны назначаться в зависимости от размеров конструкции, густоты армирования, способов транспортирования и применяемых средств уплотнения бетонной смеси при ее укладке и должны обеспечивать получение бетонных конструкций без дефектов.
Ориентировочные величины подвижности (осадки конуса) бетонной смеси в момент ее укладки назначаются в соответствии с таблицей Е.1 и уточняются технической инспекцией (строительной лабораторией), исходя из реальных условий бетонирования.
Для железобетонных конструкций с большим насыщением арматурой (>1,5%) допускается применение литых бетонных смесей без виброуплотнения.
|
Характеристика бетонируемых конструкций |
Осадка стандартного конуса, см |
|
Массивные бетонные конструкции без рабочей арматуры |
2 - 4 |
|
Массивные армированные конструкции с содержанием арматуры < 0,5% |
3 - 6 |
|
Железобетонные конструкции с содержанием арматуры < 1% |
6 - 8 |
|
Железобетонные конструкции, с содержанием арматуры < 1,5% |
8 - 16 |
|
Железобетонные конструкции с содержанием арматуры > 1,5% |
16 - 24 |
3.5 При применении для массивных конструкций (внутренние зоны гравитационных плотин и пр.) малоцементного бетона с нулевой осадкой конуса уплотняемого укаткой катками (укатанного бетона) жесткость бетонной смеси на месте укладки должна составлять 20-30 с.
3.6 Оценка подвижности и жесткости бетонной смеси производится в соответствии с ГОСТ 10181-2000 «Смеси бетонные. Методы испытаний».
3.7 Подвижность и жесткость бетонной смеси на выходе из бетонного завода задаются строительной лабораторией с учетом их изменения за время транспортирования и подачи смеси до места укладки в блоке.
3.8 Рабочие составы (рецептуры), передаваемые лабораториями на бетонные заводы, должны предусматривать выпуск бетонных смесей 3-4-х типовых подвижностей, установленных для данного строительства (указанных в таблице Е.1).
3.9 Рабочие составы (рецептуры) бетонной смеси устанавливаются строительной лабораторией, согласовываются с проектной организацией и утверждаются главным инженером строительства.
3.10 Лаборатория строительства должна систематически вести наблюдение за приготовлением бетонной смеси и своевременно корректировать составы бетонной смеси в соответствии с характеристиками реально используемых материалов для бетона и изменениями их влажности и температуры.
3.11 Выбор материалов для гидротехнических бетонов (вяжущих, поверхностно-активных добавок, тонкомолотых и других добавок, песка, крупного заполнителя и воды) производится в соответствии с действующими стандартами.
Применение заполнителей с прерывистой гранулометрией разрешается лишь в исключительных случаях, если целесообразность их применения будет доказана экспериментально и подтверждена технико-экономическими расчетами.
3.12 При установлении расхода цемента необходимо учитывать его потери, вызванные производственными условиями. Величина этих потерь устанавливается совместно проектной и строительной организациями.
3.13 В целях снижения расхода цемента необходимо применять гравий или щебень с возможно большей крупностью. При этом следует учитывать ограничения, указанные в 3.14-3.17 настоящего приложения.
3.14 Заполнители с крупностью зерен, превышающей 120 мм, могут применяться только при соответствующем технико-экономическом обосновании в каждом отдельном случае.
3.15 Верхний предел крупности заполнителей в монолитном бетоне не должен превышать 1/3 наименьшего размера конструкции, а в железобетонных и армированных конструкциях - 3/4 наименьшего расстояния в свете между стержнями арматуры.
При подаче бетона бетононасосами наибольшая крупность заполнителей не должна превышать 1/2 наименьшего расстояния между арматурными стержнями и 1/4 диаметра бетоновода.
3.16 При бетонировании плит крепления откосов грунтовых сооружений и облицовок каналов наибольшая крупность зерен заполнителя не должна превышать 1/3 их толщины.
3.17 Выбор наибольшей крупности зерен заполнителей в бетонных смесях должен быть обязательно увязан с техническими характеристиками оборудования бетонных заводов, средств доставки бетонной смеси к бетонируемым объектам, ее подачи и уплотнения в блоках.
3.18 Применяемые системы подготовки заполнителей, их транспортирования и складирования должны обеспечивать соответствие качества и зернового состава заполнителей в расходных бункерах бетонного завода требованиям ГОСТ 26633-91 «Бетоны тяжелые и мелкозернистые. Технические условия» к заполнителям для бетона гидротехнических сооружений. При этом следует учитывать указания 2.5-2.7 настоящего приложения.
Примечание - Для приготовления укатанного бетона внутренней и подводной зон сооружений могут применяться пески с содержанием пылевидных, глинистых и илистых частиц до 10% по массе.
3.19 Модуль крупности песка для гидротехнических сооружений I и II классов, используемого для приготовления бетона в течение каждого строительного сезона (года), не должен отклоняться более чем на 20% от средней его величины. В том случае, если колебания гранулометрического состава природного песка выходят за указанные пределы (для песков, подвергаемых промывке, модуль крупности должен определяться с учетом изменения гранулометрии песка при промывке), песок должен быть разделен на две фракции путем гидроклассификации. При разделении песка на фракции граничное зерно, как правило, выбирают так, чтобы объемы получаемых фракций были примерно равны.
При фракционировании песка содержание в каждой из его фракций зерен песка смежной фракции должно быть постоянным; колебания содержания смежной фракции не должны превышать 5% по массе (от фракции).
Примечание - Для гидротехнических сооружений III и IV классов допускается применение песков с колебаниями величины модуля крупности ± 30% в течение строительного сезона (года).
3.20 При технико-экономическом обосновании для приготовления бетона могут использоваться искусственные пески, а также смесь естественного песка с искусственным песком или естественных песков двух месторождений.
3.21 Способы транспортирования заполнителей для бетона, их складирования и подачи к бетоносмесительным установкам должны исключать возможность их загрязнения и смешения различных фракций, а также расслоения заполнителей по крупности или смерзания в зимнее время.
В том случае, если используемый крупный заполнитель состоит из хрупких, легко дробящихся и истирающихся пород (известняки, доломиты, песчаники и т.п.) или применяемые транспортные схемы и способы складирования крупных заполнителей не обеспечивают сохранение требуемой чистоты и зернового состава деловых фракций, может возникнуть необходимость в контрольном грохочении материала перед подачей его на бетонный завод.
3.22 Заполнители, доставленные на склады методом гидротранспорта, а также прошедшие гидравлические классификаторы или промывочные устройства, должны применяться после выдерживания на складах с дренажными устройствами либо подвергаться принудительному обезвоживанию с целью получения стабильной влажности. Для песка влажность должна быть не более 6%, а для крупного заполнителя - не более 1%.
3.23 Необходимые мероприятия по обеспечению требований 3.18 - 3.22 настоящего приложения должны быть предусмотрены в проектах карьерного и бетонного хозяйства с учетом конкретных условий строительства.
3.24 Для снижения расхода цемента, а также улучшения основных свойств бетонной смеси и бетона в бетонную смесь при ее приготовлении следует вводить добавки поверхностно-активных веществ, удовлетворяющие требованиям ГОСТ 24211-2003 «Добавки для бетонов. Общие технические требования». С этой целью на бетонных заводах должны быть предусмотрены устройства, обеспечивающие возможность одновременного введения двух добавок, как правило - пластифицирующей и воздухововлекающей.
Области рационального применения добавок ПАВ указаны в Приложении Е.1. Выбор оптимальных для конкретных условий поверхностно-активных добавок производится при проектировании составов бетона.
За введением добавок в бетонную смесь должен быть установлен тщательный контроль лаборатории.
3.25 Для подводных и внутренних зон массивных гидротехнических сооружений должна быть рассмотрена возможность применения бетонов с золой-уноса ТЭС, а для кавитационно-стойких и износостойких облицовок и обделок-бетонов - с добавкой микро-кремнезема (микросилики).
3.26 Если для водосбросных или водопропускных трактов проектом предусмотрено применение износостойкого или кавитационно-стойкого бетона, бетонное хозяйство должно иметь технологическую линию, позволяющую приготавливать бетоны на следующих материалах:
песок должен удовлетворять требованиям ГОСТ 26633-91 «Бетоны тяжелые и мелкозернистые. Технические условия» для морозостойкого бетона гидротехнических сооружений;
- в качестве крупного заполнителя должен применяться чистый щебень (гравий) из плотных горных пород, прочностью ≥ 100 МПа, а крупностью ≤ 80 мм для износостойкого бетона и ≤ 40 мм для кавитационностойкого;
- в качестве вяжущего должен применяться чистоклинкерный низкоалюминатный (С3А ≤ 7%) портландцемент марок 400-500 (при отсутствии агрессивности воды-среды) с содержанием С3S в пределах 50-55%; в случае агрессивности воды-среды должен применяться сульфатостойкий портландцемент;
- в качестве добавок ПАВ должны применяться, как правило, комплексные добавки, содержащие пластифицирующий и воздухововлекающий компоненты;
- в качестве минеральной добавки может применяться микрокремнезем (микросилика).
3.27 В заказах на бетонную смесь, передаваемых на бетонные заводы технической инспекцией после приемки блока к бетонированию, должны быть указаны:
- марка бетона по проекту (полностью) с указанием ее марочного возраста;
- требуемый объем бетона;
- вид цемента; предельная крупность заполнителей;
- подвижность (жесткость) бетонной смеси на месте укладки.
Дозирование материалов
3.28 Дозирование составляющих бетонной смеси должно производиться по массе. При контрольной проверке дозирования, результаты которой определяются по данным 30-ти замеров, не менее 85% отклонений фактической массы от заданной дозы должны быть не выше указанных в таблице Е.2.
Таблица Е.2
Название составляющих |
Точность дозирования, % |
|
|
на автоматизированных бетонных заводах |
на мелких бетоносмесительных установках |
|
|
Цемент и активные добавки, дозируемые в виде порошка |
± 1 |
± 2 |
|
Заполнители |
± 2 |
± 3 |
|
Вода и водные растворы добавок (с учетом влаги в заполнителях и добавках) |
± 1 |
± 2 |
3.29 Нормальная работа всех дозирующих устройств должна обеспечиваться выполнением требований специальных инструкций заводов-изготовителей на технологическое оборудование.
Метрологическая проверка дозаторов и контрольная проверка погрешности дозирующих устройств должны проводиться не реже одного раза в месяц.
3.30 Бетонные заводы производительностью свыше 200 тыс.м3/год должны оснащаться приборами для автоматического определения и учета влажности заполнителей, для регистрации массы фактически отдозированных на замес материалов и суммирования расхода материалов за рабочую смену.
3.31 Количество воды в замесе устанавливается с обязательным учетом фактической влажности заполнителей, особенно песка, и корректируется лабораторией строительства; при этом должна быть обеспечена требуемая точность дозирования составляющих бетона в соответствии с таблицей Е.2.
3.32 Весовые дозаторы для заполнителей могут применятся как индивидуальные, так и суммирующие. Управление дозаторами должно быть, как правило, автоматическое, в отдельных случаях для бетоносмесителей емкостью до 1000 л (по загрузке) допускается ручное управление.
3.33 Кроме непосредственной проверки точности работы дозирующего устройства, необходимо контролировать все другие особенности его работы (полнота опорожнения, возможность переполнения дозатора и т.п.), которые могут оказывать влияние на количество материала, поступающего в бетоносмеситель.
3.34 Для обеспечения бесперебойности работы весовых дозаторов, особенно при напряженной круглосуточной их работе, необходимо ежедневно производить профилактические осмотры дозаторов с устранением всех возникающих неполадок.
3.35 Лаборатория строительства должна вести наблюдения за правильностью дозировки составляющих бетонной смеси и изменять ее при изменениях влажности и зернового состава заполнителей. При этом:
- бетонные заводы должны быть оборудованы датчиками-влагомерами для автоматического определения влаги, содержащейся в заполнителях, направляемых в бетоносмеситель;
- влажность песка и крупных заполнителей должна определяться в лаборатории ежесуточно и дополнительно при поступлении новых партий, а также после выпадения осадков;
- определение зернового состава заполнителей необходимо производить не реже одного раза в сутки и, кроме того, каждый раз при переходе к расходованию нового штабеля.
3.36 Активные минеральные добавки (микросилика, зола уноса и т.п.) при приготовлении бетонной смеси вводятся в бетоносмеситель одновременно с цементом.
При введении добавок ПАВ в виде водных растворов их следует дозировать по массе и подавать в бетоносмеситель одновременно с водой.
3.37 Выбор применяемых добавок должен быть обоснован или опытом успешного применения выбранных добавок в аналогичных условиях, или конкретными рекомендациями специализированной научно-исследовательской организации, или исследованиями, выполненными лабораторией строительства с привлечением специализированной научно-исследовательской организации. Использование выбранных добавок в производственных условиях во всех случаях должно быть согласовано с проектной организацией.
3.38 В случае необходимости производится охлаждение или подогрев составляющих бетонной смеси путем соответствующего охлаждения или подогрева воды, заполнителей или добавления в замес чешуйчатого льда.
Рекомендуется следующая последовательность использования средств для охлаждения - подогрева составляющих бетонной смеси в зависимости от требуемой степени регулирования ее температуры:
- летний период:
охлаждение воды затворения
присадка искусственного льда в бетоносмеситель
охлаждение крупного заполнителя
- зимний период:
подогрев воды затворения
подогрев песка
подогрев крупного заполнителя
3.39 Расходные бункеры для заполнителей и цемента должны полностью выгружаться и очищаться перед загрузкой иных видов материалов, а бункеры выдачи бетонной смеси - при изменении марки бетона.
3.40 Применяемые бетоносмесительные установки непрерывного действия могут иметь различную конструкцию дозаторов и смесительного барабана. Управление бетоносмесительными заводами непрерывного действия должно быть автоматизированным.
3.41 Контроль и регулирование дозаторов и бетоносмесителей, а также уход за ними производятся в соответствии с инструкциями заводов-изготовителей.
3.42 Загрузка бетоносмесителей непрерывного действия должна производиться непрерывно и одновременно всеми отдозированными составляющими бетона. При невыполнении этого требования бетонная смесь должна быть забракована.
Перемешивание бетонной смеси
3.43 Для приготовления бетонной смеси могут применяться бетоносмесителями как периодического, так и непрерывного действия. При выборе типа и емкости бетоносмесителя следует учитывать: интенсивность приготовления, наибольшую крупность заполнителя и жесткость бетонной смеси, принятые проектом.
3.44 Расходные бункеры для цемента и заполнителей должны выполняться с вертикальными стенками и коническим несимметричным днищем, наклон стенок которого образует с горизонтом угол ≥ 55°. Выпускные отверстия должны обеспечивать свободное истечение материалов.
3.45 Загрузка бункера заполнителями должна производиться так, чтобы поток их был направлен вертикально по оси бункера.
Во время работы бетонного завода расходные бункеры следует поддерживать в состоянии, заполненном не менее чем на треть.
3.46 Материалы из дозаторов должны поступать в бетоносмеситель без потерь. Необходимо исключать возможность утечек цемента. Потери цемента должны предотвращаться надлежащим уплотнением стыков, устройством щитков у входных отверстий смесителей и уменьшением высоты падения материала при подаче его в барабан.
3.47 Загрузка бетоносмесителя периодического действия из дозирующих устройств должна производиться в следующем порядке: вначале в смеситель подается вода; после заливки 15-20% воды, требуемой на замес, загружают одновременно цемент, добавки и заполнители, не прерывая подачи воды до требуемой нормы.
3.48 Загрузка смесителя периодического действия в зимнее время должна производиться в следующем порядке:
- подается вода, нагретая до 60-80°С, и щебень (гравий); затем производится перемешивание для интенсификации теплообмена;
- подается цемент и песок.
3.49 Продолжительность перемешивания бетонной смеси, считая с момента окончания загрузки бетоносмесителя до момента начала выпуска бетонной смеси, принимается по инструкции завода-изготовителя. Если она не указана, то ее следует устанавливать экспериментально. Наименьшая продолжительность перемешивания бетонной смеси в смесителях гравитационного типа ориентировочно принимается по табл. Е.3.
Таблица Е.1
|
Емкость барабана бетоносмесителя (по выходу), л |
Наименьшая продолжительность перемешивания бетонной смеси с объемной массой более 2200 кг/м3 |
|
|
при осадке конуса |
||
|
до 6 см |
более 6 см |
|
|
800 |
120 |
90 |
|
1000 |
120 |
90 |
|
1600 |
150 |
120 |
|
2000 |
180 |
150 |
3.50 Продолжительность перемешивания бетонной смеси в бетоносмесителях непрерывного действия определяется их паспортной характеристикой (длиной барабана, углом его наклона, количеством оборотов и др.) и в зависимости от качества получаемой бетонной смеси должна корректироваться по указаниям строительной лаборатории и в соответствии с инструкциями заводов-изготовителей.
3.51 При опорожнении бетоносмесителя должны быть приняты меры против расслоения выгружаемой бетонной смеси. Для этого рекомендуется устанавливать направляющие устройства так, чтобы поток выгружаемой бетонной смеси направлялся вертикально в центр раздаточного бункера, бадьи или других транспортных средств.
3.52 Бетонная смесь по выходе из бетоносмесителя должна иметь температуру, установленную проектом, в зависимости от наружной температуры, вида транспорта, бетонируемой конструкции и местных условий.
3.53 Периодически должна производиться проверка соответствия составов бетонной смеси, выдаваемых бетоносмесителями, заданным составам. Для этой цели не реже одного раза в квартал должны отбираться пробы бетонной смеси, которые подвергаются отмывке и высушиванию для определения зернового состава заполнителей, количества цемента и воды в смеси.
Общие указания
4.1 Транспортирование бетонной смеси должно быть организовано так, чтобы бетонная смесь на месте укладки имела заданную подвижность (жесткость) и связность.
4.2 Необходимая подвижность бетонной смеси при выпуске ее бетонным заводом и предельно допускаемая продолжительность транспортирования смеси должны устанавливаться строительной лабораторией в зависимости от температуры наружного воздуха и смеси и применяемых составов бетона.
Для бетонной смеси без добавок-регуляторов схватывания время транспортирования смеси от момента ее приготовления до момента подачи в блоки сооружения ориентировочно не должно превышать значений, указанных в таблице Е.4.
При применении цементов с удлиненными сроками схватывания или добавок-замедлителей схватывания бетонных смесей, предельная продолжительность транспортирования смесей может быть увеличена в 1,5-3 раза.
Таблица Е.4
|
Температура бетонной смеси °С |
Предельно допустимая продолжительность транспортирования смеси, ч |
|
5-10 |
1,5 |
|
10-15 |
1,25 |
|
15-20 |
0,75 |
|
20-25 |
0,5 |
4.3 При строительстве гидроузлов с массовой перевозкой бетонной смеси на расстояния свыше 15 км выбор добавок, предотвращающих расслоение смеси при транспортировании, и добавок-регуляторов схватывания, а также определение предельно допустимой продолжительности транспортирования смеси должны производиться специализированной научно-исследовательской организацией совместно с лабораторией строительства.
4.4 Способы транспортирования бетонной смеси до блока бетонирования должны быть увязаны с возможностями бетонного хозяйства, характеристиками применяемых бетонных смесей и обеспечивать требуемую интенсивность бетонных работ. Для транспорта смеси должны использоваться, как правило, специализированные средства: при порционном способе - автобетоновозы, автобадьевозы, автосилобусы, автобетоносмесители, железнодорожные платформы для перевозки бадей или оборудованные опрокидными ковшами и другие; при непрерывном способе - ленточные конвейеры и бетононасосы.
4.5 Транспортные средства должны:
- обеспечивать возможность перемещения бетонных смесей с требуемой крупностью зерен заполнителей, требуемой подвижностью и т.д.;
- исключать потери цементного раствора и смеси в пути и при перегрузках;
- обеспечивать минимальные затраты времени от момента приготовления смеси до ее поступления на место укладки;
- обеспечивать возможно меньшие затраты труда на транспорт смеси;
- обладать высокой надежностью.
В необходимых случаях должны быть также приняты меры, чтобы:
- предохранять смесь в пути от воздействия атмосферных осадков, высоких и низких температур воздуха, ветра и солнечной радиации;
- предотвращать быструю потерю подвижности смеси и значительное ухудшение ее однородности.
Автомобильный и железнодорожный виды транспорта
4.6 Полезная емкость транспортного средства (бетоновоза, силобуса, бадьевоза и т.д.) должна быть кратна объему замеса бетоносмесителя завода цикличного действия или бункера-накопителя завода непрерывного действия.
4.7 Загруженные на бетонном заводе транспортные средства рекомендуется снабжать металлическими жетонами или бирками с указанием марки бетона и номера крана, под который она доставляется, а у места приема бетонной смеси вывешивать хорошо видимую табличку с указанием требуемой марки бетона.
4.8 При транспортировании бетонной смеси повышенной пластичности особое внимание следует уделять герметичности транспортного средства, в частности - местам примыкания заднего борта к кузову автосамосвала.
4.9 Разгрузка применяемых транспортных средств должна производиться плавно и быстро (~ 30 с); при этом транспортные средства должны обеспечивать полное их опорожнение от бетонной смеси. Очистка и промывка транспортных средств от налипшей бетонной смеси должна производиться не реже одного раза в смену.
4.10 Не допускается в процессе очистки кузовов автосамосвалов и силобусов, бадей и бункеров подвергать их ударному воздействию ручным инструментом: кувалдами, ломами и т.п. При их разгрузке следует применять вибраторы.
4.11 Промывка кузовов автобетоновозов и бадей всех типов должна производиться на специальных круглогодичных действующих промывочных пунктах.
Ленточные конвейеры
4.12 Для возведения бетонных и железобетонных конструкций рекомендуется применять высокоскоростные автоматизированные конвейерные системы, предназначенные для транспортирования и подачи бетонных смесей, в комплект которых входят бетонораспределительные устройства с дистанционным управлением. Монтаж и эксплуатация этих систем должны вестись в соответствии с инструкциями предприятий-изготовителей.
При бетонировании железобетонных конструкций, насыщенных арматурой и закладными частями, с применением высокопластичных и литых бетонных смесей следует применять только специальные ленточные конвейеры с бетонораспределительными устройствами (манипуляторами).
При бетонировании массивных сооружений однослойными блоками (раздел 8 настоящего приложения) с применением жестких бетонных смесей (укатанных бетонов) ленточные конвейеры могут использоваться для транспортирования смесей от бетонных заводов до расположенных на сооружении передвижных перегрузочных бункеров, от которых непосредственно к местам укладки смесь доставляется внутриблочными автобетоновозами.
При соответствующем обосновании в отдельных случаях для транспортирования малопластичных бетонных смесей допускается использовать конвейеры общего назначения с соблюдением указаний 4.13-4.19 настоящего приложения.
4.13 При применении общестроительных конвейеров скорость движения ленты, как правило, не должна превышать 1 м/с.
Толщина слоя бетонной смеси на ленте должна быть максимально возможной для данной конструкции конвейера.
4.14 Угол наклона конвейеров общего назначения не должен превышать значений, приведенных в таблице Е.5.
Большие углы наклона конвейеров (до 30°) допускаются при применении специальных бетонотранспортных конвейеров.
Таблица Е.5
Осадка конуса, см |
Допустимый угол наклона конвейера, ° |
|
|
при подъеме |
при опускании |
|
|
до 4 |
18 |
12 |
|
4-6 |
15 |
10 |
4.15 Приводные барабаны общестроительных конвейеров должны быть оборудованы скребками, обеспечивающими возврат раствора в состав бетонной смеси. Нижняя (холостая) ветвь ленты конвейера должна быть защищена съемными щитками. Верхняя (рабочая) ветвь ленты должна иметь лотковое очертание. Наклон наружных роликов к горизонту должен быть ≥ 30°С. Прилипший к нижней ветви конвейера раствор должен удаляться гидросмывом.
4.16 Загрузка ленточного конвейера производится через питатели, обеспечивающие равномерное поступление смеси на ленту. При использовании бетоносмесителей непрерывного действия допускается загрузка ленты непосредственно из смесителя.
4.17 В процессе эксплуатации конвейеров строительная лаборатория обязана систематически проверять качество транспортируемой бетонной смеси - с тем, чтобы были приняты необходимые меры по предотвращению расслаивания смеси и потери ее растворной составляющей.
4.18 Все конвейерные секции должны быть снабжены устройствами, обеспечивающими их выключение при внезапной остановке одной из них.
4.19 Все магистральные ленточные конвейеры в целях предохранения их от воздействия низких температур наружного воздуха, атмосферных осадков, ветра и солнечной радиации должны размещаться в отепленных несгораемых галереях. Галереи должны иметь необходимые энергетические коммуникации и средства связи.
Трубопроводный транспорт
4.20 Применение бетононасосов, совмещающих горизонтальное и вертикальное транспортирование бетонной смеси, эффективно при бетонировании густоармированных конструкций и труднодоступных мест: при устройстве туннелей, водоводов, возведении зданий гидроэлектростанций, подпорных стен и других конструкций.
4.21 В качестве крупного заполнителя для бетонной смеси может применяться гравий или щебень. Рекомендуемое соотношение мелкого и крупного заполнителя в общей массе приведено в таблице Е.6.
Таблица Е.6
Вид крупного заполнителя |
Содержание в смеси заполнителей по массе, % |
|
|
песка |
крупного заполнителя |
|
|
Гравий |
35-45 |
65-55 |
|
Щебень |
40-50 |
60-50 |
4.22 Соотношение между максимальным размером зерен крупного заполнителя и внутренним диаметром трубопровода должно быть не менее ≥ 1:3. Трубы диаметром менее 100 мм следует применять только после получения результатов опытного нагнетания смеси, так как при их использовании резко сокращается дальность ее перемещения.
4.23 Для бетононасосов рекомендуются следующие показатели бетонной смеси при нагнетании: водоцементное отношение В/Ц = 0,40-0,65, осадка конуса ОК ≥ 8 см.
Бетонные смеси в обязательном порядке должны приготовляться с добавками поверхностно-активных веществ, а для кавитационно-стойких (износостойких) обделок и облицовок - с добавкой и микросилики. Если к бетонам предъявляются требования морозостойкости (F ≥ 100), обязательно применение комплексных добавок, содержащих воздухововлекающий и пластифицирующий компоненты.
4.24 Подбор состава бетонной смеси должен осуществляться строительной лабораторией. За оптимальный состав принимается тот, который позволяет получить удобоукладываемую смесь, обеспечивающую требуемые свойства бетона.
4.25 Монтаж и эксплуатацию бетононасосов и трубопроводов необходимо производить в соответствии с действующими инструкциями, обращая особое внимание на надежность соединения звеньев трубопроводов.
4.26 Длина трубопроводов и число изгибов - колен в системе бетоновода, в целях сокращения возникающих сопротивлений перемещению бетонной смеси, должны быть минимальными. Следует избегать изгибов бетоновода под прямым углом, заменяя их двумя коленами под тупым углом ~135°с прямой вставкой между ними.
Приведенную длину бетоноводов следует исчислять по данным таблицы Е.7.
Таблица Е.7
Элементы бетоновода |
Эквивалентная длина по горизонтали, м |
|
1 м по вертикали |
8 |
|
Колено 90° |
12 |
|
45° |
7 |
|
30° |
5 |
|
15° |
3 |
4.27 На горизонтальных участках для удобства промывки бетоновод рекомендуется укладывать с уклоном ~5°. Вертикальные или наклонные участки бетоновода следует монтировать не ближе 7 - 8 м от бетононасоса.
4.28 Перед сборкой бетоновода его секции должны быть очищены внутри и снаружи от загрязнения и промыты водой. Внутренняя поверхность бетоновода должна быть непосредственно перед бетонированием увлажнена и смазана путем пропуска порции цементного раствора пластичной консистенции состава 1:2.
4.29 Перерывы в подаче бетонной смеси без спуска ее из системы бетоноводов допускаются не более чем на срок до начала схватывания цемента. Следует при этом каждые 5 мин возобновлять нагнетание бетонной смеси по системе в течение 15-20 с. При больших перерывах, а также по окончании бетонирования бетоноводы должны быть опорожнены и промыты.
4.30 Утечка цементного раствора из стыков бетоновода не допускается. При появлении утечки необходимо немедленно прекратить работу бетононасоса и принять неотложные меры к ее устранению. Отключенные секции бетоновода необходимо сразу же очищать от бетонной смеси.
4.31 Бетононасосы рекомендуется использовать, как правило, в сочетании с автобетоносмесителями, доставляющими бетонные смеси от бетонного завода к бетононасосам.
Число автобетоносмесителей, обслуживающих каждый бетононасос, определяется расчетной интенсивностью бетонирования, параметрами применяемых бетононасосов, автобетоносмесителей, бетонного завода, расстоянием от бетонного завода до бетонируемой конструкции и условиями производства работ.
Общие положения
5.1 Способы подачи бетонной смеси устанавливаются, исходя из особенностей конструкции сооружения, топографии и геологии строительной площадки (створа), а также из предъявляемых требований к бетонной смеси, принимаемой толщины укладываемых слоев и допустимой продолжительности их перекрытия.
Для подачи бетонной смеси могут использоваться:
- автосамосвалы, осуществляющие только подачу бетонной смеси или совмещающие транспортирование смеси и ее подачу;
- краны, установленные на эстакадах;
- краны, установленные на основании сооружения и на самих сооружениях;
- передвижные или стационарные кабельные краны;
- ленточные конвейеры и бетононасосы, осуществляющие только подачу бетонной смеси или совмещающие транспортирование и подачу бетонной смеси;
- временные и эксплуатационные мостовые краны зданий ГЭС.
5.2 До начала производства работ должны быть определены конструкции эстакад, инвентарных мостиков и других вспомогательных устройств для подачи бетонной смеси в блоки сооружений, а также определена допустимость оставления их или их частей в бетоне сооружений.
5.3 Перед подачей бетонной смеси в блоки должна быть проверена готовность к работе всех средств механизации и вспомогательных устройств, а также необходимых коммуникаций.
5.4 Для подачи бетонной смеси применяются два типа бадей: неповоротные (цилиндрические), загружаемые и перемещаемые от мест загрузки в вертикальном положении, и поворотные (опрокидывающиеся), загружаемые из транспортных средств (автосамосвалов) на месте укладки в горизонтальном положении и перемещаемые кранами в блоки бетонирования в вертикальном положении.
5.5 Используя серийно выпускаемое оборудование, нужно стремиться к компоновке наиболее рациональных комплектов «транспорт (1-2 бадьи) - бетоноукладочный кран», у которых производительность и грузоподъемность (емкость) каждого звена хорошо согласуются друг с другом и соответствуют расчетной интенсивности бетонирования.
5.6 Большегрузные бадьи емкостью более 6 м3 следует применять при использовании для разравнивания и уплотнения бетонной смеси специальных механизмов (например бульдозеров, манипуляторов с пакетами вибраторов и др.).
5.7 При бетонировании массивных сооружений блоками большой площади для уменьшения затрат труда на разравнивание бетонной смеси в блоке и исключения излишних ее перемещений разгрузку подаваемых в блок порций бетонной смеси рекомендуется производить так, чтобы расстояние между центрами масс r разгружаемых порций было равно:
,
(Е.1)
где V0 - объем разгружаемых порций бетонной смеси, м3;
h - заданная толщина слоя бетонной смеси в блоке, м.
Вычисленная величина r должна быть округлена в меньшую сторону с точностью до 0,25 м.
При использовании жестких и особо жестких бетонных смесей (укатанных бетонов) разгрузка подаваемых на место укладки порций бетонной смеси должна вестись с «приваливанием» их друг к другу, чтобы уменьшить сегрегацию смесей при разгрузке, а расстояние между ними должно составлять ≤ 0,75r.
5.8 При подаче бетонной смеси кабель-кранами должны использоваться, как правило, цилиндрические бадьи, загружаемые из транспортных средств на специально устраиваемых площадках. Бадьи от кабель-крана при этом не отцепляются. Операции вертикальных и горизонтальных перемещений груза должны совмещаться.
5.9 Бетоноукладочные краны не должны использоваться на вспомогательных операциях по установке в блоках бетонирования опалубки, арматуры, металлоконструкций и пр. Эти операции должны выполняться вспомогательными кранами.
5.10 Во избежание возможного расслоения бетонной смеси при подаче ее в блок в бадьях высота свободного падения смеси должна быть минимальной и не превышать:
- 6 м - для неармированных конструкций;
- 2 м - для армированных конструкций;
- 1 м - при подаче смеси на перекрытия различных помещений, потерн и галерей.
При крупности заполнителя 80 - 120 мм свободное сбрасывание бетонной смеси с высоты 3 - 6 м допустимо только при ее подвижности 2 - 4 см по осадке конуса.
5.11 Подачу бетонной смеси с помощью виброхоботов следует применять лишь в густоармированных блоках, в местах, не доступных для крановой подачи, при глубине опускания бетонной смеси, превышающей 10 м.
При глубине опускания бетонной смеси < 10 м следует применять металлические звеньевые хоботы из элементов длиной 0,6 - 1 м и внутренним диаметром не менее трех размеров наибольшей крупности заполнителя.
При глубине опускания бетонной смеси 10 - 40 м следует использовать, как правило, полиэтиленовые хоботы диаметром 0,4 м.
5.12 Хоботы, как правило, устанавливаются вертикально: оттягивание в сторону допускается не более 0,25 м на 1 м высоты, причем два нижних звена должны обязательно оставаться вертикальными.
После окончания бетонирования блока хоботы должны быть тщательно очищены от налипшей бетонной смеси и промыты вне места бетонирования.
5.13 В отдельных случаях при подаче бетонной смеси на большую глубину, например, в узел ущелья, в туннели, в шахты, в помещения подземных ГЭС и другие элементы подземных сооружений, взамен хоботов могут использоваться трубы с фланцевыми соединениями, внутренний диаметр которых должен превышать наибольший размер крупного заполнителя в 4-5 раз.
Нижние части труб необходимо снабжать устройствами для гашения энергии падения бетонной смеси: гасителями, гасителями с затворами, перегрузочными бункерами и т.п.; при подаче высокопластичных и литых бетонных смесей может быть использован метод, аналогичный методу вертикально перемещаемой трубы (ВПТ), не требующий устройства специальных гасителей (5.23 настоящего приложения).
5.14 Подачу бетонной смеси автосамосвалами с эстакад, инвентарных мостиков и других вспомогательных устройств следует производить в случаях, когда необходимо интенсивно вести работы при возведении сооружений с большими площадями и небольшой высоты.
При возведении бетонных плотин или им подобных массивных сооружений подача бетонной смеси непосредственно к месту укладки автосамосвалами с перемещением их по уложенному бетону может производиться при бетонировании однослойными блоками по методу послойной укладки или при применении укатанных бетонов. В последнем случае для подачи бетонной смеси могут использоваться также скреперы или ковшовые автопогрузчики.
5.15 Для подачи бетонной смеси в блоки бетонирования следует использовать специально приспособленные для этой цели автосамосвалы либо общестроительные автосамосвалы с удельным давлением колес ≤ 0,6 МПа.
Передвижение автосамосвалов по поверхности ранее уложенного вибрированного бетона разрешается только при достижении его прочности при сжатии ≥ 2,5 МПа, а укатанного бетона - без ограничений.
Перегрузку бетонной смеси из транспортных средств в автосамосвалы-бетоноукладчики следует производить непосредственно из кузова в кузов или с применением перегрузочных бункеров и кранов.
Подача бетонной смеси кранами с поверхности оснований сооружений
5.16 Применение гусеничных и башенных кранов как основных бетоноукладчиков для подачи бетонной смеси с поверхности оснований или бетона возводимых сооружений рекомендуется при возведении сооружений высотой до 80 м.
Крановая подача со строительных эстакад
5.17 Применение строительных эстакад допускается лишь при соответствующем технико-экономическом обосновании.
При их применении необходимо:
- избегать последовательного поярусного устройства эстакад;
- предусматривать возможность использования пролетных строений;
- использовать в качестве опор бычки и контрфорсы плотин.
5.18 На строительных эстакадах должны устанавливаться высокопроизводительные бетоноукладочные краны башенного или портально-стрелового типов.
Кабель-крановая подача бетонной смеси
5.19 При возведении плотин в условиях относительно не широких, но глубоких каньонов (при отношении высоты плотины к ее длине по гребню H/L ≥ 1:4) для подачи
бетонной смеси в бетонируемые блоки следует применять высокопроизводительные кабель-краны, которые должны устанавливаться таким образом, чтобы обеспечивать укладку бетона в сооружение в полном объеме без их перемонтажа.
5.20 При использовании кабель-кранов для подачи бетонной смеси в возводимое сооружение должны устраиваться площадки для загрузки бадей; последние, как правило, не должны отцепляться от кабель-кранов в процессе работы.
5.21 С целью увеличения производительности кабель-кранов и улучшения условий труда обслуживающего их персонала (машинистов, операторов, бетонщиков) кабель-краны должны оснащаться телеуправлением и современной телефонной связью.
5.22 При возведении плотин однослойными блоками по методу послойной укладки бетонной смеси или с применением укатанных бетонов целесообразно использовать стационарные кабель-краны с подачей бетонной смеси в передвижные перегрузочные бункеры с последующей развозкой ее к месту укладки автобетоновозами. Такая схема особенно рациональна, если бетонирование ведется под самоподъемным шатром, закрывающим горизонтальную поверхность плотины.
Подача бетонной смеси конвейерами и бетононасосами
5.23 Подача высокопластичных бетонных смесей автоматизированными конвейерными системами и бетононасосами в насыщенные арматурой железобетонные конструкции должна осуществляться, как правило, через бетонолитные трубы с воронками, нижние концы которых погружены в бетонную смесь на 0,3 - 0,5 м - по так называемому «напорному методу» (аналогичному методу ВПТ - вертикально перемещаемой трубы). Бетонолитные трубы следует располагать друг от друга на расстоянии 3 - 4 м в зависимости от радиуса растекания бетонной смеси. Вертикальные перемещения бетонолитных труб производят по мере укладки очередного слоя бетонной смеси.
5.24 При применении специальных бетонотранспортных конвейеров для возведения массивных бетонных сооружений или малоармированных конструкций для подачи бетонной смеси целесообразно использовать бетоноукладочные комплексы либо передвижные перегрузочные бункеры с последующей развозкой смеси непосредственно к месту укладки автобетоновозами, в том числе работающие по схеме: автотранспорт (железнодорожный транспорт) - бункер - механизм конвейерной системы - блок бетонирования.
6.1 Выбор опалубки определяется типом и размером бетонируемых конструкций, требованиями, предъявляемыми к опалубливаемым поверхностям, и способом производства работ. Характеристики основных типов опалубки и область их применения даны в таблице Е.8.
Таблица Е.8
|
Тип опалубки |
Характеристика |
Рекомендуемая область применения |
|
Подъемно-переставная (консольная) |
Деревянная или с металлическими балками и фермами заводского изготовления, с возможностью оставления утепления на поверхности бетона |
Бетонируемые блоки гравитационных, арочных и контрфорсных плотин |
|
Несъемная |
Железобетонные плиты с гидроизоляцией или теплоизоляцией |
Напорные грани сооружений в подводной зоне |
|
Металлические облицовки |
Водоводы, спиральные камеры и др. |
|
|
Бетонные блоки |
Надводная зона сооружений |
|
|
Железобетонные плиты с арматурой для цементации швов |
Межблочные цементируемые швы в плотинах |
|
|
Металлическая сетка |
Межблочные швы армированных сооружений |
|
|
Железобетонные плиты, балки и армобалки |
Наружные поверхности стенок, бычков, опалубка галерей, перекрытий над отсасывающими трубами и др. |
|
|
Пазовые конструкции, металлические или комбинированные с использованием железобетонных плит Деревянная с утеплителем |
Пазы гидромеханического оборудования |
|
|
Блочная (шатровая) |
Опалубочные щиты, прикрепленные к торцам шатров над бетонируемыми блоками |
Массивные сооружения типа плотин |
|
Разборно-переставная крупнощитовая |
Деревянная, металлическая одно- или многоярусная |
Сооружения типа подпорных и раздельных стенок, голов и камер шлюзов, водосливных граней, подводных и надводных частей зданий ГЭС и др. |
|
Скользящая |
Опалубочные щиты, закрепленные на рамах, перемещаемые домкратами |
Конструкции постоянного сечения (стены, резервуары, водоводы, трубопроводы и др.) |
|
Горизонтально перемещаемая (катучая, туннельная) |
Опалубочные щиты, в том числе криволинейного очертания, закрепленные на пространственном каркасе и перемещаемые вдоль возводимого сооружения на тележке |
Туннельные обделки, водоводы, резервуары, подпорные стенки и др. |
|
Съемная |
Несерийная опалубка из досок, фанеры или других материалов, элементы которой определяются особенностями бетонируемых конструкций и условиями производства работ |
Индивидуальные и уникальные монолитные конструкции; доборные опалубочные элементы |
6.2 Выбор типа и конструкции опалубки должен производиться на основании технико-экономических расчетов с учетом особенностей условий строительства и эксплуатации сооружений.
6.3 Независимо от типа и материала опалубки ее обшивка, примыкающая к бетону, должна быть плотной и гладкой; утечки цементного раствора и цементного теста не допускаются.
Использование опалубки, имеющей шероховатую поверхность, допускается только при применении абсорбирующей облицовки.
6.4 Поддерживающие конструкции, крепление опалубки и их прочностные расчеты должны удовлетворять требованиям ГОСТ 23478-79 «Опалубка для возведения монолитных бетонных и железобетонных конструкций. Классификация и общие технические требования». Опалубка должна снабжаться необходимыми приспособлениями, обеспечивающими ускорение распалубливания и сохранность элементов опалубки.
6.5 Материалы, применяемые для бетонных и железобетонных элементов несъемной опалубки для наружных граней сооружений, а также технология их изготовления, должны обеспечивать выполнение требований, предъявляемых проектом сооружения в отношении прочности, водонепроницаемости, морозостойкости, износостойкости.
6.6 Сборка опалубки из готовых деталей должна производиться с применением кондукторов, шаблонов и приспособлений, обеспечивающих точность размеров и форму собираемых конструкции.
6.7 Металлические элементы стальной или деревометаллической опалубки, не соприкасающиеся с укладываемым бетоном, должны быть окрашены.
6.8 При изготовлении фанерной опалубки соединение фанерных листов с элементами деревянного каркаса должно производиться преимущественно путем склеивания их водостойким клеем. При наличии металлического каркаса эти соединения могут осуществляться при помощи болтов с потайными головками.
6.9 Уменьшение размеров поперечного сечения элементов опалубки по сравнению с проектными не должно превышать:
- для сжатых и растянутых элементов - 5% площади поперечного сечения;
- для изгибаемых элементов - 5% ширины сечения.
6.10 Отклонения от проектных размеров при изготовлении элементов опалубки не должны превышать значений, приведенных в ГОСТ 23478-79 «Опалубка для возведения монолитных бетонных и железобетонных конструкций. Классификация и общие технические требования».
6.11 Условия перевозки и складирования элементов опалубки должны гарантировать их сохранность от деформации, коррозии и механических повреждений.
6.12 Установка опалубки должна выполняться с соблюдением следующих требований:
- стропы для монтажа опалубки или захватные приспособления грузоподъемных механизмов должны закрепляться в местах, предусмотренных проектом и отмеченных яркой краской;
- освобождение устанавливаемых элементов опалубки от крюка или захватного приспособления грузоподъемного механизма допускается только после их временного или постоянного закрепления в проектном положении;
- способы закрепления опалубки и несущих ее конструкций должны обеспечивать требуемую точность и неизменяемость формы бетонируемого сооружения;
- крепление несущих элементов, тяжей и расчалок к ранее забетонированным блокам должно производиться с учетом прочности бетона, достигаемой к моменту передачи нагрузки на эти крепления;
- тяжи, стяжки и другие элементы креплений не должны препятствовать бетонированию;
- перед началом бетонирования на опалубку должны быть нанесены отметки верха блока и другие необходимые обозначения.
6.13 Для облегчения распалубки лицевую поверхность опалубки следует покрывать составами, уменьшающими ее сцепление с бетоном, но не ухудшающими его качества (известковое молоко, меловая эмульсия для деревянной опалубки, отработанное машинное масло для металлической).
6.14 При приемке установленной опалубки подлежат проверке:
- правильность ее установки и закрепления, включая все ее элементы, в соответствии с проектом;
- плотность сопряжений как отдельных элементов в щитах опалубки, так и сопряжений между ними и ранее уложенным бетоном.
Проверка правильности установки опалубки должна производиться, как правило, с применением геодезических методов.
6.15 При изготовлении и сборке всех типов опалубки, кроме опалубки водосливных поверхностей, разрешаются следующее допуски:
- уменьшение и увеличение толщины элементов в конструкциях, где это не отражается на монтаже металлических конструкций - не свыше 0,02 проектной толщины, но не более 2 см;
- изменение размеров конструкций и пролетов в частях сооружений, где это отражается на монтаже металлических конструкций - не более 1 см;
- изменение размеров штраб, оставляемых для установки металлических конструкций - не свыше 0,05 проектного размера в сторону увеличения, но не более 2 см;
- отступление от прямолинейности граней сооружения, состоящего из отдельных элементов - не свыше 1/2 толщины шва между отдельными элементами, но не более 1 см;
- изменение проектных величин в элементах, где это отражается на основных габаритах сооружения - не свыше 0,01 проектного размера, но не более 2 см.
6.16 При применении на наружных поверхностях гидротехнических сооружений несъемной опалубки из железобетонных плит со слоем гидроизоляции или теплоизоляции основное внимание должно уделяться сохранности слоев этих покрытий и тщательности герметизации стыков между плитами.
6.17 При применении в качестве опалубки сборных бетонных и железобетонных блоков или железобетонных плит с расчетной или конструктивной арматурой, жестко соединяемых с бетоном сооружения, к ним предъявляются следующие требования:
- поверхность опалубочного блока или плиты, обращенная к укладываемому бетону, должна быть шероховата (или иметь слой втопленного на половину в нее щебня) и очищена от грязи и наледи, а металлические закладные детали - от отслаивающейся ржавчины;
- после придания армоплитам проектного положения и их раскрепления промежутки между ними с наружной стороны закрываются нащельниками, которые после бетонирования снимаются;
- в зимнее время перед началом бетонирования опалубочные бетонные блоки должны отогреваться до положительных температур на глубину ≥ 10 см. Необходимое для этого время и температурный режим устанавливаются строительной лабораторией.
6.18 Для кавитационностойких и износостойких водосбросных поверхностей бетона лицевая поверхность опалубки должна иметь абсорбирующий слой, способствующий упрочнению поверхностного слоя бетона.
6.19 Качество используемой опалубки для поверхностей бетона, подверженных воздействию кавитации, и точность ее установки должны соответствовать требованиям, приведенным в таблице Е.9.
Таблица Е.9
|
Скорость потока воды, V, м/с, не более |
Максимально-допустимые величины выступов и уступов, мм |
|
20 |
5,0 |
|
30 |
3,0 |
|
40 |
1,5 |
|
50 |
1,0 |
Неровности контролируются шаблоном для плоских поверхностей и лекалами для криволинейных поверхностей, при длине шаблона и лекала ~ 1,5 м.
Крепление опалубки при бетонировании сооружений с кавитационностойкими поверхностями должно быть таким, чтобы его элементы (анкера, тяжи) не выходили на лицевую поверхность бетона.
6.20 В процессе бетонирования любого гидротехнического сооружения следует вести постоянное наблюдение за состоянием установленной опалубки.
При обнаруженных деформациях или смещении отдельных элементов опалубки должны немедленно приниматься меры к их устранению и в случае необходимости - временному прекращению бетонирования.
6.21 Распалубливание блоков допускается при достижении бетоном прочности ≥1,5 МПа и условии соблюдения требований теплового режима блока (раздел 9 настоящего приложения).
6.22 Удаление опалубки должно производиться способами, исключающими возможность повреждения распалубливаемых поверхностей бетона, а также самой опалубки.
6.23 Щиты, снимаемые при помощи грузоподъемных механизмов, должны быть предварительно отделены от бетона.
6.24 При повторном использовании опалубка должна быть обязательно очищена от старого бетона, в случае необходимости отремонтирована.
6.25 Для образования штраб на поверхностях цементируемых швов следует применять многооборачиваемую штрабообразующую опалубку, с обшивкой из металла, стеклопластика и подобных им материалов, обеспечивающих создание гладких поверхностей.
6.26 Перестановка опалубочных щитов, в том числе и консольного типа, а также монтаж железобетонной или другой опалубки несъемного типа, как правило, должны производиться вспомогательными кранами или автопогрузчиками.
6.27 Самоподъемные системы опалубки целесообразно применять в тех случаях, когда их оборачиваемость > 20 раз, что обеспечивает их рентабельность. Такие системы дают возможность обходиться на строительной площадке без кранового оборудования.
7.1 Подготовка естественного грунтового основания к бетонированию должна осуществляться в осушенном котловане с соблюдением всех требований проекта производства работ.
7.2 Подготовка скального основания к бетонированию должна включать удаление всех продуктов выветривания, включая рыхлую скалу, отложения аллювия и пр. Требования к основанию должны определяться техническими указаниями на их подготовку с учетом конкретных инженерно-геологических условий.
7.3 При бетонировании блока на основании, имеющем выходы напорных грунтовых вод, следует обеспечивать их каптирование и отвод за пределы блока. В дальнейшем очаги фильтрующей воды необходимо тампонировать растворами или бетонами с использованием быстросхватывающихся цементов или смесями с жидким стеклом или алюминатом натрия.
На водоотводных трубах должны устанавливаться заглушки.
7.4 После окончания перечисленных выше работ должна производиться очистка, промывка и продувка скального основания; при этом вода, оставшаяся в пониженных местах и в углублениях, должна быть удалена.
7.5 Для обеспечения прочного и плотного сцепления ранее уложенного бетона со свежеукладываемым горизонтальные поверхности блоков необходимо подготовить следующим образом:
- поверхностная цементная пленка удаляется способами, указанными в 7.7 настоящего раздела;
- удаляются опалубка штраб, пробки и другие деревянные закладные части;
- наплывы и раковины вырубаются до здорового бетона;
- удаляются пятна мазута, нефти, битума, масла;
- поверхность бетона очищается от сора и пыли, после чего промывается струей воды под напором и продувается сжатым воздухом.
7.6 Для внутренней зоны гравитационных плотин разрешается не удалять цементную пленку с поверхности горизонтальных строительных швов при условии, что наружные зоны со стороны напорной и низовой граней выполняются из плотного долговечного бетона, а при бетонировании внутренней зоны укладывается бетонная смесь с подвижностью менее 5 см. Все остальные операции по подготовке горизонтальных поверхностей, перечисленные в 7.5 настоящего раздела, должны быть выполнены.
7.7 Удаление цементной пленки с горизонтальной поверхности бетона должно производиться без использования пневматических ударных инструментов следующими способами:
- в возрасте бетона 6-12 ч - водяной или водовоздушной струей под давлением 0,3-0,5 МПа;
- в возрасте бетона 8-20 ч - механическими щетками (в труднодоступных местах - ручными щетками);
- в возрасте бетона более 3 сут. - с применением гидропескоструйного аппарата.
Примечание - Указанный выше возраст бетона уточняется в строительной лаборатории в зависимости от температурных условий бетонирования и применяемых составов бетона.
7.8 Обработку горизонтальных поверхностей бетона, как правило, следует производить до установки в блоках опалубки и арматуры.
После установки опалубки и арматуры и их очистки от грязи и отслаивающейся ржавчины бетонное основание блоков следует повторно промыть, продуть сжатым воздухом и полностью удалить воду.
7.9 На вертикальных и наклонных поверхностях строительных швов, подлежащих цементации, после снятия опалубки следует удалять наплывы и зашлифовывать имеющиеся уступы. Обнаруженные раковины, а также зоны пористого бетона следует расчищать до здорового бетона и заделывать цементным раствором с затиркой поверхности. Указанные работы должны быть закончены не менее чем за 3 сут. до бетонирования смежного блока.
7.10 Работы по установке опалубки, арматуры, а также по возобновлению бетонирования после вынужденного перерыва (консервации) могут производиться по приобретении ранее уложенным бетоном прочности ≥ 2,5 МПа. При этом должны быть выполнены все работы, предусмотренные подготовкой блоков перед бетонированием (7.5 и 7.6 настоящего раздела).
7.11 После окончания работ по подготовке блока к бетонированию необходимо провести комиссионное обследование по проверке всех скрытых работ: подготовку основания, гидроизоляционные и цементационные устройства, контрольно-измерительную аппаратуру, систему охлаждения бетона и т.п.; проверяется также правильность установки опалубки, арматуры, закладных частей в соответствии с рабочими чертежами, готовность средств производства работ по укладке бетона в соответствии с техническими указаниями на производство работ и обеспеченность средствами по уходу за бетоном после его укладки, включая и теплозащиту. В состав комиссии должны входить представители технической инспекции (строительной лаборатории), Заказчика и проектной организации. По окончании освидетельствования составляется акт приемки блока к бетонированию.
Общие указания
7.1 Укладка бетонной смеси в блок допускается после выполнения всех необходимых требований по подготовке блока к бетонированию и приемки его комиссией.
7.2 До начала бетонирования блока должны быть определены:
- состав бетонной смеси и показатели ее подвижности (жесткости) у места укладки;
- способы подачи, разравнивания и уплотнения бетонной смеси;
- толщина слоев и направление их укладки;
- предельно допустимые сроки перекрытия слоев бетонной смеси в блоке в соответствии с таблицей Е.10;
- необходимая минимальная и средняя расчетная интенсивность подачи бетонной смеси с проверкой их обеспеченности бетонным заводом и транспортными средствами;
- потребность в механизмах (в том числе резервных) и рабочей силе для подачи, распределения, уплотнения бетонной смеси и выполнения необходимых вспомогательных работ в процессе бетонирования.
|
Температура бетонной смеси в момент укладки, °С |
Подвижность (осадка конуса) бетонной смеси в момент укладки, см |
Предельно допустимое время перекрытия слоев (ч) при уплотнении вышележащего слоя смеси |
|
|
пакетами тяжелых вибраторов |
ручными вибраторами |
||
|
5-10 |
1 - 3 |
4,0 |
3,5 |
|
> 3 |
5,0 |
4,0 |
|
|
10 - 20 |
1 - 3 |
3,0 |
2,0 |
|
> 3 |
3,5 |
2,5 |
|
|
20-25 |
1 - 3 |
2,0 |
1,5 |
|
> 3 |
2,5 |
2,0 |
|
|
Примечание - Приведенные ориентировочные сроки перекрытия слоев включают время доставки смеси к блоку от бетонного завода и рассчитаны на применение цементов с началом схватывания не ранее 1 ч 30 мин и содержанием добавки ЛСТ в количестве 0,2% от массы цемента (Приложение Е.1). При применении других цементов с другими сроками схватывания или других добавок сроки перекрытия должны уточняться строительной лабораторией. |
|||
8.3 Разравнивание и уплотнение бетонной смеси в блоках массивных сооружений следует вести механизированными способами.
При бетонировании неармированных и малоармированных конструкций должны использоваться, как правило, бульдозеры и тракторы с бульдозерным отвалом и пакетами вибраторов или манипуляторы с пакетами вибраторов.
При бетонировании армированных конструкций для разравнивания и уплотнения должны использоваться манипуляторы или иные подъемно-транспортные средства с пакетами вибраторов.
Ручные вибраторы используют, как правило, для немассивных конструкций, в мелких стесненных блоках, когда их площадь не превышает 20 м2, или при низкой интенсивности бетонирования (~ 10 м3/ч).
В густоармированных конструкциях, где уплотнение смеси крайне затруднено, по согласованию с проектной организацией могут использоваться литые бетоны без вибрационного уплотнения или высокопластичные бетонные смеси. Их укладка может вестись, например, бетононасосами с бетонораспределителями с проработкой смеси ручными вибраторами в углах и по наружному контуру конструкции или, при специально подобранных особо жидкотекучих (самоуплотняющихся) смесях - без нее.
8.4 Толщина укладываемых слоев бетонной смеси должна быть указана в технических условиях на производство работ, разрабатываемых в составе проекта, и должна соответствовать техническим характеристикам механизмов, применяемых для разравнивания и уплотнения смеси, при принятой разрезке сооружения на блоки и принятой величине средней расчетной интенсивности подачи смеси в блоки.
При всех принимаемых способах укладки бетонной смеси в блоки в процессе бетонирования должны соблюдаться требуемые предельно допускаемые сроки перекрытия свежеуплотненного слоя новым слоем с обеспеченностью, заданной в технических условиях.
8.5 Укладка бетонной смеси должна вестись одним из следующих способов:
- последовательными горизонтальными слоями с образованием многослойных блоков и перекрытием каждого слоя следующим после завершения разравнивания и уплотнения бетонной смеси на всей площади блока (рисунок Е.1, а);
- по ступенчатой схеме бетонирования с образованием 2-, 3-слойных блоков и перекрытием каждой ступени в установленные сроки (рисунок Е.1, б);
- однослойным бетонированием с укладкой каждого нового слоя на затвердевший бетон (рисунок Е.1, в).

а - схема бетонирования последовательными горизонтальными слоями; б - схема ступенчатого бетонирования; в - схема однослойного бетонирования.
Рисунок Е.1 - Основные схемы укладки бетонной смеси в блоки
8.6 Схема бетонирования последовательными горизонтальными слоями, укладываемыми по всей площади блока, применяется при относительно небольших плановых размерах блоков. Она является основной при бетонировании железобетонных конструкций, а также при уплотнении бетонной смеси ручными вибраторами. При возведении массивных сооружений эта схема может применяться при столбчатой разрезке на блоки бетонирования. Разравнивание и уплотнение бетонной смеси при этом, как правило, выполняются пакетами вибраторов, навешенных на манипуляторы или краны.
Предельно допускаемая наименьшая интенсивность бетонирования Рн при этой схеме должна определяться по зависимости:
, (Е.2)
где L - длина блока, м;
b - ширина блока, м;
h - толщина слоев бетонной смеси в уплотненном состоянии, м;
τ - предельно допустимое время перекрытия слоев, ч (по таблице Е.10).
8.7 Укладка бетонной смеси по ступенчатой схеме применяется для возведения массивных неармированных и малоармированных сооружений длинными блоками, в том числе при секционной разрезке арочных и арочно-гравитационных плотин на блоки бетонирования.
Разравнивание и уплотнение бетонной смеси при этом выполняются совмещенно пакетами вибраторов, навешенных на манипуляторы или краны; ширина уступов при механизированной укладке обычно принимается равной 3-5 м, а число одновременно укладываемых слоев - равным 2-3.
Предельно допустимая наименьшая интенсивность бетонирования Рн при этой схеме должна определяться по зависимости
(Е.3)
где l - ширина ступени, м;
n - число слоев бетонной смеси в блоке.
8.8 Укладка бетонной смеси однослойными блоками применяется, как правило, при возведении массивных неармированных и малоармированных сооружений блоками большой площади, в том числе при секционной разрезке гравитационных и контрфорсных плотин на блоки бетонирования.
Разравнивание и уплотнение бетонной смеси при этом выполняются раздельно: разравнивание смеси ведется бульдозерами, а ее уплотнение - пакетами вибраторов, навешенных на электротракторы или манипуляторы.
При применении укатанного бетона уплотнение бетонной смеси производится виброкатками или пневмошинными катками с удельным давлением ≥ 0,5 МПа.
Предельно допускаемая наименьшая интенсивность бетонирования Рн при этой схеме должна определяться по зависимости
, (Е.4)
где а - минимальная ширина защитно-пригрузочной полосы (для вибрированного бетона 2-4 м, для укатанного бетона 2-3 м);
B - размер стороны блока, вдоль которой ведется укладка бетонной смеси, м;
h - толщина слоя, равная высоте блока, м.
8.9 При всех схемах укладки бетонной смеси средняя расчетная интенсивность ее подачи к бетонируемому блоку Рр должна определяться по зависимости
, (Е.5)
где Рн - предельно-допустимая наименьшая интенсивность бетонирования блока по принятой схеме, определенная по формулам Е.2 - Е.4, м3/ч,
α - коэффициент, зависящий от требуемой обеспеченности непрерывности процес-са бетонирования;
Vn - коэффициент вариации (изменчивости) интенсивности потока бетонной смеси, поступающей к блоку.
Значения α и Vn принимаются по таблице Е.11.
Таблица Е.11
|
Класс сооружений |
Требуемая обеспеченность непрерывности бетонирования блоков, % |
Значение α |
Рекомендуемые значения Vn при числе одновременно бетонируемых блоков |
|
|
≤ 2 |
≥ 3 |
|||
|
I |
97 |
2,0 |
0,15 |
0,20 |
|
II |
95 |
1,64 |
0,20 |
0,25 |
|
III - IV |
90 |
1,28 |
0,25 |
0,30 |
Средняя расчетная интенсивность потока бетонной смеси Рр должна с заданной обеспеченностью гарантировать непрерывность и устойчивость процесса укладки смеси, сводя к минимуму вероятность вынужденной консервации блоков бетонирования.
8.10 Изменение фактической производительности механизмов, занятых на подаче, разравнивании и уплотнении бетонной смеси в зависимости от применяемого способа укладки следует учитывать, вводя поправочный коэффициент Кс к производительности каждого механизма. Значения Кс принимаются по таблице Е.12 в соответствии с условиями бетонирования.
Таблица Е.12
|
Способ укладки бетонной смеси в блоки бетонирования |
Рекомендуемые значения Кс в зависимости от числа марок бетона в блоке |
||
|
при одной марке (классе) |
при двух марках (в соответствии с зональным распределением бетона) |
при трех марках (в соответствии с зональным распределением бетона) |
|
|
Последовательными горизонтальными слоями |
0,90 |
0,70 |
0,50 |
|
По ступенчатой схеме бетонирования |
0,80 |
0,75 |
0,70 |
|
По схеме однослойного бетонирования |
I |
I |
I |
8.11 Толщина укладываемых слоев должна согласовываться с типом уплотняющего оборудования. Технические характеристики вибраторов приведены в приложении Е.2.
8.12 Во избежание оплывания откосов укладываемой смеси и образования трещин при ее сползании уплотнение смеси вибраторами в каждом слое следует производить не ближе 0,5-1,0 м от края откоса слоя.
8.13 При наклонной поверхности основания бетонируемого блока укладку смеси следует начинать во всех случаях с пониженной части блока.
8.14 Положение поверхности укладываемых слоев бетонной смеси и соответствие их принятой толщине следует проверять по заранее нанесенным на опалубке отметкам. При этом следует учитывать, что высота слоя малоподвижной бетонной смеси до разравнивания должна составлять (из-за осадки при уплотнении) 1,05-1,10 высоты уплотненного слоя.
8.15 При укладке бетонной смеси необходимо следить, чтобы выше расположенная опалубка и арматура не загрязнялись бетоном и систематически от него очищались.
8.16 В процессе бетонирования блока поверхность уплотненной бетонной смеси необходимо защищать синтетическими пленками, брезентом или другими материалами от попадания дождевой воды. Размытый бетон должен быть удален.
Допускаются транспортирование и укладка бетонной смеси при интенсивности осадков < 0,08 мм/мин (моросящем дожде); при этом поверхность уложенной бетонной смеси может оставаться открытой ~ не более получаса.
8.17 Бетонная смесь может укладываться непосредственно на подготовленную поверхность ранее уложенного бетонного блока без подстилающего слоя пластичной бетонной смеси или раствора при условии, что смесь уплотняется механизированным способом с применением пакетов мощных глубинных вибраторов (Приложение Е.2), а ее подвижность ≥ 1 см по осадке стандартного конуса.
8.18 Во внутренних зонах массивных сооружении из укатанного бетона подстилающий слой раствора укладывается в тех участках бетонной кладки, где это предписано проектной документацией.
8.19 При применении подстилающих слоев из раствора или мелкозернистой пластичной бетонной смеси их опережающая укладка должна вестись, как правило, специально выделенными для этой цели механизмами. Их производительность и регламент работы должны быть четко увязаны с работой основных бетоноукладочных механизмов и интенсивностью бетонирования.
Примечание - Состав растворов и мелкозернистых бетонов для подстилающих слоев должен указываться в Технических условиях на производство бетонных работ и подбираться строительной лабораторией.
8.20 В железобетонных конструкциях (таблица Е.1) бетонные смеси, укладываемые на скальное (грунтовое) основание или поверхность ранее уложенного бетона, должны иметь подвижность по осадке стандартного конуса ≥ 6 см.
Укладка и уплотнение бетонной смеси с применением ручных вибраторов
8.21 В случае применения ручных вибраторов для уплотнения бетонной смеси при ее укладке на подготовленную бетонную или скальную поверхность бетонная смесь первого слоя должна иметь осадку стандартного конуса на 2-3 см больше указанной в таблице Е.1. Если к бетону предъявляются требования водонепроницаемости, предельная крупность заполнителя должна быть не более 20 - 40 мм.
8.22 Толщина слоя при ручном вибрировании не должна, как правило, превышать 0,5 м; при перекрытии слоев вибратор должен заглубляться в ранее уложенный бетон не менее чем на 5-10 см.
В стесненных местах блоков массивных сооружений, в которых основной объем бетонной смеси уплотняется пакетами вибраторов, допускается укладка и проработка слоев смеси толщиной до 75 см ручными вибраторами. Шаг перестановки вибраторов при этом не должен превышать 0,5 радиуса его действия.
8.23 Шаг перестановки вибраторов и продолжительность вибрирования зависят от толщины слоя, подвижности смеси, крупности заполнителя, вида применяемого цемента и добавок. Поэтому в каждом случае необходимо уточнять радиус действия вибратора. Для предварительных расчетов ориентировочная производительность вибраторов разных типов указана в таблице Е.13.
Таблица Е.13
|
Тип вибраторов |
Производительность отечественных ручных вибраторов, м3/ч, при уплотнении бетонных смесей с характеристиками |
|||
|
Dmax = 40 мм |
Dmax = 40 мм |
|||
|
ОК = 1 - 3см |
ОК = 3 - 5см |
ОК = 1 - 3см |
ОК = 3 - 5см |
|
|
ИВ-102, ИВ-112; ИВ-113 |
4 - 5 |
5 - 7 |
- |
- |
|
ИВ-103, ИВ-108 |
6 - 8 |
8 - 10 |
5 - 7 |
7 - 9 |
|
Примечание - Dmax - предельная крупность зерен заполнителя бетонной смеси. |
||||
8.24 Продолжительность вибрирования должна уточняться строительной лабораторией непосредственно на месте работ по визуальным признакам, основными из которых являются: прекращение осадки смеси и выделения воздушных пузырьков на поверхности бетона вблизи вибратора.
При обнаружении признаков расслоения (отделение цементного молока и т.д.) время вибрирования должно быть сокращено, а состав бетона проверен на расслаиваемость.
8.25 При уплотнении бетонной смеси ручной вибратор следует погружать вертикально или под углом ~20-30° к вертикали в предварительно выровненную смесь и выдерживать в погруженном состоянии в течение 15-30 с. Извлекать вибратор следует со скоростью < 2 - 4 м/мин. Разравнивание бетонной смеси ручным вибратором не должно приводить к ее расслоению.
8.26 При уплотнении смеси у вертикальных стенок вибратор должен располагаться так, чтобы его ось лежала в вертикальной плоскости, параллельной поверхности стенки, к которой примыкает уплотняемая смесь. Расстояние между корпусом вибратора и поверхностью примыкания должно быть в пределах 5-10 см.
8.27 В тех случаях, когда при погружении вибратора в смесь корпус касается скального основания, затвердевшего бетона или закладных частей, работа в контакте с препятствием > 1-2 с не допускается.
Укладка и уплотнение бетонной смеси с помощью бульдозеров и тракторов с пакетами вибраторов
8.28 Разравнивание бетонной смеси с применением бульдозеров или малогабаритных тракторов с бульдозерным отвалом следует производить в тех случаях, когда в бетонируемый блок подается смесь порциями объемом > 4 м3.
8.29 При разравнивании смеси бульдозерами у свободного откоса слоя следует впереди отвала оставлять валик шириной ~ 50 см, который уменьшает возможность скатывания крупного заполнителя по откосу на ранее уложенный бетон.
8.30 Уплотнение бетонной смеси с помощью тракторов с пакетами вибраторов рекомендуется производить методом непрерывного протягивания вибраторов в слое смеси со скоростью ~ 0,75-1,25 м/мин. В тех случаях, когда это невозможно, следует применять пошаговую перестановку вибраторов.
При уплотнении смеси способом протягивания следует применять однорядные пакеты вибраторов.
При протягивании пакета наклонных вибраторов нижняя точка их должна перемещаться на расстоянии 2-5 см от основания слоя.
Толщину прорабатываемого слоя смеси следует принимать в соответствии с данными приложения Е.2.
Укладка и уплотнение жесткой бетонной смеси (укатанного бетона)
8.31 При укладке жестких бетонных смесей с нулевой осадкой конуса (жесткостью 20-30 с) разравнивание смесей производится бульдозерами, производительность которых при работе в блоке бетонирования должна быть увязана с интенсивностью подачи бетонной смеси. В стесненных условиях в блоках ограниченных размеров или содержащих такие конструктивные элементы, как потерны, водоводы и т.п., следует использовать малогабаритные, высокоманевренные бульдозеры.
8.32 Уплотнение жестких бетонных смесей должно производиться, как правило, виброкатками. При соответствующем обосновании, при возведении сооружений III-IV классов допускается уплотнять жесткие бетонные смеси пневмошинными катками.
Основные параметры механизмов, рекомендуемых для уплотнения мало-цементных бетонных смесей укаткой, приведены в приложении Е.2.
После обязательной опытной проверки с отработкой режима уплотнения в увязке с применяемой технологической схемой бетонирования возможно применение и других уплотняющих механизмов.
8.33 Укладка бетонной смеси должна вестись слоями 30-50 см при использовании виброкатков и 25-35 см при использовании пневмошинных катков. Допускаемые отклонения толщины слоя смеси после разравнивания составляют ±5 см. Осадка слоя после уплотнения 2-4 см.
Примечание - При использовании тяжелых виброкатков (типа 7-тонного двух- или четырехвальцового виброкатка BOMAG BW-200) возможна укладка бетонных смесей слоями толщиной до 75 см. В этом случае в бетоноукладочный комплекс должен быть включен пневмошинный каток, завершающий уплотнение слоя 4-6 проходками. Режим работы такого бетоноукладочного комплекса должен быть определен опытным путем применительно к конкретным условиям.
8.34 Уплотнение бетонной смеси должно производиться ~6-8 ходками виброкатка в зависимости от жесткости смеси: расчетная жесткость смеси должна составлять 20-30 с.
Рекомендуемый технологические регламент формирования однослойных блоков из укатанного бетона, (при использовании уплотняющих механизмов, параметры которых отвечают требованиям, указанным в приложении Е.2) приведен в таблице Е.14.
Таблица Е.14 - Рекомендуемый технологический регламент формирования однослойных блоков из укатанного бетона
|
Толщина слоев, м |
Предельно-допустимый интервал примыкания смежных полос укатанного бетона друг к другу, час |
Уплотняющий механизм |
Число проходов по одному следу |
Интервал перекрытия блока, сут. |
|
0,30-0,35 |
2 |
Виброкатки типа BOMAG BW-200 |
6 |
3-4 |
|
0,40-0,50 |
2 |
- |
8 |
4-5 |
|
0,25 |
2 |
Пневмошинные катки типа ДУ-31А |
10 |
2-3 |
|
0,30 |
2 |
- |
12 |
3-4 |
|
Примечания 1 Приведенная величина предельно-допустимого интервала примыкания смежных полос укатанного бетона друг к другу относится к бетонированию при температуре воздуха и бетонной смеси 20 - 25°С; при более низких температурах или введении в бетонную смесь добавок-замедлителей схватывания время примыкания полос смеси друг к другу может быть увеличено до 3-4 часов, а интервал перекрытия сокращен в 1,5-2 раза. 2 В тех случаях, когда температура жесткой бетонной смеси при укладке превышает среднегодовую температуру воздуха для района строительства гидроузла не более, чем на 10°С, интервал перекрытия однослойного блока следующего по высоте может быть сокращен до 1-2 суток; возможность такого сокращения должна быть подтверждена соответствующими расчетами или экспериментальными данными (натурными наблюдениями). 3 Первые два прохода виброкатка должны производиться с выключенным вибровозбудителем. |
||||
8.35 Уплотнение бетонной смеси должно заканчиваться, как правило, не позднее чем через два часа после приготовления бетонной смеси.
Бетонная смесь с жесткостью > 45 с не допускается к укладке и должна быть удалена из блока.
8.36 Размеры карт (захваток) бетонирования должны быть взаимно увязаны с разрезкой сооружения на блоки бетонирования, производительностью механизмов, входящих в бетоноукладочный комплект, интенсивностью бетонирования и толщиной слоев укатанного бетона.
Ширина карт, как правило, должна быть не менее двукратной ширины уплотняющего механизма, а длина - совпадать с одним из размеров блока бетонирования. При уплотнении смежной карты уплотняющий механизм должен перекрывать предыдущую.
8.37 При ограниченной интенсивности подачи бетонной смеси минимальная длина захваток должна быть такой, чтобы смесь была уложена в допустимые сроки и при этом обеспечивалась эффективная работа уплотняющего механизма. Заезд на смежную по длине захватку (часть карты) не должен превышать ~3-4 м.
Укладка и уплотнение смеси с применением манипуляторов и кранов
8.38 При уплотнении смеси подвесными пакетами вибраторов могут использоваться самоходные манипуляторы или краны, предназначенные для обслуживания внутриблочных работ, со скоростью подъема пакетов, не превышающей 4 м/мин.
8.39 На манипуляторы или краны подвешиваются пакеты двух типов:
- осесимметричные,
- одно- и двухрядные,
Количество вибраторов в пакете назначается исходя из заданной интенсивности бетонирования с учетом объема конусов смеси, которые образуют подаваемые в блоки порции бетонной смеси (4-9 м3); масса пакета в сборе не должна превышать 60-65% полной грузоподъемности крана.
8.40 Осесимметричные пакеты следует применять в тех случаях, когда ими ведется и разравнивание, и уплотнение смеси. При интенсивности подачи бетонной смеси в блок более 100 м3/ч рекомендуется предусматривать специальное оборудование для разравнивания смеси с последующим ее уплотнением пакетом вибраторов.
8.41 Разравнивание смеси с применением пакетов вибраторов и уплотнение выровненной смеси осуществляется цикличной перестановкой вибраторов. Уплотнение предварительно выровненной бетонной смеси методом протягивания в ней однорядных пакетов вибраторов возможно при применении манипуляторов, имеющих для подвески пакетов жесткие траверсы и телескопические стрелы.
8.42 Продолжительность цикла уплотнения бетонной смеси обуславливается применяемым вибрационным оборудованием, составом и подвижностью смеси и должна устанавливаться непосредственно в производственных условиях. Необходимое число вибромеханизмов на основе данных об их производительности (с учетом разравнивания и уплотнения бетона) может приниматься ориентировочно по таблице Е.15.
Таблица Е.15
|
Пакеты вибраторов |
Число вибраторов в пакете |
Производительность, м 3 /ч, при толщине слоя, см |
|||
|
50 |
75 |
100 |
150 |
||
|
ИВ-34, ИВ-34А |
4 |
30-40 |
50-60 |
- |
- |
|
В1-612 |
4 |
- |
50-80 |
90-100 |
- |
|
В1-631 |
3 |
- |
- |
80-90 |
110 |
Укладка бетонных смесей в железобетонные конструкции
Укладка бетонной смеси в железобетонные конструкции с уплотнением вибраторами
8.43 Уплотнение бетонной смеси в железобетонных конструкциях, основные типы которых приведены в табл. Е.1, должно по возможности производиться механизированными способами с применением вибрационного оборудования, подвешиваемого к кранам.
8.44 В качестве основного вибрационного оборудования для уплотнения смеси в железобетонных конструкциях рекомендуются: серийно выпускаемые подвесные вибраторы, а также пакеты из серийно выпускаемых подвесных или ручных вибраторов.
8.45 Подвесные вибраторы, объединенные в пакеты, могут применяться при условии, что возможно их введение в арматурную конструкцию. Учитывая сложность попадания вибраторов в ячейки арматурной сетки, количество их в пакете не должно быть более 4, а шаг их соразмерен шагу арматуры.
8.46 Требования к размещению арматуры в зависимости от типа сооружения и способа виброуплотнения приведены в табл. Е.16. Указанные рекомендации следует учитывать при составлении ТУ на производство работ в зависимости от конструкции армокаркасов.
Таблица Е.16
|
Тип армирования |
Рекомендуемый виброуплотнитель |
Требования к размещению арматуры |
|
I-А |
Вибропакет из 4-х тяжелых вибраторов |
Требования к размещению арматуры не предъявляются. Расстояния между вибраторами в пакете согласуются с модулем ячеек арматуры |
|
II-А I-Б |
Однорядный вибропакет из тяжелых вибраторов |
Пространственные армофермы шириной ≤ 1,5 м. Расстояние между армофермами должно быть ≥ 0,5 м. |
|
II-Б |
Однорядный вибропакет из тяжелых вибраторов |
Монтажная арматура (стержни) должна образовывать колодцы для пропуска однорядного вибропакета с шагом по длине стены ≤ 1,5 м. |
8.47 С учетом большого динамического воздействия бетонной смеси на опалубку не следует приближать к ней тяжелые вибраторы кругового действия ближе, чем на 0,5 м.
Укладка бетонных смесей в железобетонные конструкции без вибраторов
8.48 В тех случаях, когда уплотнение бетонной смеси вибраторами затруднено или невозможно, в конструкции, насыщенные арматурой, закладными элементами или отличающиеся сложной конфигурацией, надлежит укладывать высокопластичные и литые бетонные смеси с подвижностью 16-24 см.
Такие смеси должны обладать высокой связностью и жидкотекучестью. Для обеспечения этого их следует приготавливать с комплексными добавками ПАВ, содержащими и воздухововлекающий и пластифицирующий компоненты; величина В/Ц не должна превышать 0,55, а применяемый песок должен иметь модуль крупности в пределах Мк =1,6- 2,6. В тех случаях, когда необходимо получить бетоны с высокой прочностью в раннем возрасте, с высокой водонепроницаемостью, износостойкостью и т.п., в ряде случаев целесообразно использовать также добавки микросилики.
8.49 При малых объемах конструкций (блоков), бетонирование которых может быть закончено до начала схватывания уложенного бетона (в течение не более 2-3 часов), укладка высокопластичных и литых бетонных смесей может вестись непосредственно бетононасосами с распределительной стрелой (манипулятором) или конвейерными бетоноукладочными комплексами.
8.50 При значительных объемах конструкций (блоков) для безвибрационной укладки высокопластичных и литых бетонных смесей должен использоваться «напорный» метод бетонирования с практически непрерывной подачей смеси через бетонолитные трубы с воронками (5.23 настоящего приложения) или «гравитационный» метод с подачей смеси через трубы с фланцевыми соединениями (5.13 настоящего приложения).
Загрузка смесей в приемные воронки бетонолитных труб может осуществляться бетононасосами, конвейерными системами или из бадей, транспортируемых кранами.
8.51 Применяемый для конкретного строительства метод безвибрационной укладки бетонной смеси в железобетонные конструкции должен быть в обязательном порядке предварительно опробован на опытных фрагментах конструкций-аналогов, специально выделенных для этой цели.
Перед переходом к бетонированию конструкций гидротехнических сооружений в составы смесей, в способы и регламент выполнения технологических операций должны быть внесены необходимые коррективы.
Особые случаи укладки и уплотнения бетонной смеси
8.52 В отдельных случаях в неармированные массивные сооружения III-IV класса допускается втапливание (втрамбовывание) крупных камней - т.н. «изюма». В качестве «изюма» могут быть использованы обломки скалы, валуны, бутовые камни размерами 150-400 мм, удовлетворяющие требованиям по чистоте, прочности и плотности к крупному заполнителю для бетона гидротехнических сооружений, установленных ГОСТ 26633-91 «Бетоны тяжелые и мелкозернистые. Технические условия».
Распределение «изюма» в бетонируемом блоке производится с помощью крана и вручную. Общее количество «изюма» в бетонируемых блоках не должно превышать 15 - 20%.
8.53 Укладка бетонной смеси с применением вакуумирования должна выполняться в соответствии с инструкциями предприятий-изготовителей вакуумного оборудования, при этом следует предусматривать использование переносных вакуум-щитов, укладываемых на открытой горизонтальной поверхности бетона, или вакуум-опалубки.
8.54 Особенно большое внимание должно уделяться уплотнению износостойкого бетона. Степень уплотнения его должна быть ≥ 0,98. Для окончательной отделки износостойкого бетона рекомендуется применение виброреек, обеспечивающих заглаживание поверхности бетона.
8.55 Уплотнение бетона, укладываемого в плиты крепления откосов, может производиться скользящими виброштампами по Техническим условиям, разработанным применительно к местным условиям строительной организацией и согласованным с проектной организацией. Допускается уплотнение смеси виброрейками.
8.56 При бетонировании откосов для разравнивания бетонных смесей допускается применение бульдозеров. Разравнивание смеси производится снизу вверх. Применение бульдозеров разрешается на откосах не круче 1:2,5 при толщине плит ≥ 20 см.
9.1 При производстве бетонных работ обязателен комплекс мер по уходу за уложенным бетоном, обеспечивающий:
- создание и поддержание температурно-влажностного режима, необходимого для приобретения бетоном требуемых проектом прочности и долговечности в установленные сроки, а также предотвращающего значительные температурно-усадочные деформации и образование опасных трещин;
- предохранение бетона в начальный период его твердения от ударов, сотрясений и повреждений в ходе строительно-монтажных работ.
9.2 Мероприятия по уходу за бетоном, порядок и сроки их проведения, последовательность и сроки распалубки конструкций должны устанавливаться в Технических условиях на производство работ для конкретного гидроузла.
Для массивных гидротехнических сооружений необходимые мероприятия по уходу за бетоном должны определяться проектом с учетом требований по регулированию температурного режима массивных сооружений, приведенных в разделе 10 настоящего приложения.
9.3 Влажностный уход за свежеуложенным бетоном в летнее время заключается в поддержании открытых бетонных поверхностей в постоянно влажном состоянии путем распыления над ними воды, создания на них тонкой водяной пленки, заливки их водой или укрытия влагоемким материалом (песком, опилками и т.п.), систематически увлажняемым в процессе твердения бетона.
9.4 Сроки и способы влажностного ухода за бетоном в летнее время должны устанавливаться проектом в зависимости от местных климатических условий, применяемых цементов, составов и назначения бетона, добавок поверхностно-активных веществ, добавок, регулирующих сроки схватывания цементов и бетонных смесей, технологии бетонных работ.
Как правило, уход за свежеуложенным бетоном гидротехнических конструкций следует начинать сразу же по достижении бетоном прочности 0,2-0,5 МПа и продолжать не менее 14 сут. либо до перекрытия блока блоком.
Влажностный уход за кавитационностойким, износостойким бетоном и бетоном, к которому предъявляются требования высокой морозостойкости (F200 и выше), должен продолжаться не менее 28 сут.
9.5 При бетонировании в жаркую и сухую погоду (при температурах воздуха > 25°С и относительной влажности < 50%) открытая поверхность свежеуложенной бетонной смеси сразу же после ее укладки и уплотнения в незащищенных шатром массивных блоках и конструкциях типа плит должна укрываться паронепроницаемой (полиэтиленовой) светлой пленкой толщиной 0,15-0,20 мм и находится под нею в течение 6-8 ч, после чего может быть начат систематический влажностный уход за бетоном (9.3 настоящего раздела).
В жаркую и сухую погоду на период ухода за бетоном должна также постоянно находиться во влажном состоянии неснятая деревянная опалубка.
9.6 В отдельных случаях, при специальном обосновании в проекте уход за бетоном может осуществляться посредством покрытия наружных поверхностей сооружений или конструкций специальными пленкообразующими составами. Пленкообразующие эмульсии следует наносить через 2-3 ч после укладки бетона с помощью краскопультов или пневматических пистолетов-разбрызгивателей. При этом в районах с жарким и сухим климатом следует применять пленкообразующие составы светлых тонов, отражающие солнечные лучи.
9.7 При бетонировании в условиях среднесуточной температуры наружного воздуха ~ 5°С и возможных заморозков (осеннее-весеннее время года) влажностный уход за бетоном следует заменять укрытием паро- или гидроизоляционными материалами (полиэтиленовая пленка, пергамин и т.п.); при необходимости добавляется теплоизоляция.
9.8 В зимнее время уход за бетоном осуществляется в соответствии с указаниями раздела 11 настоящего приложения.
9.9 С целью предохранения свежеуложенного бетона от повреждений необходимо соблюдать следующие условия:
- работы на поверхности уложенного блока по уходу и по удалению цементной пленки до набора бетоном прочности при сжатии 1,5 МПа должны выполняться с применением дощатых настилов;
- механизированное удаление цементной пленки следует начинать только после набора бетоном прочности при сжатии не менее 1,5 МПа;
- установку и перестановку опалубки производить, как правило, после достижения бетоном прочности при сжатии 2,5 МПа;
- перемещение по поверхности свежеуложенного вибрированного бетона транспортных средств (бетоновозов и т.п.) и механического оборудования допускается только после набора бетоном прочности при сжатии ≥ 2,5 МПа; по поверхности укатанного бетона допускается перемещение колесных транспортных средств без ограничений во времени, но без резких торможений и разворотов; оборудования на гусеничном ходу - после набора бетоном прочности ≥ 2,5 МПа, до этого - по настилу.
- при производстве вблизи забетонированных конструкций взрывных работ график буровзрывных работ должен быть согласован с проектной организацией строительства.
9.10 Сроки распалубки блоков устанавливаются в проекте в зависимости от требований к их температурному режиму и условий их загружения.
9.11 Закрепление конструкции опалубки в свежеуложенный бетон с применением тяжей и анкеров должно производиться, как правило, при прочности бетона при сжатии ≥ 2,5 МПа.
9.12 В случае обнаружения дефектов бетона (раковин, каверн, трещин) причины их появления (неправильно подобранный состав бетонной смеси, нарушения правил ее приготовления, недостаточное уплотнение бетонной смеси, неправильный уход за бетоном и т.д.) должны выясняться и устраняться.
9.13 Обнаруженные в уложенном бетоне дефекты должны исправляться в соответствии с требованиями проекта или указаниями строительной лаборатории (технической инспекции).
9.14 Поверхностные раковины должны обязательно расчищаться до бетона, по характеристикам отвечающего техническим условиям. Расчищенные раковины на лицевых поверхностях блока должны быть заполнены либо бетонной смесью той же марки, что и в конструкции, но с крупностью заполнителя < 20 мм, либо заделаны методами торкретирования или набрызг-бетона в соответствии с требованиями проектной организации.
9.15 Бетон, к которому проектом сооружения предъявляются требования водонепроницаемости, при удельном водопоглощении > 0,01 л/мин должен быть подвергнут цементации до поднятия напора воды.
10.1 В проектных требованиях к производству бетонных работ при возведении массивных бетонных и железобетонных гидротехнических сооружений должен быть предусмотрен комплекс конструктивных решений и технологических средств и приемов для регулирования температурного состояния бетонной кладки с целью создания благоприятных условий твердения, предотвращения опасного трещинообразования в периоды строительства и эксплуатации, а также температурной подготовки сооружения к омоноличиванию швов, если такое омоноличивание необходимо по условиям статической работы сооружения.
10.2 Требования к температурному режиму сооружений I - II классов устанавливаются на основе расчетов температурных полей и термонапряженного состояния бетонной кладки. Необходимые для расчетов данные по физико-механическим и теплофизическим характеристикам бетонов (тепловыделение, коэффициенты теплопроводности и температуропроводности, удельная объемная теплоемкость, коэффициент линейного расширения, модуль упругости, коэффициент Пуассона, характеристики ползучести, прочность при растяжении или предельная растяжимость) принимаются, как правило, по результатам экспериментальных исследований, выполняемых научно-исследовательскими организациями на образцах бетонов, приготовленных из материалов, намеченных к использованию на данном конкретном строительстве.
На стадии технического проекта допускается пользоваться аналогами с последующей корректировкой расчетных данных в соответствии с фактическими свойствами применяемых бетонов.
Для сооружений III класса в расчетах могут использоваться нормативные характеристики бетонов, приведенные в приложении Г.
10.3 Создание предусмотренных проектом температурного режима и термонапряженного состояния бетонной кладки достигается с помощью комплекса конструктивных решений и технологических средств, осуществляемых при возведении сооружения.
К конструктивным решениям относятся:
- выбор типа сооружения или конструкции с учетом требований к их трещиностойкости и возможности их выполнения в зависимости от климатических и других местных условий;
- разрезка сооружения температурно-деформационными, конструктивными и временными строительными швами;
- рациональное размещение и конструктивное оформление необходимых отверстий и полостей в сооружении;
- армирование бетона.
К технологическим средствам относятся:
- регулирование тепловыделения бетона;
- подогрев и охлаждение бетонной смеси;
- регулирование температуры уложенного бетона;
- защита поверхностей бетона от интенсивного охлаждения и нагрева (устройство шатров над бетонируемыми блоками, применение утепленной опалубки, укрытие горизонтальных поверхностей синтетическими пленками и т.д.);
- варьирование высоты блоков бетонирования и интервалов их перекрытия;
- соблюдение требований по влажностному уходу за уложенным бетоном;
- повышение прочности бетона на растяжение, его однородности и снижение модуля деформации бетона.
10.4 Размеры блоков в плане определяются на основе технико-экономического сопоставления вариантов, в которых конструкция сооружения, схема производства работ, разрезка на блоки бетонирования, интенсивность бетонных работ и комплекс средств регулирования температурного режима и термонапряженного состояния бетонной кладки должны быть взаимно увязаны.
10.5 Высота блоков и интервал их перекрытия назначаются в зависимости от зоны укладки, сезона и времени бетонирования, температурного состояния нижележащих блоков, состава мероприятий температурного регулирования. Высота блоков должна быть кратной толщине слоев бетонирования.
10.6 К бетонной кладке массивных бетонных или армированных гидротехнических сооружений при их возведении предъявляются следующие требования по температурному режиму, которые в каждом конкретном случае уточняются расчетом.
10.6.1 В контактной зоне, высота которой от основания составляет до 20% наибольшего размера блока в плане, разность между максимальной температурой блока после его остывания и температурой в той же точке до эксплуатационных условий должна быть ≤ 15°С - при бетонировании длинными блоками, и ≤ 20°С - при бетонировании столбчатыми блоками.
В контактной зоне переохлаждение бетона ниже расчетных минимальных температур не допускается.
Разность температур между ядром и боковыми поверхностями массива должна составлять ≤ 15-18°С.
Примечания
1 При расчетах термонапряженного состояния блок считается столбчатым, если его плановые размеры соизмеримы, и длинным, если его плановые размеры таковы, что один размер в 2 раза и более превышает другой, а высота блока ≤ 2,0 м.
2 Под основанием подразумевается скала либо ранее уложенный бетонный массив, перекрытие которого смежным по высоте блоком производится после 15 сут.
10.6.2 В свободной зоне, удаленной от основания на высоту более 0,5 наибольшего размера блока в плане, разность температур между ядром и боковыми поверхностями массива должна составлять ≤ 25°С.
10.6.3 В переходной зоне, расположенной от основания на высоте 0,2-0,5 наибольшего размера блока в плане, должен осуществляться плавный переход от допустимых температур и разностей температур в контактной зоне к допустимым температурам и разностям температур в свободной зоне.
10.6.4 Во всех зонах разность температур между ядром и горизонтальной поверхностью блока не должна превышать 14-16°С. При этом для длинных блоков эта разность должна быть ≤ 14°С, а для столбчатых - ≤ 16°С.
10.6.5 Во всех зонах допустимая разность отметок между смежными секциями плотины должна быть определена в проекте, а разность высот смежных (соседних) столбов в одной секции при столбчатой разрезке и цементируемых швах не должна, как правило, превышать 6 м.
10.6.6 В тех случаях, когда разность высот > 6 м (создание штрабленого пускового профиля плотины и т.п.), наращивание отстающих столбов должно производиться с регулированием перепада температур между отстающими и опережающими столбами с помощью трубного охлаждения и ограничения темпа их роста в высоту. Величина допустимого температурного перепада устанавливается в каждом конкретном случае в зависимости от плановых размеров столбов, высот блоков, формы штрабных зацеплений и т.д.
10.7 Цементация строительных швов при столбчатой разрезке сооружения на блоки бетонирования производится при расчетных температурах омоноличивания в соответствующих зонах сооружения.
10.8 Регулирование тепловыделения бетонной кладки следует осуществлять как путем уменьшения общего количества тепла экзотермии, выделяющегося при твердении бетона, так и изменением кинетики тепловыделения. Это может достигаться за счет использования специальных цементов (цементы с умеренной и низкой экзотермией), снижения расхода цемента в бетоне, применения пластифицирующих и воздухововлекающих добавок, золы уноса, микросилики, добавок, замедляющих или ускоряющих твердение бетона и т.п.
10.9 Регулирование температуры бетонной смеси заключается в ее охлаждении в летнее время и подогреве в зимнее время. Снижение температуры бетонной смеси в летнее время может осуществляться за счет:
- охлаждения воды затворения;
- замены части воды затворения искусственным (чешуйчатым) льдом;
- охлаждения крупного заполнителя;
- применения цементов с температурой ≤ 40°С.
Примечания
1 Выбор того или иного мероприятия или их сочетания при охлаждении бетонной смеси должен производиться на основе технико-экономических расчетов с учетом возможного использования установок охлаждения и для подогрева в зимнее время года; для крупного заполнителя целесообразно использовать обратимые установки воздушного охлаждения-подогрева.
2 Лед, получаемый на льдогенераторных установках и вводимый в бетонную смесь, должен полностью растаять в процессе ее перемешивания.
10.10 Искусственное охлаждение уложенного бетона может осуществляться двумя способами: поверхностным и внутренним (трубным).
Поверхностное охлаждение
10.11 Поверхностное охлаждение уложенных блоков достигается посредством их полива водой или увлажнения.
Как средство регулирования температурного режима поверхностное охлаждение эффективно для блоков высотой до 1,0 м. Для блоков высотой более 1,0 м эффективность поверхностного охлаждения должна устанавливаться в каждом конкретном случае расчетом или проведением опытных работ.
10.12 При поверхностном охлаждении должно обеспечиваться равномерное распределение воды на поверхности бетона с разницей температур ≤ 3-4°С. Сухие места (пятна на поверхности бетона) не допускаются.
Применение полива или увлажнения зависит от требований по ограничению максимальной температуры бетона, сезона года и климатических условий. Обычно в наиболее жаркие месяцы используется полив, а в остальное теплое время года - увлажнение.
Примечание - При возведении сооружений из укатанного бетона блоками высотой 0,25-0,50 м, как правило, применяется только систематическое увлажнение.
10.13 Полив может осуществляться выпуском воды при малом напоре из специальных перфорированных или оснащенных струйными (спринклерными) и дождевальными насадками труб.
Ориентировочный расход воды составляет:
- в условиях затенения шатром - 5-10 л/с на 1000 м2 поверхности блока;
- на незатененных участках -15-20 л/с на 1000 м2 поверхности блока.
Для организации стока воды с горизонтальных поверхностей им целесообразно придавать небольшой уклон (~ 0,3%) в любом направлении, приемлемом для производства работ. Вода должна отводиться в специальные коллекторы через вертикальные сливные трубы.
10.14 Полив бетона следует начинать через 8-12 ч или непосредственно после снятия цементной пленки и осуществлять непрерывно с прекращением за 10-12 ч до укладки смежного по высоте блока или по достижении требуемой температуры в блоке. После этого поверхность бетона должна поддерживаться во влажном состоянии вплоть до момента укладки бетона в следующий по высоте блок.
10.15 При использовании увлажнения как способа регулирования температуры бетона его поверхность должна быть возможно более полно насыщена водой, и это состояние поверхности должно поддерживаться систематически до перекрытия блока смежным по высоте.
10.16 Увлажнение может осуществляться посредством периодического полива поверхности бетона водой из шлангов с водораспыляющими насадками или другими техническими средствами, не допускающими размыва поверхности бетона.
Ориентировочный расход воды составляет 0,02-0,05 л/с на 1000 м2 поверхности блока в условиях затенения шатром и 0,1-0,3 л/с на незатененных участках.
10.17 Вода для поверхностного и трубного охлаждения должна удовлетворять ГОСТ 23732-79 «Вода для бетонов и растворов. Технические условия».
Трубное охлаждение
10.18 Трубное охлаждение осуществляется посредством пропуска хладоносителя - охлажденной или речной воды (в отдельных случаях - солевого раствора) - через систему заложенных в бетон труб.
10.19 Трубное охлаждение рекомендуется проводить в два этапа.
- I этап: охлаждение в период интенсивного экзотермического разогрева бетона с целью снижения максимальной температуры в блоке;
- II этап: охлаждение до температур омоноличивания при малом, затухающем тепловыделении бетона.
I и II этапы могут следовать друг за другом с перерывом или без перерыва; длительность перерыва определяется целесообразным режимом охлаждения массива и календарным планом производства цементационных работ.
В отдельных случаях, например, при малой высоте блоков и поверхностном охлаждении, трубное охлаждение на I этапе может не производиться, что должно быть обосновано расчетами.
10.20 Охлаждение на I этапе начинается непосредственно при укладке бетонной смеси и заканчивается через 10-20 дней при такой температуре бетона, при которой последующий разогрев не превышает допустимой величины, устанавливаемой расчетом. Разность температур между бетоном и охлаждающей водой на I этапе допускается не более 30°С.
Допустимый темп охлаждения бетона составляет не более 1 °С/сут. в течение первых 8-10 сут. и 0,5 °С/сут. при дальнейшем охлаждении бетона.
10.21 Охлаждение на II этапе осуществляется в течение длительного времени, продолжительность которого устанавливается расчетом или натурными наблюдениями.
На II этапе охлаждения должны соблюдаться следующие ограничения:
- разность между температурой бетона и средней температурой охлаждающей воды (с учетом нагрева ее в змеевиках) не должна превышать 20 °С, если бетон охлаждался на I этапе;
- темп охлаждения бетона в контактной зоне не должен превышать 0,5 °С/сут, в свободной зоне темп охлаждения может быть повышен до 1 °С/сут.
10.22 Для соблюдения требований 10.20 и 10.21 настоящего раздела допускается использовать воду с разной рабочей температурой, а также применять прерывистый режим трубного охлаждения с периодическим включением и отключением подачи воды.
В ряде случаев оказывается необходимым организовать на строительстве специальное холодильное хозяйство для получения воды с требуемой температурой в нужное время года.
10.23 Горизонтальный и вертикальный шаг труб следует, как правило, назначать в пределах 1,0 - 3,0 м; в каждом конкретном случае шаг труб должен определяться в результате соответствующих расчетов температурного режима и технико-экономического обоснования.
10.24 Скорость движения воды в трубах следует назначать в пределах 0,5 - 0,9 м/с. Для равномерного охлаждения бетона рекомендуется периодически изменять направление движения воды в трубах либо подключать змеевики таким образом, чтобы обеспечить циркуляцию воды в смежных по высоте змеевиках в противоположных направлениях.
10.25 Трубы-змеевики могут укладываться на основание бетонируемого блока либо в процессе его бетонирования на поверхности укладываемых слоев. Длина змеевика не должна превышать 350 м при оптимальной длине 170-230 м.
10.26 К трубам-змеевикам, закладываемым в бетон, охлаждающая вода должна подводиться по трубам-стоякам, подключенным к распределительным гребенкам, которые, в свою очередь, присоединяются к прямому и обратному коллекторам с установкой вентилей. Проверка труб-змеевиков под давлением, равным тому, которое они должны выдерживать в процессе работы, обязательна.
10.27 Змеевики изготовляются, как правило, из стальных газопроводных труб диаметром 3/4-1'' , с толщиной стенок 1,0 - 3,5 мм. Трубы соединяются резьбовыми муфтами, сваркой или специальными уплотнительными муфтами.
Примечание - При соответствующем технико-экономическом обосновании возможно использование труб из других материалов, например из алюминия, полиэтилена и др.
10.28 Рациональный режим работы системы трубного охлаждения (непрерывная или периодическая подача воды, количество и уровень рабочих температур воды, горизонтальный и вертикальный шаг труб и т.д.) в каждом конкретном случае должен определяться в результате соответствующих расчетов температурного режима и термонапряженного состояния и технико-экономического обоснования.
10.29 Для защиты поверхностей бетонной кладки от воздействия солнечной радиации рекомендуется использовать ограждающие конструкции из легких непроницаемых для инфракрасного излучения материалов (брезент, ткани, непроницаемая пленка и т.д.). Ограждение должно быть удалено от поверхности бетона на 2-6 м для предотвращения конвективной передачи тепла от ограждения к бетонной поверхности.
Эффективным средством защиты бетонных поверхностей от воздействия солнечной радиации, особенно при бетонировании блоками с большими плановыми размерами, является устройство над бетонируемой поверхностью шатров.
Общие указания
11.1 Особые требования к производству бетонных работ при отрицательной температуре наружного воздуха или основания предъявляются при наличии одного из следующих условий:
- среднесуточная температура наружного воздуха составляет < 0°С;
- минимальная суточная температура наружного воздуха ≤ -5°С;
- температура основания, подготавливаемого для укладки на него бетона, < 0°С.
11.2 Производство зимних бетонных работ должно вестись так, чтобы при строгом соблюдении заданных проектом требований по сохранению монолитности сооружения обеспечивать получение в заданные сроки бетона с предусмотренной проектом прочностью, водонепроницаемостью и морозостойкостью.
Для выполнения этого необходимо:
- сохранение положительных температур как бетонной смеси в процессе укладки, так и уложенного бетона;
- обеспечение надлежащего температурного режима в процессе твердения бетона;
- ограничение температурного перепада между ядром и поверхностью блока при выдерживании бетона в опалубке и между ядром блока и наружным воздухом при его распалубке;
- выполнение требований разделов 3, 10 и 11 настоящего приложения.
11.3 Температурный режим твердения бетона должен обеспечить до замораживания не менее 40% его марочной прочности для классов бетона В15 и выше (марок 200 и выше) и не менее 50% прочности для более низких классов (марок), если в проекте не предусматривается иных требований. Прочность к моменту возможного замораживания гидротехнического бетона всех классов и марок должна быть указана в проектной документации.
11.4 Укладку бетонной смеси в зимнее время следует производить либо в открытых блоках - методом «термоса», либо под защитой шатров или в тепляках.
11.5 Бетонирование в открытых блоках методом «термоса», при защищенности блоков от ветра, производится:
- для массивных блоков с модулем опалубливаемой поверхности Мп ≤ 1 - при температуре ≤ -15°С;
- для блоков с Мп = 1 - 3 при температуре ≤ -10°С - с дополнительным утеплением углов и ребер блоков или периферийным их электропрогревом;
- для немассивных конструкций с Мп > 3 при температуре < -10°С - методом активного «термоса», с предварительным электроразогревом бетонной смеси непосредственно перед ее укладкой или с электропрогревом уложенного бетона.
При обосновании теплотехническими расчетами допускается укладка бетонной смеси при температуре ≤ -20°С в следующих случаях:
- для массивных блоков с Мп < 1 - c проведением дополнительных мероприятий (снижение времени перекрытия слоев до 2,5 ч и менее, укрытие слоя свежеуложенного бетона по мере его готовности полиэтиленовой пленкой, крафтбумагой и т.п.);
Примечание - При укладке укатанного бетона при этих условиях время перекрытия слоев может составлять 2 суток.
- для блоков с Мп = 1-3 - при выполнении тех же условий и с обязательным введением воздухововлекающих добавок и дополнительным утеплением углов и ребер блока или периферийным электропрогревом выступающих частей блока.
Во всех случаях по окончании бетонирования требуется теплоизолирующее укрытие горизонтальной поверхности уложенного бетона и защита его от потерь влаги.
11.6 При температуре < -10°С (кроме случаев, указанных в 11.5 настоящего раздела) укладка бетонной смеси в блоки осуществляется, как правило, под защитой шатров или тепляков с поддержанием под ними температуры воздуха ≥ 5°С:
- для блоков с Мп < 3 рекомендуется шатер без дополнительного периферийного электропрогрева;
- для блоков с Мп = 3-5 рекомендуется шатер с дополнительным периферийным электропрогревом;
- для блоков с Мп > 5, если нельзя создать требуемый температурный режим при выдерживании бетона в шатрах с дополнительным электропрогревом, рекомендуется тепляк.
Шатры
Шатры представляют собой временные инвентарные конструкции, с тканным (пленочным) покрытием, несовмещенным с опалубкой. Используются для защиты горизонтальных поверхностей блоков на период бетонирования и выдерживания бетона и должны:
- быть прочными и легко монтируемыми;
- обеспечивать в подшатровом пространстве положительную температуру, обусловленную теплотехническими расчетами (≥ +5°С);
- иметь все предусмотренные проектом энергетические коммуникации и устройства (электроэнергия, пар, сжатый воздух, вода, отопление, увлажнение воздуха и т.п.);
- позволять производить подачу бетонной смеси в бетонируемые блоки, а также при необходимости - подачу арматуры, опалубки и других грузов.
Тепляки
Тепляк представляет собой временное устройство с утепленными стенами (утепленной опалубкой и т.п.) и утепленным перекрытием, под защитой которого в зимнее время может производиться бетонирование конструкции или части сооружения с Мп > 5 с соблюдением заданного проектом температурного режима.
11.7 Перед переходом на зимний режим работы необходимо:
- заблаговременно составить проект производства бетонных работ на зимний период с обосновывающими его расчетами теплового баланса бетонируемых блоков и подсчетами потребности в энергии, паре, топливе, теплоизоляционных материалах и др.;
- обеспечить готовность котельных, паропроводов, калориферов, устройств для подогрева материалов, утепления и отопления бетонных заводов, средств утепления блоков, помещений для обогрева рабочих.
11.8 При производстве бетонных работ в зимнее время должны особо тщательно соблюдаться Правила пожарной безопасности при производстве строительно-монтажных работ и нормативные требования к технике безопасности.
Приготовление и транспортирование бетонной смеси
11.9 Как правило, в зимнее время следует приготовлять бетонную смесь заданных марок тех же составов, что и в летнее время, с применением поверхностно-активных добавок, дозировка которых уточняется лабораторией строительства. Для приготовления бетона следует использовать цемент, активность которого соответствует марочной.
11.10 Температура бетонной смеси при выпуске ее с бетонного завода должна устанавливаться с учетом потерь тепла ею при транспортировке и укладке в зависимости от условий строительства. Ориентировочные минимальные значения температур бетонной смеси при выпуске ее с бетонного завода в зависимости от температур наружного воздуха рекомендуется назначать в соответствии с таблицей Е.17 (для укладки в открытых массивных блоках).
Таблица Е.17
|
Температура, °С |
|
|
наружного воздуха |
бетонной смеси при выпуске с бетонного завода |
|
0 |
6 - 7 |
|
-5 |
6 - 8 |
|
-10 |
7 - 9 |
|
-15 |
8 - 10 |
|
-20 |
9 - 11 |
|
-25 |
10 - 12 |
|
-30 |
11 - 13 |
|
-35 |
12 - 14 |
|
-40 |
14 - 16 |
|
-45 |
16 - 18 |
11.11 Бетонная смесь при подаче ее в блоки, бетонируемые под защитой шатров или тепляков, должна иметь при укладке температуру ≥ 5°С.
11.12 Приготовление бетонной смеси должно производиться на заполнителях, не содержащих льда, снега и мерзлых комьев.
11.13 Температура бетонной смеси при выпуске с бетонного завода регулируется подогревом ее составляющих. По мере понижения температуры наружного воздуха (< -5°С) производится подогрев воды, при дальнейшем снижении температуры наружного воздуха - прогревается также песок и крупный заполнитель фракций 5-10 и 10-20 мм, если это необходимо по тепловому балансу.
Примечание - Необходимость подогрева более крупных фракций заполнителя определяется тепловым балансом составляющих смеси и требованиями к ее температуре на выходе из бетоносмесителя.
Максимальная температура подогрева не должна превышать:
- воды 85°С;
- песка 60°С;
- крупных заполнителей 50°С.
11.14 Подогрев воды следует производить в котельных, паровых и электробойлерных установках.
Предварительный отогрев заполнителей на складах для обеспечения их сыпучести осуществляется, как правило, с помощью паровых закрытых регистров. Окончательный подогрев песка осуществляется с помощью сушильных барабанов (использующих топочные газы, при условии полного сгорания топлива) и пневматических труб-сушилок, а крупного заполнителя - с помощью воздушных установок.
11.15 При транспортировании бетонной смеси должны быть приняты меры по предохранению ее от переохлаждения, для этого:
- погрузка, транспортирование и разгрузка бетонной смеси должны производиться без задержек;
- при транспортировании бетонной смеси автосамосвалами кузова их должны обогреваться выхлопными газами, а также укрываться утепленными крышками или пологами.
- при подаче бетонной смеси в блоки непрерывно-поточным способом весь тракт от бетонного завода до блока бетонирования должен быть надлежащим образом утеплен, а температура по всей его длине должна поддерживаться ~ 5°С.
- при подаче бетонной смеси бетононасосами помещения для них должны отапливаться, бетоноводы на всем своем протяжении должны быть утеплены, а перед началом работы отогреты горячим воздухом или горячим паром;
- бадьи, бункеры, хоботы и другое оборудование, находящееся на открытом воздухе, должно в необходимых случаях утепляться и периодически отогреваться горячим воздухом не реже одного раза в смену;
- все средства, используемые для транспортирования и подачи бетонной смеси (кузова автосамосвалов, бадьи, бункеры, хоботы) в блоки должны систематически очищаться от схватившегося и мерзлого бетона.
Подготовка блоков к бетонированию и укладка бетонной смеси
11.16 Подготовку к бетонированию разрешается производить в открытых блоках до температуры -10° С; только в отдельных случаях, при обязательном выполнении условий, оговоренных в 11.10 настоящего раздела, - до -20°С. При температуре < -20°С подготовительные работы должны производиться, как правило, в шатрах или в тепляках.
11.17 В дополнение к применяемым в летнее время мероприятиям по подготовке блоков к бетонированию необходимо удалять наледь с поверхности основания и ранее уложенного бетона, а также с опалубки, арматуры и закладных частей и отогревать до положительных температур основание, боковые поверхности, арматуру и закладные части.
Отогревание основания и боковых поверхностей до положительных температур должно осуществляться на глубину ≥ 30 см; режим и средства для отогревания уточняются в каждом отдельном случае лабораторией строительства.
11.18 Для блоков с Мп < 3 допускается укладка бетонной смеси без специального отогрева основания, имеющего отрицательную температуру, при выполнении следующих условий:
- поверхность основания должна быть очищена от снега, наледей, мусора и т.п. и продута горячим воздухом или паром;
- в первый (прокладочный) слой толщиной 0,5-0,75 м должна быть уложена бетонная смесь, содержащая воздухововлекающую комплексную добавку и добавку-ускоритель твердения; температура бетонной смеси этого слоя должна составлять при укладке 10-15°С
- опалубка, примыкающая к прокладочному слою и непрогретому основанию, должна иметь коэффициент теплопередачи не более 0,60 кВт/ (м2·°С), или 0,50 ккал/(м2·ч·град).
- в остальной объем блока (кроме прокладочного слоя) должна быть уложена бетонная смесь без добавки-ускорителя твердения - с температурой 5-10°С.
Состав бетонной смеси, укладываемой как в прокладочный слой, так и в основной объем блока, должен быть подобран для предусмотренной проектом марки бетона бетонируемого блока.
В качестве добавки-ускорителя может быть применена добавка хлористого кальция в количестве не более 1,5-2,0% от массы цемента; в качестве воздухововлекающих и комплексных добавок могут быть применены добавки ПАВ, указанные в Приложении Е.1.
Необходимая толщина прокладочного слоя бетонной смеси уточняется теплотехническим расчетом.
11.19 Прогрев основания и боковых поверхностей разрешается производить с помощью установленных в шатре или тепляке калориферов, а также с помощью форсунок с отражателями или грелок в соответствии с действующими инструкциями. При этом температура теплоносителя не должна превышать 90°С.
11.20 Все работы по утеплению опалубки и подготовке к активной теплозащите бетона должны быть выполнены до начала бетонирования блока.
11.21 Начало бетонирования блока разрешается только после приемки его комиссией, которая проверяет подготовку его к бетонированию в соответствии с требованиями 7.1 - 7.12 настоящего приложения и дополнительно - подготовку теплозащитных средств для бетона при его укладке и уходе за ним.
11.22 Температура бетонной смеси при бетонировании защищенных шатрами массивных блоков с прогретым основанием в первом уложенном слое должна быть ≥ +5°С по всей глубине, а в остальных слоях - ≥ +2°С.
11.23 Предельный срок перекрытия слоев укладываемой бетонной смеси устанавливается строительной лабораторией в зависимости от местных конкретных условий и указаний раздела 8 настоящего приложения.
11.24 После окончания бетонирования блока под защитой шатра в нем должна поддерживаться положительная температура ~5°С до удаления поверхностной цементной пленки, после чего шатер может не отапливаться, а поверхность бетона должна быть утеплена. Термическое сопротивление утепляющего слоя должно быть не менее, чем у утепленной опалубки. Утепление открытых поверхностей должно быть устроено таким образом, чтобы была исключена возможность загрязнения уложенного бетона.
Уход за бетоном
11.25 Мероприятия по уходу за бетоном в зимнее время, включая его теплозащиту, должны быть определены заранее, до начала производства работ.
11.26 Выбор коэффициента теплопередачи утепленной опалубки для каждого строительства определяется теплотехническими расчетами и ориентировочно производится по таблице Е.18 в зависимости от температур наружного воздуха района строительства, устойчивых в течение декады, следующей за укладкой бетона.
Таблица Е.18
|
Температура наружного воздуха, °С |
Требуемый коэффициент теплопередачи опалубки |
|
|
кВт/(м2·°С) |
ккал/(м2·ч·град) |
|
|
-10 |
1,40 |
1,20 |
|
-25 |
0,85 |
0,75 |
|
-35 |
0,70 |
0,60 |
|
-40 |
0,60 |
0,50 |
11.27 Переход с летней опалубки на зимнюю производится в соответствии с указаниями проекта и технической инспекции строительства и должен осуществляться заблаговременно до наступления заморозков.
11.28 Поверхности бетона, остающиеся в летней опалубке на зимний период, должны дополнительно утепляться с доведением коэффициента теплопередачи до принятого для зимней опалубки.
11.29 При применении в зимнее время армоплит, железобетонных плит или сборных бетонных блоков в качестве опалубки они должны быть утеплены с доведением коэффициента теплопередачи до расчетного.
11.30 Для соблюдения ограничений согласно 10.6 настоящего приложения в период выдерживания бетона необходима теплоизоляция горизонтальных и вертикальных поверхностей блоков, напорной и низовой граней плотин. При этом коэффициент теплопередачи теплоизоляции устанавливается расчетом.
11.31 В суровых и особо суровых климатических условиях на время строительства следует использовать постоянную теплоизоляцию для наружных поверхностей сооружения; целесообразность применения такой теплоизоляции указывается в проекте.
11.32 В массивных бетонных сооружениях при столбчатой разрезке на блоки бетонирования в период до цементации строительных швов следует не допускать замерзания бетона в околошовных зонах, для чего должны быть предусмотрены меры по обогреву бетона, примыкающего к шву. Цементация швов должна производиться раствором с размораживающими добавками.
11.33 Для соблюдения требовании 10.6 настоящего приложения должны быть предусмотрены также следующие мероприятия:
- при бетонировании блоков, расположенных на скале или мягком основании, их следует утеплять с наружной стороны по контуру шлаком или другими материалами толщиной до 0,5 м и шириной до 1 м. В случае невозможности утепления внешнего контура применяется прогрев нижних частей блоков;
- открытые элементы закладных частей и арматура диаметром более 32 мм, выступающие из блока не более, чем на 1м, должны быть тщательно утеплены; входы в галереи и потерны оборудуются диафрагмами из утепленных щитов, снабженных тамбурами с дверьми или люками. Если металлоконструкции и арматура выступают из бетонируемого блока более, чем на 1 м, то их следует заключать в обогреваемое пространство;
- для усиления теплозащиты легко промерзающих верхних и боковых ребер блока (на ширину 1 м от ребра) коэффициент теплопередачи их опалубки должен быть в 1,5 раза меньше коэффициента теплопередачи, принятого для зимней опалубки; в ребрах блока возможно устройство периферийного электропрогрева;
- коэффициент теплопередачи конструкций шатра или тепляка, не прилегающих непосредственно к укладываемому бетону, должен быть во всех случаях ≤ 2,3 кВт/м2·°С, или 2,0 ккал/(м2·ч·град);
- температура воздуха в шатре или тепляке при бетонировании и во время выдерживания бетона должна поддерживаться ~ 5°С на уровне 0,5 м от основания;
- в зимнее время распалубка бетона массивных сооружений производится только для тех поверхностей, в примыкании к которым должен укладываться бетон; при этом распалубка указанных поверхностей должна производиться, как правило, в отапливаемых шатрах или тепляках при достижении бетоном прочности при сжатии ≥ 2,5 МПа. При распалубке поверхностей в зимнее время вне шатра время раскрытия бетона не должно превышать указанного в таблице Е.19.
Таблица Е.19
|
Возраст блока, мес. |
Допустимое время раскрытия бетона (ч) в зависимости от температуры наружного воздуха, °С |
|||
|
0 |
-10 |
-20 |
-30 |
|
|
< 1 |
8 |
5 |
3,5 |
3 |
|
1-2 |
10 |
6 |
4 |
3,5 |
|
2-3 |
15 |
8 |
5 |
4 |
|
> 3 |
24 |
12 |
6,5 |
5 |
Общие указания
12.1 Контроль качества бетонных работ заключается в систематической проверке и наблюдении за выполнением требований проекта, настоящего Стандарта и его приложений, других действующих стандартов на строительные материалы.
12.2 Контроль качества бетонных работ должен осуществляться:
- со стороны строительной организации - строительной лабораторией и технической инспекцией;
- со стороны проектной организации - группой авторского надзора;
- со стороны Заказчика - группой надзора Заказчика.
12.3 При производстве бетонных работ должны систематически контролироваться:
- качество исходных материалов для бетона, технология их подготовки и подачи на бетонный завод;
- точность дозирования составляющих при приготовлении бетонной смеси, длительность ее перемешивания, качество и температура бетонной смеси;
- способы и средства транспортирования бетонной смеси и изменение характеристик смеси за время транспортирования;
- подготовленность блоков бетонирования и бетоноукладочных средств к приемке бетонной смеси;
- соблюдение правил подачи и укладки бетонной смеси с проверкой качества ее уплотнения;
- выполнение необходимых мер по уходу за уложенным бетоном и регулированию температурного режима возводимых конструкций;
- качество уложенного бетона путем изготовления и испытания контрольных образцов, выбуривания кернов и их испытания, а также испытания пробуренных в бетоне скважин на водопоглощение;
- наличие дефектов в уложенном бетоне и выполнение предписанных мер по их устранению.
12.4 На строительстве должно быть обеспечено систематическое получение ежедневных метеорологических сведения и краткосрочных прогнозов о температуре воздуха, скорости и направлению ветра и осадкам.
12.5 Контроль производства специальных бетонных работ (подводное и раздельное бетонирование, торкретирование и др.) должен выполняться в соответствии с требованиями специальных инструкций.
12.6 Организация контроля качества бетонных работ и распределение обязанностей между строительной лабораторией, технической инспекцией, авторским надзором и надзором Заказчика, регламентируются соответствующими нормативными документами и проектом, утвержденными в установленном порядке.
Контроль качества материалов и их хранение
12.7 Используемые для бетона гидротехнических сооружений цементы должны соответствовать проектным требованиям и требованиям специальных технических условий, разработанных для данного строительства (2.2 настоящего приложения), и удовлетворять требованиям ГОСТ 10178-85 «Портландцемент и шлакопортландцемент. Технические условия» и ГОСТ 22266-94. Цементы сульфатостойкие. Технические условия».
12.8 Разгрузка и хранение цементов, прибывающих на строительство, должны производиться раздельно по видам и маркам. Не допускается также хранение цементов разных заводов в одной емкости. Для каждой партии цемента обязательно наличие заводского паспорта.
12.9 Приемка цементов и их испытания должны производиться в соответствии с действующими стандартами на строительные материалы.
12.10 Использование цемента на бетонном заводе может производиться только с разрешения строительной лаборатории.
12.11 Для бетона гидротехнических сооружений должны применяться только те добавки, использование которых согласовано с проектной организацией.
Применяемые добавки должны отвечать требованиям действующих стандартов или техническим условиям на их изготовление. Приемка, хранение и испытание добавок должны производиться в соответствии с этими нормами и ГОСТ 24211-2003 «Добавки для бетонов. Общие технические требования».
12.12 Контроль за применением добавок должен осуществляться строительной лабораторией в соответствии с инструкциями, регламентирующими их применение, и с указаниями в Технических условиях на производство работ на конкретном объекте.
12.13 Заполнители для бетона должны удовлетворять требованиям к заполнителям для бетона гидротехнических сооружений ГОСТ 26633-91 «Бетоны тяжелые и мелкозернистые. Технические условия» и настоящего Стандарта.
12.14 Чистоту, гранулометрический состав, однородность и влажность заполнителей следует контролировать при их подготовке и складировании на гравийно-сортировочных и дробильно-сортировочных заводах, а также при поступлении в бетоносмеситель путем отбора и испытания их проб строительной лабораторией в соответствии с действующими стандартами на строительные материалы.
12.15 Заполнители каждого вида и каждой фракции следует складировать раздельно, не допуская их смешивания, расслоения и загрязнения посторонними примесями.
12.16 Применение для приготовления бетона заполнителей, не отвечающих требованиям 12.13 12.15 настоящего раздела, должно быть запрещено.
12.17 Вода, используемая для приготовления бетонной смеси и бетонных работ (для промывки заполнителей, поливки твердеющего бетона, трубного охлаждения), должна удовлетворять требованиям ГОСТ 23732-79 «Вода для бетонов и растворов. Технические условия». Воду из систем питьевого водоснабжения разрешается применять без предварительной проверки.
Контроль приготовления бетонной смеси
12.18 Производственный контроль за приготовлением бетонной смеси должен заключаться в систематической проверке:
- соответствия применяемых материалов для бетонов разных классов и марок тем, использование которых разрешено нормативными документами и лабораторией строительства;
- концентрации рабочих растворов добавок ПАВ, добавок-ускорителей и добавок-замедлителей схватывания и твердения бетона;
- точности работы дозирующих устройств и исправности счетчиков и автоматической аппаратуры, записывающей показания дозаторов, термодатчиков и датчиков влажности;
- фактических расходов и температур цемента, воды, добавок, песка, крупного заполнителя и их соответствия рецептурам, переданным лабораторией строительства на бетонный завод;
- фактической длительности перемешивания бетонной смеси и ее соответствия значениям, установленным согласно 3.49 настоящего приложения и откорректированным лабораторией строительства.
12.19 Контроль за качеством материалов, рецептурами, рабочими концентрациями растворов и фактическими расходами материалов должен вестись лабораторией строительства ежедневно; проверка длительности перемешивания смесей должна производиться не реже одного раза в месяц.
12.20 Проверка исправности дозаторов, счетчиков и регистрирующей аппаратуры производится ежедневно.
Контрольная проверка погрешности дозирующих устройств должна проводиться не реже одного раза в месяц.
Поверка дозаторов государственным инспектором с участием представителей строительной лаборатории должна проводиться не реже одного раза в квартал.
12.21 Регулярный контроль качества бетонной смеси, выпускаемой бетонным заводом, должен осуществляться лабораторией строительства путем определения не реже 1 раза в смену ее подвижности (жесткости), объемной массы, содержания вовлеченного воздуха и температуры.
При приготовлении бетонной смеси на заводах, не оснащенных автоматическими устройствами для корректировки дозировки воды и заполнителей при стабильном влагосодержании последних определение подвижности смеси должно производиться не реже двух раз в смену, а при колеблющейся влажности заполнителей - каждые 2 ч.
12.22 Изменение количества дозируемой воды при изменении влажности заполнителей должно производиться оператором бетонного завода в соответствии с указаниями лаборатории строительства или автоматически при наличии соответствующих устройств, так, чтобы подвижность бетонной смеси оставалась в пределах, заданных для данного состава.
12.23 Отбор проб и определение свойств бетонной смеси производятся согласно ГОСТ 18105-86 «Бетоны. Правила контроля прочности».
12.24 Если при испытаниях бетонной смеси будет установлено несоответствие ее характеристик требуемым, причины этого должны быть выявлены и устранены. Необходимая корректировка составов бетона в таких случаях должна производиться лабораторией строительства.
Контроль транспортирования бетонной смеси
12.25 Контроль транспортирования бетонной смеси должен заключаться в систематическом наблюдении:
- за состоянием и чистотой всех средств транспортирования смеси перед их загрузкой и после разгрузки, их исправностью, а также отсутствием потерь бетонной смеси;
- за наличием у транспортных средств, предусмотренных проектом производства работ, приспособлений и мер защиты бетонной смеси от атмосферных осадков, воздействия ветра и солнечной радиации, а в зимнее время - от чрезмерного охлаждения;
- за фактической продолжительностью нахождения бетонной смеси в пути;
- за сохранением бетонной смесью требуемой подвижности, однородности, содержания воздуха и температуры за время транспортирования.
12.26 Если проверка показывает, что фактические изменения подвижности (жесткости), однородности, содержания воздуха или температуры более учтенных при подборе составов бетона, должны быть выявлены причины этого и приняты необходимые меры: изменен состав бетона, сокращено время транспортирования, улучшено состояние дорог или применены более эффективные средства защиты бетонной смеси от внешних воздействий.
Контроль качества подготовки основания и приемка блока
12.27 Контроль качества подготовки основания должен выполняться:
- осмотром всех участков основания в начальный период, в процессе подготовки основания и после окончания подготовительных работ;
- при скальных основаниях - проверкой монолитности скальной поверхности и отсутствия в ней слабых, трещиноватых участков, незаделанных трещин, щелей и т.п.;
- при основании из несвязных грунтов - проверкой степени плотности и увлажнения грунтов в соответствии с требованиями проекта;
- при основании из ранее уложенного бетона - проверкой выполнения надлежащей обработки поверхности ранее уложенного бетона.
12.28 Перед началом бетонирования должна быть произведена приемка блока. Приемка производится постоянной комиссией из представителей технической инспекции строительства, строительного подразделения, выполняющего работы, Заказчика и представителя проектной организации.
Результаты приемки основания блока, подготовленного к бетонированию, фиксируются в журнале работ с составлением акта приемки, в котором перечисляются все выполненные работы, техническая документация, по которой велись работы, и отражено выполнение требований, предъявляемых к основанию в проекте производства работ. Решением комиссии оценивается качество выполненных работ, подготовленность к приемке бетонной смеси и дается разрешение на укладку бетона.
12.29 Если перерыв между приемкой блока и укладкой бетонной смеси превысит 16 часов, укладка разрешается только после повторного освидетельствования блока и средств для ведения бетонных работ представителем той же комиссии.
Контроль укладки бетонной смеси
12.30 Контроль качества укладки бетонной смеси должен предусматривать систематическое наблюдение за выполнением требований раздела 8 настоящего приложениия и проекта производства работ. При этом необходимо проверять:
- осуществление и эффективность мероприятий, направленных на предупреждение расслоения бетонной смеси при ее выгрузке (или перегрузке), а также при ее распределении по блоку;
- соответствие толщины укладываемых слоев бетонной смеси применяемому типу вибраторов и фактической интенсивности укладки и соблюдение допустимого времени перекрытия свежеуложенного бетона новым слоем;
- неизменность расположения арматуры, закладных деталей опалубки и приборов КИА;
- качество уплотнения бетонной смеси.
12.31 Отступления от требований к укладке бетонной смеси и возникающие в ходе ее дефекты должны немедленно устраняться, либо бетонирование должно быть прекращено.
Контроль влажностного ухода и температурного режима бетона
12.32 Контроль ухода за бетоном должен осуществляться путем проверки:
- соблюдения требований по уходу за твердеющим бетоном в соответствии с указаниями раздела 9 настоящего приложения или местных технологических правил для данного строительства;
- выполнения мер по защите твердеющего бетона от ударов и сотрясений;
- выдерживания сроков распалубки и загружения бетона;
- соблюдения правил ухода за бетоном в зимних условиях в соответствии с указаниями раздела 11 настоящего приложения.
12.33 Контроль температурного режима забетонированных конструкций и мероприятий по его регулированию должен производиться в соответствии с требованиями Разделов 2, 3, 10 и 11 настоящего приложения, с систематической проверкой температур:
- материалов для приготовления бетонной смеси;
- бетонной смеси на выходе из бетонного завода, у бетонируемого сооружения и в уложенном слое до перекрытия его новым слоем;
- бетона в конструкциях и в частях сооружений;
- воды, используемой для поверхностного и трубного охлаждения.
12.34 Периодичность измерения температур должна быть следующей:
- наружного воздуха - не реже двух раз в смену;
- материалов, применяемых для приготовления бетонной смеси - не реже двух раз в смену;
- бетонной смеси на месте ее приготовления и перед выгрузкой на месте укладки: каждые два часа - при температуре наружного воздуха -10°С < t < 20°С, и каждый час - при температуре наружного воздуха > 20°С и < -10°С;
- бетонной смеси в уложенном слое - не реже чем через час до перекрытия новым слоем;
- бетона в сооружении - не реже чем через два часа - в первые сутки твердения, двух раз в смену - в последующие трое суток, и один раз в сутки - до перекрытия блока или в течение периода, обусловленного проектом производства работ.
12.35 Измерение температуры должно производиться термометрами сопротивления, телетермометрами, электроконтактными и ртутными стеклянными термометрами с периодической регистрацией их показаний или автоматической записью.
12.36 В случае отсутствия в проекте указаний о размещении термодатчиков места их установки назначаются строительной лабораторией по согласованию с авторским надзором проектной организации.
Контроль качества уложенного бетона
12.37 Техническая инспекция Подрядчика должна проводить обследование всех распалубленных поверхностей сразу после распалубки. Результаты наблюдений и указания об исправлении обнаруженных дефектов заносят в журнал производства работ.
Группа авторского надзора от проектной организации также проводит обследования распалубленных поверхностей и фиксирует в журнале авторского надзора выявленные дефекты и рекомендации по их устранению.
12.38 При обнаружении сквозных трещин необходимо их зафиксировать, установить причины их появления и наметить мероприятия, исключающие их возникновение впредь при дальнейшем возведении сооружения.
12.39 Контроль качества бетона, уложенного в гидротехнические сооружения, должен включать обязательную проверку:
- прочности бетона на сжатие;
- водонепроницаемости и морозостойкости бетона тех частей сооружений, к которым предъявляются эти требования;
- объемной массы бетона.
При соответствующих указаниях в проекте в число контролируемых свойств бетона могут быть включены прочность бетона при растяжении и другие деформационные характеристики.
12.39 Качество бетона основных составов должно оцениваться статистическими методами.
При бетонировании отдельных монолитных конструкций, когда небольшие объемы бетона не позволяют получить в установленные сроки необходимое для статистического контроля количество серий образцов, соответствие контролируемых свойств бетона требованиям проекта допускается устанавливать нестатистическими методами.
12.40 По результатам статистической оценки технических свойств бетона гидротехнических сооружений определяются:
- фактическая обеспеченность нормативных (проектных) требований к бетону;
- фактические коэффициенты вариации (коэффициенты изменчивости) прочности и объемной массы (плотности) бетона при использовании конкретной технологической линии или технологического комплекса;
- необходимая средняя контрольная прочность бетона при заданной обеспеченности нормативного (принятого в проекте) сопротивления бетона сжатию или растяжению.
12.41 Статистическая оценка однородности гидротехнического бетона ведется по результатам регулярных измерений прочности бетона при сжатии.
12.42 При назначении в проекте классов бетона по прочности на растяжение оценка ее однородности ведется по результатам контрольных испытаний прочности бетона на растяжение.
12.43 Если к бетону наряду с требованиями прочности предъявляются требования водонепроницаемости или морозостойкости, при всех изменениях состава бетона должна быть сохранена заданная обеспеченность нормативных значений (марок) бетона по водонепроницаемости и морозостойкости.
Водонепроницаемость и морозостойкость контролируемого состава бетона признаются отвечающими требуемым, если 95% всех испытанных серий образцов имеют показатели не ниже заданных проектом (марочных).
12.44 Оценка качества бетона по контрольным образцам, приготовляемым из бетонной смеси, выпускаемой бетонными заводами, должна производиться в соответствии с требованиями ГОСТ 18105-86 «Бетоны. Правила контроля прочности».
Минимальное число проб бетонной смеси, из которых изготавливаются образцы, устанавливается по таблице Е.20.
Таблица Е.20
|
Объем бетона в сооружении, м3 |
Объем бетонной смеси, м3, от которого отбирается по одной пробе для испытаний |
||
|
прочности при сжатии |
водонепроницаемости |
морозостойкости |
|
|
< 100000 |
500 |
1000 |
1000 |
|
< 500000 |
1000 |
5000 |
2000 |
|
< 1000000 |
2000 |
10000 |
3000 |
|
< 2500000 |
3000 |
20000 |
4000 |
|
> 2500000 |
5000 |
30000 |
5000 |
12.45 Контроль качества бетона в сооружении выбуриванием кернов должен предусматриваться проектом, в составе требований к производству, работ и осуществляться с выполнением следующих требований:
- для сооружений I и II классов бурение кернов должно вестись алмазными коронками, диаметр которых больше наибольшей крупности зерен заполнителя в том же соотношении, которое установлено действующими стандартами для контрольных образцов;
- для сооружений I и II классов на каждые 10000 м3 уложенного бетона должно быть выбурено не менее 3 пог. м кернов; для сооружений III и IV классов число скважин, пробуренных с отбором кернов, должно составлять не менее трех для каждой основной марки бетона;
- испытания кернов должны проводиться в соответствии с требованиями действующих стандартов; если по результатам испытаний кернов фактическая прочность бетона в сооружении и коэффициент ее вариаций в проектном возрасте дают основание использовать для принятого технологического комплекса состав бетона с меньшим содержанием цемента, чем это установлено по результатам испытании контрольных образцов, применение состава с сокращенным расходом цемента должно быть согласовано с проектной организацией при обязательном соблюдении требований 12.43 настоящего раздела;
Примечание - В случае, если ведущими характеристиками бетона являются не прочность, а водонепроницаемость или морозостойкость, допускается выбуривать и испытывать керны меньшего диаметра, чем это указано в 12.45 настоящего раздела, с установлением масштабных коэффициентов перехода по ГОСТ 10180-90 «Бетоны. Методы определения прочности по контрольным образцам». При этом диаметр кернов должен быть ≥ 150 мм, а результаты их испытаний на сжатие должны использоваться только для контроля прочности.
- после извлечения кернов скважины в бетоне, к которому предъявляются требования водонепроницаемости должны быть испытаны на поглощение воды под давлением; удельное водопоглощение должно составлять не более 0,01 л/мин на 1 пог.м скважины в расчете на 1 м вод.ст; при большей величине водопоглощения вскрытые скважиной дефекты бетонной кладки должны быть устранены (зацементированы);
- расположение скважин устанавливается совместно проектной и строительной организациями, и согласуется с Заказчиком.
12.46 В зависимости от состояния бетона сооружений и результатов его испытаний может быть назначено дополнительное число скважин с извлечением кернов или только для определения водопоглощения бетона (скважин диаметром 50-100 мм). Их число и расположение устанавливаются совместно проектной и строительной организациями и Заказчиком.
12.47 По соглашению между Заказчиком, проектной и строительной организациями обследование качества бетона в сооружениях и контроль их состояния может дополнительно производиться неразрушающими методами в соответствии с ГОСТ 17623-87 «Бетоны. Радиоизотопный метод определения средней плотности», ГОСТ 17624-87 «Бетоны. Ультразвуковой метод определения прочности», ГОСТ 17625-83 «Конструкции и изделия железобетонные. Радиационный метод определения толщины защитного слоя бетона, размеров и расположения арматуры», ГОСТ 22690-88 «Бетоны. Определение прочности механическими методами неразрушающего контроля».
Документация
12.48 Процесс производства работ и контроля качества бетонных работ должен документироваться составлением актов и ведением журналов в соответствии с указаниями действующих нормативных документов.
Текущие записи должны производиться в пронумерованных, прошнурованных постранично журналах, подписываться лицами, ответственными за качество проведения работ. По окончании ведения журнал должен быть опечатан и сдан на хранение Заказчику.
12.49 Ведение журнала по производству работ выполняется производственным персоналом, а по контролю - персоналом технической инспекции и лаборатории строительства.
В составлении актов принимают участие как контролирующий, так и производственный персонал.
12.50 При сдаче законченного сооружения в эксплуатацию журналы производства и контроля работ предъявляются рабочей комиссии и после приемки объекта передаются на постоянное хранение Заказчику.
1 Общие положения
1.1 Введение в бетоны добавок различных веществ для улучшения свойств бетонных смесей, снижения расхода цемента и получения бетонов с требуемыми прочностью и долговечностью является неотъемлемой частью современной технологии бетонных работ в гидротехническом строительстве. С этой целью широко используются добавки органических поверхностно-активных веществ (ПАВ) - пластифицирующие (включая суперпластификаторы), воздухововлекающие и их комплексы; тонкодисперсные минеральные добавки - золы-уноса ТЭС, микросилика; добавки-регуляторы процессов схватывания и твердения бетонных смесей - добавки замедлители и ускорители; а в отдельных случаях - газообразующие добавки, добавки, повышающие защитные свойства бетона к арматуре, и др.
1.2 Выбор добавок к бетонам гидротехнических сооружений должен быть тщательно обоснован и учитывать следующее:
- гидротехнические сооружения относятся к сооружениям, которые должны обладать высокой надежностью и безопасностью;
- к бетонам гидротехнических сооружений, как правило предъявляется комплекс разноплановых требований: по прочности, водонепроницаемости, стойкости к воздействию агрессивных вод, морозостойкости, по тепловыделению, объемной массе, кавитационной стойкости и т.д.; этот комплекс обычно дополняется рядом требований к бетонным смесям: к их связности, удобоукладываемости, температурному режиму и срокам схватывания;
- добавки, отвечающие ГОСТ 24211-2003 «Добавки для бетонов. Общие технические требования» и ГОСТ 30459-2003 «Добавки для бетонов. Методы определения эффективности», наряду с основным положительным действием на те или иные технические характеристики бетона или бетонной смеси, могут обладать сильным побочным действием (дополнительным эффектом), оказывающим негативное влияние на другие, не менее важные их характеристики, также входящие в комплекс требований, предъявляемых к бетону гидротехнических сооружений.
1.3 Выбор добавок для бетонов гидротехнических сооружений должен быть сделан, как правило, во время проектирования конкретного гидроузла (объекта), при разработке технических требований к производству бетонных работ.
При выборе добавок следует исходить из комплекса установленных в проекте требований к бетонам и бетонным смесям, особенностей применяемых материалов для приготовления бетонов, условий и организации строительно-монтажных работ с учетом технических возможностей используемых бетонных заводов и организации стабильных поставок выбранных добавок в нужных количествах. При выборе вида добавок следует руководствоваться данными таблицы Е.1.1, с учетом особенностей применения добавок различного вида, изложенных в 2.1-2.5 приложения Е.
Число одновременно используемых добавок - как правило, не более 2-3-х.
1.4 Указываемые в проектах добавки и их ожидаемые дозировки для бетонов гидротехнических сооружений I - II классов должны быть приняты по рекомендациям специализированных научно-исследовательских организаций.
Для бетонов гидротехнических сооружений III - IV классов указываемые в проектах добавки и их ожидаемые дозировки могут быть приняты на основе опыта применения выбранных добавок в аналогичных условиях. Данные о добавках к бетонам, наиболее широко и успешно использовавшихся в практике отечественного гидротехнического строительства в районах с умеренным, суровым и особо суровым климатом, приведены в таблице Е.1.2.
Примечание - Переход по предложению строительной организации (Подрядчика) к использованию других добавок-аналогов, в том числе зарубежного производства, должен быть обоснован исследованиями, выполненными лабораторией строительства с привлечением специализированной научно-исследовательской организации. Условия применения добавок при производстве бетонных работ должны быть согласованы с проектной организацией.
Таблица Е.1.1 - Области рационального применения основных видов добавок для бетонов гидротехнических сооружений
|
Части сооружений или конструкций и условия их работы |
Добавки поверхностно-активных веществ (ПАВ) |
Тонкодисперсные минеральные добавки |
||||
|
пластифицирующие |
суперпластификаторы (разжижители) |
воздухововлекающие |
пластифицирующе-воздухововлекающие |
Зола-уноса ТЭС |
Микрокремнозем |
|
|
1 Бетон и железобетон гидротехнических сооружений: |
|
|
|
|
|
|
|
- частей расположенных в зоне переменного горизонта воды |
|
|
|
|
|
|
|
в особо суровых климатических зонах |
|
|
+ |
+ |
|
± |
|
в суровых климатических условиях |
+ |
|
+ |
+ |
|
± |
|
в умеренных климатических условиях |
+ |
|
+ |
+ |
|
± |
|
-частей, постоянно находящихся под водой |
+ |
± |
+ |
+ |
+ |
± |
|
- надводных частей эпизодически омываемых водой |
+ |
|
+ |
+ |
± |
± |
|
- внутренних зон |
+ |
|
+ |
+ |
+ |
|
|
2 Бетон водоводов, обделок напорных тунелей и других конструкций, испытывающий растягивающее напряжение |
+ |
± |
+ |
+ |
|
+ |
|
3 Кавитационностойкие и износостойкие бетоны |
+ |
± |
|
+ |
|
+ |
|
Условные обозначения: + - целесообразность введения добавки; + - добавка может быть использована только после соответствующего технико-экономического обоснования. |
||||||
Таблица Е.1.2 - Ориентировочные дозировки добавок к бетонам гидротехнических сооружений
|
Вид и наименование добавки |
Условная марка |
Пределы дозировок, % от массы цемента (в пересчете на сухое вещество или на 100%-ный продукт |
Нормативный документ |
|
1 Пластифицирующие добавки |
|||
|
Лигносульфонаты технические |
ЛСТ |
0,2-0,3 |
ТУ 13-0281036-05 |
|
Лигносульфонаты технические модифицированные |
ЛСТМ-2 |
0,15-0,25 |
ТУ 13-0281036-16 |
|
2 Суперпластифика торы |
|||
|
Разжижитель С-3 |
С-3 |
0,6-1,2 |
ТУ 6-36-020429-625 |
|
3 Воздухововлекающие добавки |
|||
|
Смола нейтрализованная |
СНВ |
|
|
|
воздухововлекающая |
(СНВК) |
0,02-0,05 |
ТУ 81-05-75-74 |
|
Смола древесная омыленная |
СДО |
0,02-0,10 |
ТУ 13-05-02-83 |
|
Лесохимическая добавка |
ЛХД |
0,10-0,20 |
ТУ ОП81-05-125-81 |
|
4 Пластифицирующе-воздухововлекающие добавки |
|||
|
Понизитель вязкости фенольный лесохимический |
ПФЛХ |
0,10-0,30 |
ТУ 81-05-71 |
|
Комплексные добавки: |
|
|
|
|
С-3 + СНВ |
(С-3) + (СНВ) |
(0,5–1,2) + (0,01–0,02) |
|
|
С-3 + ЛХД |
(С-3) + (ЛХД) |
(0,5–1,2) + (0,15–0,25) |
|
|
ЛСТ + СНВ |
(ЛСТ) + (СНВ) |
(0,2–0,3) +(0,01–0,02) |
(см. п. 1-3) |
|
ЛСТ + ЛХД |
(ЛСТ) + (ЛХД) |
(0,2–0,3) + (0,05–0,15) |
|
|
5 Добавки-замедлители |
|||
|
Лигносульфонаты технические (модифицированные) |
ЛСТ (ЛСТМ-2) |
0,35-0,50 |
(см. п. 1) |
|
Кормовая сахарная патока (меласса) |
КП |
0,10-0,15 ТУ 18 РСФСР 409 |
|
|
Комплексная добавка |
(ЛСТ)+ |
(0,20–0,30)+ |
|
|
ЛСТ+КП |
+(КП) |
+(0,05–0,10) |
(см. выше) |
|
6 Добавки-ускорители |
|||
|
Хлорид кальция |
ХК |
1,5–2,0 |
|
|
Примечания 1 В таблицу включены добавки, применение которых для регулирования свойств и повышения экономичности бетонов различных зон и частей гидротехнических сооружений (табл. Е.1.1) показало их высокую эффективность. 2 Ориентировочные дозировки тонкодисперсных минеральных добавок (микросилики и золы-уноса ТЭС) и рекомендации по их применению в бетонах гидротехнических сооружений приведены в 2.2 приложения Е.1. |
|||
1.5 Все применяемые добавки должны удовлетворять критериям эффективности по ГОСТ 24211-2003 «Добавки для бетонов. Общие технические требования».
1.6 Оптимальные дозировки добавок и окончательную оценку их эффективности в условиях конкретного строительства устанавливают непосредственно на производстве в два этапа:
- в лаборатории строительства, путем испытаний составов бетона, предназначенных для возведения сооружений или их частей в соответствии с требованиями проекта и приготовленных на используемых на этом строительстве цементах, воде и заполнителях;
- по данным производственной апробации составов бетона, подобранных на первом этапе, при бетонировании специально выделенных для этой цели опытных конструкций или блоков; при этом, наряду с основным положительным эффектом следует определять побочные (положительные и отрицательные) эффекты, проявляющиеся наряду с основными.
В сложных случаях к участию в этих испытаниях привлекаются специализированные научно-исследовательские организации.
В дальнейшем, при производстве бетонных работ дозировки используемых добавок корректируются лабораторией строительства в зависимости от изменений температурных условий, технологии бетонирования или качества материалов для приготовления бетонов.
1.7 Поставка добавок для бетонов на строительства должна сопровождаться документом (паспортом, сертификатом) о их качестве.
Документ о качестве добавки должен содержать следующие данные:
- наименование предприятия-изготовителя, его товарный знак и адрес;
- полное название добавки;
- дату изготовления и номер партии;
- результаты испытаний по соответствующему стандарту или ТУ;
- знак опасности по ГОСТ 19433 (в случае необходимости).
1.8 Транспортирование, хранение и применение добавок к бетонам должны осуществляться в соответствии с требованиями ГОСТ 24211 и инструкциями предприятия-изготовителя.
1.9 Особенности воздействия добавок разного вида на смеси и бетоны, которые необходимо учитывать в условиях гидротехнических строительств, изложены в п. 2.1-2.5 настоящего приложения.
2 Особенности применения добавок разных видов
2.1 Добавки поверхностно-активных веществ (ПАВ)
Пластифицирующие добавки
Основной механизм действия добавок этого вида - пептизация (дефлокуляция) частиц цемента в цементном тесте и адсорбционное модифицирование кристаллов новообразований. Эффект «разжижения» бетонной смеси зависит от минералогического и вещественного состава цемента. Применение добавок позволяет сэкономить до 8-10% цемента. В повышенных дозировках 0,4-0,6% используются для замедления сроков схватывания бетонных смесей.
При введении в бетонные смеси с содержанием цемента менее 200 кг/м3 могут усилить водоотделение и расслаиваемость бетонных смесей, а также замедлить нарастание прочности бетонов в раннем возрасте (1-7 дней), в особенности при низких температурах твердения.
Типичные представители - лигносульфонаты технические ЛСТ (таблица Е.1.2) и их производные (лигносульфонаты технические модифицированные ЛТМ, ЛСТМ и др.).
Суперпластификаторы
Механизм действия подобен действию пластифицирующих добавок, но более сильные «разжижители» цементного теста, дающие возможность уменьшить в бетонных смесях содержание воды на 10-20%. Это позволяет значительно сократить расход цемента или повысить прочность, водонепроницаемость и морозостойкость бетона.
Существенно замедляют потерю подвижности бетонными смесями за время от приготовления смесей до их укладки в бетонируемую конструкцию. Эффективность действия зависит от минералогического и вещественного состава применяемых цементов.
Как правило, легко растворяются в воде и могут вводиться в бетонные смеси в виде рабочих растворов через дозаторы воды.
Обычные дозировки - 0,6-1,2% от массы цемента. При недостаточной связности бетонных смесей могут усилиться водоотделение и седиментационное расслоение, в особенности в слоях бетона у горизонтальных и наклонных наружных поверхностей конструкций. В бетонах с низким содержанием цемента (Ц<200кг/м3) мало эффективны.
Положительное действие суперпластификаторов усиливается, а негативные проявления исключаются при совместном введении в оптимальных дозировках с воздухововлекающими добавками и (или) микросиликой.
Наиболее широко используется в практике гидротехнического строительства суперпластификатор С-3 (таблица Е.1.2).
Воздухововлекающие добавки
Добавки, резко понижающие поверхностное натяжение на границе жидкость-воздух и приводящие к образованию в бетонной смеси эмульсии воздуха в виде равномерно распределенной системы микросфероидов диаметром 0,025-1,0 мм. Это существенно повышает связность (нерасслаиваемость) бетонных смесей, в несколько раз повышает морозостойкость бетона и значительно - водонепроницаемость и стойкость к агрессивным средам. Экономия цемента и повышение экономичности бетонов обусловливаются именно этими эффектами.
Количество и устойчивость вовлеченного воздуха практически не зависят от цемента (слабо зависят от его содержания в бетоне), но зависят от грануметрического состава заполнителей (особенно песка), температуры и интенсивности перемешивания бетонной смеси.
Появление в бетоне 2-6% (по объему) диспергированного воздуха обусловливает соответствующее снижение объемной массы бетона и может вызвать в бетонах с содержанием цемента более 200 кг/м 3 некоторое снижение прочности, которое (если это необходимо) может быть нейтрализовано за счет улучшения удобоукладываемости смеси благодаря вовлеченному воздуху и снижению ее водосодержания, или устранено путем одновременного введения в смесь пластифицирующей добавки или суперпластификаторов, технологически совместимых с воздухововлекающей добавкой.
Воздухововлекающие добавки растворимы в воде и могут вводится в бетонные смеси в виде рабочих растворов через дозаторы воды или отдельные дозаторы.
Обычные дозировки - 0,02-0,25% от массы цемента (в пересчете на сухое вещество).
Типичные представители - смола нейтрализованная воздухововлекающая СНВ и СНВК (таблица Е.1.2), смола древесная омыленная СДО, лесохимическая добавка ЛХД и др.
При использовании воздухововлекающих добавок должен быть установлен систематический контроль за содержанием воздуха в бетонных смесях и применяемыми дозировками добавок.
Пластифицирующе-воздухововлекающие добавки
Сочетают пластифицирующее действие, «разжижение» цементного теста, с вовлечением в бетонные смеси диспергированного воздуха. Существуют одиночные пластифицирующе-воздухововлекающие добавки, содержащие как пластифицирующий, так и воздухововлекающий компоненты, но на практике чаще используют комплексные добавки, вводя в бетонные смеси технологически совместимые и пластифицирующую добавку (суперпластификатор) и воздухововлекающую добавку.
Добавки вводятся или раздельно или совместно, по одному и тому же тракту.
При оптимальном сочетании добавок негативных эффектов не наблюдается.
Некоторое осложнение технологии приготовления бетонных смесей многократно перекрывается улучшением качества бетонных смесей и получением бетонов с очень высоким уровнем технических характеристик при низких расходах цемента.
Дозировки широко использовавшихся в гидротехническом строительстве комплексных добавок приведены в таблице Е.1.2. При их применении необходим систематический контроль за характеристиками бетонных смесей и бетонов с соответствующим регулированием дозировок добавок.
2.2 Тонкодисперсные минеральные добавки
Золы-уноса ТЭС
Для бетонов гидротехнических сооружений используются золы-уноса ТЭС, качество которых отвечает требованиям ГОСТ 25818. Эффективность применения зол зависит как от их характеристик, так и от применяемых цементов, с которыми они реагируют, и от состава и назначения бетонов.
Как правило, использование золы-уноса целесообразно в бетонах внутренних зон массивных сооружений и частей сооружений, постоянно находящихся под водой. Применение зол-уноса в бетонах надводных частей гидротехнического сооружения, в особенности, подвергающихся воздействию знакопеременных температур, требует технико-экономического обоснования, а для бетонов в зоне переменного горизонта воды - нецелесообразно (таблица Е.1.1).
Из-за использования на ТЭС различных видов топлива, разных режимов его сжигания и систем отбора зол, их дисперсность, состав, химическая активность и физические свойства (даже в пределах требований ГОСТ 25818-91 «Золы-уноса тепловых электростанций для бетонов. Технические условия») отличаются друг от друга. Поэтому, рациональные дозировки зол ТЭС в бетонах устанавливаются экспериментально. Для бетона внутренних зон массивных сооружений количество вводимой золы может составлять до 50% (в отдельных случаях - до 70-80%) по массе от смешанного вяжущего (цемент + зола); для бетонов подводных и надводных частей сооружений это количество не должно превосходить 25%.
При введении в бетонные смеси и бетоны зол-уноса ТЭС они приобретают ряд общих особенностей, которые необходимо учитывать при строительстве гидротехнических сооружений. К положительным сторонам применения в бетонах зол-уноса можно отнести: повышение связности бетонных смесей и водонепроницаемости бетонов; возможность получения в более поздние сроки твердения той же прочности, что и у бетонов на портландцементах при общем одинаковом расходе вяжущих (это хорошо увязывается со сроками строительства крупных гидроузлов); заметное снижение тепловыделения; предотвращение опасного хода реакции щелочи цемента - заполнители.
Отрицательными сторонами применения зол-уноса ТЭС являются:
- необходимость в тщательном, более продолжительном влажностном уходе за бетоном;
- удлинение сроков схватывания бетонных смесей и замедленное нарастание прочности бетонов в раннем возрасте, до 28 суток, особенно при низких положительных температурах, что может существенно сдерживать темпы бетонных работ;
- повышенная опасность замораживания бетона при бетонировании в зимнее время.
Добавки всех зол уноса значительно снижают сопротивляемость бетонов истиранию и кавитации.
Так как золы ТЭС вводятся в бетоны в количествах, соизмеримых с расходами цемента, их применение вносит осложнения в работу бетонного хозяйства, приводя к дополнительным транспортно-складским затратам и (или) отказу от обычной для строительства гидроузлов практики использования двух типов цемента: портландцемента и шлакопортландцемента или пуццоланового цемента. Поэтому применение зол для бетона подводной и надводной частей конкретного гидротехнического сооружения должно, как правило, опираться на соответствующее технико-экономическое обоснование.
Микросилика (микрокремнезем)
Представляет собой пылевидный отход (побочный продукт) электросплавного силиконового или ферросиликонового производства, более чем на 85% состоящий из аморфного (высокоактивного) кремнезема.
Микросилика применяется в бетонах и растворах в виде очень тонкодисперсного порошка, удельная поверхность которого почти в 100 раз больше, чем у цемента. Интенсивно взаимодействует с цементом, образуя гидросиликаты кальция, натрия и калия. Обычные дозировки 4-12% от массы цемента.
Введение в бетонную смесь столь тонкодисперсного порошка, как микросилика, может так повысить водопотребность смеси, что это сведет на нет положительные эффекты ее действия. Поэтому, микросилику используют, как правило, только совместно с добавкой-пластификатором, суперпластификатором или комплексными пластифицирующе-воздухововлекающими добавками. При этом, так как значительная часть добавкипластификатора адсорбируется развитой гидрофильной поверхностью пылевидного микрокремнезема, ее дозировка должна быть увеличена в 1,5-2 раза.
Применение микросилики в оптимальных дозировках в сочетании с добавками ПАВ дает возможность приготавливать бетонные смеси с высокой связностью, удобообрабатываемостью и удобоперекачиваемостью, практически не отделяющие воду даже при литой консистенции смесей, и при значительно меньшем (на 50-100 кг/м3) содержании цемента в бетоне, чем обычно; получать бетоны с особо высокой прочностью (до 100 МПа) и плотностью, с высокой водонепроницаемостью, сульфатостойкостью и износостойкостью, с повышенной морозостойкостью, стойкостью к воздействию кавитации и выщелачиванию, с пониженной усадкой и улучшенными теплофизическими характеристиками. Кроме того, добавки микросилики могут быть использованы и как средство предотвращения опасных проявлений реакции между щелочами цемента и реакционно-способными частицами заполнителей.
При правильно выбранных, оптимальных дозировках микросилики в сочетании с добавкой-пластификатором, при их введении нет побочных отрицательных эффектов.
При производстве бетонных работ на гидротехнических строительствах применение микросилики может несколько осложнить только работу бетонного завода. При введении добавок микросилики через тракт подачи цемента может возникнуть необходимость в повышении его герметичности из-за более сильного ее пыления и «текучести», чем у цемента. При создании отдельного дополнительного тракта осложнения связаны с затратами на его устройство и эксплуатацию.
В некоторых случаях, при небольших объемах бетонных работ, может оказаться целесообразным введение микросилики в бетонные смеси в виде составной части добавок полифункционального действия, разработанных и поставляемых в виде многокомпонентных сухих смесей специализированными предприятиями
2.3 Добавки-замедлители
Для удлинения сроков схватывания бетонных смесей с целью увеличения предельно-допустимого времени перекрытия слоев бетона при низкой интенсивности бетонных работ, при температурах смесей > 25°С или при перевозках смесей на большие расстояния, в гидротехническом строительстве используют или пластифицирующие добавки в повышенных дозировках или специальные добавки-замедлители.
Особое внимание в этих случаях должно быть уделено экспериментальному определению и постоянному контролю за предельной дозировкой добавки-замедлителя, чтобы избежать ухудшения связности и однородности смесей или незапланированного замедления набора прочности бетонов в блоках бетонирования.
Пластифицирующие добавки-заменители
В этом качестве обычно используют те же пластифицирующие добавки, которые применяют на строительстве для основных составов бетона, повышая их дозировку в 1,5 - 2 раза (2.1 настоящего приложения). Такой прием прост, легко осуществим и не вызывает производственных осложнений.
С этой целью часто используют комплексные пластифицирующе-воздухововлекающие добавки, в особенности, если именно они применяются на строительстве, повышая дозировку входящей в такой комплекс пластифицирующей добавки (суперпластификатора). В этом случае существенно снижается опасность появления водоотделения и расслоения смесей.
При применении на строительстве одиночной пластифицирующе-воздухововлекающей добавки такой прием утрачивает технологическую гибкость и поэтому практически не используется.
Специальные добавки-замедлители
Из добавок этого вида, отвечающих требованиям ГОСТ 24211-2003 «Добавки для бетонов. Общие технические требования», в гидротехническом строительстве может применяться кормовая сахарная патока, опыт использования которой показал ее эффективность и технологическую совместимость с добавками, приведенными в таблице Е.1.2.
Применение других специальных добавок-замедлителей требует технико-экономического обоснования и обязательной предварительной апробации в производственных условиях.
2.4 Добавки-ускорители
Добавки этого вида в гидротехническом строительстве используются редко из-за негативных побочных эффектов или связанных с их введением производственных осложнений.
В условиях зимнего бетонирования могут применяться небольшие (неопасные) дозировки хлористого кальция при строгом соблюдении указаний 11.18 приложения Е. Для использования других добавок-ускорителей, отвечающих требованиям ГОСТ 24211-2003 «Добавки для бетонов. Общие технические требования» и ГОСТ 30459-2003. «Добавки для бетонов. Методы определения эффективности» необходимо специальное технико-экономическое обоснование.
2.5 Дозировки добавок разных видов
Границы дозировок добавок, опыт использования которых показал несомненную целесообразность и высокую эффективность их применения для бетонов гидротехнических сооружений и конструкций, приведены в таблице Е.1.2.
Оптимальные дозировки этих добавок для условий конкретных строительств должны устанавливаться в соответствии с 1.6. настоящего приложения.
Дозировки добавок-аналогов, отвечающих требованиям ГОСТ 24211-2003 «Добавки для бетонов. Общие технические требования» и ГОСТ 30459-2003. «Добавки для бетонов. Методы определения эффективности», но не имеющих опыта применения в гидротехническом строительстве, следует устанавливать при подборах составов бетона с учетом реальных условий бетонирования с обязательной предварительной апробацией этих составов бетона на второстепенных (опытных) объектах и с последующим уточнением в процессе производства бетонных работ.
Таблица Е.2.1 - Техническая характеристика башенных кранов типа КБГС
|
Показатели |
КБГС-450 |
КБГС-630 |
КБГС-1000 |
КБГС-1200 |
|
|
А |
Б |
||||
|
Вылет крюка, м |
|
|
|
|
|
|
наибольший |
40 |
40 |
40 |
40 |
|
|
наименьший |
6,7 |
6 |
6 |
6 |
|
|
при наибольшей грузоподъемности |
18 |
25 |
20 |
20 |
|
|
Грузоподъемность, т |
|
|
|
|
|
|
наибольшая |
25 |
25 |
50 |
60 |
|
|
при наибольшем |
|
|
|
|
|
|
вылете |
10 |
12,5 |
25 |
30 |
|
|
Высота подъема крюка, м |
42,5 |
60 |
33,5 |
41 |
41 |
|
Скорость подъема груза, м/мин |
|
|
|
|
|
|
2-кратная запасовка |
30 |
120(2)* |
160(10)* |
145(15)* |
|
|
|
|
60(12)* |
100(25)* |
83,4(30)* |
|
|
4-кратная запасовка |
12,5 |
60(6)* |
80(20)* |
72,5(30)* |
|
|
|
|
30(25)* |
50(50)* |
41,7(60)* |
|
|
Скорость передвижения грузовой тележки, м/мин |
30 |
10,2-51 |
55,5 |
52 |
|
|
Скорость поворота стрелы, об/мин |
0,4 |
0.06-1 |
0,54 |
0,54 |
|
|
Скорость передвижения крана, м/мин |
12 |
11 |
10,5 |
10,5 |
|
|
Колея, м |
10 |
10 |
10 |
10 |
|
|
Масса крана, т |
255 |
308 |
498 |
505 |
|
|
Завод-изготовитель |
Чеховский завод |
Зуевский энергомеханический |
|||
|
* В скобках приведена грузоподъемность, при которой разрешается поднимать грузы с указанной скоростью. ** Таблица составлена по материалам книги «Машины грузоподъемные для строительно-монтажных работ»: Справочное пособие по строительным машинам. М.Д. Полосин, В.И. Поляков. - М.: Стройиздат, 1993, с. 188-189. |
|||||
3.1 Технологическая карта на монтаж опалубки вертикальных блочных швов (блок 32×60×0,75м, V=1440м3)

1 - автокран СМК-7
2 - автопогрузчик 4046 грузоподъемностью 5 т
Рисунок Е.3.1 - Схема раскладки опалубки межблочных швов
Используемые механизмы и устройства
Автокран грузоподъемностью 7-10т 1
Сварочный аппарат 1
Расход материалов на 1 м3 бетона
Сборная железобетонная опалубка швов 0,005 м3
Деревянная опалубка 0,024 м2
Металлическая опалубка 0,002 м2
Примечание. Расход деревянной и металлической опалубки принят осредненный на блок
Состав звена
Монтажники 2 человека
Сварщик 1 человек
Такелажники 2 человека
Штукатур 1 человек
Водитель погрузчика 1 человек
Итого 7 человек
Пояснения к технологической карте
1 Установку элементов опалубки межблочных швов необходимо вести при превышении ранее установленной опалубки над поверхностью бетона не менее чем на 0,5 м.
2 Высота сборной железобетонной опалубки поперечных швов принята 1,5 м, продольных швов - 3,0м.
3 Для движения автотранспорта в швах оставляется проезд шириной 3,5-4,0 м.
4 При монтаже опалубки швов необходимо руководствоваться действующими на строительстве техническими условиями.
Используемые механизмы и устройства
Автопогрузчик грузоподъемностью 5 т 1
Автокран грузоподъемностью 7-10 т 1
Сварочный аппарат 1
Расход материалов на 1 м3 бетона
Сборная железобетонная опалубка швов 0,005м3
Деревянная опалубка 0,024 м2
Металлическая опалубка 0,002 м2
Примечание. Расход деревянной и металлической опалубки принят осредненный на блок
Состав звена
Монтажники 2 человека
Сварщик 1 человек
Такелажники 2 человека
Штукатур 1 человек
Водитель погрузчика 1 человек
Итого 7 человек
Пояснения к технологической карте
1 Установку элементов опалубки межблочных швов необходимо вести при превышении ранее установленной опалубки над поверхностью бетона не менее чем на 0,5 м.
2 Высота сборной железобетонной опалубки поперечных швов принята 1,5 м, продольных швов - 3,0 м.
3 Для движения автотранспорта в швах оставляется проезд шириной 3,5-4,0 м.
4 При монтаже опалубки швов необходимо руководствоваться действующими на строительстве техническими условиями.
3.2 Технологическая карта на устройство и эксплуатацию системы поверхностного полива и увлажнения блока бетонирования (блок 32×60×0,75 м, V=1440 м3)

1 - колодец; 2 - трубы диаметром 50 мм; 3 - скважины диаметром 100 мм; 4 - канализационная труба; 5 - резиновые шланги; 6 - перфорированные трубы диаметром 25 мм; 7 - граница потерны
Рисунок Е.3.2 - Схема системы естественного полива и отвода воды из блока
Расход материалов на 1 м3 бетона
Трубы стальные φ 25-50 мм 0,095 пог. м
Прорезиненные шланги 0,002 пог. м
Кровельная сталь 0,002 кг
Вода 38 м3
Таблица Е.3.1 - Виды охлаждения бетонной кладки в зависимости от времени года
|
Виды охлаждения |
Объем бетона, % от годового |
Сезон бетонирования |
|
Поверхностный полив |
40 |
С апреля по октябрь* |
|
Поверхностное увлажнение |
35 |
Весенне-осенний |
|
Без искусственного увлажнения |
25 |
Зимний |
|
* В апреле и октябре полив ведется на открытых участках. |
||
Состав звена
Сантехники 3 человека
Пояснения к технологической карте
1 Поверхностный полив. Конструкция системы поверхностного полива, состоит из магистральных труб диаметром 50 мм, подключенных к главной системе технического водоснабжения. К магистральным трубам при помощи прорезиненных рукавов присоединяют трубы диаметром 25 мм, перфорированные с двух сторон. Размеры отверстий перфорированных труб 2 мм. Вся система монтируется на поверхности блока.
Для равномерного распределения температуры на поверхности блока должны соблюдаться следующие условия:
- общая площадь поверхности, не имеющая текущей воды, не должна превышать 10 %, а площадь отдельных сухих пятен 10м², при этом они должны систематически увлажнятся.
- поверхностный полив должен начинаться сразу же после снятия цементной пленки и прекращаться за 12ч до укладки следующего по высоте слоя.
- толщина слоя воды должна быть в пределах 2-6мм при скорости движения не выше 0,8 м/с.
Включение систем поверхностного полива производится при температуре наружного воздуха выше 20°С на затененных поверхностях. Ориентировочный осредненный расход воды на поверхностный полив затененных поверхностей составляет около 10 л/c на 1000 м2, а открытых - вдвое больше.
2 Увлажнение бетонных поверхностей. Увлажнение бетонных поверхностей водой ведется из прорезиненных шлангов диаметром 25мм, подключаемых к магистралям технического водоснабжения. Частота полива определяется стройлабораторией и ТУ, но не реже чем раз в сутки. Увлажнение осуществляется в весенне-осенний период.
3 Отвод воды поверхностного полива и увлажнения. Отвод воды поверхностного полива и увлажнения с поверхности блока в потерну осуществляется через отверстия, расположенные над потернами. Размещение отверстий и их размеры указаны в рабочих чертежах.
Разработаны: ОАО "Всероссийский научно-исследовательский институт гидротехники им. Б.Е. Веденеева” (ОАО “ВНИИГ им. Б.Е. Веденеева”) при участии ОАО «Институт Гидропроект», ОАО «Ленгидропроект», ОАО «Красноярскгэсстрой», ОАО «Зеягэсстрой» и ОАО «Чиркейгэсстрой».
Исполнители:
от ОАО «ВНИИГ им. Б.Е. Веденеева»: Судаков В.Б. - д.т.н., Бертов В.М. - к.т.н., Шманцырь Р.Н. - к.т.н., Матюшин В.М. - инж., Картелева М.А. - инж., Сватикова Т.Ф. - инж.
от ОАО «Гидропроект»: Шангин В.С. - к.т.н., Лапин Г.Г. - инж., Анискин Б.А. - инж., Синев В.В. - инж., Хечиношвили А.К. - инж.
от ОАО «Ленгидропроект»: Юркевич Б.Н. - к.т.н., Боярский В.М. - инж.
от ОАО «Красноярскгэсстрой»: Дерюгин Л.М. - инж.
от ОАО «Зеягэсстрой»: Василевский В.В. - инж.
от ОАО «Чиркейгэсстрой»: Данилов А.Г. - к.т.н.
1.1 Гидротехнические сооружения в зависимости от их высоты и типа грунтов основания, социально-экономической ответственности и последствий возможных гидродинамических аварий подразделяют на классы.
1.2 Назначать класс гидротехнического сооружения следует в соответствии с таблицами Ж.1.1-Ж.1.3, приложение Ж.1.
1.3 Заказчик проекта гидротехнического сооружения вправе своим решением повысить класс сооружения по сравнению с указанным в таблицах Ж.1.1-Ж.1.3. Класс основных гидротехнических сооружений следует принимать равным наиболее высокому его значению из определенных по таблицам Ж.1.1-Ж.1.3.
1.4 Класс второстепенных гидротехнических сооружений надлежит принимать на единицу ниже класса основных сооружений данного гидроузла, но не выше, как правило, III класса.
1.5 Временные сооружения, как правило, следует относить к IV классу. В случае, если разрушение этих сооружений может вызвать последствия катастрофического характера или значительную задержку возведения основных сооружений I и II классов, допускается их относить при надлежащем обосновании к III классу.
1.6 Класс водоподпорных гидротехнических сооружений гидравлических и гидроаккумулирующих электростанций должен назначаться с учетом их функции защитных сооружений для территории и объектов, расположенных в нижнем бьефе (таблица Ж.1.1).
1.7 Класс основных гидротехнических сооружений комплексного гидроузла, обеспечивающего одновременно несколько участников водохозяйственного комплекса (энергетика, транспорт, мелиорация, водоснабжение, борьба с наводнениями и пр.), надлежит устанавливать по сооружению, отнесенному к более высокому классу.
1.8 При совмещении в одном сооружении двух или нескольких функций различного назначения (например, причальных с оградительными) класс следует устанавливать по сооружению, отнесенному к более высокому классу.
1.9 Класс основных сооружений, входящих в состав напорного фронта, должен устанавливаться по сооружению, отнесенному к более высокому классу.
1.10 Класс основных гидротехнических сооружений гидроэлектростанции установленной мощностью менее 1,0 млн кВт, определяемый по таблице Ж.1.1, следует повышать на единицу в случае, если эти электростанции изолированы от энергетических систем и обслуживают крупные населенные пункты, промышленные предприятия, транспорт и других потребителей или если эти электростанции обеспечивают теплом, горячей водой и паром крупные населенные пункты и промышленные предприятия.
1.11 При пересечении или сопряжении гидротехнических сооружений, которые могут быть отнесены к разным классам, следует для всех сооружений принимать класс более ответственного сооружения.
2.1 Нагрузки и воздействия на гидротехнические сооружения подразделяют на постоянные, временные (длительные, кратковременные) и особые.
2.2 Перечень нагрузок и воздействий на гидротехнические сооружения приведен в рекомендуемом приложении Ж.1.1 приложения Ж.1.
2.3 Перечень нагрузок и воздействий и их сочетаний, подлежащих учету при расчетах отдельных видов гидротехнических сооружений, следует принимать по соответствующим нормативным документам.
2.4 Гидротехнические сооружения следует рассчитывать на основные и особые сочетания нагрузок и воздействий.
2.5 Основные сочетания включают постоянные, временные длительные и кратковременные нагрузки и воздействия.
2.6 Особые сочетания включают постоянные, временные длительные, кратковременные и одну (одно) из особых нагрузок и воздействий.
2.7 Нагрузки и воздействия необходимо принимать в наиболее неблагоприятных, но реальных для рассматриваемого расчетного случая сочетаниях отдельно для строительного и эксплуатационного периодов и расчетного ремонтного случая.
2.8 При проектировании речных гидроузлов нагрузки от давления воды на сооружения и основания и силовое воздействие фильтрующейся воды (см. приложение Ж.1) должны определяться для двух расчетных случаев расхода воды: основного и поверочного.
2.9 Указанные нагрузки, соответствующие пропуску расхода воды основного расчетного случая, определяют, как правило, при нормальном подпорном уровне (НПУ) воды в верхнем бьефе. Их следует учитывать в составе основного сочетания нагрузок и воздействий.
2.10 Для гидроузлов, через которые пропуск расхода воды основного расчетного случая осуществляется при уровнях верхнего бьефа, превышающих НПУ, соответствующие им нагрузки и воздействия также следует учитывать в составе основного сочетания нагрузок и воздействий.
2.11 Нагрузки от давления воды на сооружения и основания и силовое воздействие фильтрующейся воды, соответствующие пропуску расхода воды поверочного расчетного случая, должны определяться при форсированном подпорном уровне (ФПУ) воды в верхнем бьефе и учитываться в составе особого сочетания нагрузок и воздействий.
2.12 В проектной документации и в декларации безопасности проектируемых гидротехнических сооружений речных гидроузлов должны быть приведены сведения о допустимых повреждениях при пропуске максимального расхода воды основного и поверочного расчетных случаев.
2.13 В строительный период следует учитывать возможность повышения уровня воды против расчетного из-за возникновения заторных и зажорных явлений.
2.14 Для сооружений, предназначенных для борьбы с наводнениями, нагрузки и воздействия, соответствующие уровням, превышающим расчетные, следует учитывать в составе особого сочетания нагрузок и воздействий.
3.1 Для обоснования надежности и безопасности гидротехнических сооружений должны выполняться расчеты гидравлического, фильтрационного и температурного режимов, а также напряженно-деформированного состояния системы "сооружение-основание" на основе применения современных, главным образом, численных методов механики сплошной среды с учетом реальных свойств материалов и пород оснований.
3.2 Обеспечение надежности системы "сооружение-основание" должно обосновываться результатами расчетов по методу предельных состояний их прочности (в том числе фильтрационной), устойчивости, деформаций и смещений.
3.3 Расчеты необходимо производить по двум группам предельных состояний:
- по первой группе (потеря несущей способности и (или) полная непригодность сооружений, их конструкций и оснований к эксплуатации) - расчеты общей прочности и устойчивости системы "сооружение-основание", общей фильтрационной прочности оснований и грунтовых сооружений, прочности отдельных элементов сооружений, разрушение которых приводит к прекращению эксплуатации сооружений; расчеты перемещений конструкций, от которых зависит прочность или устойчивость сооружений в целом и др.;
- по второй группе (непригодность к нормальной эксплуатации) - расчеты местной, в том числе фильтрационной, прочности оснований и сооружений, перемещений и деформаций, образования или раскрытия трещин и строительных швов; расчеты прочности отдельных элементов сооружений, не относящиеся к расчетам по предельным состояниям первой группы.
3.4 При расчетах гидротехнических сооружений, их конструкций и оснований надлежит соблюдать следующее условие, обеспечивающее недопущение наступления предельных состояний:
где γlc - коэффициент сочетания нагрузок, принимаемый равным:
при расчетах по первой группе предельных состояний:
- для основного сочетания нагрузок и воздействий в период нормальной эксплуатации - 1,00;
- то же, для периода строительства и ремонта - 0,95; для особого сочетания нагрузок и воздействий:
- при особой нагрузке, в том числе сейсмической на уровне проектного землетрясения (ПЗ), годовой вероятностью ≤ 0,01 - 0,95;
- при особой нагрузке, кроме сейсмической, годовой вероятностью ≤ 0,001 - 0,90;
- при сейсмической нагрузке уровня максимального расчетного землетрясения (МРЗ) - 0,85;
при расчетах по второй группе предельных состояний - 1,00.
Примечание - В основное сочетание нагрузок и воздействий в период нормальной эксплуатации, как правило, включают временные кратковременные нагрузки годовой вероятностью более 0,01.
F - расчетное значение обобщенного силового воздействия (сила, момент, напряжение), деформации или другого параметра, по которому производится оценка предельного состояния, определенное с учетом коэффициента надежности по нагрузке γf .
R - расчетное значение обобщенной несущей способности, деформации или другого параметра (при расчетах по первой группе предельных состояний - расчетное значение; при расчетах по второй группе предельных состояний - нормативное значение), устанавливаемого нормами проектирования отдельных видов гидротехнических сооружений, определенное с учетом коэффициентов надежности по материалу γm или грунту γg
и условий работы γc;
γn - коэффициент надежности по ответственности сооружения, принимаемый:
при расчетах по предельным состояниям первой группы:
для класса сооружений:
I - 1,25;
II - 1,20;
III - 1,15;
IV - 1,10;
при расчетах по предельным состояниям второй группы - 1,00.
При расчете устойчивости естественных склонов значение γn следует принимать:
- как для сооружения, которое может прийти в непригодное для эксплуатации состояние в случае разрушения склона;
- в остальных случаях - 1,00.
Расчетное значение нагрузки определяют умножением нормативного значения нагрузки на соответствующий коэффициент надежности по нагрузке γf .
Нормативные значения нагрузок следует определять по нормативным документам на проектирование отдельных видов гидротехнических сооружений, их конструкций и оснований.
Значения коэффициентов надежности по нагрузке γf при расчетах по предельным состояниям первой группы следует принимать в соответствии с обязательным приложением Ж.3.
Значения коэффициентов надежности по материалу γm и грунту γg, применяемых для определения расчетных сопротивлений материалов и характеристик грунтов, устанавливаются нормами на проектирование отдельных видов гидротехнических сооружений, их конструкций и оснований.
Значения коэффициента условий работы γc , учитывающего тип сооружения, конструкции или основания, вид материала, приближенность расчетных схем, вид предельного состояния и другие факторы, устанавливаются нормативными документами на проектирование отдельных видов гидротехнических сооружений, их конструкций и оснований. Коэффициенты γm, γg, γc применяются в определении расчетного значения R.
Расчеты гидротехнических сооружений, их конструкций и оснований по предельным состояниям второй группы следует производить с коэффициентом надежности по нагрузке γf, а также с коэффициентами надежности по материалу γm и грунту γg, равными 1,0, за исключением случаев, которые установлены нормативными документами на проектирование отдельных видов гидротехнических сооружений, конструкций и оснований.
3.5 Гидротехнические сооружения, их конструкции и основания, как правило, надлежит проектировать таким образом, чтобы условие Ж.1 недопущения наступления предельных состояний соблюдалось на всех этапах их строительства и эксплуатации, в том числе и в конце назначенного срока их службы.
3.6 Назначенные сроки службы основных гидротехнических сооружений в зависимости от их класса должны быть не менее расчетных сроков службы, которые принимают равными:
- для сооружений I и II классов - 100 лет;
- для сооружений III и IV классов - 50 лет.
При надлежащем технико-экономическом обосновании назначенный срок службы отдельных конструкций и элементов сооружения, разрушение которых не влияет на сохранность напорного фронта гидроузла, допускается уменьшать. При этом проектом должны быть предусмотрены технические решения, обеспечивающие восстановление разрушенных и ремонт поврежденных конструкций и элементов сооружения.
3.7 Расчеты конструкций и сооружений, как правило, следует производить с учетом нелинейных и неупругих деформаций, влияния трещин и неоднородности материалов, изменения физико-механических характеристик строительных материалов и грунтов основания во времени, поэтапности возведения и нагружения сооружений.
3.8 Оценка надежности и безопасности гидротехнических сооружений осуществляется с использованием метода предельных состояний. Выбор предельных состояний и методов расчета гидротехнических сооружений осуществляется в соответствии с нормами проектирования отдельных видов сооружений и конструкций.
3.9 С целью более полного раскрытия неопределенностей по факторам, определяющим надежность и безопасность гидротехнических сооружений и конструкций, уточнения расчетных характеристик и расчетных схем, сочетаний нагрузок и воздействий, а также предельных состояний и оптимизации проектирования по методу предельных состояний допускается применение вероятностного анализа для обоснования принимаемых технических решений системы "сооружение-основание".
3.10 Вероятностную оценку допускается осуществлять с целью более полного раскрытия неопределенностей по факторам, определяющим надежность и безопасность сооружений и конструкций, уточнения расчетных характеристик, расчетных схем, сочетаний нагрузок и воздействий, а также предельных состояний.
Для напорных гидротехнических сооружений I-III классов расчетные значения вероятностей возникновения аварий не должны превышать значений, которые приведены в таблице Ж.1.
Таблица Ж.1 - Допускаемые значения вероятностей возникновения аварий на напорных гидротехнических сооружениях I - III классов, 1/год
|
Класс сооружения |
Вероятность возникновения аварии |
|
I |
5·10-5 |
|
II |
5·10-4 |
|
III |
3·10-3 |
3.11 Основные технические решения, определяющие надежность и безопасность гидротехнических сооружений I и II классов, наряду с расчетами должны обосновываться научно-исследовательскими, в том числе экспериментальными, работами, результаты которых следует приводить в составе проектной документации.
Таблица Ж.1.1 - Класс основных гидротехнических сооружений в зависимости от их высоты и типа грунтов оснований
|
Сооружения |
Тип грунтов основания |
Высота сооружений, м, при их классе |
|||
|
I |
II |
III |
IV |
||
|
|
А |
> 80 |
50 - 80 |
20 - 50 |
< 20 |
|
1 Плотины из грунтовых материалов |
Б |
> 65 |
35 - 65 |
15 - 35 |
< 15 |
|
|
В |
> 50 |
25 - 50 |
15 - 25 |
< 15 |
|
2 Плотины бетонные, железобетонные; подводные конструкции зданий гидростанций; другие бетонные сооружения, участвующие в создании напорного фронта |
А |
> 100 |
60 - 100 |
25 - 60 |
< 25 |
|
Б |
> 50 |
25 - 50 |
10 - 25 |
< 10 |
|
|
В |
> 25 |
20 - 25 |
10 - 20 |
< 10 |
|
|
|
А |
> 40 |
25 - 40 |
15 - 25 |
< 15 |
|
3 Подпорные стены |
Б |
> 30 |
20 - 30 |
12 - 20 |
< 12 |
|
|
В |
> 25 |
18 - 25 |
10 - 18 |
< 10 |
Примечания1 Грунты: А - скальные; Б - песчаные, крупнообломочные и глинистые в твердом и полутвердом состоянии; В - глинистые водонасыщенные в пластичном состоянии. 2 Высоту гидротехнического сооружения и оценку его основания следует принимать по данным проекта |
|||||
Таблица Ж.1.2 - Класс основных гидротехнических сооружений в зависимости от их социально-экономической ответственности и условий эксплуатации
|
№№ п/п |
Объекты гидротехнического строительства |
Класс сооружений |
|
1 |
Подпорные сооружения гидроузлов при объеме водохранилища, млн. м3: |
|
|
|
> 1000 |
I |
|
|
200 - 1000 |
II |
|
|
50 - 200 |
III |
|
|
< 50 |
IV |
|
2 |
Гидротехнические сооружения гидравлических и гидроаккумулирующих электростанций установленной мощностью, МВт: |
|
|
|
> 1000 |
I |
|
|
300 - 1000 |
II |
|
|
10 - 300 |
III |
|
|
< 10 |
IV |
Таблица Ж.1.3 - Класс гидротехнических сооружений в зависимости от последствий возможных гидродинамических аварий
|
Класс гидротехнических сооружений |
Число постоянно проживающих людей, которые могут пострадать от аварии гидротехнических сооружений, чел. |
Число людей, условия жизнедеятельности которых могут быть нарушены при аварии гидротехнических сооружений, чел. |
Размер возможного материального ущерба без учета убытков владельца гидротехнических сооружений, млн. МРОТ |
Характеристика территории распространения чрезвычайной ситуации, возникшей в результате аварии гидротехнических сооружений |
|
I |
> 3000 |
> 20000 |
> 50 |
В пределах территории двух и более субъектов РФ |
|
II |
500 - 3000 |
2000 - 20000 |
10 - 50 |
В пределах территории одного субъекта РФ (двух и более муниципальных образований) |
|
III |
< 500 |
< 2000 |
1 - 10 |
В пределах территории одного муниципального образования |
|
IV |
- |
- |
< 1 |
В пределах территории одного муниципального образования |
Примечания1 Возможные ущербы от аварии гидротехнических сооружений определяются на момент разработки проекта. 2 МРОТ - минимальный размер оплаты труда по законодательству Российской Федерации, действующему на момент разработки проекта. |
||||
1 Постоянные и временные (длительные и кратковременные) нагрузки и воздействия
1.1 собственный вес конструкции и сооружения;
1.2 вес постоянного технологического оборудования (затворов, турбоагрегатов, трансформаторов и др.), место расположения которого на сооружении не изменяется в процессе эксплуатации;
1.3 давление воды непосредственно на поверхность сооружения и основания; силовое воздействие фильтрующейся воды, включающее объемные силы фильтрации и взвешивания в водонасыщенных частях сооружения и основания и противодавление на границе водонепроницаемой части сооружения при нормальном подпорном уровне, соответствующем максимальным расходам воды расчетной вероятности превышения основного расчетного случая и нормальной работе противофильтрационных и дренажных устройств;
1.4 вес грунта и его боковое давление; горное давление; давление грунта, возникающее вследствие деформации основания и конструкции, вызываемой внешними нагрузками и температурными воздействиями;
1.5 давление от намытого золошлакового, шламового и т.п. материала;
1.6 давление отложившихся наносов;
1.7 нагрузки от предварительного напряжения конструкций;
1.8 нагрузки, вызванные избыточным поровым давлением незавершенной консолидации в водонасыщенном грунте при нормальном подпорном уровне и нормальной работе противофильтрационных и дренажных устройств;
1.9 температурные воздействия строительного и эксплуатационного периодов, определяемые для года со средней амплитудой колебания среднемесячных температур наружного воздуха;
1.10 нагрузки от перегрузочных и транспортных средств и складируемых грузов, а также другие нагрузки, связанные с эксплуатацией сооружения;
1.11 нагрузки и воздействия от максимальных волн в расчетном шторме с частой повторяемостью;
1.12 нагрузки и воздействия от ледяного покрова максимальной толщины и прочности с частой повторяемостью;
1.13 нагрузки от судов (вес, навал, швартовные и ударные) и от плавающих тел;
1.14 снеговые и ветровые нагрузки;
1.15 нагрузки от подъемных и других механизмов (мостовых и подвесных кранов и т.п.);
1.16 давление от гидравлического удара в период нормальной эксплуатации;
1.17 динамические нагрузки при пропуске расходов по безнапорным и напорным водоводам при нормальном подпорном уровне.
2 Особые нагрузки и воздействия
2.1 давление воды непосредственно на поверхности сооружения и основания; силовое воздействие фильтрующейся воды, включающее объемные силы фильтрации и взвешивания в водонасыщенных частях сооружения и основания и противодавление на границе водонепроницаемой части сооружения; нагрузки, вызванные избыточным поровым давлением незавершенной консолидации в водонасыщенном грунте, при форсированном уровне верхнего бьефа, соответствующем максимальным расходам воды расчетной вероятности превышения поверочного расчетного случая и при нормальной работе противофильтрационных или дренажных устройств или при нормальном подпорном уровне верхнего бьефа, соответствующем максимальным расходам воды расчетной вероятности основного расчетного случая и нарушения нормальной работы противофильтрационных или дренажных устройств (взамен нагрузок 1.3 и 1.8);
2.2 температурные воздействия строительного и эксплуатационного периодов, определяемые для года с наибольшей амплитудой колебания среднемесячных температур наружного воздуха (взамен нагрузок 1.9);
2.3 нагрузки и воздействия от максимальных волн в расчетном шторме с редкой повторяемостью (взамен нагрузки 1.11);
2.4 нагрузки и воздействия от ледяного покрова максимальной толщины и прочности с редкой повторяемостью или прорыве заторов при зимних пропусках воды в нижний бьеф для плотин или других сооружений, участвующих в создании напорного фронта (взамен нагрузки 1.12);
2.5 давление от гидравлического удара при полном сбросе нагрузки (взамен нагрузки 1.16);
2.6 динамические нагрузки при пропуске расходов по безнапорным и напорным водоводам при форсированном уровне верхнего бьефа (вместо нагрузок 1.17);
2.7 сейсмические воздействия;
2.8 динамические нагрузки от взрывов;
2.9 гидродинамическое и взвешивающее воздействия, обусловленные цунами.
Таблица Ж.3.1
Нагрузки и воздействия |
Значения коэффициента надежности по нагрузке γf |
|
Давление воды непосредственно на поверхности сооружения и основания; силовое воздействие фильтрующей воды; волновое давление; поровое давление |
1,0 |
|
Гидростатическое давление подземных вод на обделку тоннелей |
1,1 (0,9) |
|
Собственный вес сооружения (без веса грунта) |
1,05 (0,95) |
|
Собственный вес обделок туннелей |
1,2 (0,8) |
|
Вес грунта (вертикальное давление от веса грунта) |
1,1 (0,9) |
|
Боковое давление грунта (см. прим. 2 и 3 к таблице) |
1,2 (0,8) |
|
Давление наносов |
1,2 |
|
Давление от намытого золошлакового, шламового и т.п. материала |
1,0 |
|
Нагрузки от подъемных перегрузочных и транспортных средств |
1,2 |
|
Нагрузки от навалочных грузов |
1,3 (1,0) |
|
Нагрузки от людей, складируемых грузов и стационарного технологического оборудования; снеговые и ветровые нагрузки |
По СНиП 2.01.07 |
|
Нагрузки от предварительного напряжения конструкций |
1,0 |
|
Нагрузки от судов (вес, навал, швартовые и ударные) |
1,2 |
|
Ледовые нагрузки |
1,1 |
|
Усилия от температурных и влажностных воздействий, принимаемых по справочным и литературным данным |
1,1 |
|
Сейсмические воздействия |
1,0 |
|
Нагрузки от подвижного состава железных и автомобильных дорог |
По СНиП 2.05.03 |
|
Нагрузки, нормативные значения которых устанавливаются на основе статистической обработки многолетнего ряда наблюдений, экспериментальных исследований, фактического измерения с учетом коэффициента динамичности |
1,0 |
Примечания1 Указанные в скобках значения коэффициента надежности по нагрузке относятся к случаям, когда применение минимального значения коэффициента приводит к невыгодному загружению сооружения. 2 Коэффициент надежности по нагрузке γf следует принимать равным единице для всех грунтовых нагрузок и собственного веса сооружения, вычисленных с применением расчетных значений характеристик грунтов (удельного веса и характеристик прочности) и материалов (удельного веса бетона и др.), определенных в соответствии со строительными нормами и правилами на проектирование оснований и отдельных видов сооружений. 3 Значение коэффициента γf = 1,2 (0,8) для нагрузок бокового давления грунта следует применять при использовании нормативных значений характеристик грунта. |
|
Приложение Ж является главой 5 СНиП 33-01-2003 «Гидротехнические сооружения. Основные положения».
Разработаны: ОАО "Всероссийский научно-исследовательский институт гидротехники им. Б.Е. Веденеева” (ОАО “ВНИИГ им. Б.Е. Веденеева”) с участием ОАО «Институт Гидропроект», ОАО «Ленгидропроект», ОАО «НИИЭС», НТЦ «Энергонадзора», ООО «Гидроспецпроект», ООО «Институт Теплоэлектропроект», ОАО «Ленморниипроект», ИНПЦ «Союзводпроект», ОАО «Гипроречтранс», ФГУП СПб. «Атомэнергопроект№, ФГУП «Центральный НИИ технологии судостроения», ФГУП «Госэкомелиовод», СПб ГПУЮ МГСУ.
Внесены: Управлением технического нормирования, стандартизации и сертификации в строительстве и ЖКХ Госстроя России.
Приняты и введены в действие постановлением Госстроя России от 30 июня 2003 г. № 137.
1 При проектировании гидроузлов и водозаборов на рыбообитаемых водных объектах необходимо в соответствии с действующим законодательством предусматривать строительство рыбозащитных и других рыбоохранных устройств и сооружений, согласованных с органами рыбоохраны и предназначенных для сохранения условий естественного воспроизводства водных биоресурсов при гидротехническом строительстве.
2 Рыбозащитные сооружения (РЗС) необходимо предусматривать с целью предупреждения попадания, травмирования и гибели личинок и молоди рыб на водозаборах и отведения их в жизнеспособном состоянии в безопасное место рыбохозяйственного водоема для естественного воспроизводства или хозяйственного использования.
3 Проектирование РЗС необходимо производить на основе рыбоводно-биологического обоснования с выполнением соответствующих ихтиологических изысканий, в которых должны быть определены: видовой и размерный состав с указанием минимального размера защищаемых рыб; период их ската и миграции; вертикальное и горизонтальное распределение рыб; места расположения нерестилищ и зимовальных ям; сносящая скорость течения для молоди защищаемых рыб.
4 РЗС должны обеспечивать защиту рыб всех видов и размеров. При этом их рыбозащитная эффективность для рыб размером ≥ 12 мм должна быть не менее 70 %.
5 Для выполнения требований, предъявляемых к РЗС в настоящем приложении, его структура должна включать три основных функциональных элемента: входной потокоформирующий, рабочий с защитно-водоприемной поверхностью и выходной рыбоотводящий. Дополнительно в конструкцию РЗС может быть включен комплекс вспомогательных элементов.
6 Потокоформирующий элемент предназначен для создания гидравлической структуры поступающего в РЗС потока воды, которая обеспечивает вывод рыб в удаленную от защитно-водоприемной поверхности рабочего органа зону транзитного потока и создает оптимальные условия для их бесконтактного и нетравматичного ската жизнеспособной молоди рыб на транзите в рыбоотводящий элемент.
7 Рабочий орган (защитно-водоприемный элемент) предназначен для поддержания оптимальных гидравлических условий пассивного ската молоди рыб в транзитном потоке и для равномерного, со скоростями, не превышающими сносящие для наименьшего размера защищаемых рыб, отбора рабочего потока в водозабор через реальную или воображаемую защитно-водоприемную поверхность и недопущения попадании рыб в водозабор.
8 Рыбоотводящий элемент предназначен для отведения защищенной молоди рыб из зоны действия рабочего органа в безопасное место рыбообитаемого водоема.
9 Вспомогательный элемент предназначен для повышения эффективности защиты, главным образом, подросших свободно перемещающихся в водоеме рыб. С помощью дополнительных свойств он позволяет более полно и с большей эффективностью использовать рыбозащитные качества основных функциональных элементов, как в комплексе, так и в отдельности. При этом в конструкцию рыбозащитных сооружений могут быть включены как один, так сразу несколько вспомогательных элементов, Как правило, вспомогательные элементы оказывают на рыб физиологическое воздействие различного происхождения, обеспечивающее самостоятельное активное движение рыб от источника опасности на участки водоема с более комфортными и безопасными условиями обитания.
10 Конструкцию РЗС следует разрабатывать методом комбинирования из набора функциональных элементов по последовательно выполняемой трехступенчатой схеме: «вход - действие - выход».
Представив РЗУ как комплекс входящих в него основных функциональных элементов, необходимо провести анализ каждого из этих элементов, применительно к условиям конкретных водного и гидротехнического объектов, и определить их конструкции, тип и принцип действия которых наиболее совместимы и оптимальны в условиях решения данной задачи. Далее, комбинируя между собой выбранные конструкции функциональных элементов в пределах трехчленного комплекса и дополняя их необходимыми вспомогательными элементами, составлять оптимальные конструкции рыбозащитного устройства для конкретных условий (характеристик гидротехнического и водного объектов, ихтиофауны, и т.д.).
11 Параметры РЗС необходимо назначить из условия обеспечения подачи потребителю расчетного расхода воды.
12 Параметры РЗУ следует назначать также из условия формирования в их рабочем органе гидравлического режима со следующими характеристиками:
- скорость (продольная составляющая скорости) транзитного течения воды vtr вдоль защитно-водоприемной поверхности рабочего органа должна не менее чем в 2,5 раза превышать сносящую скорость vp для рыб наибольшего защищаемого размера:
-
vtr ≥ 2,5vp max; (И.1)
- скорость (поперечная составляющая скорости) перетекания рабочего потока в водозабор vwf через защитно-водоприемную поверхность рабочего органа не должна превышать сносящую скорость vp для рыб наименьшего защищаемого размера:
-
vwf ≤ vp min; (И.2)
- скорость поступления потока в оголовок рыбоотвода vt должна не менее чем 1,4 раза превышать скорость спутного течения в водозабор vws:
-
vt ≥ 1,4vws . (И.3)
13 Величину сносящей скорости vp для покатной молоди рыб допускается выразить через длину тела рыб lf и принимать равной 10lf/c .
14 Входной потокоформирующий элемент следует выполнять пассивно или активно формирующим необходимую для защиты рыб гидравлическую структуру транзитного потока в зоне действия рабочего органа.
15 Применение потокоформирующего элемента, пассивно формирующего гидравлическую структуру обтекающего его транзитного течения допускается при скорости последнего, не менее чем в 2,5 раза превышающей сносящую скорость vp для рыб наибольшего защищаемого размера.
16 При скорости транзитного течения, менее чем в 2,5 раза превышающей сносящую скорость vp для рыб наибольшего защищаемого размера, необходимо применение потокоформирующего элемента, активно формирующего гидравлическую структуру обтекающего его течения.
17 Рыбонасыщенную зону в сформированном потокоформирующим элементом транзитном течении следует располагать на удалении от защитно-водоприемной поверхности рабочего органа по оси РЗС или на его периферии.
18 Защитно-водоприемную поверхность рабочего органа следует выполнять непроницаемой для воды и рыб - глухой водонепроницаемой; непроницаемой для рыб - сетчатой, фильтрующей, мелкоперфорированной; полупроницаемой для рыб - крупноперфорированной, щелевой, жалюзийной; возможно проницаемой для рыб - необорудованной защитными приспособлениями, за которой следует поверхность растекания рабочего потока в водозабор или собственно водозаборное окно.
19 Применение водонепроницаемой защитной поверхности допускается при наличие в водоеме стабильного вертикального распределения рыб с возможностью выделения защищаемой (отгораживаемой) рыбообитаемой зоны и свободной бедной рыбой водозаборной зоны.
20 Применение непроницаемой для рыб защитно-водоприемной поверхности допускается при расположении ее в зонах водотока с минимальной концентрацией покатной молоди ранних возрастных групп и обязательном оборудовании ее системой промывки.
21 Площадь непроницаемых для рыб защитно-водоприемных поверхностей РЗУ следует принимать с коэффициентом запаса γ = 1,2, учитывающим возможность их засорения в процессе работы.
22 Применение полупроницаемой для рыб защитно-водоприемной поверхности допускается только при промывании ее транзитным рыбоотводящим течением, гидравлический режим которого соответствует требованиям 12 настоящего приложения.
23 Применение возможно проницаемой для рыб водоприемной поверхности допустимо только при осуществлении переконцентрации рыб в удаленную от нее зону транзитного рыбоотводящего течения, гидравлический режим которого соответствует требованиям п. 12.
24 Возможно проницаемые для рыб водоприемные поверхности обычно воображаемы, и являются расчетной границей перетекания рабочего потока в водозабор.
25 Возможно проницаемая для рыб водоприемная поверхность может быть выполнена также в виде гидравлического экрана: симметричного - при заборе воды из водоема, или асимметричного - при заборе воды из водотока.
26 Симметричный и асимметричный гидравлические экраны следует формировать с использованием водяных струй, истекающих из сопла струегенератора, обрамляющих водоприемник соответственно с боков симметрично его оси или только с его верховой стороны и направленных под углом к водозаборному фронту.
27 Местоположение в РЗС рабочего и рыбоотводящего элементов соответствует типу потокоформирующего элемента.
28 В качестве рыбоотводящего элемента может быть использовано естественное течение водотока, искусственное организованное течение в водоеме или рыбоотводящем тракте, а также комплекс мероприятий по организации самостоятельного или принудительного ухода рыб.
29 Скорость течения водяной струи vs, предназначенной для создания течения в рыбоотводе, формирования транзитного течения или гидравлического экрана, не должна более чем на 10 м/с превышать скорость течения в окружающей струю водной среде vwo:
vs ≤ vwo + 10 м/с. (И.4)
30 Скорость течения потока в рыбоотводе, направленном в безопасное место рыбообитаемого водоема, следует принимать не менее сносящей скорости для защищаемых рыб
vt ≥ vp max. (И.5)
31 РЗС допускается устраивать в виде блока из отдельных секций при условии исключения их взаимного отрицательного влияния на процесс защиты и отвода рыбы.
32 Число секций в блоке надлежит устанавливать по условию:
n ≥ 0,625 Qmax/Qmin, (И.6)
где Qmax и Qmin - соответственно максимальные и минимальные расходы водозабора.
Безопасным местом рыбообитаемого водоема следует считать участок его акватории, из которого отсутствует или затруднен скат молоди рыб в водозабор.
Настоящее приложение составлено по предложению специалистов филиала ОАО «Инженерный центр ЕЭС» - «Институт Гидропроект» А.Н. Жиркевича, Г.Г. Филиппова, А.В. Иванова.
|
ГОСТЫ, СТРОИТЕЛЬНЫЕ и ТЕХНИЧЕСКИЕ НОРМАТИВЫ. Некоммерческая онлайн система, содержащая все Российские Госты, национальные Стандарты и нормативы. В Системе содержится более 150000 файлов нормативно-технической документации, действующей на территории РФ. Система предназначена для широкого круга инженерно-технических специалистов. Copyright © www.gostrf.com, 2008 - 2026 |