Крупнейшая бесплатная информационно-справочная система онлайн доступа к полному собранию технических нормативно-правовых актов РФ. Огромная база технических нормативов (более 150 тысяч документов) и полное собрание национальных стандартов, аутентичное официальной базе Госстандарта. GOSTRF.com - это более 1 Терабайта бесплатной технической информации для всех пользователей интернета. Все электронные копии представленных здесь документов могут распространяться без каких-либо ограничений. Поощряется распространение информации с этого сайта на любых других ресурсах. Каждый человек имеет право на неограниченный доступ к этим документам! Каждый человек имеет право на знание требований, изложенных в данных нормативно-правовых актах!

  


 

СИСТЕМА НОРМАТИВНЫХ ДОКУМЕНТОВ В СТРОИТЕЛЬСТВЕ

Территориальные строительные нормы Томской области

ТЕПЛОВАЯ ЗАЩИТА ЖИЛЫХ И ОБЩЕСТВЕННЫХ ЗДАНИЙ

Нормативы по теплозащите

TCH 23-316-2000

Томской области

Thermal performance in residential and public buildings

Thermal Performance Standard

Дата введения 2001-01-01

1. РАЗРАБОТАНЫ: НИИ строительной физики РААСН, г. Москва (Матросов Ю.А., Бутовский И.Н., Климова Г.К.); Томским государственным архитектурно-строительным университетом (Семенюк П.Н., Овсянников С.Н.); Главным управлением архитектуры и градостроительства Томской обл. (Люляков С.М., Алексеев В.И.); Комитетом по капитальному строительству и развитию инфраструктуры Администрации г. Томска (Чернета В.Ю.); ОГУП ПИ «Томскгражданпроект» (Прытков А.Н.); ЦЭНЭФ, г. Москва (Матросов Ю.А.); Обществом по защите природных ресурсов, г. Москва (Гольдштейн Д.).

В основу нормативного документа положены МГСН 2.01-99, работы НИИ строительной физики (НИИСФ), Томского государственного архитектурно-строительного университета, ОГУП ПИ «Томскгражданпроект», Центра по эффективному использованию энергии (ЦЭНЭФ), Общества по защите природных ресурсов.

2. ВНЕСЕНЫ Главным управлением архитектуры и градостроительства администрации Томской области.

3. СОГЛАСОВАНЫ с управлением ГАСН по Томской области, СЭС и УГПС УВД Томской области.

4. ПРИНЯТЫ И ВВЕДЕНЫ в действие с 29.09.2000 г. постановлением Администрации Томской области № 364 от 29.09.2000.

5. ВВЕДЕНЫ ВПЕРВЫЕ.

6. ИЗДАНЫ по постановлению Администрации Томской области № 364 от 29.09.2000.

7. ЗАРЕГИСТРИРОВАНЫ Госстроем России, письмо № 9-29/636 от 09.12.00 г.

Содержание

ВВЕДЕНИЕ

1. ОБЛАСТЬ ПРИМЕНЕНИЯ

2. НОРМАТИВНЫЕ ССЫЛКИ

3. ТЕПЛОЗАЩИТА ЗДАНИЙ

3.1. ОБЩИЕ ПОЛОЖЕНИЯ

3.2. ИСХОДНЫЕ ДАННЫЕ ДЛЯ ПРОЕКТИРОВАНИЯ ТЕПЛОЗАЩИТЫ

3.3. ТРЕБОВАНИЯ ПО ТЕПЛОЗАЩИТЕ ЗДАНИЯ В ЦЕЛОМ - ПОТРЕБИТЕЛЬСКИЙ ПОДХОД

3.4. ПОЭЛЕМЕНТНЫЕ ТРЕБОВАНИЯ К ТЕПЛОЗАЩИТЕ ОГРАЖДАЮЩИХ КОНСТРУКЦИЙ - ПРЕДПИСЫВАЮЩИЙ ПОДХОД

3.5. ТЕПЛОЭНЕРГЕТИЧЕСКИЕ ПАРАМЕТРЫ

3.6. ПРОЦЕДУРА ВЫБОРА УРОВНЯ ТЕПЛОЗАЩИТЫ

4. УЧЕТ ЭФФЕКТИВНОСТИ СИСТЕМ ТЕПЛОСНАБЖЕНИЯ

5. КОНТРОЛЬ ТЕПЛОТЕХНИЧЕСКИХ И ЭНЕРГЕТИЧЕСКИХ ПОКАЗАТЕЛЕЙ

6. ТРЕБОВАНИЯ К ЭНЕРГЕТИЧЕСКОМУ ПАСПОРТУ ПРОЕКТА ЗДАНИЯ

6.1. Общая часть

6.2. Основные положения

6.3. Состав показателей энергетического паспорта

6.4. Форма и пример заполнения энергетического паспорта здания

7. СОСТАВ И СОДЕРЖАНИЕ РАЗДЕЛА ПРОЕКТА «ЭНЕРГОЭФФЕКТИВНОСТЬ»

7.1 Общие положения

7.2 Содержание раздела «Энергоэффективность»

ПРИЛОЖЕНИЕ А (обязательное)

ОСНОВНЫЕ ТЕРМИНЫ И ИХ ОПРЕДЕЛЕНИЯ

ПРИЛОЖЕНИЕ Б (обязательное)

Выбор конструктивных, объемно-планировочных и архитектурных решений, обеспечивающих необходимую теплозащиту зданий

ПРИЛОЖЕНИЕ В (обязательное)

Методика заполнения и расчета параметров энергетического паспорта

 

ВВЕДЕНИЕ

Территориальные строительные нормы (TCH) по теплозащите жилых и общественных зданий разработаны по заданию Главного управления архитектуры и градостроительства Администрации Томской области в соответствии с законом Томской области «Об основах энергосбережения на территории Томской области», принятым Государственной Думой Томской области 28.01.97, № 400. При разработке территориальных строительных норм учтены положения Закона Российской Федерации «Об энергосбережении» № 28-ФЗ от 3.04.96 г., постановления Правительства РФ № 1087 от 2.11.95 г. «О неотложных мерах по энергосбережению», Указа Президента РФ № 472 от 7.05.95 г. «Основные направления энергетической политики Российской Федерации на период до 2010 года» и Федеральной целевой программы «Энергосбережение России», принятой постановлением Правительства РФ № 80 от 24.01.98 г. Территориальные строительные нормы соответствуют требованиям федеральных нормативных документов: СНиП 10-01-94*, СНиП 23-01-99, СНиП II-3-79*, СНиП 2.08.01-89*, СНиП 2.08.02-89*, СНиП 2.04.07-86*, СНиП 2.04.05-91* и ГОСТ 30494-96, и обеспечивают согласно этим требованиям снижение уровня энергопотребления на отопление зданий не менее чем на 20%.

Требования настоящего нормативного документа преследуют цель проектирования жилых зданий и зданий общественного назначения с эффективным использованием энергии путем выявления суммарного эффекта энергосбережения от использования архитектурных, строительных и инженерных решений, направленных на экономию энергетических ресурсов.

Нормативы в настоящих нормах установлены в соответствии с требованиями СНиП II-3-79*, учитывают особенности базы стройиндустрии Томской области, местной промышленности стройматериалов, систем теплоснабжения и типологии региональных проектных решений для массового жилищно-гражданского строительства.

Основные термины и их определения приведены в обязательном приложении А.

В нормах заложена возможность поэтапного повышения уровня тепловой защиты зданий в будущем, в том числе, с учетом развития возможностей областной строительной индустрии и рационального (эффективного) использования выпускаемой строительной продукции.

При разработке настоящих норм использованы Московские городские нормы МГСН 2.01 (TCH 23-304-99 г. Москвы), территориальные строительные нормы Саратовской области (TCH 23-305-99 СО), территориальные строительные нормы Московской области TCH НТП-99 (TCH 23-308-2000) и типовые строительные нормы по теплозащите зданий для регионов РФ «Энергетическая эффективность в зданиях», разработанные ЦЭНЭФ, НИИСФ и Обществом по защите природных ресурсов, а также проект СНиП «Теплозащита зданий и сооружений», разработанный НИИСФ, АВОК и Главным управлением стандартизации, технического нормирования и сертификации Госстроя РФ.

1. ОБЛАСТЬ ПРИМЕНЕНИЯ

1.1. Настоящие нормы разработаны в соответствии с требованиями СНиП 10-01-94* и распространяются на проектирование новых и реконструкцию существующих жилых и общественных зданий и предназначены для обеспечения эффективного использования энергетических ресурсов с учетом возможностей базы строительной индустрии региона.

1.2. Нормы должны соблюдаться на территории Томской области при проектировании новых, реконструируемых, капитально ремонтируемых отапливаемых жилых зданий (многоквартирных и одноквартирных) и зданий общественного назначения (дошкольных, домов интернатов, общеобразовательных, лечебных учреждений и поликлиник, офисов) с нормируемой температурой и относительной влажностью внутреннего воздуха.

1.3. Нормы обязательны для применения юридическими лицами независимо от организационно-правовой формы и формы собственности, принадлежности и государственности, гражданами (физическими лицами), занимающимися индивидуальной трудовой деятельностью или осуществляющими индивидуальное строительство, а также иностранными юридическими и физическими лицами, осуществляющими деятельность в области проектирования и строительства на территории Томской области, если иное не предусмотрено федеральным законом.

1.4. Нормы устанавливают обязательные минимальные требования по теплозащите зданий, исходя из требований по снижению их энергопотребления, санитарно гигиенических требований, противопожарных требований и требуемых комфортных условий.

При проектировании зданий допускается применять более высокие требования в соответствии с таблицей 5.1, устанавливаемые конкретным заказчиком и направленные на достижение более высокого энергосберегающего эффекта.

1.5. Нормы не распространяются на мобильные (передвижные) жилые здания, временные здания, которые находятся на одном месте не более двух отопительных сезонов, на надувные оболочки, палатки и шатры, а также здания, отапливаемые сезонно не более четырех месяцев в году. Нормы могут применяться при проектировании работ по реконструкции, реставрации, ремонту памятников истории и культуры, а также объектов формирующих охранные зоны в тех случаях, когда они не входят в противоречие с интересами сохранности историко-архитектурной ценности выше означенных объектов, что определяется государственными органами охраны памятников истории и культуры.

2. НОРМАТИВНЫЕ ССЫЛКИ

2.1. Правовая основа разработки настоящих норм для Томской области как субъекта Российской Федерации предусмотрена статьей 53 «Градостроительного кодекса Российской Федерации».

2.2. В настоящих нормах использованы следующие документы:

СНиП 10-01-94* «Система нормативных документов в строительстве. Основные положения»;

СНиП II-3-79* «Строительная теплотехника»;

СНиП 23-05-95 «Естественное и искусственное освещение»;

СНиП 2.04.05-91* «Отопление, вентиляция и кондиционирование»;

СНиП 2.04.07-86* «Тепловые сети»;

СНиП 2.08.01-89* «Жилые здания»;

СНиП 2.08.02-89* «Общественные здания и сооружения»;

СНиП 23-01-99 «Строительная климатология»;

ГОСТ Р 1.0-92 «Государственная система стандартизации Российской Федерации. Общие положения»;

ГОСТ Р 1.5-92 «Государственная система стандартизации Российской Федерации. Общие требования к построению, изложению, оформлению и содержанию стандартов»;

ГОСТ 7025-91 «Кирпич и камни керамические и силикатные. Методы определения водопоглощения, плотности и контроля морозостойкости»;

ГОСТ 7076-87 «Материалы и изделия строительные. Методы определения теплопроводности»;

ГОСТ 17177-94 «Материалы и изделия строительные теплоизоляционные. Методы контроля»;

ГОСТ 21718-84 «Материалы строительные. Диэлькометрический метод измерения влажности»;

ГОСТ 23250-78 «Материалы строительные. Метод определения удельной теплоемкости»;

ГОСТ 24816-81 «Материалы строительные. Методы определения сорбционной влажности»;

ГОСТ 25380-82 «Здания и сооружения. Метод измерения тепловых потоков, проходящих через ограждающие конструкции»;

ГОСТ 25609-83 «Материалы полимерные рулонные и плиточные для полов. Метод определения показателя теплоусвоения»;

ГОСТ 25891-83 «Здания и сооружения. Методы определения сопротивления воздухопроницанию ограждающих конструкций»;

ГОСТ 25898-83 «Материалы и изделия строительные. Методы определения сопротивления паропроницанию»;

ГОСТ 26253-84 «Здания и сооружения. Методы определения теплоустойчивости ограждающих конструкций»;

ГОСТ 26254-84 «Здания и сооружения. Методы определения сопротивления теплопередаче ограждающих конструкций»;

ГОСТ 26602.1-99 «Оконные и дверные блоки. Методы определения сопротивления теплопередаче»;

ГОСТ 26602.2-99 «Оконные и дверные блоки. Методы определения воздуховодопроницаемости»;

ГОСТ 26629-85 «Здания и сооружения. Метод тепловизионного контроля качества теплоизоляции ограждающих конструкций»;

ГОСТ 30256-94 «Материалы и изделия строительные. Метод определения теплопроводности цилиндрическим зондом»;

ГОСТ 30290-94 «Материалы и изделия строительные. Метод определения теплопроводности поверхностным преобразователем»;

ГОСТ 30494-96 «Здания жилые и общественные. Параметры микроклимата в помещениях»;

СП 23-101-2000 «Проектирование тепловой защиты зданий»;

СП 12-101-98 «Технические правила производства наружной теплоизоляции зданий с тонкой штукатуркой по утеплителю»;

РДС 10-231-93* «Система сертификации ГОСТ Р. Основные положения сертификации в строительстве»;

РДС 10-232-94* «Система сертификации ГОСТ Р. Порядок проведения сертификации продукции в строительстве»;

МГСН 2.01-99 (TCH 23-304-99) «Энергосбережение в зданиях. Нормативы по теплозащите и тепловодоэлектроснабжению»;

TCH 23-305-99 СарО «Энергетическая эффективность в жилых и общественных зданиях. Нормативы по теплозащите зданий»;

TCH НТП-99 МО (TCH 23-308-2000 МО) «Нормы теплотехнического проектирования гражданских зданий с учетом энергосбережения»;

ВСН 58-88(р) ГОСКОМАРХИТЕКТУРЫ «Положение об организации и проведении реконструкции, ремонта и технического обследования жилых зданий, объектов коммунального хозяйства и социально-культурного назначения».

3. ТЕПЛОЗАЩИТА ЗДАНИЙ

3.1. ОБЩИЕ ПОЛОЖЕНИЯ

3.1.1. Настоящие нормы предназначены для обеспечения основного требования - рационального использования энергетических ресурсов путем выбора соответствующего уровня теплозащиты здания с учетом эффективности систем отопления и теплоснабжения, и обеспечения микроклимата, рассматривая здание и системы его обеспечения как единое целое.

3.1.2. Выбор теплозащитных свойств здания следует осуществлять по одному из двух альтернативных подходов:

- потребительскому, когда теплозащитные свойства определяются по нормативному значению удельного расхода тепловой энергии на отопление здания в целом или его отдельных замкнутых объемов - блок секций, пристроек и прочего;

- предписывающему, когда нормативные требования предъявляются к отдельным элементам теплозащиты здания.

Выбор подхода разрешается осуществлять заказчику и проектной организации.

3.1.3. При выборе потребительского подхода теплозащитные свойства наружных ограждающих конструкций следует определять согласно подразделу 3.3 настоящих норм.

Расчетная величина удельного расхода тепловой энергии на отопление здания, определяемая согласно подразделу 3.5 настоящих норм, может быть снижена за счет:

а) изменения объемно-планировочных решений, обеспечивающих наименьшую площадь наружных ограждений, уменьшение числа наружных углов, увеличение ширины зданий, а также использования ориентации и рациональной компоновки многосекционных зданий; предварительный выбор объемно-планировочных решений жилых и общественных зданий рекомендуется осуществлять с учетом приложения Б;

б) снижения площади световых проемов жилых зданий до минимально необходимой по требованиям естественной освещенности;

в) использования эффективных теплоизоляционных материалов и рационального расположения их в ограждающих конструкциях, обеспечивающих более высокую теплотехническую однородность и эксплуатационную надежность наружных ограждений;

г) повышения степени уплотнения стыков и притворов открывающихся элементов наружных ограждений;

д) повышения эффективности авторегулирования систем обеспечения микроклимата, применения эффективных видов отопительных приборов и более рационального их расположения;

е) выбора более эффективных систем теплоснабжения;

ж) утилизации тепла удаляемого внутреннего воздуха и поступающей в помещение солнечной радиации.

3.1.4. При выборе предписывающего подхода теплозащитные свойства наружных ограждающих конструкций следует определять согласно подразделу 3.4 настоящих норм.

3.1.5. При вариантном проектировании по одному из двух подходов, поименованных в п. 3.1.2, выбор окончательного проектного решения следует выполнять на основе сравнения вариантов с различными конструктивными, объемно-планировочными и инженерными решениями по наименьшему значению удельного расхода тепловой энергии на отопление здания, определяемому согласно подразделу 3.5 настоящих норм.

3.1.6. При разработке проекта здания и его последующей сертификации следует составлять согласно разделу 6 энергетический паспорт здания, характеризующий его уровень теплозащиты и энергетическое качество и доказывающий соответствие проекта здания данным нормам.

3.2. ИСХОДНЫЕ ДАННЫЕ ДЛЯ ПРОЕКТИРОВАНИЯ ТЕПЛОЗАЩИТЫ

3.2.1. Среднюю температуру наружного воздуха за отопительный период , °С, и расчетную температуру наружного воздуха в холодный период года , °С, принимаемую равной средней температуре наиболее холодной пятидневки обеспеченностью 0,92, следует принимать согласно СНиП 23-01-99 и в соответствии с табл. 3.1.

3.2.2. Оптимальные параметры внутреннего воздуха помещений зданий следует принимать согласно ГОСТ 30494-96 для соответствующих типов зданий и в соответствии с табл. 3.2.

3.2.3. Градусосутки отопительного периода , °С·сут, следует принимать в соответствии с СНиП 23-01-99 и согласно табл. 3.3.

3.2.4. Среднюю за отопительный период величину суммарной солнечной радиации на горизонтальную и вертикальные поверхности различной ориентации при действительных условиях облачности I, МДж/м2, следует принимать по табл. 3.4.

3.2.5. При проектировании пароизоляции ограждающих конструкций рассматривают следующие периоды их эксплуатации:

- годовой период, включающий все 12 месяцев;

- период месяцев с отрицательными (меньше нуля °С) среднемесячными температурами наружного воздуха;

- зимний период со среднемесячными температурами наружного воздуха, меньшими минус 5°С;

- весенне-осенний со среднемесячными температурами наружного воздуха в интервале от минус 5°С до плюс 5°С;

- летний период со среднемесячными температурами наружного воздуха больше плюс 5°С.

Среднюю температуру наружного воздуха  для соответствующего периода эксплуатации ограждающих конструкций следует вычислять как среднеарифметическое значение среднемесячных температур периода, определяемых по таблице 3.5.

Температуру в плоскости возможной конденсации τc следует определять по формуле

,                                                                   (3.1)

где  - расчетная температура внутреннего воздуха, °С;

 - средняя температура наружного воздуха i-го периода, °С.

Парциальное давление насыщенного водяного пара E, Па, в плоскости возможной конденсации (E1, E2, E3, E0) при температуре τc определяются согласно СП 23-101-2000. Среднее парциальное давление водяного пара e, Па, годового периода  и периода месяцев с отрицательными среднемесячными температурами  определяется как среднеарифметическое значение парциального давления водяного пара соответствующих месяцев, принимаемых по таблице 3.5.

Примечание. В тексте данного нормативного документа согласно ГОСТ 25898 применен термин «парциальное давление водяного пара» вместо термина «упругость водяного пара».

3.2.6. При проектировании теплозащиты используются следующие расчетные показатели строительных материалов конструкций (по приложениям СНиП II-3-79*):

- коэффициент теплопроводности , Вт/(м·°С), для условий эксплуатации Б;

- коэффициент теплоусвоения (при периоде 24 ч) s, Вт/(м2·°С) для условий эксплуатации Б;

- удельная теплоемкость (в сухом состоянии) c0, кДж/(кг·°С);

- коэффициент паропроницаемости μ, мг/(м·ч·Па) или сопротивление паропроницанию Rvr, м2·ч·Па/мг;

- воздухопроницаемость G, кг/(м2·ч) или сопротивление воздухопроницанию Ra, м2·ч·Па/кг или м·ч/кг (для окон и балконных дверей при Δρ = 10 Па);

- коэффициент поглощения солнечной радиации наружной поверхностью ограждения ρo.

Примечание. Расчетные показатели эффективных теплоизоляционных материалов (минераловатных, стекловолокнистых и полимерных), а также материалов, не приведенных в СНиП II-3-79*, следует принимать для условий эксплуатации Б согласно теплотехническим испытаниям, проведенным аккредитованными Госстроем России испытательными лабораториями.

Таблица 3.1

Средние расчетные температуры наружного воздуха в холодный период года  и средней  за отопительный период

Номера климатических зон

Районы и города

Расчетные температуры наружного воздуха, °С,

наиболее холодной пятидневки

средние за отопительный период  для зданий

Жилых, общеобразовательных учреждений и др. общественных, поименованных в п. 1.2, кроме перечисленных в колонке 5 этой таблицы

Поликлиник и лечебных учреждений, домов-интернатов и дошкольных учреждений

1

2

3

4

5

I

(до 7100) °С·сут

Томский, Кожевниковский, Шегарский районы.

-40

-8,8

-7,7

Города Томск, Северск

-40

-8,4

-7,3

II

(от 7101 до 7300) °С·сут

Асиновский, Бакчарский, Зырянский, Молчановский, Первомайский, Тегульдетский, Чаинский районы. Город Асино.

-41

-9,1

-8,0

III

(от 7301 до 7500) °С·сут

Верхнекетский, Каргасокский (юго-западнее р.Обь), Колпашевский, Парабельский районы.

-42

-9,4

-8,2

Город Колпашево

-42

-9,1

-7,9

Средний Васюган

-41

-8,8

-7,6

Усть-Озерное

-43

-9,5

-8,3

IV

(более 7501) °С·сут

Александровский, Каргасокский (северо-восточнее р. Обь) районы.

-43

-9,9

-8,7

Город Стрежевой Александровское

-42

-9,6

-8,3

Примечание к таблице 3.1:

1. Зоны выделены по градусосуткам отопительного периода со средней месячной температурой воздуха £ 8 °С;

2. Представительные города и населенные пункты выбраны с учетом административного деления и наличия метеорологической станции.

Таблица 3.2

Расчетная температура, относительная влажность и температура точки росы внутреннего воздуха помещений, принимаемые в соответствии с ГОСТ 30494 для теплотехнических расчетов ограждающих конструкций

Здания, помещения

Температура воздуха внутри здания

Относительная влажность внутри здания

Температура точки росы

, °С

,%

, °С

1. Жилые и общеобразовательные для помещений:

21

55

11,6

2. Поликлиник и лечебных учреждений, домов-интернатов

21

50

10,2

3. Детских дошкольных учреждений

22

50

11,1

6. Технические этажи, подвалы и полуподвалы с трубопроводами

2

55

-5,4

7. Стоянки для автомобилей

5

55

-2,9

Примечание к табл. 3.2: Для общественных зданий, не указанных в табл. 3.2, температуру воздуха внутри зданий , относительную влажность воздуха  и соответствующую им температуру точки росы следует принимать согласно ГОСТ 30494 и нормам проектирования соответствующих зданий

Таблица 3.3

Градусосутки и продолжительность отопительного периода

Номера климатических зон

Районы и города

Градусосутки , °С·сут/продолжит. отопит, периода , сут

Здания

Жилые, общеобразовательные учреждения и др. общественные, поименованные в п. 1.2, кроме перечисленных в колонках 4 и 5 этой таблицы

Поликлиник и лечебных учреждений, домов- интернатов

Дошкольных учреждений

1

2

3

4

5

I

(до 7100) °С·сут

Томский, Кожевниковский, Шегарский районы.

6973 / 234

7232 / 252

7484 / 252

Города Томск, Северск

6938 / 236

7160 / 253

7413 / 253

II

(от 7101 до 7300) °С·сут

Асиновский, Бакчарский, Зырянский, Молчановский, Первомайский, Тегульдетский, Чаинский районы. Город Асино

7194 / 239

7453 / 257

7710 / 257

III

(от 7301 до 7500) °С·сут

Верхнекетский, Каргасокский (юго-западнее р. Обь), Колпашевский, Парабельский районы.

7418 / 244

7621 / 261

7882 / 261

Город Колпашево

7314 / 243

7514 / 260

7774 / 260

Средний Васюган

7271 / 244

7493 / 262

7755 / 262

Усть-Озерное

7564 / 248

7765 / 265

8030 / 265

IV

(более 7501) °С·сут

Александровский, Каргасокский (северо-восточнее р. Обь) районы.

7756 / 251

7960 / 268

8228 / 268

Город Стрежевой Александровское

7711 / 252

7911 / 270

8181 / 270

Примечания к таблице 3.3:

1. Зоны выделены по градусосуткам отопительного периода со средней месячной температурой воздуха £ 8 °С;

2. Представительные города выбраны с учетом административного деления и наличия метеорологической станции.

Таблица 3.4

Средняя величина суммарной солнечной радиации на горизонтальную и вертикальные поверхности при действительных условиях облачности I, МДж/м2, за отопительный период

Номер зоны

Города и районы

Гор.пов.

Вертикальные поверхности с ориентацией на

С

СВ/СЗ

В/3

ЮВ/ЮЗ

Ю

I

Томский, Кожевниковский, Шегарский районы. Города Томск, Северск

1649

832

932

1285

1807

2041

II

Асиновский, Бакчарский, Зырянский, Молчановский, Первомайский, Тегульдетский, Чаинский районы. Город Асино

1714

943

1058

1375

1800

1980

III

Верхнекетский, Каргасокский (юго-западнее р. Обь), Колпашевский, Парабельский районы. Город Колпашево

1727

946

1071

1399

1877

2060

IV

Александровский, Каргасокский (северо-восточнее р. Обь) районы. Город Стрежевой

1742

950

1091

1426

1922

2138

3.2.7. При расчетах теплоэнергетических показателей здания согласно разделу 3.5 следует руководствоваться следующими правилами:

а) Отапливаемую площадь здания следует определять как площадь этажей (в т.ч. мансардного, отапливаемого цокольного и подвального) здания, измеряемую в пределах внутренних поверхностей наружных стен, включая площадь, занимаемую перегородками и внутренними стенами. При этом площадь лестничных клеток и лифтовых шахт включается в площадь этажа. Площадь антресолей, галерей и балконов зрительных и других залов следует включать в отапливаемую площадь здания.

В отапливаемую площадь здания не включается площадь технических этажей, неотапливаемого подвала (подполья), а также чердака или его части, не занятой под мансарду.

б) При определении площади мансардного этажа учитывается площадь с высотой до наклонного потолка 1,2 м при наклоне 30° к горизонту; 0,8 м - при 45°-60°; при 60° и более площадь измеряется до плинтуса (Приложение 2 СНиП 2.08.01-89*).

в) Площадь жилых помещений здания подсчитывается как сумма площадей всех общих комнат (гостиных) и спален.

г) Отапливаемый объем здания определяется как произведение площади этажа на внутреннюю высоту, измеряемую от поверхности пола первого этажа до поверхности потолка последнего этажа.

При сложных формах внутреннего объема здания отапливаемый объем определяется как объем пространства, ограниченного внутренними поверхностями наружных ограждений (стен, покрытия или перекрытия, цокольного перекрытия).

Для определения объема воздуха, заполняющего здание, отапливаемый объем умножается на коэффициент 0,85.

д) Площадь наружных ограждающих конструкций определяется по внутренним размерам здания. Общая площадь наружных стен (с учетом оконных и дверных проемов) определяется как произведение периметра наружных стен по внутренней поверхности на внутреннюю высоту здания, измеряемую от поверхности пола первого этажа до поверхности потолка последнего этажа. При этом в площадь стен следует включить площади внутренних откосов оконных и дверных проемов. Суммарная площадь окон определяется по размерам проемов в свету. Площадь наружных стен (непрозрачной части) определяется как разность общей площади наружных стен и площади окон.

е) Площадь горизонтальных наружных ограждений (покрытия, чердачного и цокольного перекрытия) определяется как площадь этажа здания (в пределах внутренних поверхностей наружных стен).

При наклонных поверхностях потолков последнего этажа площадь покрытия, чердачного перекрытия определяется как площадь внутренней поверхности потолка

Таблица 3.5

Средняя месячная и годовая температура воздуха, °С (а) и среднее месячное и годовое парциальное давление водяного пара, гПа (б)

Пункт

 

месяцы

Год

I

II

III

IV

V

VI

VII

VIII

IX

X

XI

XII

1

2

3

4

5

6

7

8

9

10

11

12

13

14

15

Александровское

(а)

-21,5

-19,6

-12,1

-1,7

5,5

13,7

17,5

13,7

8,0

-1,4

-12,7

-19,6

-2,5

(б)

1,2

1,3

2,2

4,0

6,2

10,8

14,7

12,6

8,9

4,8

2,5

1,5

5,9

Бакчар

(а)

-19,9

-17,7

-10,0

0,8

8,6

15,4

18,0

14,2

8,9

0,4

-10,5

-18,0

-0,8

(б)

1,3

1,4

2,3

4,3

6,6

11,2

14,8

12,8

8,7

5,0

2,7

1,6

6,1

Каргасок

(а)

-21,3

-18,4

-11,2

-1,6

6,6

14,4

17,4

14,2

8,6

-0,5

-12,5

-19,8

-2,0

(б)

1,3

1,4

2,2

4,2

6,7

11,5

14,9

13,2

9,1

5,1

2,4

1,5

6,1

Кожевниково

(а)

-19,6

-17,3

-11,0

-0,1

9,2

15,5

18,0

15,2

9,2

1,0

-10,3

-17,8

-0,7

(б)

1,4

1,6

2,3

4,6

7,1

12,0

15,2

13,5

9,1

5,4

2,6

1,6

6,4

Колпашево

(а)

-20,7

-18,7

-10,8

-0,7

7,3

15,2

18,0

14,4

8,4

0,1

-11,4

-19,4

-1,5

(б)

1,3

1,4

2,3

4,1

6,5

11,4

14,9

13,0

8,9

5,0

2,6

1,5

6,1

Молчаново

(а)

-19,5

-17,2

-9,9

0,3

8,3

15,4

18,1

14,6

9,0

0,2

-10,8

-18,5

-0,8

(б)

1,3

1,4

2,4

4,2

6,6

11,5

15,1

13,2

9,0

5,1

2,7

1,6

6,2

Напас

(а)

-22,1

-20,1

-12,0

-1,7

5,9

14,1

17,5

13,5

8,0

-1,6

-13,4

-20,4

-2,7

(б)

1,2

1,3

2,1

3,8

6,0

10,7

14,4

12,5

8,7

4,8

2,4

1,4

5,8

Новоникольское

(а)

-21,7

-18,9

-12,1

-2,5

5,7

13,9

17,4

14,2

8,4

-0,9

-12,7

-20,4

-2,5

(б)

1,2

1,4

2,1

4,2

6,6

11,3

14,7

13,2

9,2

5,2

2,4

1,4

6,1

Парабель

(а)

-20,8

-18,9

-11,1

-0,8

7,0

14,8

17,4

14,0

8,4

-0,2

-11,6

-19,3

-1,7

(б)

1,2

1,4

2,3

4,2

6,6

11,3

15,1

12,9

8,8

5,0

2,6

1,5

6,1

Пудино

(а)

-20,4

-18,4

-10,3

0,4

8,3

14,9

17,4

13,9

8,5

0,4

-10,6

-18,5

-1,2

(б)

1,3

1,4

2,3

4,3

6,7

11,4

14,8

12,8

8,8

5,1

2,8

1,6

6,1

Пышкино-Троицкое

(а)

-19,4

-17,4

-9,8

0,3

8,7

15,8

18,5

14,9

8,8

0,6

-10,5

-18,2

-0,6

(б)

1,4

1,5

2,4

4,2

6,8

11,9

15,3

13,3

9,0

5,2

2,6

1,6

6,3

Средний Васюган

(а)

-20,4

-18,2

-10,2

-0,4

7,2

14,7

17,7

14,0

8,6

-0,3

-11,3

-18,9

-1,5

(б)

1,3

1,4

2,3

4,1

6,5

11,1

14,8

12,8

9,0

5,0

2,7

1,6

6,1

Старица

(а)

-20,7

-17,4

-10,1

-0,4

7,6

14,7

17,2

14,1

8,6

-0,1

-11,7

-19,2

-1,4

(б)

1,3

1,5

2,2

4,2

6,6

11,3

14,6

13,0

8,9

5,2

2,5

1,5

6,1

Томск

(а)

-19,1

-16,9

-9,9

0,0

8,7

15,4

18,3

15,1

9,3

0,8

-10,1

-17,3

-0,5

(б)

1,4

1,5

2,4

4,4

6,9

11,8

15,4

13,3

9,0

5,2

2,8

1,7

6,3

Тутало-Чулым

(а)

-20,2

-17,7

-10,4

-0,9

7,1

14,5

17,2

14,3

7,8

-0,4

-11,8

-19,0

-1,6

(б)

1,3

1,4

2,2

4,1

6,6

11,3

14,7

13,1

8,6

5,3

2,4

1,5

6,0

Усть-Озерное

(а)

-21,5

-19,3

-11,0

-0,9

6,7

15,0

18,1

14,1

7,9

-0,9

-12,9

-20,1

-2,1

(б)

1,2

1,3

2,2

3,8

6,1

11,0

14,5

12,7

8,6

4,9

2,4

1,5

5,9

Чаинское

(а)

-20,6

-17,8

-10,5

-0,4

7,9

14,8

17,5

14,3

8,6

0,2

-11,6

-19,2

-1,4

(б)

1,3

1,5

2,3

4,4

6,8

11,7

15,5

13,2

9,0

5,2

2,5

1,5

6,2

3.3. ТРЕБОВАНИЯ ПО ТЕПЛОЗАЩИТЕ ЗДАНИЯ В ЦЕЛОМ - ПОТРЕБИТЕЛЬСКИЙ ПОДХОД

3.3.1. Проект здания следует разрабатывать на основе требуемой величины удельного расхода тепловой энергии на отопление проектируемого здания , кДж/(м3·°С·сут) [кДж/(м3·°С·сут)] согласно п. 3.3.2. Выбор величин приведенного сопротивления теплопередаче отдельных элементов теплозащиты зданий следует начинать с требуемых значений, приведенных в п. 2.1* СНиП II-3-79* при значениях градусосуток по табл. 3.3, и в соответствии с п. 3.3.4. Процесс теплотехнического проектирования ограждающих конструкций до удовлетворения требования п. 3.3.2 рекомендуется осуществлять согласно подразделу 3.6. Если в результате расчета удельный расход тепловой энергии на отопление здания окажется меньше нормативного значения на 5% и более, то разрешается снижение сопротивления теплопередаче отдельных элементов теплозащиты по сравнению с требуемым (но не ниже минимально допустимых значений, обеспечивающих санитарно-гигиенические и комфортные условия согласно п. 3.3.3, при соблюдении требования невыпадения конденсата в соответствии с п. 3.3.6) до значений, когда расчетный удельный расход энергии достигнет требуемого.

3.3.2. Расчетный удельный (на 1 м2 отапливаемой площади здания [или на 1 м3 отапливаемого объема]) расход тепловой энергии на отопление проектируемого здания , кДж/(м2·°С·сут) [кДж/(м3·°С·сут)], должен быть меньше или равен требуемому значению , кДж/(м2·°С·сут) [кДж/(м3·°С·сут)], и определяется путем выбора теплозащитных свойств ограждающих конструкций здания и типа, эффективности и метода регулирования используемой системы отопления до удовлетворения условия

,                                                                             (3.2)

где  - требуемый удельный расход тепловой энергии системой отопления проектируемого здания, кДж/(м2·°С·сут) [кДж/(м3 ·°С·сут)], определяемый для различных типов жилых и общественных зданий:

а) при подключении их к системам централизованного теплоснабжения согласно таблицам 3.6 а и 3.6 б;

б) при подключении здания к системам децентрализованного теплоснабжения - умножением величины, определяемой согласно таблицам 3.6 а и 3.6 б, на коэффициент η, рассчитываемый по формуле

                                                                        (3.3)

где  - расчетный коэффициент энергетической эффективности систем отопления и децентрализованного теплоснабжения, определяемый согласно разделу 4;

 - расчетный коэффициент энергетической эффективности систем отопления и централизованного теплоснабжения, определяемый согласно разделу 4;

 - расчетный удельный расход тепловой энергии системой отопления проектируемого здания, кДж/(м2·°С·сут) [кДж/(м3·°С·сут)], определяемый согласно подразделу 3.5.

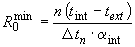
3.3.3. Минимально допустимое сопротивление теплопередаче непрозрачных ограждающих конструкций , м2·°С/Вт, соответствующие санитарно-гигиеническим и комфортным условиям, должно быть не менее значений, определяемых по формуле:

,                                                            (3.4)

где n - коэффициент, принимаемый по табл. 3* СНиП II-3-79*;

tint - расчетная температура внутреннего воздуха, °С, принимаемая по табл. 3.2.;

text - расчетная температура наружного воздуха в холодный период года, °С, принимая по табл. 3.1;

Δtn - нормативный температурный перепад, °С, принимаемый по табл. 2* СНиП II-3 в зависимости от вида здания и ограждающей конструкции;

αint - коэффициент теплообмена внутренней поверхности ограждающей конструкции, Вт/(м2·°С), принимаемый по табл. 4* СНиП II-3-79*.

Примечания 1. При определении минимально допустимого сопротивления теплопередаче внутренних ограждающих конструкций в формуле (3.4) следует принимать n = 1 и вместо text - расчетную температуру воздуха более холодного помещения; для теплых чердаков и подвалов эту температуру следует принимать по расчету теплового баланса (но не менее плюс 2 °С для подвалов при расчетных условиях и не более плюс 14 °С для чердаков и подвалов).

2. Для чердачных и цокольных перекрытий теплых чердаков и подвалов с температурой воздуха в них tc большей text, но меньшей tint, коэффициент n следует определять по формуле

Таблица 3.6 а

Требуемый удельный расход тепловой энергии на отопление жилых домов одноквартирных отдельно стоящих и блокированных , кДж/(м2·°С·сут)

Отапливаемая площадь

Этажность домов

домов, м2

1

2

3

4

60 и менее

140

-

-

-

100

125

135

-

-

150

110

120

130

-

250

100

105

110

115

400

 

90

95

100

600

80

85

90

1000 и более

75

75

80

Таблица 3.6 б

Требуемый удельный расход тепловой энергии на отопление жилых многоквартирных и общественных зданий , кДж/(м2·°С·сут) [кДж/(м3·°С·сут)]

Типы зданий

Этажность зданий:

1-3

4-5

6-9

10 и более

жилые

По табл. 3.6 а

95

4-этажные дома одноквартирные и блокированные по табл. 3.6 а

80

70

общеобразовательные учреждения и офисы

[42] (36);

[33 (27)]

[30 (23)]

(20)

[38] (34);

[36] (33)

соответственно нарастанию этажности

поликлиники и лечебные учреждения, дома-интернаты

[34], [33], [32]

соответственно нарастанию этажности

[31]

[30]

-

дошкольные учреждения

[45]

-

-

-

3.3.4. Требуемое сопротивление теплопередаче  светопрозрачных конструкций и наружных дверей жилых зданий следует принимать:

- для окон, балконных дверей и витражей до 2004 г. допускается принимать не менее 0,56 м2·°С/Вт, с 2004 г. не менее 0,65 м2·°С/Вт;

- 0,81 м2·°С/Вт для глухой части балконных дверей;

- 0,54 м2·°С/Вт для входных дверей в квартиры, расположенные выше первого этажа;

- 1,2 м2·°С/Вт для входных дверей в одноквартирные здания и квартиры, расположенные на первых этажах многоэтажных зданий, а также ворот.

3.3.5. Требуемое сопротивление теплопередаче  светопрозрачных конструкций общественных зданий следует принимать по табл. 1 б* СНиП II-3-79* согласно градусосуток по табл. 3.3, для наружных дверей не менее произведения 0,6·, где  определяют для стен по формуле (3.4).

3.3.6. Приведенное сопротивление теплопередаче непрозрачных и светопрозрачных ограждающих конструкций  должно быть не менее минимально допустимого , или требуемого сопротивления теплопередаче , определяемого согласно пп. 3.3.3 и 3.3.4 соответственно.

3.3.7. Требуемое сопротивление стен теплых подвалов (с разводкой в них трубопроводов систем отопления и горячего водоснабжения) следует определять исходя из расчета теплового баланса согласно СП 23-101-2000 при условии обеспечения расчетной температуры воздуха в подвале не менее плюс 2°С.

3.3.8. Температура внутренней поверхности ограждающей конструкции в зоне теплопроводных включений (диафрагм, сквозных швов из раствора, стыков панелей, ребер и гибких связей в многослойных панелях, жестких связей облегченной кладки и др.), в углах и оконных откосах должна быть не ниже температуры точки росы внутреннего воздуха, принимаемой согласно табл. 3.2. Температура внутренней поверхности конструктивных элементов окна должна быть не ниже плюс 3°С при расчетных условиях.

3.3.9. Воздухопроницаемость ограждающих конструкций зданий  должна быть не более нормативных значений , указанных в табл. 12* СНиП II-3-79*.

3.3.10. Требуемое сопротивление воздухопроницанию ограждающих конструкций , м2·ч·Па/кг, следует определять согласно СНиП II-3-79* и указаниям п. 3.6.3.

3.3.11. Требуемое сопротивление паропроницанию наружных ограждающих конструкций следует определять согласно разделу 6 СНиП II-3-79*.

3.3.12. Поверхность пола жилых и общественных зданий должна иметь показатель теплоусвоения , Вт/(м2·°С) не более нормативных величин, указанных в табл. 11* СНиП II-3-79*.

3.3.13. Суммарная площадь окон жилых зданий должна быть не более 18% от суммарной площади светопрозрачных и непрозрачных ограждающих конструкций стен, если приведенное сопротивление теплопередаче светопрозрачных конструкций  меньше 0,65 м2·°С/Вт и не более 25%, если  светопрозрачных конструкций 0,65 м2·°С/Вт и более. При определении этого соотношения в суммарную площадь непрозрачных конструкций следует включать все продольные и торцевые стены, а также площади непрозрачных частей оконных створок и балконных дверей.

Площадь светопрозрачных конструкций в общественных зданиях следует определять по минимальным требованиям СНиП 23-05-95.

3.4. ПОЭЛЕМЕНТНЫЕ ТРЕБОВАНИЯ К ТЕПЛОЗАЩИТЕ ОГРАЖДАЮЩИХ КОНСТРУКЦИЙ - ПРЕДПИСЫВАЮЩИЙ ПОДХОД

3.4.1. Наружные ограждающие конструкции здания согласно предписывающему подходу должны удовлетворять следующим требованиям по:

- минимально допустимому приведенному сопротивлению теплопередаче в соответствии с п. 3.4.2;

- минимальным допустимым температурам внутренней поверхности в соответствии с п. 3.3.6;

- максимально допустимой воздухопроницаемости отдельных конструкций ограждений в соответствии с п. 3.3.7.

Процесс теплотехнического проектирования ограждающих конструкций до удовлетворения требования п. 3.4.2 рекомендуется осуществлять согласно подразделу 3.6.

3.4.2. Приведенное сопротивление теплопередаче () для ограждающих конструкций должно быть не менее:

- значений, приведенных в п. 2.1* СНиП II-3-79* для градусосуток по табл. 3.3 согласно второму этапу повышения уровня теплозащиты из условий энергосбережения для наружных непрозрачных ограждающих конструкций в зависимости от вида здания и помещения (включая здания и помещения с влажным или мокрым режимом); для чердачных и цокольных перекрытий теплых чердаков и подвалов эти значения следует умножать на коэффициент n, определяемый согласно примечаниям 2 к п. 3.3.3;

- значений, приведенных в п. 3.3.4 для светопрозрачных конструкций и входных дверей.

Примечание. Допускается применение конструкций наружных стен с приведенным сопротивлением теплопередаче (за исключением светопрозрачных) не более чем на 5% ниже указанных в п. 2.1 СНиП II-3-79* для градусосуток по табл. 3.3 согласно второму этапу повышения уровня теплозащиты из условий энергосбережения, при обязательном увеличении сопротивления теплопередаче наружных горизонтальных ограждений с тем, чтобы приведенный трансмиссионный коэффициент теплопередачи совокупности горизонтальных и вертикальных наружных ограждений, определяемый по формуле (3.11), был не выше значения , определяемого по той же формуле на основании требований к ограждающим конструкциям согласно п. 2.1* СНиП II-3-79*.

3.4.3. Требуемое сопротивление воздухопроницанию и паропроницанию ограждающих конструкций, а также показатель теплоусвоения пола следует определять согласно пп. 3.3.8-3.3.10 соответственно.

3.4.4. Площадь светопрозрачных ограждающих конструкций следует определять в соответствии с п. 3.3.11.

3.5. ТЕПЛОЭНЕРГЕТИЧЕСКИЕ ПАРАМЕТРЫ

3.5.1. Показатель компактности здания , 1/м, следует определять по формуле

,                                                                   (3.5)

где  - общая площадь наружных ограждающих конструкций, включая покрытие (перекрытие) верхнего этажа и перекрытие пола нижнего отапливаемого помещения, м2;

Vh - отапливаемый объем здания, определяемый согласно п. 3.2.7, м3.

Расчетный показатель компактности здания , 1/м, для жилых зданий (домов) как правило, не должен превышать следующих значений:

- 0,25 для зданий 16 этажей и выше;

- 0,29 для зданий от 10 до 15 этажей включительно;

- 0,31 для зданий от 6 до 9 этажей включительно;

- 0,36 для 5-этажных зданий;

- 0,43 для 4-этажных зданий;

- 0,54 для 3-этажных зданий;

- 0,61; 0,54; 0,46 для двух-, трех- и четырехэтажных блокированных и секционных домов соответственно;

- 0,9 для двухэтажных и одноэтажных домов с мансардой;

- 1,1 для одноэтажных домов.

3.5.2. Расчетный удельный расход тепловой энергии системой отопление здания , кДж/(м2·°С·сут) [кДж/(м3 ·°С·сут)], следует определять по формулам

,

или

,                                                  (3.6)

 - потребность в тепловой энергии на отопление здания в течение отопительного периода, определяемая согласно п. 3.5.3, МДж;

Ah - отапливаемая площадь здания, м2;

Vh - то же, что и формуле (3.5), м3;

Dd - количество градусосуток отопительного периода, определяемое согласно п. 3.2.3, °С·сут;

3.5.3. Потребность в тепловой энергии на отопление здания в течение отопительного периода , МДж, следует определять:

а) при автоматическом регулировании теплоотдачи нагревательных приборов в системе отопления по формуле

,                                                (3.7 a)

б) при отсутствии автоматического регулирования теплоотдачи нагревательных приборов в системе отопления по формуле

,                                                                          (3.7 б)

где Qh - общие теплопотери здания через наружные ограждающие конструкции, МДж, определяемые по формуле

,                                                 (3.8)

Km - общий коэффициент теплопередачи здания, Вт/(м2·°С), определяемый по формуле

,                                                                 (3.9)

 - приведенный трансмиссионный коэффициент теплопередачи здания, Вт/(м2·°С), определяемый по формуле

,   (3.10)

где β - коэффициент, учитывающий дополнительные теплопотери, связанные с ориентацией ограждений по сторонам горизонта, с ограждениями угловых помещений, с поступлением холодного воздуха через входы в здание: для жилых зданий β = 1,13, для прочих зданий β = 1,1;

AW, AF, Aed, Ac, Af - площадь соответственно стен с учетом площади откосов оконных и дверных проемов, заполнений светопроемов (окон, фонарей), наружных дверей и ворот, покрытий (чердачных перекрытий), цокольных перекрытий, м2;

, , , ,  - приведенное сопротивление теплопередаче соответственно стен, заполнений светопроемов (окон, фонарей), наружных дверей и ворот, покрытий (чердачных перекрытий), цокольных перекрытий, м2·°С/Вт; полов по грунту - исходя из разделения их на зоны со значениями сопротивления теплопередаче согласно прил. 9 СНиП 2.04.05-91;

n - коэффициент, принимаемый в зависимости от положения наружной поверхности ограждающей конструкции по отношению к наружному воздуху согласно п. 3.3; для покрытий (чердачных перекрытий) теплых чердаков и цокольных перекрытий подвалов с разводкой в них трубопроводов систем отопления и горячего водоснабжения по формуле примечания 2 п. 3.3.3;

 - то же, что и в формуле (3.5);

 - приведенный инфильтрационный (условный) коэффициент теплопередачи здания, Вт/(м2·°С), определяемый по формуле

,                                     (3.11)

где c - удельная теплоемкость воздуха, равная 1 кДж/(кг·°С);

na - средняя кратность воздухообмена здания за отопительный период, 1/ч, принимаемая по нормам проектирования соответствующих зданий: для жилых зданий - исходя из удельного нормативного расхода воздуха 3 м3/ч на 1 м2 жилых помещений и кухонь; для общеобразовательных учреждений - 16-20 м3/ч на 1 чел.; в дошкольных учреждениях - 1,5 1/ч, в больницах - 2 1/ч.

В общественных зданиях, функционирующих не круглосуточно, среднесуточная кратность воздухообмена определяется по формуле

                                    (3.12)

где zw - продолжительность рабочего времени в учреждении, ч;

 - кратность воздухообмена в рабочее время, 1/ч, согласно СНиП 2.08.02 для учебных заведений, поликлиник и других учреждений, функционирующих в рабочем режиме неполные сутки, 0,5 1/ч в нерабочее время;

 - коэффициент снижения объема воздуха в здании, учитывающий наличие внутренних ограждающих конструкций. При отсутствии данных принимать  = 0,85;

 - то же, что в формуле (3.5), м3;

 - средняя плотность наружного воздуха за отопительный период, кг/м,

,                                                         (3.13)

где  - средняя температура наружного воздуха за отопительный период, °С, определяемая по табл. 3.1;

k - коэффициент учета влияния встречного теплового потока в конструкциях, равный 0,7 для стыков панелей стен и окон с тройными переплетами, 0,8 - для окон и балконных дверей с двумя раздельными переплетами и 1,0 - для одинарных окон, окон и балконных дверей со спаренными переплетами и открытых проемов;

 - то же, что в формуле (3.5);

 - бытовые теплопоступления в течение отопительного периода, МДж, определяемые по формуле

,                                                   (3.14)

где  - величина бытовых тепловыделений на 1 м2 полезной площади (площади жилых помещений) здания, Вт/м2, принимаемая по расчету, но не менее 10 Вт/м2 для жилых и административных зданий; для общественных и административных зданий бытовые тепловыделения учитываются по проектному числу людей (90 Вт/чел), освещения (по установочной мощности) и оргтехники (10 Вт/м2) с учетом рабочих часов в сутках;

 - средняя продолжительность отопительного периода, сут, принимаемая по табл. 3.3;

AI - для жилых зданий - площадь жилых помещений и кухонь; для общественных и административных зданий - полезная площадь здания, м2, определяемая согласно СНиП 2.08.02 как сумма площадей всех помещений, а также балконов и антресолей в залах, фойе и т.п., за исключением лестничных клеток, лифтовых шахт, внутренних открытых лестниц и пандусов;

Qs - теплопоступления через окна от солнечной радиации в течение отопительного периода, МДж, для четырех фасадов зданий, ориентированных по четырем направлениям, определяемые по формуле

,  (3.15)

где τF, τscy - коэффициенты, учитывающие затенение светового проема соответственно окон и зенитных фонарей непрозрачными элементами заполнения, принимаемые по проектным данным; при отсутствии данных - следует принимать по табл. 3.7;

kF, kscy - коэффициенты относительного проникания солнечной радиации соответственно для светопропускающих заполнений окон и зенитных фонарей, принимаемые по паспортным данным соответствующих светопропускающих изделий; при отсутствии данных - следует принимать по табл. 3.8;

AF1 AF2, AF3, AF4 - площадь светопроемов фасадов здания, соответственно ориентированных по четырем направлениям, м2.

Примечание. Для промежуточных направлений величину солнечной радиации следует определять по интерполяции;

Ascy - площадь светопроемов зенитных фонарей здания, м2;

I1, I2, I3, I4 - средняя за отопительный период величина солнечной радиации на вертикальные поверхности при действительных условиях облачности, соответственно ориентированные по четырем фасадам здания, МДж/м2, принимается по табл. 3.4;

Ihor - средняя за отопительный период величина солнечной радиации на горизонтальную поверхность при действительных условиях облачности, МДж/м2, принимается по табл. 3.4;

v - коэффициент, учитывающий способность ограждающих конструкций помещений зданий аккумулировать или отдавать тепло; рекомендуемое значение v = 0,8;

βh - коэффициент, учитывающий дополнительное теплопотребление системы отопления, связанное с дискретностью номинального теплового потока номенклатурного ряда отопительных приборов и дополнительными теплопотерями через зарадиаторные участки ограждений, теплопотерями трубопроводов, проходящих через неотапливаемые помещения: для многосекционных и протяженных зданий βh = 1,13, для зданий башенного типа βh = 1,11.

Таблица 3.7

Значения коэффициентов затенения светового проема τF и τscy соответственно окон и зенитных фонарей

№ п.п.

Тип переплета

Коэффициенты τF и τscy

в деревянных или ПХВ переплетах

в металлических переплетах

1

Одинарный

0,8

0,9

2

Спаренный

0,75

0,85

3

Раздельный

0,65

0,8

4

Раздельно-спаренный

0,5

0,7

Таблица 3.8

Значения коэффициентов относительного проникания солнечной радиации kF и kscy соответственно окон и зенитных фонарей

№ п.п.

Количество ниток остекления (в т.ч. в стеклопакетах)

Коэффициенты kF и kscy

из обычного стекла

с теплоотражающим покрытием

1

Две

0,9

0,57

2

Три

0,83

0,57

3

Четыре

0,77

0,5

3.6. ПРОЦЕДУРА ВЫБОРА УРОВНЯ ТЕПЛОЗАЩИТЫ

3.6.1. Выбор уровня теплозащиты здания в целом (по потребительскому подходу) выполняют в нижеприведенной последовательности:

а) выбирают требуемые климатические параметры согласно подразделу 3.2;

б) выбирают параметры воздуха внутри здания и условия комфортности в соответствии с ГОСТ 30494, согласно подразделу 3.2 и назначению здания;

в) разрабатывают объемно-планировочные и компоновочные решения здания, рассчитывают его геометрические размеры и показатель компактности , добиваясь выполнения условия п. 3.5.1;

г) определяют согласно подразделу 3.3 требуемое значение удельного расхода тепловой энергии на отопление здания  в зависимости от типа здания, его этажности и системы его теплоснабжения; при этом в случае подключения здания к децентрализованной системе теплоснабжения определяют коэффициент η согласно проектным данным и указаниям раздела 4 и корректируют требуемое значение удельного расхода тепловой энергии;

д) определяют требуемые сопротивления теплопередаче  ограждающих конструкций (стен, покрытий (чердачных перекрытий), цокольных перекрытий, окон и фонарей, наружных дверей и ворот) согласно подразделу 3.3 и рассчитывают приведенные сопротивления теплопередаче  этих ограждающих конструкций, добиваясь выполнения условия ;

е) назначают требуемый воздухообмен согласно СНиП 2.08.01-89*, СНиП 2.08.02-89* и другим нормам проектирования соответствующих зданий и сооружений, и проверяют обеспечение этого воздухообмена по помещениям;

ж) проверяют принятые конструктивные решения наружных ограждений на удовлетворение требований приложения Б;

з) рассчитывают согласно подразделу 3.5 удельные расходы тепловой энергии на отопление здания  и сравнивают его с требуемым значением  Расчет заканчивают в случае, если расчетное значение меньше требуемого на 5% или равно требуемому;

и) если расчетное значение  меньше (или больше) на 5% требуемого , то осуществляют перебор вариантов до достижения предыдущего условия. При этом используют следующие возможности:

1) изменение объемно-планировочного решения здания (размеров и формы);

2) понижение (или повышение) уровня теплозащиты отдельных ограждений здания;

3) выбор более эффективных систем теплоснабжения, а также отопления и вентиляции и способов их регулирования;

4) комбинирование предыдущих вариантов, используя принцип взаимозаменяемости.

3.6.2. Выбор уровня теплозащиты здания на основе поэлементных требований выполняют в нижеприведенной последовательности:

а) начинают проектирование согласно позициям (а-в) п. 3.6.1;

б) определяют согласно подразделу 3.4 требуемое сопротивление теплопередаче  ограждающих конструкций (наружных стен, покрытий, чердачных и цокольных перекрытий, окон и фонарей, наружных дверей и ворот);

в) разрабатывают или выбирают конструктивные решения наружных ограждений; при этом определяют их приведенное сопротивление теплопередаче , добиваясь выполнения условия ;

г) проверяют принятые конструктивные решения наружных ограждений на удовлетворение требований приложения Б;

д) рассчитывают удельное энергопотребление системой отопления здания  согласно подразделу 3.5;

е) проверку условия согласно формуле (3.2) в этом случае производить не следует.

3.6.3. Светопрозрачные ограждающие конструкции следует подбирать по следующей методике:

а) требуемое сопротивление теплопередаче  светопрозрачных конструкций следует устанавливать согласно п. 3.3.4. При этом выбор светопрозрачной конструкции следует осуществлять по значению приведенного сопротивления теплопередаче , полученному в результате сертификационных испытаний, выполненных аккредитованными Госстроем России испытательными лабораториями. Если приведенное сопротивление теплопередаче выбранной светопрозрачной конструкции  больше или равно , то эта конструкция удовлетворяет требованиям норм;

б) при отсутствии сертифицированных данных допускается использовать при проектировании значения , приведенные в прил. 6* СНиП II-3-79*. Значения  в этом приложении даны для случаев, когда отношение площади остекления к площади заполнения светового проема β равно 0,75. При использовании светопрозрачных конструкций с другими значениями β следует корректировать значение  следующим образом: для конструкций с деревянными или пластмассовыми переплетами при каждом увеличении β на величину 0,1 следует уменьшать значение  на 5% и наоборот - при каждом уменьшении β на величину 0,1 следует увеличить значение  на 5%;

в) при проверке требования по обеспечению минимальной температуры на внутренней поверхности τint светопрозрачных ограждений и их несветопрозрачных элементов температуру τint следует определять согласно п. 3.3.6. Если в результате расчета окажется, что условия п. 3.3.6 нарушены при расчетных условиях, то следует выбрать другое конструктивное решение заполнения светопроема с целью обеспечения этих требований;

г) требуемое сопротивление воздухопроницанию , м2·ч/кг, светопрозрачных конструкций следует определять по формуле

,                                              (3.16)

где  - нормативная воздухопроницаемость светопрозрачной конструкции, кг/(м·ч), принимаемая по табл. 12* СНиП II-3-79* при Δp =10 Па;

Δp - разность давлений воздуха на наружной и внутренней поверхности светопрозрачной конструкции, Па, определяемая согласно п. 5.2* СНиП II-3-79*, Δpo = 10 Па - разность давлений воздуха на наружной и внутренней поверхности светопрозрачной конструкции, при которой определялась воздухопроницаемость сертифицируемого образца;

д) сопротивление воздухопроницанию выбранного типа светопрозрачной конструкции Ra, м2·ч/кг, определяют по формуле

,                                                     (3.17)

где Gs - воздухопроницаемость светопрозрачной конструкции, кг/(м2·ч), при Δp = 10 Па, полученная в результате сертификационных испытаний;

n - показатель режима фильтрации светопрозрачной конструкции, полученный в результате сертификационных испытаний;

е) в случае  выбранная светопрозрачная конструкция удовлетворяет требованиям СНиП II-3-79* по сопротивлению воздухопроницанию.

В случае  необходимо заменить светопрозрачную конструкцию и проводить расчеты по формуле (3.17) до удовлетворения требований СНиП II-3-79*.

3.6.4. Проверяют принятые конструктивные решения наружных ограждений на удовлетворение требований СНиП II-3-79* по паропроницаемости, обеспечивая, при необходимости, конструктивными изменениями выполнение этих требований.

3.6.5. Определяют категорию энергетической эффективности здания в соответствии с разделом 5.

4. УЧЕТ ЭФФЕКТИВНОСТИ СИСТЕМ ТЕПЛОСНАБЖЕНИЯ

Расчетный коэффициент энергетической эффективности систем отопления и централизованного теплоснабжения здания  определяется по формуле

,                                        (4.1)

где η1 - расчетный коэффициент теплопотерь в системах отопления здания;

ε1 - расчетный коэффициент эффективности регулирования в системах отопления зданий;

η2 - расчетный коэффициент теплопотерь распределительных сетей и оборудования тепловых (центральных и индивидуальных) и распределительных пунктов;

ε2 - расчетный коэффициент эффективности регулирования оборудования тепловых (центральных и индивидуальных) и распределительных пунктов;

η3 - расчетный коэффициент теплопотерь магистральных тепловых сетей и оборудования системы теплоснабжения от источника теплоснабжения до теплового или распределительного пункта;

ε3 - расчетный коэффициент эффективности регулирования оборудования системы теплоснабжения от источника теплоснабжения до теплового или распределительного пункта;

η4 - расчетный коэффициент теплопотерь оборудования источника теплоснабжения;

ε4 - расчетный коэффициент эффективности регулирования оборудования источника теплоснабжения.

Расчетный коэффициент энергетической эффективности систем отопления и децентрализованного (поквартирной, индивидуальной и автономной системы) теплоснабжения здания ηdec определяется по формуле

,                                                             (4.2)

где  - то же, что в формуле (4.1).

Значения коэффициентов, входящих в формулы (4.1 и 4.2), следует принимать с учетом требований СНиП 2.04.05-91* и СНиП 2.04.07-86* и по осредненным за отопительный период данным проекта.

При отсутствии данных о системах теплоснабжения принимают равным:  - при подключении здания к существующей системе централизованного теплоснабжения; ηdec = 0,6 - при подключении здания к автономной крышной или модульной котельной на газе; ηdec = 0,4 - при стационарном электроотоплении; ηdec = 0,55 - при подключении здания к прочим системам теплоснабжения.

5. КОНТРОЛЬ ТЕПЛОТЕХНИЧЕСКИХ И ЭНЕРГЕТИЧЕСКИХ ПОКАЗАТЕЛЕЙ

5.1. Контроль теплотехнических и энергетических показателей при проектировании и экспертизе проектов теплозащиты зданий на их соответствие настоящим нормам следует выполнять с помощью энергетического паспорта согласно разделу 6.

5.2. Контроль теплотехнических и энергетических показателей при эксплуатации зданий и оценка соответствия теплозащиты здания и отдельных его элементов настоящим нормам следует осуществлять путем экспериментального определения основных показателей на основе государственных стандартов на методы испытаний строительных материалов, конструкций и объектов в целом.

5.3. Сертификация элементов теплозащиты и всей системы теплозащиты здания в целом осуществляется на основании комплекта организационно-методических документов системы сертификации, утвержденной Госстроем России постановлением от 17.03.98 № 11, включающей: РДС 10-231-93*, РДС 10-232-94*, СНиП 10-01-94*, «Номенклатуру продукции и услуг (работ), подлежащих обязательной сертификации в области строительства с 1 октября 1998 г.», утвержденной постановлением Госстроя России от 29.04.98 № 18-43 «Об обязательной сертификации продукции и услуг (работ) в строительстве».

5.4. Определение теплофизических показателей (теплопроводности, теплоусвоения, влажности, сорбционных характеристик, паропроницаемости, водопоглощения, морозостойкости) материалов теплозащиты производится в соответствии с требованиями федеральных стандартов: ГОСТ 7076-87, ГОСТ 30256-94, ГОСТ 30290-94, ГОСТ 23250-78, ГОСТ 25609-83, ГОСТ 21718-84, ГОСТ 24816-81, ГОСТ 25898-83, ГОСТ 7025-91, ГОСТ 17177-94.

5.5. Определение теплотехнических характеристик (сопротивления теплопередаче и воздухопроницанию, теплоустойчивости, теплотехнической однородности) отдельных конструктивных элементов теплозащиты выполняют в натурных условиях, либо в лабораторных условиях в климатических камерах, а также методами математического моделирования температурных полей на ЭВМ, согласно требованиям следующих стандартов: ГОСТ 26253-84, ГОСТ 26254-84, ГОСТ 26602.1-99, ГОСТ 26602.2-99, ГОСТ 25891-83, ГОСТ 25380-82, ГОСТ 26629-85.

5.6. Категория энергетической эффективности здания присваивается по данным натурных теплотехнических испытаний после гарантийного периода, установленного ВСН 58-88 (р). Присвоение категории уровня энергетической эффективности производится по степени снижения или повышения удельного расхода энергии на отопление здания  (полученного в результате испытаний и нормализованного в соответствии с расчетными условиями) в сравнении с расчетным по данным нормам в соответствии с табл. 5.1.

5.7. При энергопотреблении здания , ниже нормального уровня, подрядные и другие организации, участвовавшие в его проектировании и строительстве, а также предприятия-изготовители энергоэффективной продукции, способствовавшие достижению этого уровня, следует экономически стимулировать в порядке, устанавливаемом законодательством и решениями Администрации Томской области в соответствии с категорией теплоэнергетической эффективности согласно п. 5.6.

Таблица 5.1

Категории энергетической эффективности зданий

Категория энергетической эффективности здания

Отклонения от расчетного удельного расхода тепловой энергии  здания, %

1 - пониженная

от плюс 11 до плюс 1

2 - нормальная

от 0 до минус 9

3 - повышенная

от минус 10 и ниже

6. ТРЕБОВАНИЯ К ЭНЕРГЕТИЧЕСКОМУ ПАСПОРТУ ПРОЕКТА ЗДАНИЯ

6.1. Общая часть

6.1.1. Энергетический паспорт здания предназначен для подтверждения соответствия показателей энергосбережения и энергетической эффективности здания по теплотехническим и энергетическим критериям, установленным в настоящем документе, путем использования его показателей в процессе разработки проектной и технической документации, при экспертизе проекта, ГАСН и контроле фактических показателей при эксплуатации здания.

6.1.2. Энергетический паспорт следует заполнять при разработке проектов новых, реконструируемых, капитально ремонтируемых зданий, а также в процессе эксплуатации построенных зданий. С его помощью обеспечивается последовательный контроль качества при проектировании, строительстве и эксплуатации здания.

6.2. Основные положения

6.2.1. Энергетический паспорт здания следует заполнять:

- на стадии разработки проекта после привязки к условиям конкретной площадки - проектной организацией;

- на стадии сдачи строительного объекта в эксплуатацию - организациями, имеющими аттестат аккредитации в качестве испытательной лаборатории строительной продукции (по параметрам, определяющим теплотехническую и энергетическую эффективность);

- на стадии эксплуатации - организацией, эксплуатирующей здание, после годичной эксплуатации здания.

6.2.2. Для существующих зданий теплоэнергетический паспорт здания следует разрабатывать по заданиям организаций, осуществляющих  эксплуатацию  жилого фонда и зданий общественного назначения. При этом на здания, исполнительная документация на строительство которых не сохранилась, энергетические паспорта здания составляются на основе материалов бюро технической инвентаризации, натурных технических обследований и измерений, выполняемых квалифицированными специалистами, имеющими лицензию на выполнение соответствующих работ.

6.2.3. Для жилых зданий с встроенно-пристроенными нежилыми помещениями в нижних этажах энергетические паспорта следует составлять раздельно по жилой части и каждому встроенно-пристроенному нежилому блоку; для встроенных нежилых помещений в первый этаж жилых зданий, не выходящих за проекцию жилой части здания, энергетический паспорт составляется как для одного здания.

6.2.4. Контроль качества и соответствие теплозащиты зданий и отдельных его элементов действующим нормам осуществляется путем определения теплотехнических и энергетических показателей эксплуатируемых зданий в соответствии с разделом 5.

6.2.5. Ответственность за достоверность данных энергетического паспорта проекта здания несет проектная организация, осуществляющая его заполнение в процессе проектирования, или организация, оформляющая энергетический паспорт эксплуатируемого здания.

6.2.6. Несоответствие энергетических характеристик здания и его элементов требованиям СНиП РФ и настоящим нормам может являться основанием для подачи собственником или эксплуатирующей организацией судебного иска к организации-заказчику или генеральному подрядчику о возмещении ущерба.

6.2.7. Энергетический паспорт гражданского здания не предназначен для расчетов за коммунальные и другие услуги, оказываемые владельцам зданий, квартиросъемщикам и владельцам квартир.

6.2.8. Энергетический паспорт следует составлять в 4-х экземплярах. Один экземпляр должен храниться в проектной организации, второй - в папке ГАСН, третий экземпляр передается заказчику, в дальнейшем - собственнику, четвертый - организации, эксплуатирующей здание.

6.3. Состав показателей энергетического паспорта

6.3.1. Энергетический паспорт здания должен содержать сведения о:

- общей информации о проекте;

- расчетных условиях, устанавливаемых согласно подразделу 3.2;

- функциональном назначении и типе здания;

- объемно-планировочных и компоновочных показателях здания;

- расчетных энергетических показателях здания, в том числе:

- теплотехнические показатели;

- энергетические показатели;

- сопоставлении с нормативными требованиями;

- рекомендациях по повышению энергетической эффективности здания;

- результатах измерения энергопотребления и уровня теплозащиты здания после годичного периода его эксплуатации;

- установлении категории энергетической эффективности здания согласно разделу 5.

6.3.2. Здания следует различать по функциональному назначению - жилые и общественные (отдельно стоящие или пристраиваемые к другим зданиям), по типу - малоэтажные до трех этажей включительно и многоэтажные, и по конструктивным решениям - крупнопанельные железобетонные, монолитные, кирпичные, деревянные и др.

6.3.3. Внутренние и наружные расчетные условия должны содержать сведения о расчетной температуре и относительной влажности внутреннего воздуха, расчетной температуре наружного воздуха, градусосуток и продолжительности отопительного периода. Нормируемые величины следует принимать согласно СНиП 23-01-99, ГОСТ 30494, настоящим нормам и нормам проектирования соответствующих зданий и сооружений.

6.3.4. Объемно-планировочные и компоновочные параметры здания должны содержать данные о геометрических параметрах здания (строительном объеме, высоте этажей и количестве квартир для жилых зданий), о площадях помещений общественных зданий, площадях жилых помещений и кухонь жилых зданий, о площадях наружных ограждающих конструкций (стен, окон, балконных и входных дверей, покрытий, чердачных перекрытий и перекрытий над неотапливаемыми подвалами и подпольями, проездами, над и под эркерами, полов по грунту), определяемых согласно п. 3.2.7, о коэффициентах остекленности фасада здания и компактности здания, сведения о компоновочных решениях.

6.3.5. Нормативные теплотехнические и энергетические параметры должны содержать данные о требуемом сопротивлении теплопередаче и воздухопроницаемости наружных ограждающих конструкций (стен, окон и балконных дверей, покрытий, чердачных перекрытий, перекрытий над проездами и эркерами, перекрытий над не отапливаемыми подвалами и подпольями, входных дверей и ворот), о требуемом удельном расходе тепловой энергии системами отопления и теплоснабжения здания. Нормируемые величины следует принимать согласно СНиП II-3-79* и настоящим нормам.

6.3.6. Расчетные теплотехнические показатели здания должны содержать данные о приведенном сопротивлении теплопередаче и сопротивлении воздухопроницанию наружных ограждающих конструкций (стен по продольным фасадам и торцевых, окон и наружных дверей, покрытий, чердачных перекрытий, перекрытий над проездами и эркерами, перекрытий над не отапливаемыми подвалами и подпольями, входных дверей и ворот), о приведенном трансмиссионном и инфильтрационном (условном), а также общем коэффициенте теплопередачи здания.

6.3.7. Расчетные энергетические показатели здания должны содержать данные о потребности тепловой энергии на отопление здания за отопительный период, об удельном расходе тепловой энергии на отопление на один м2 полезной площади (или на один м3 отапливаемого объема) здания, приходящемся на одни градусосутки, и об удельном расходе тепловой энергии системой теплоснабжения на отопление здания.

6.3.8. Результаты измерений теплотехнических и энергетических показателей согласно подразделу 3.6 должны содержать данные о фактических значениях величин, поименованных в пп. 6.3.5-6.3.7. Результаты фактических измерений должны быть приведены к расчетным условиям.

6.3.9. Энергетический паспорт должен содержать проверку проектных и эксплуатационных показателей, поименованных в пп. 6.3.5-6.3.7, на соответствие их нормативным требованиям. По результатам измерений энергопотребления здания следует установить категорию энергетической эффективности согласно разделу 5.

6.3.10. Рекомендации по повышению энергоэффективности здания с указанием сроков их реализации следует разрабатывать:

- на стадии проекта в случае несоответствия энергетических показателей требованиям данных норм - проектной организацией;

- на стадии эксплуатации в случае присвоения зданию «пониженная» категория энергетической эффективности - организацией, эксплуатирующей здание.

6.4. Форма и пример заполнения энергетического паспорта здания

Десятиэтажное 2-х секционное жилое здание серии 111-75 предназначено для строительства в г. Томске. Здание состоит из двух торцевых секций. Общее количество квартир - 80. Стены здания состоят из трехслойных керамзитобетонных панелей толщиной 350 мм с керамзитобетонными шпонками и утеплителем из экструзионного пенополистирола, окна с трехслойным остеклением (однокамерный стеклопакет плюс стекло) в раздельных деревянных переплетах. Чердак - холодный. Подвал «теплый» - с разводкой трубопроводов. Здание подключено к централизованной системе теплоснабжения.

Общая информация о проекте

 

Дата заполнения (число, м-ц, год)

Адрес здания

г. Томск

Разработчик проекта

КБ им. Якушева, г. Москва

Адрес и телефон разработчика

г. Москва

Шифр проекта

Серия 111-75

Расчетные условия

Наименование расчетных параметров

Обозначения

Ед. измер.

Величина

1. Расчетная температура внутреннего воздуха

°С

21

2. Расчетная температура наружного воздуха

°С

-40

3. Расчетная температура теплого чердака

°C

-

4. Расчетная температура «теплого» подвала

°С

2

5. Продолжительность отопительного периода

сут

236

6. Средняя температура наружного воздуха за отопительный период

°С

-8,4

7. Градусосутки отопительного периода

°С·сут

6938

Функциональное назначение, тип и конструктивное решение здания

8.

Назначение

жилое

9.

Размещение в застройке

отдельно стоящее

10.

Тип

многоэтажное, 10 эт

11.

Конструктивное решение

крупнопанельное, железобетонное

12.

Стены

керамзитобетонные трехслойные панели толщиной 350 мм на шпонках и с экструзионным пенополистиролом

13.

Окна

окна с трехслойным остеклением (однокамерный стеклопакет плюс стекло) в раздельных деревянных переплетах

14.

Чердак

Холодный, перекрытие железобетонное с утеплителем

15.

Подвал

«Теплый», перекрытие железобетонное с утеплителем, с разводкой трубопроводов системы отопления

16.

Система теплоснабжения

Централизованная

 

Показатель

Обозначение и размерность показателя

Нормативное значение показателя

Расчетное (проектное) значение показателя

Фактическое значение показателя

1

2

3

4

5

6

Объемно-планировочные параметры здания

17.

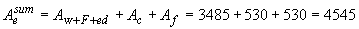
- общая площадь наружных ограждающих конструкций здания, в т.ч.:

, м2

-

4545

 

 

стен

AW, м2

-

2693

 

 

окон

AF, м2

-

786

 

 

входных дверей

Aed, м2

-

6

 

 

покрытия (совмещенного покрытия, конструкций теплого чердака, перекрытия холодного чердака)

Ac, м2

-

530

 

 

перекрытия 1-го этажа (пола по грунту)

Af, м2

-

530

 

18.

- отапливаемая площадь здания

Ah, м2

-

5300

 

19.

- жилая площадь и площадь кухонь

AI, м2

-

3134

 

20.

- расчетная площадь (для общественных зданий)

AI, м2

-

-

 

21.

- отапливаемый объем

Vh, м3

-

14840

 

22.

- коэффициент остекленности фасада здания

P

0,18

0,17

 

23.

- показатель компактности здания

0,29

0,31

 

Энергетические показатели

Теплотехнические показатели

1

2

3

4

5

6

24.

Приведенное сопротивление теплопередаче наружных ограждений

, м2·°С/Вт

 

 

 

 

- стен

RW

3,83

2,75

 

 

- окон и балконных дверей

RF

0,647

0,56

 

 

- входных дверей

Red

1,2

1,2

 

 

- покрытий (совмещенного покрытия, конструкции теплого чердака, перекрытия холодного чердака)

Rc

5,02

5,02

 

 

- перекрытия 1 этажа (пола по грунту)

Rf

5,02

1,09

 

25.

Приведенный трансмиссионный коэффициент теплопередачи здания

, Вт/(м2·°С)

-

0,655

 

26.

Кратность воздухообмена

na, 1/ч

 

0,745

 

27.

Приведенный (условный) инфильтрационный коэффициент теплопередачи здания

, Вт/(м2·°С)

-

0,618

 

28.

Общий коэффициент теплопередачи здания

Km, Вт/(м2·°С)

-

1,273

 

Теплоэнергетические показатели

29.

Общие теплопотери через ограждающую оболочку здания за отопительный период

Qh, МДж

-

3468637

 

30.

Удельные бытовые тепловыделения в здании

qint, Вт/м2

не менее 10

15

 

31.

Бытовые теплопоступления в здание за отопительный период

Qint, МДж

-

958553

 

32.

Теплопоступления в здание от солнечной радиации за отопительный период

Qs, МДж

-

551766

 

33.

Потребность в тепловой энергии на отопление здания за отопительный период

, МДж

-

2554232

 

34.

Удельный расход тепловой энергии на отопление здания

, кДж/(м2 ·°С·сут)

-

69,46

 

Сопоставление с нормативными требованиями

35.

Расчетный коэффициент энергетической эффективности системы централизованного теплоснабжения здания от источника теплоты

0,5

36.

Расчетный коэффициент энергетической эффективности системы децентрализованного теплоснабжения здания от источника теплоты

ηdec

0,5

37.

Требуемый удельный расход тепловой энергии отопление здания

, кДж/(м2·°С·сут)

70

38.

Соответствует ли проект здания нормативному требованию

Да

 

39.

Категория энергетической эффективности

«нормальная»

 

40.

Дорабатывать ли проект здания?

Нет

 

Рекомендации по повышению энергетической эффективности

41.

Рекомендуем:

-

-

42. Паспорт заполнен

 

Организация

 

Адрес и телефон

 

Ответственный исполнитель

 

7. СОСТАВ И СОДЕРЖАНИЕ РАЗДЕЛА ПРОЕКТА «ЭНЕРГОЭФФЕКТИВНОСТЬ»

7.1 Общие положения

7.1.1. Проект здания должен содержать раздел «Энергоэффективность». В этом разделе должны быть представлены сводные показатели энергоэффективности проектных решений в соответствующих частях проекта здания. Сводные показатели энергоэффективности должны быть сопоставлены с нормативными показателями данных норм. Указанный раздел выполняется на утверждаемых стадиях предпроектной и проектной документации.

7.1.2. Разработка раздела «Энергоэффективность» проекта здания осуществляется за счет средств заказчика.

7.1.3. При необходимости к разработке раздела «Энергоэффективность» заказчиком и проектировщиком привлекаются соответствующие специалисты и эксперты из других организаций.

7.1.4. Органы экспертизы должны осуществлять проверку соответствия данным нормам предпроектной и проектной документации в составе комплексного заключения.

7.2 Содержание раздела «Энергоэффективность»

7.2.1. Раздел «Энергоэффективность» должен содержать энергетический паспорт здания, информацию о присвоении категории энергетической эффективности здания в соответствии с разделом 5 настоящих норм, заключение о соответствии проекта здания требованиям настоящих норм и рекомендации по повышению энергетической эффективности в случае необходимости доработки проекта.

7.2.2. Пояснительная записка раздела должна содержать:

- общую энергетическую характеристику запроектированного здания;

- сведения о проектных решениях, направленных на повышение эффективности использования энергии;

- описание технических решений ограждающих конструкций с расчетом приведенного сопротивления теплопередаче (за исключением светопрозрачных) с приложением протоколов теплотехнических испытаний, подтверждающих принятые расчетные теплофизические показатели строительных материалов, отличающихся от СНиП II-3-79*, и сертификата соответствия для светопрозрачных конструкций;

- принятые виды пространства под первым и над последним этажами с указанием температур внутреннего воздуха, принятых в расчет, наличие мансардных этажей, используемых для жилья, тамбуров входных дверей и отопления вестибюлей, остекления лоджий;

- принятые системы отопления, вентиляции и кондиционирования воздуха, сведения о наличии приборов учета и регулирования, обеспечивающих эффективное использование энергии;

- специальные приемы повышения энергоэффективности здания: устройства по пассивному использованию солнечной энергии, системы утилизации тепла вытяжного воздуха, теплоизоляция трубопроводов отопления и горячего водоснабжения, проходящих в холодных подвалах, применение тепловых насосов и прочее;

- информацию о выборе и размещении источников теплоснабжения для объекта. В необходимых случаях приводится технико-экономическое обоснование энергоснабжения от автономных источников вместо централизованных;

- сопоставление проектных решений и технико-экономических показателей в части энергопотребления с требованиями данных норм;

- заключение.

ПРИЛОЖЕНИЕ А
(обязательное)

ОСНОВНЫЕ ТЕРМИНЫ И ИХ ОПРЕДЕЛЕНИЯ

Термин

Обозначение

Характеристика термина

Размерность единицы величины

1

2

3

4

A.1. Общие положения

1.1. Здание с эффективным использованием энергии

 

Здание и оборудование, использующие тепловую энергию для поддержания в здании нормируемых параметров; должны быть спроектированы и возведены таким образом, чтобы было обеспечено заданное энергосбережение, и чтобы здание и названное оборудование использовалось так, чтобы было обеспечено это энергосбережение

 

1.2. Тепловой режим здания

-

Совокупность всех факторов и процессов, определяющих тепловой режим помещений здания

-

1.3. Теплозащита зданий

-

Свойство оболочки здания сопротивляться переносу теплоты между помещениями и наружной средой, а также между помещениями с различной температурой воздуха

-

1.4. Энергетический паспорт здания

-

Документ, содержащий геометрические, энергетические и теплотехнические характеристики проектируемых и эксплуатируемых зданий и их ограждающих конструкций и устанавливающий соответствие их требованиям нормативных документов

-

1.5. Градусосутки

Dd

Показатель, представляющий собой температурно-временную характеристику района строительства здания и используемый для расчетов потребления топлива и отопительной нагрузки здания в течение отопительного периода.

°С·сут

1.6. Коэффициент остекленности фасада здания

P

Отношение площади вертикального остекления к общей площади наружных стен

-

1.7. Показатель компактности здания

Отношение общей площади поверхности наружных ограждающих конструкций здания к заключенному в них отапливаемому объему

1/м

1.8. Отапливаемая площадь здания

Ah

Суммарная площадь этажей (в т.ч. и мансардного, цокольного и подвального) здания, измеряемая в пределах внутренних поверхностей наружных стен, включая площадь лестничных клеток и лифтовых шахт; для общественных зданий включается площадь антресолей, галерей и балконов зрительных залов

м2

1.9. Площадь жилых помещений и кухонь

AI

Сумма площадей всех общих комнат (гостиных), спален и кухонь

м2

1.10. Расчетная площадь (для общественных зданий)

AI

Сумма площадей всех помещений здания, за исключением коридоров, лестничных клеток, помещений для размещения инженерного оборудования

м2

1.11. Отапливаемый объем

Vh

Объем, ограниченный внутренними поверхностями наружных ограждений здания (стен, покрытий, (чердачных перекрытий), перекрытий пола первого этажа)

м3

А.2. Показатели энергоэффективности

2.1. Потребность в тепловой энергии на отопление здания

Количество теплоты за отопительный период, необходимое для поддержания в здании нормируемых параметров теплового комфорта

МДж

2.2. Расчетный удельный расход тепловой энергии на отопление здания

Количество теплоты, необходимое для поддержания в здании нормируемых параметров теплового комфорта, отнесенное к единице общей отапливаемой площади здания или его объему и градусосуткам отопительного периода

кДж/(м2·°С·сут), кДж/(м3·°С·сут)

2.3. Требуемый удельный расход тепловой энергии на отопление здания

Нормируемое значение удельного расхода тепловой энергии на отопление здания

кДж/(м2·°С·сут), кДж/( м3·°С·сут)

2.4. Расчетный коэффициент энергетической эффективности систем отопления и централизованного теплоснабжения здания

Коэффициент, учитывающий потери в системах отопления и централизованного теплоснабжения здания и степень автоматизации регулирования их оборудования

-

2.5. Расчетный коэффициент энергетической эффективности систем отопления и децентрализованного теплоснабжения здания

ηdec

Коэффициент, учитывающий потери в системах отопления и децентрализованного теплоснабжения здания и степень автоматизации регулирования их оборудования

-

ПРИЛОЖЕНИЕ Б
(обязательное)

Выбор конструктивных, объемно-планировочных и архитектурных решений, обеспечивающих необходимую теплозащиту зданий

Б.1. При проектировании теплозащиты зданий различного назначения следует применять, как правило, типовые конструкции и изделия полной заводской готовности, в том числе конструкции комплектной поставки, со стабильными теплоизоляционными свойствами, достигаемыми применением эффективных теплоизоляционных материалов с минимумом теплопроводных включений и стыковых соединений в сочетании с надежной гидроизоляцией, не допускающей проникновения влаги в жидкой фазе и максимально сокращающей проникновение водяных паров в толщу теплоизоляции.

Б.2. Для наружных ограждений следует предусматривать, как правило, многослойные конструкции. Для обеспечения лучших эксплуатационных характеристик в многослойных конструкциях зданий с теплой стороны следует располагать слои большей теплопроводности и увеличенным сопротивлением паропроницанию.

Б.3. Тепловую изоляцию наружных стен следует стремиться проектировать непрерывной в плоскости фасада здания. Такие элементы ограждений, как внутренние перегородки, колонны, балки, вентиляционные каналы и другие, не должны нарушать целостности слоя теплоизоляции. Воздуховоды, вентиляционные каналы и трубы, которые частично проходят в толще наружных ограждений, следует заглублять до теплой поверхности теплоизоляции. Следует обеспечить плотное примыкание теплоизоляции к сквозным теплопроводным включениям. При этом приведенное сопротивление теплопередаче конструкции с теплопроводными включениями должно быть не менее требуемых величин.

Б.4. При проектировании трехслойных панелей толщина утеплителя, как правило, должна быть не более 200 мм. В трехслойных бетонных панелях следует предусматривать конструктивные или технологические мероприятия, исключающие попадание раствора в стыки между плитами утеплителя, по периметру окон и самих панелей.

Б.5. При наличии в конструкции теплозащиты теплопроводных включений необходимо учитывать следующее:

- несквозные включения целесообразно располагать ближе к теплой стороне ограждения;

- в сквозных, главным образом, металлических включениях (профилях, стержнях, болтах, оконных рамах) следует предусматривать вставки (разрывы мостиков холода) из материалов с коэффициентом теплопроводности не выше 0,35 Вт/(м·°С).

Б.6. Приведенное сопротивление теплопередаче , м2·°С/Вт, для наружных стен следует определять согласно СП 23-101-2000 для фасада здания либо для одного промежуточного этажа с учетом откосов проемов без учета их заполнений с проверкой условия п. 3.3.6 на участках в зонах теплопроводных включений.

Определение приведенного сопротивления теплопередаче  наружных стен по результатам расчета температурного поля следует выполнять по формуле

,                                                      (Б.1)

где  AW - площадь рассчитываемого участка стены по внутренним размерам, включая откосы оконных и дверных проемов, м2;

QW - суммарный тепловой поток через площадь  рассчитываемого участка стены, определяемый по результатам расчета температурного поля, Вт;

tint, text - температуры соответственно внутреннего и наружного воздуха, принятые при расчете °С.

При проектировании панелей индустриального изготовления коэффициент теплотехнической однородности r должен быть не менее нормативных величин, установленных в табл. 6 а СНиП II-3. Расчет r следует выполнять с учетом теплотехнических неоднородностей, оконных откосов и примыкающих внутренних ограждений проектируемой конструкции.

При проектировании ограждающих конструкций значение коэффициента теплотехнической однородности r следует определять согласно СП 23-101-2000.

Б.7. При проектировании стен с вентилируемой воздушной прослойкой (стены с вентилируемым фасадом) следует руководствоваться следующими рекомендациями:

- воздушная прослойка должна быть толщиной не менее 60 и не более 150 мм и ее следует размещать между наружным слоем и теплоизоляцией;

- поверхность теплоизоляции, обращенную в сторону прослойки следует закрывать стеклосеткой с ячейками не более 4×4 мм или стеклотканью;

- наружный слой стены должен иметь вентиляционные отверстия, суммарная площадь которых определяется из расчета 7500 мм2 на 20 м2 площади стен, включая площадь окон;

- при использовании в качестве наружного слоя плитной облицовки горизонтальные швы должны быть раскрыты (не должны заполняться уплотняющим материалом);

- нижние (верхние) вентиляционные отверстия, как правило, следует совмещать с цоколями (карнизами), причем для нижних отверстий предпочтительно совмещение функций вентиляции и отвода влаги.

Б.8. При проектировании новых и реконструкции существующих зданий, как правило, следует применять теплоизоляцию из эффективных материалов (с коэффициентом теплопроводности не более 0,1 Вт/(м·°С)), размещая ее с наружной стороны ограждающей конструкции в соответствии с требованиями СП 12-101. Как правило, не следует применять теплоизоляцию с внутренней стороны.

Б.9. Заполнение зазоров в примыканиях окон и балконных дверей к конструкциям наружных стен рекомендуется проектировать с применением вспенивающихся синтетических материалов. Все притворы окон и балконных дверей должны содержать уплотнительные прокладки (не менее двух) из силиконовых материалов или морозостойкой резины. Установку стекол в окнах и балконных дверях рекомендуется производить с применением силиконовых мастик. Глухие части балконных дверей следует утеплять теплоизоляционными материалами.

Допускается применение двухслойного остекления вместо трехслойного для окон и балконных дверей, выходящих внутрь остекленных лоджий.

Б.10. Оконные коробки в деревянных или пластмассовых переплетах независимо от слоев остекления следует размещать в оконном проеме на глубину, равную от одной третьей до половины толщины ограждения от плоскости фасада теплотехнически однородной стены или посередине теплоизоляционного слоя в многослойных конструкциях стен, заполняя пространство между оконной коробкой и внутренней поверхностью четверти, как правило, вспенивающимся теплоизоляционным материалом на основе пенополиуретана. При выполнении теплоизоляционного слоя из горючих материалов это пространство должно заполняться негорючим теплоизоляционным материалом толщиной (глубиной) слоя не менее 50 мм. Оконные блоки следует закреплять на более прочном (наружном или внутреннем) слое стены.

При выборе окон в пластмассовых переплетах следует отдавать предпочтение конструкциям, имеющим более уширенные коробки (не менее 100 мм).

Варианты установки и применения оконных и дверных блоков в пластмассовых переплетах должны исключать их выпадение наружу в случае пожара.

Б.11. С целью организации требуемого воздухообмена, как правило, следует предусматривать специальные приточные отверстия (клапаны) в ограждающих конструкциях при использовании современных (воздухопроницаемость притворов по сертификационным испытаниям 1,5 кг/(м2·ч) и ниже) конструкций окон.

Б.12. При проектировании зданий следует предусматривать защиту внутренней и наружной поверхностей стен от воздействия влаги и атмосферных осадков устройством облицовки или штукатурки, окраски водоустойчивыми составами, выбираемыми в зависимости от материала стен и условий эксплуатации.

Ограждающие конструкции, контактирующие с грунтом, следует предохранять от грунтовой влаги путем устройства гидроизоляции согласно п. 1.4 СНиП II-3-79*.

При устройстве мансардных окон следует предусматривать надежную в эксплуатации гидроизоляцию примыкания кровли к оконному блоку.

Б.13. В целях сокращения расхода теплоты на отопление зданий в холодный и переходный периоды года следует предусматривать:

а) объемно-планировочные решения, обеспечивающие наименьшую площадь наружных конструкций для зданий одинакового объема, размещение более теплых и влажных помещений у внутренних стен здания;

б) блокирование зданий и проектирование мансардных этажей;

в) устройство тамбурных помещений за входными дверями в многоэтажных зданиях;

г) как правило, меридиональную или близкую к ней ориентацию продольного фасада здания;

д) рациональный выбор эффективных теплоизоляционных материалов с предпочтением материалов меньшей теплопроводности и пожарной опасности;

е) конструктивные решения равноэффективных в теплотехническом отношении ограждающих конструкций, обеспечивающие их высокую теплотехническую однородность;

ж) эксплуатационно-надежную герметизацию стыковых соединений и швов наружных ограждающих конструкций и элементов, а также межквартирных ограждающих конструкций;

и) теплоизоляцию стен подвалов и технических подполий, где имеется разводка трубопроводов систем отопления и горячего водоснабжения;

к) размещение отопительных приборов под светопроемами и применение за ними теплоотражательной теплоизоляции.

Б.14. При разработке объемно-планировочных решений следует избегать размещения окон по обеим наружным стенам угловых комнат. В ванных комнатах, не оборудованных системами механической приточно-вытяжной вентиляцией, проектировать окна не следует.

ПРИЛОЖЕНИЕ В
(обязательное)

Методика заполнения и расчета параметров энергетического паспорта

B.I. Перед заполнением формы энергетического паспорта следует привести краткое описание проекта здания. При этом указывается этажность здания, количество и типы секций, количество квартир и место строительства. Приводится характеристика наружных ограждающих конструкций: стен, окон, покрытия или чердака, подвала, подполья, а при отсутствии пространства под первым этажом - полов по грунту. Указывается источник теплоснабжения здания и характер разводки трубопроводов отопления и горячего водоснабжения.

В.II. В разделе «Общая информация о проекте» приводится следующая информация:

Адрес здания - город или населенный пункт Томской области, название улицы и номер здания;

Тип здания - в соответствии с п. 6.3.2;

Разработчик проекта - название головной проектной организации;

Адрес и телефон разработчика - почтовый адрес, номер телефона и факса дирекции;

Шифр проекта - номер проекта повторного применения или индивидуального проекта, присвоенный проектной организацией.

В.III. В разделе «Расчетные условия» приводятся климатические данные для города или пункта строительства здания и принятые температуры помещений (здесь и далее нумерация приведена согласно п. 6.4 настоящих норм):

1. Расчетная температура внутреннего воздуха tin принимается по табл. 3.2. Для жилых зданий tin = 21°С.

2. Расчетная температура наружного воздуха text. Принимается значение средней температуры наиболее холодной пятидневки обеспеченностью 0,92 по табл. 3.1. Для г. Томска text = 40°С.

3. Расчетная температура теплого чердака . Теплый чердак в данном примере отсутствует. При его наличии принимается по расчету исходя из теплового баланса системы, включающей теплый чердак и ниже расположенные жилые помещения, но не выше 14°С.

4. Расчетная температура «теплого» подвала . Принимается равной 2°С исходя из расчета теплового баланса системы, включающей подвал и вышерасположенные жилые помещения с учетом расположения в подвале труб систем отопления и горячего водоснабжения.

5. Продолжительность отопительного периода zht. Принимается по табл. 3.3. Для г. Томска zht = 236 сут.

6. Средняя температура наружного воздуха за отопительный период . Принимается по табл. 3.1. Для г. Томска  = 8,4°С.

7. Градусосутки отопительного периода Dd. Для г. Томска Dd = 6938 °С·сут. Величины градусосуток для городов и пунктов области приведены в табл. 3.3.

B.IV. В разделе «Функциональное назначение, тип и конструктивное решение здания» приводятся данные, характеризующие здания.

8-16. Все характеристики по этим пунктам принимаются по проекту здания.

B.V. В разделе «Объемно-планировочные параметры здания» вычисляют в соответствии с требованиями п. 3.2.7 площадные и объемные характеристики и объемно-планировочные показатели:

17. Общая площадь наружных ограждающих конструкций здания , устанавливается по внутренним размерам «в свету» (расстояния между внутренними поверхностями наружных ограждающих конструкций, противостоящих друг другу).

Площадь стен, включающих окна, балконные и входные двери в здание и внутренние откосы дверных и оконных проемов, , м2, определяется по формуле

,                                         (В.1)

где Pst - длина периметра внутренней поверхности наружных стен этажа, м;

PF - длина периметра окна или двери, м;

a - ширина внутреннего откоса окна или двери, м;

Hh - высота отапливаемого объема здания, м.

 = 116·28 + 237 = 3485 м2

Площадь наружных стен Aw, м2, определяется по формуле

,                                                           (B.2)

где AF - площадь окон, определяется как сумма площадей всех оконных проемов.

Для рассматриваемого здания AF = 786 м2.

Тогда Aw = 3485 - 786 = 2693 м2.

Площадь покрытия Ac, м2, и площадь перекрытия над подвалом Af, м2, равны площади этажа Ast

 м2.

Общая площадь наружных ограждающих конструкций  определяется по формуле

 м2. (В.3)

18-20. Отапливаемая площадь помещений Ah и площадь жилых помещений и кухонь AI определяются по проекту

Ah = 5300 м2; AI = 3134 м2.

21. Отапливаемый объем здания Vh, м3, вычисляется как произведение площади этажа, Ast, м2, (площади, ограниченной внутренними поверхностями наружных стен) на высоту Hh, м, этого объема, представляющую собой расстояние от пола первого этажа до потолка последнего этажа.

 м3.                                    (В.4)

22-23. Показатели объемно-планировочного решения здания определяются по формулам:

- коэффициент остекленности фасадов здания p

; (B.5)

- показатель компактности здания

.         (B.6)

B.VI. Раздел «Энергетические показатели» включает теплотехнические и теплоэнергетические показатели.

Теплотехнические показатели:

24. Согласно СНиП II-3-79* приведенное сопротивление теплопередаче наружных ограждений , м2·°С/Вт, должно приниматься не ниже требуемых значений , которые устанавливаются по табл. 1 б СНиП II-3-79* в зависимости от градусосуток отопительного периода. Для Dd= 6938 °С·сут требуемое сопротивление теплопередаче равно для:

- стен  = 3,83 м2·°С/Вт;

- окон и балконных дверей  = 0,647 м2·°С/Вт;

- чердачного перекрытия  = 5,02 м2·°С/Вт;

- перекрытия первого этажа  = 5,02 м2·°С/Вт.

Согласно настоящим нормам в случае удовлетворения главному требованию  по удельному расходу тепловой энергии на отопление здания приведенное сопротивление теплопередаче  для отдельных элементов наружных ограждений могут приниматься ниже требуемых значений, но не меньше минимально допустимого сопротивления теплопередаче, определяемого по формуле (3.4). В рассматриваемом случае для стен здания приняли  = 2,75 м2·°С/Вт, что ниже требуемого значения, для чердачного перекрытия -  = 5,02 м2·°С/Вт, для перекрытия первого этажа -  = 1,09 м2·°С/Вт, что является минимально допустимым сопротивлением теплопередаче по формуле (3.4), способствующим поддержанию расчетной температуры в подвале (2°С). Для заполнения оконных и балконных проемов приняли окна и балконные двери с тройным (однокамерный стеклопакет плюс стекло) остеклением в деревянных раздельных переплетах  = 0,56 м2·°С/Вт.

25. Приведенный трансмиссионный коэффициент теплопередачи здания , Вт/(м2·°С), определяется согласно формуле (3.10)

 = 1,13·{2693 / 2,75 + 786 / 0,56 + 0,9·530 / 5,02 +

+ [(21 - 2) / (21 + 40)] 530 /1,09] + 6/1,2} / 4545 = 0,655 Вт/(м2·°С).

26. Кратность воздухообмена жилого здания na, 1/ч, согласно СНиП 2.08.01 устанавливается из расчета 3 м3/ч удаляемого воздуха на 1 м2 жилых помещений по формуле

,                                                            (B.7)

где AI - площадь жилых помещений и кухонь, м2;

βv - коэффициент, учитывающий долю внутренних ограждающих конструкций в отапливаемом объеме здания, принимаемый равным 0,85;

Vh - отапливаемый объем здания, м3. na = 3·3134 / (0,85·14840) = 0,745 1/ч.

27. Приведенный (условный) инфильтрационный коэффициент теплопередачи здания , Вт/(м2·С), определяется по формуле (3.11)

 = 0,28·1·0,745·0,85·14840·1,336·0,8 / 4545 = 0,618 Вт/(м2·°С).

28. Общий коэффициент теплопередачи здания Km, Вт/(м2·°С), определяется по формуле (3.9)

Km = 0,655 + 0,618 = 1,273 Вт/(м2·°С).

Теплоэнергетические показатели:

29. Общие теплопотери через наружную ограждающую оболочку здания за отопительный период Qh, МДж, определяются по формуле (3.8)

Qh = 0,0864·1,273·6938·4545 = 3468637 МДж.

30. Удельные бытовые тепловыделения qint, Вт/м2, следует устанавливать исходя из расчетного удельного электропотребления здания, но не менее 10 Вт/м2. В нашем случае принято 15 Вт/м2.

31. Бытовые теплопоступления в здание за отопительный период Qint, МДж, определяются по формуле (3.14)

Qint = 0,0864·15·236·3134 = 958553 МДж.

32. Теплопоступления в здание от солнечной радиации за отопительный период Qs, МДж, определяются по формуле (3.15)

Qs = 0,65·0,83·(351·1285 + 42·832 + 351·1285 + 42·2041) = 551766 МДж.

33. Потребность в тепловой энергии на отопление здания за отопительный период , МДж, определяется по формуле (3.7 а)

 = [3468637 - (958553 + 551766)·0,8]·1,13 = 2554232 МДж.

34. Удельный расход тепловой энергии на отопление здания , кДж/(м2·°С·сут), определяется по формуле (3.6)

= 2554232·103/ (5300·6938) = 69,46 кДж/(м2·°С·сут).

В рассматриваемом случае здание подключено к существующей системе централизованного теплоснабжения, поэтому полученное значение расчетного удельного расхода тепловой энергии на отопление здания  = 69,46 кДж/(м2·°С·сут) сопоставляется с требуемым удельным расходом тепловой энергии системой отопления проектируемого здания = 70 кДж/(м2·°С·сут) по табл. 3.5. Следовательно, проект здания соответствует требованиям настоящих норм.

 




ГОСТЫ, СТРОИТЕЛЬНЫЕ и ТЕХНИЧЕСКИЕ НОРМАТИВЫ.
Некоммерческая онлайн система, содержащая все Российские Госты, национальные Стандарты и нормативы.
В Системе содержится более 150000 файлов нормативно-технической документации, действующей на территории РФ.
Система предназначена для широкого круга инженерно-технических специалистов.

Рейтинг@Mail.ru Яндекс цитирования

Copyright © www.gostrf.com, 2008 - 2026